Abstract
In a three-year experiment (2019–2021), the roots of 7-year-old apple trees (Malus domestica cv. ‘Red Jonaprince’) grown under drip irrigation were studied. The aim of the study was to determine the effect of irrigation on root density at different depths and distances from the trunk. The working hypothesis assumed that irrigation significantly affects the total length of apple roots. The irrigation treatments corresponding to the calculated water evapotranspiration (ET100), 50% of the calculated ET (ET50), a control (ET0, no irrigation, under rainfed conditions), and a treatment using double-drip lines (2Drops) were monitored. Soil cores were collected in spring and autumn. The total length of the roots (TRLt) and the length of new vital roots (TRLv) to a depth of 80 cm were evaluated. The effects of treatments were mostly insignificant for the TRLt; only in the dry season in 2019 were the TRLt values of the irrigated treatments (ET50 and ET100) significantly higher, 18.67 km·m−2 and 17.45 km·m−2, in comparison to 11.16 km·m−2 for the ET0, at a 10 cm distance from the tree trunk. The irrigation treatments had a statistically significant effect on the TRLv values near the trunk in 2019 and 2020, while in autumn 2020 and 2021, irrigation significantly affected the TRLv at greater distances from the tree trunk. In summary, the irrigation treatments mostly had no significant effect on the total root length. However, an effect of irrigation on the root length of new vital roots was observed at certain sampling dates and distances from the trunk.
1. Introduction
Gradual changes in the climate, i.e., higher evapotranspiration and insufficient or irregularly distributed rainfall, have increased the need for the irrigation of field and perennial crops. In the conditions of the climate of Central Europe [1], supplementary irrigation represents an important stabilizing element necessary for intensive orchards with high and regular fruit production. For example, according to Dzikiti et al. [2], the average transpiration and demand for water during vegetation was 638 mm for ‘Cripps Pink’ orchards and 778 mm for ‘Golden Delicious’ orchards. Leib et al. [3] found that irrigated apple cv. ‘Fuji’ used 596 mm, 839 mm, and 685 mm in three years under a semi-arid climate. According to Lecaros-Arellano et al. [4], irrigation applied in a ‘Gala’ apple orchard, or calculated as demand, ranged from 308 to 566 mm. Local water shortages have further increased the need for higher water use efficiency [5,6,7,8,9]. There is an effort to reduce water consumption by reducing losses through deep soil percolation beyond the reach of the roots and unproductive evaporation from the soil [10]. At the same time, the impacts of irrigation on the yield and quality of production must be considered [11,12]. Lauri et al. [13] concluded that apple cultivation has developed tremendously in past decades thanks to various improvements usually carried out at the expense of increasing dependence on external inputs, such as water and fertilizers, generating environmental pollution and health issues. A deeper knowledge of the influence of irrigation and other factors on the distribution of roots and their uptake activity would enable a more accurate setting of irrigation management for improved water use efficiency and those of the applied nutrients. For example, 30-month monitoring and long-term modeling fluxes in the ‘Galaxy’ apple orchard indicated that the average amounts of drainage beneath the rootzone were 89 mm·yr−1 and 136 mm·yr−1, respectively [14]. Data on root distribution in terms of the water abstraction intensity are also important for choosing the appropriate location of moisture sensors intended to control irrigation doses [15].
Root plasticity in response to environmental conditions has received a lot of attention in recent years and is considered a key element in an effort to improve crop resilience under water-limiting conditions [16]. The evaluation of the root distribution data of fruit trees with respect to irrigation technology and doses is not simple. The most commonly used drip irrigation locally increases the water content in the vicinity of water emitters along the drip lines. This, in combination with fluctuating precipitation and water uptake by the roots, creates a spatially and temporally heterogeneous environment for root growth. This suggests possible implications for root uptake [17,18]. This issue is even more important when using alternative water-saving irrigation strategies, such as partial root-zone drying or regulated deficit irrigation [3]. Root density distribution, in interaction with soil hydraulic properties, determines the potential uptake of water from different depths and distances from the plant. For example, Besharat et al. [19] and Gong et al. [20] have demonstrated excellent agreement between measured data and simulated outputs of a root uptake model based on the root density distribution. The close relationship between the distribution of the root density and the distribution of water uptake suggests the importance of the possible modification of root density by irrigation.
