Anomalous Hall Effect and Magneto-Optic Kerr Effect in Pt/Co/Pt Heterostructure
Abstract
:1. Introduction
2. Experimental Section
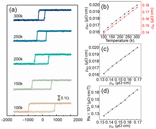
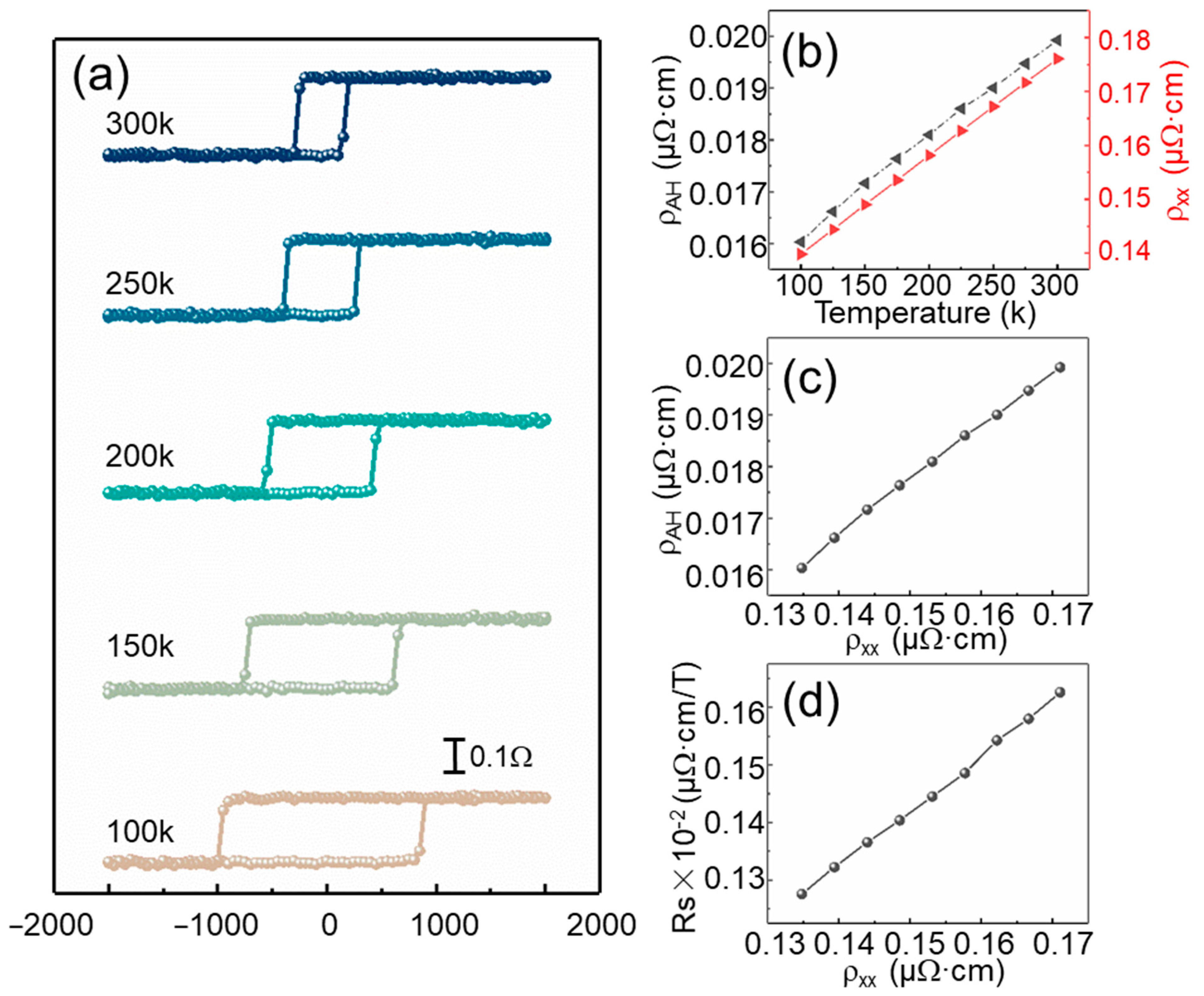
3. Results and Discussion
4. Conclusions
Supplementary Materials
Author Contributions
Funding
Institutional Review Board Statement
Informed Consent Statement
Data Availability Statement
Conflicts of Interest
References
- Jiang, S.-L.; Chen, X.; Zhang, J.-Y.; Yang, G.; Teng, J.; Li, X.-J.; Cao, Y.; Zhao, Z.-D.; Yang, K.; Liu, Y.; et al. Chemically manipulated anomalous Hall effect and perpendicular magnetic anisotropy in Co/Pt multilayers. Appl. Surf. Sci. 2014, 320, 263–266. [Google Scholar] [CrossRef]
- Zhang, Q.; Zheng, D.; Wen, Y.; Zhao, Y.; Mi, W.; Manchon, A.; Boulle, O.; Zhang, X. Effect of surface roughness on the anomalous Hall effect in Fe thin films. Phys. Rev. B 2020, 101, 134412. [Google Scholar] [CrossRef]
- Ma, L.; Fu, H.R.; Tang, M.; Qiu, X.P.; Shi, Z.; You, C.Y.; Tian, N.; Zheng, J.-G. Static and dynamic origins of interfacial anomalous Hall effect in W/YIG heterostructures. Appl. Phys. Lett. 2020, 117, 122405. [Google Scholar] [CrossRef]
- Bai, H.; Zhu, W.; You, Y.; Chen, X.; Zhou, X.; Pan, F.; Song, C. Size-dependent anomalous Hall effect in noncollinear antiferromagnetic Mn3Sn films. Appl. Phys. Lett. 2020, 117, 052404. [Google Scholar] [CrossRef]
- Trukhanov, A.V.; Grabchikov, S.S.; Solobai, A.A.; Tishkevich, D.I.; Trukhanov, S.V.; Trukhanova, E.L. AC and DC-shielding properties for the Ni80Fe20/Cu film structures. J. Magn. Magn. Mater. 2017, 443, 142–148. [Google Scholar] [CrossRef]
- Liu, Y.; Liu, Y.; Cai, K.; Ren, L.; Zheng, Y.; Yang, H.; Teo, K.L. Anomalous Hall Effect of Fe2CoSi/Pt Multilayers With Large Perpendicular Magnetic Anisotropy. IEEE Trans. Magn. 2018, 54, 2600104. [Google Scholar] [CrossRef]
- Zhang, F.; Liu, Z.; Wen, F.; Liu, Q.; Li, X.; Ming, X. Magnetoresistance and Anomalous Hall Effect with Pt Spacer Thickness in the Spin-Valve Co/Pt/[Co/Pt]2 Multilayers. J. Supercond. Nov. Magn. 2016, 30, 533–538. [Google Scholar] [CrossRef]
- Turchenko, V.A.; Trukhanov, S.V.; Kostishin, V.G.E.; Damay, F.; Porcher, F.; Klygach, D.S.; Vakhitov, M.G.E.; Matzui, L.Y.E.; Yakovenko, O.S.; Bozzo, B.; et al. Impact of In3+ cations on structure and electromagnetic state of M−type hexaferrites. J. Energy Chem. 2022, 69, 667–676. [Google Scholar] [CrossRef]
- Dugaev, V.K.; Bruno, P.; Taillefumier, M.; Canals, B.; Lacroix, C. Anomalous Hall effect in a two-dimensional electron gas with spin-orbit interaction. Phys. Rev. B 2005, 71, 224423. [Google Scholar] [CrossRef] [Green Version]
- Yao, Y.; Kleinman, L.; MacDonald, A.H.; Sinova, J.; Jungwirth, T.; Wang, D.S.; Wang, E.; Niu, Q. First principles calculation of anomalous Hall conductivity in ferromagnetic bcc Fe. Phys. Rev. Lett. 2004, 92, 037204. [Google Scholar] [CrossRef] [Green Version]
- Chen, T.-Y.; Liao, W.-B.; Chen, T.-Y.; Tsai, T.-Y.; Peng, C.-W.; Pai, C.-F. Current-induced spin–orbit torque efficiencies in W/Pt/Co/Pt heterostructures. Appl. Phys. Lett. 2020, 116, 072405. [Google Scholar] [CrossRef]
- Koyama, T.; Ieda, J.; Chiba, D. Electric field effect on the magnetic domain wall creep velocity in Pt/Co/Pd structures with different Co thicknesses. Appl. Phys. Lett. 2020, 116, 092405. [Google Scholar] [CrossRef]
- Wang, X.; Wei, Y.; He, K.; Liu, Y.; Huang, Y.; Liu, Q.; Wang, J.; Han, G. Effect of the repeat number and Co layer thickness on the magnetization reversal process in [Pt/Co(x)]N multilayers. J. Phys. D Appl. Phys. 2020, 53, 215001. [Google Scholar] [CrossRef]
- Kawaguchi, M.; Towa, D.; Lau, Y.-C.; Takahashi, S.; Hayashi, M. Anomalous spin Hall magnetoresistance in Pt/Co bilayers. Appl. Phys. Lett. 2018, 112, 202405. [Google Scholar] [CrossRef] [Green Version]
- Aboaf., J.A.; Herd., S.R.; Klokholm, A.E. Magnetic Properties and Structure of CobaltPlatinum Thin Films. IEEE Trans. Magn. 1983, MAG-1, 1514–1519. [Google Scholar] [CrossRef]
- Sorokin, A.N.; Svalov, A.V. Magnetic and galvanomagnetic properties of CoPt films. J. Magn. Magn. Mater. 1995, 146, 214–216. [Google Scholar] [CrossRef]
- Hashimoto, S.; Ochiai, Y.; Aso, K. Perpendicular magnetic anisotropy and magnetostriction of sputtered Co/Pd and Co/Pt multilayered films. J. Appl. Phys. 1989, 66, 4909–4916. [Google Scholar] [CrossRef]
- Carcia, P.F. Perpendicular magnetic anisotropy in Pd/Co and Pt/Co thin-film layered structures. J. Appl. Phys. 1988, 63, 5066–5073. [Google Scholar] [CrossRef]
- Kim, D.; Hong, J. Perpendicular magnetic anisotropy of ultrathin FeCo alloy films on Pd(001) surface: First principles study. J. Magn. Magn. Mater. 2009, 321, 1821–1827. [Google Scholar] [CrossRef]
- Khan, R.A.; Nembach, H.T.; Ali, M.; Shaw, J.M.; Marrows, C.H.; Moore, T.A. Magnetic domain texture and the Dzyaloshinskii-Moriya interaction in Pt/Co/IrMn and Pt/Co/FeMn thin films with perpendicular exchange bias. Phys. Rev. B 2018, 98, 064413. [Google Scholar] [CrossRef] [Green Version]