The research and monitoring of root growth and development are methodologically laborious and time-consuming, especially using methods excavating the entire root system [21,22]. Various methods, such as the monolith or profile trench method [23,24,25], or rhizotrons [22,26], have their methodological advantages and disadvantages. The soil sampling method with a root borer, followed by the separation of roots with water, was used in the study. This method makes it possible to directly determine the length and density of roots to the required depth, with relatively little damage to the root system and soil profile [27], which is important for monitoring the roots of fruit trees in longer time series.
The aim of this study was to determine the effect of irrigation on root density at different depths and distances from the trunk. We assumed, as a working hypothesis, that differential irrigation significantly affects the total root length of apples.
2. Materials and Methods
2.1. Site Climate and Soil Conditions
The three-year experiment (2019–2021) was performed at the Research and Breeding Institute of Pomology Holovousy (50.3733847′ N, 15.5798914′ E), in East Bohemia of the Czech Republic (Figure 1). The orchard is situated 302 m above sea level on Haplic Luvisol soil, and the slope is 2.09°.
Figure 1.
The map of the experimental site in the Czech Republic.
The site belongs to a region with temperate climate conditions, with a mean annual temperature (1964–2021) of 8.8 °C and rainfall of 664 mm; the respective means of the experimental years (2019–2021) were 9.8 °C and 614 mm. The reference evapotranspiration (Penman-Monteith, ETo) was approximately 560 mm, with a maximum month sum from June to August (81–95 mm). The negative water balance and water deficit occurred mostly during summer. Water availability was affected by a fluctuation of precipitation (Figure 2) and water reserves in the root zone. The water table was approximately 5 m deep, and it did not influence the soil water in the root zone during the vegetation season.

Figure 2.
Daily precipitation sums, evapotranspiration (ET), and irrigation doses in experimental years (figure above). Average relative values of available soil water content (ASWC) (figure below).
Apple trees (Malus domestica) of the ‘Red Jonaprince’ variety, planted in 2013, were monitored. The cultivation form is a slender spindle with a ‘click’ pruning modification. The trees were planted in spacings of 3.5 × 1.2 m, with a 1.5 m width herbicide strip under the crown of the trees. The grass strips between the tree rows were periodically mowed. All variants were fertilized annually with the same dose of NPK fertilizer (16.5/16.5/16.5), 769 kg/ha. Half of the dose was applied to the soil surface on the herbicide strips in April, and the other half in May. Detailed site and set data are shown in Table 1.
Table 1.
Soil and agrochemical data of orchard in Holovousy.
2.2. Irrigation Treatments
The irrigation dose was calculated as the balance difference between the calculated evapotranspiration and the observed amount of precipitation, a commonly used procedure for the determination of crop water requirements [5,28,29]. Thus, the intensity of irrigation varied in the experimental years due to the temperature, evapotranspiration, and the intensity and distribution of precipitation during the year (Figure 2). The actual evapotranspiration was calculated using the agrometeorological model AVISO [9,29,30], based on the daily data of weather indicators from a meteorological station located directly in the orchard. The model run was initialized on January 1 of a given year and based on soil moisture data monitored continuously using Virrib sensors (Amet, Velké Bílovice, Czech Republic) [31].