- Wang, X.; Liu, Y.; Wei, Y.; He, K.; Huang, Y.; Wang, J.; Liu, Q.; Han, G. Magnetic properties and magnetization reversal process in (Pt/CoFe/MgO)10 multilayers at low temperature. J. Magn. Magn. Mater. 2020, 499, 166318. [Google Scholar] [CrossRef]
- Domenichini, P.; Quinteros, C.P.; Granada, M.; Collin, S.; George, J.M.; Curiale, J.; Bustingorry, S.; Capeluto, M.G.; Pasquini, G. Transient magnetic-domain-wall ac dynamics by means of magneto-optical Kerr effect microscopy. Phys. Rev. B 2019, 99, 214401. [Google Scholar] [CrossRef] [Green Version]
- Yamamoto, K.; Moussaoui, S.E.; Hirata, Y.; Yamamoto, S.; Kubota, Y.; Owada, S.; Yabashi, M.; Seki, T.; Takanashi, K.; Matsuda, I.; et al. Element-selectively tracking ultrafast demagnetization process in Co/Pt multilayer thin films by the resonant magneto-optical Kerr effect. Appl. Phys. Lett. 2020, 116, 172406. [Google Scholar] [CrossRef]
- Svalov, A.V.; Aseguinolaza, I.R.; Garcia-Arribas, A.; Orue, I.; Barandiaran, J.M.; Alonso, J.; FernÁndez-Gubieda, M.L.; Kurlyandskaya, G.V. Structure and Magnetic Properties of Thin Permalloy Films Near the “Transcritical” State. IEEE Trans. Magn. 2010, 46, 333–336. [Google Scholar] [CrossRef]
- Zubar, T.I.; Fedosyuk, V.M.; Trukhanov, S.V.; Tishkevich, D.I.; Michels, D.; Lyakhov, D.; Trukhanov, A.V. Method of surface energy investigation by lateral AFM: Application to control growth mechanism of nanostructured NiFe films. Sci. Rep. 2020, 10, 14411. [Google Scholar] [CrossRef]
- Subhi, A.A.; Sbiaa, R. Control of magnetization reversal and domain structure in (Co/Ni) multilayers. J. Magn. Magn. Mater. 2019, 489, 165460. [Google Scholar] [CrossRef]
- Wang, X.; Zhu, Z.; Ma, L.; Feng, H.; Xie, H.; Wang, J.; Liu, Q.; Han, G. Influence of Deposition Cycle and Magnetic Annealing on High-Frequency Magnetic Properties of the [Co90Fe10/Ta]n Multilayer Thin Films. IEEE Trans. Magn. 2018, 54, 2800607. [Google Scholar] [CrossRef]
- Sharko, S.A.; Serokurova, A.I.; Novitskii, N.N.; Ketsko, V.A.; Smirnova, M.N.; Almuqrin, A.H.; Sayyed, M.I.; Trukhanov, S.V.; Trukhanov, A.V. A New Approach to the Formation of Nanosized Gold and Beryllium Films by Ion-Beam Sputtering Deposition. Nanomaterials 2022, 12, 470. [Google Scholar] [CrossRef]
- Wu, Y.; Zhang, J.; Wang, Z.C.; Wang, J.; Xu, X.G.; Miao, J.; Zhang, J.X.; Jiang, Y. Perpendicular magnetic anisotropy and thermal stability in Co2FeAl0.5Si0.5/Pt multilayers. Appl. Phys. A 2014, 117, 773–779. [Google Scholar] [CrossRef]
- Wu, Y.; Xu, X.G.; Miao, J.; Jiang, Y. Perpendicular Magnetic Anisotropy in Co-Based Full Heusler Alloy Thin Films. Spin 2016, 5, 1540012. [Google Scholar] [CrossRef]
- Jagla, E.A. Hysteresis loops of magnetic thin films with perpendicular anisotropy. Phys. Rev. B 2005, 72, 094406. [Google Scholar] [CrossRef] [Green Version]
- Meng, K.K.; Miao, J.; Xu, X.G.; Xiao, J.X.; Zhao, J.H.; Jiang, Y. Anomalous Hall effect inMn1.5Ga/TaandMn1.5Ga/Ptbilayers: Modification from spin-orbit coupling of heavy metals. Phys. Rev. B 2016, 93, 060406. [Google Scholar] [CrossRef]
- Wu, Y.; Zhang, J.; Xiong, Q.; Gao, S.; Xu, X.; Miao, J.; He, Z.; Jiang, Y. The Anomalous Hall Effect of Co2FeAl0.5Si0.5/Pt Multilayers with Perpendicular Magnetic Anisotropy. Appl. Phys. Express 2013, 6, 113003. [Google Scholar] [CrossRef]
- Loong, L.M.; Deorani, P.; Qiu, X.; Yang, H. Investigating and engineering spin-orbit torques in heavy metal/Co2FeAl0.5Si0.5/MgO thin film structures. Appl. Phys. Lett. 2015, 107, 022405. [Google Scholar] [CrossRef]
- Trukhanov, S.V.; Lobanovski, L.S.; Bushinsky, M.V.; Khomchenko, V.A.; Pushkarev, N.V.; Troyanchuk, I.O.; Maignan, A.; Flahaut, D.; Szymczak, H.; Szymczak, R. Influence of oxygen vacancies on the magnetic and electrical properties of La1−xSrxMnO3−x/2 manganites. Eur. Phys. J. B 2004, 42, 51–61. [Google Scholar] [CrossRef]





Publisher’s Note: MDPI stays neutral with regard to jurisdictional claims in published maps and institutional affiliations. |
© 2022 by the authors. Licensee MDPI, Basel, Switzerland. This article is an open access article distributed under the terms and conditions of the Creative Commons Attribution (CC BY) license (https://creativecommons.org/licenses/by/4.0/).
Share and Cite
Sun, Y.; Wu, L.; Yang, M.; Xia, M.; Gao, W.; Luo, D.; Huo, N.; Li, J. Anomalous Hall Effect and Magneto-Optic Kerr Effect in Pt/Co/Pt Heterostructure. Magnetochemistry 2022, 8, 56. https://doi.org/10.3390/magnetochemistry8050056
Sun Y, Wu L, Yang M, Xia M, Gao W, Luo D, Huo N, Li J. Anomalous Hall Effect and Magneto-Optic Kerr Effect in Pt/Co/Pt Heterostructure. Magnetochemistry. 2022; 8(5):56. https://doi.org/10.3390/magnetochemistry8050056
Chicago/Turabian StyleSun, Yiming, Liangwei Wu, Mengmeng Yang, Mengjia Xia, Wei Gao, Dongxiang Luo, Nengjie Huo, and Jingbo Li. 2022. "Anomalous Hall Effect and Magneto-Optic Kerr Effect in Pt/Co/Pt Heterostructure" Magnetochemistry 8, no. 5: 56. https://doi.org/10.3390/magnetochemistry8050056
APA StyleSun, Y., Wu, L., Yang, M., Xia, M., Gao, W., Luo, D., Huo, N., & Li, J. (2022). Anomalous Hall Effect and Magneto-Optic Kerr Effect in Pt/Co/Pt Heterostructure. Magnetochemistry, 8(5), 56. https://doi.org/10.3390/magnetochemistry8050056