The experiment included four treatments: ET100—irrigation doses replaced 100% of the calculated evapotranspiration; ET50—50% of the calculated evapotranspiration was replaced throughout the vegetation period; ET0, a non-irrigated control treatment dependent only on rainfall; 2Drops—a full dose of water was applied as in the ET100. The 2Drops treatment has been monitored since spring 2020. The treatments were managed in particular irrigation sections consisting of 17 trees in a particular row. Irrigation was applied using drip lines guided along one side of the tree trunk at a height of 40 cm (Figure 3). The distance between the water emitters on the drip lines was 50 cm, and the emitter capacity was 2.3 L per hour. In the 2Drops treatment, irrigation was applied using two parallel drip lines guided on both sides of the trunks at a distance of 40 cm. This treatment was included with the intention of more uniform moistening of the soil under the crown of the tree [32]. Irrigation was applied from April to September in all treatments on the same days, according to the calculated demand, in small doses of approximately 6–9 mm two to three times per week to ensure the uniform infiltration of water into the soil and to prevent possible seepage beyond the root zone. The total water received by the apple tree of the ET100 treatment in 2019 was 548 mm (298 mm irrigation + 250 mm rainfall); in 2020, it was 556 mm (54 mm irrigation + 502 mm rainfall); in 2021, it was 606 mm (196 mm irrigation + 410 mm rainfall). The ET50 received 50% of the applied irrigation of the ET100, while the ET0 did not receive any irrigation and was kept under rainfed conditions.
Figure 3.
The scheme of the planting pattern, drip irrigation layout, and root sampling location.
2.3. Soil Sampling and Root Measurement
Root growth was monitored in the trial treatments: ET0, ET50, ET100, and 2Drops. Soil cores were collected on two dates, at the beginning of spring vegetation, around flowering (BBCH 50–62) (2 April 2019, 28 April 2020, 21 April 2021) and in autumn (11 November 2019, 26 October 2020, 10 November 2021), after the fruits were harvested and before the leaves fell (BBCH 90–92). In the spring of 2019, samples were taken from the orchards before the start of irrigation in two replications without differentiation among the planned treatment positions. In previous years, the same doses of supplementary irrigation were applied to the entire orchard.
The sampling of the soil cores was carried out with a soil probe/corer with a diameter of 4 cm. The soil was collected at distances of 10 cm, 30 cm, and 60 cm from the trunk, horizontally with the row of trees, on the side with the drip lines, and vertically to the direction of the row of trees, toward the inter-row space (Figure 3). The soil was sampled in two repetitions (always for two trees of a given treatment) in layers of 20 cm, to a depth of 80 cm. Roots of the same trees were sampled in a year, from opposite sides in spring and autumn. The trees in the orchard are rather uniform, but still, trees of similar size that possessed similar crown volumes and tree trunks were selected for sampling.
The roots were separated with water on a set of sieves, the samples were cleaned in the laboratory, and the length of the roots was determined by the method of Tennant [33]. The method is based on the number of intercrossings of roots with horizontal and vertical lines of a square grid. When measuring the length (intercrossings), new young vital roots, which accounted for averages of 37% (2019), 20% (2020), and 23% (2021) of the total root length, were distinguished. These vital roots, with a smooth undisturbed surface, were identified by color (light brown) from the older black and dark brown colored roots (Figure 4). The root density of all roots (RDt) and the root density of young vital roots (RDv) in cm·cm−3 were calculated for layers 0–20 cm, 20–40 cm, 40–60 cm, and 60–80 cm. The total root length (TRLt, TRLv) to a depth of 80 cm was calculated in km·m−2. The TRL (km·m2) was calculated by summing the root length from the RD (in cm·cm−3) in the respective layers to an 80 cm depth and converting the measurement from square cm to m2.
Figure 4.
Difference in color of new (light brown) and old roots (dark brown).
2.4. Statistical Analysis
A statistical evaluation was performed using the STATISTICA 14 program (TIBCO software, StatSoft, Inc., Tulsa, OK, USA). The effects of treatments for different distances from the tree trunk and dates of sampling were analyzed using one-way analysis of variance (ANOVA). The differences among the means were evaluated with Tukey’s HSD test (at p < 0.05) where relevant.
3. Results
3.1. Distribution of Roots in the Soil Profile
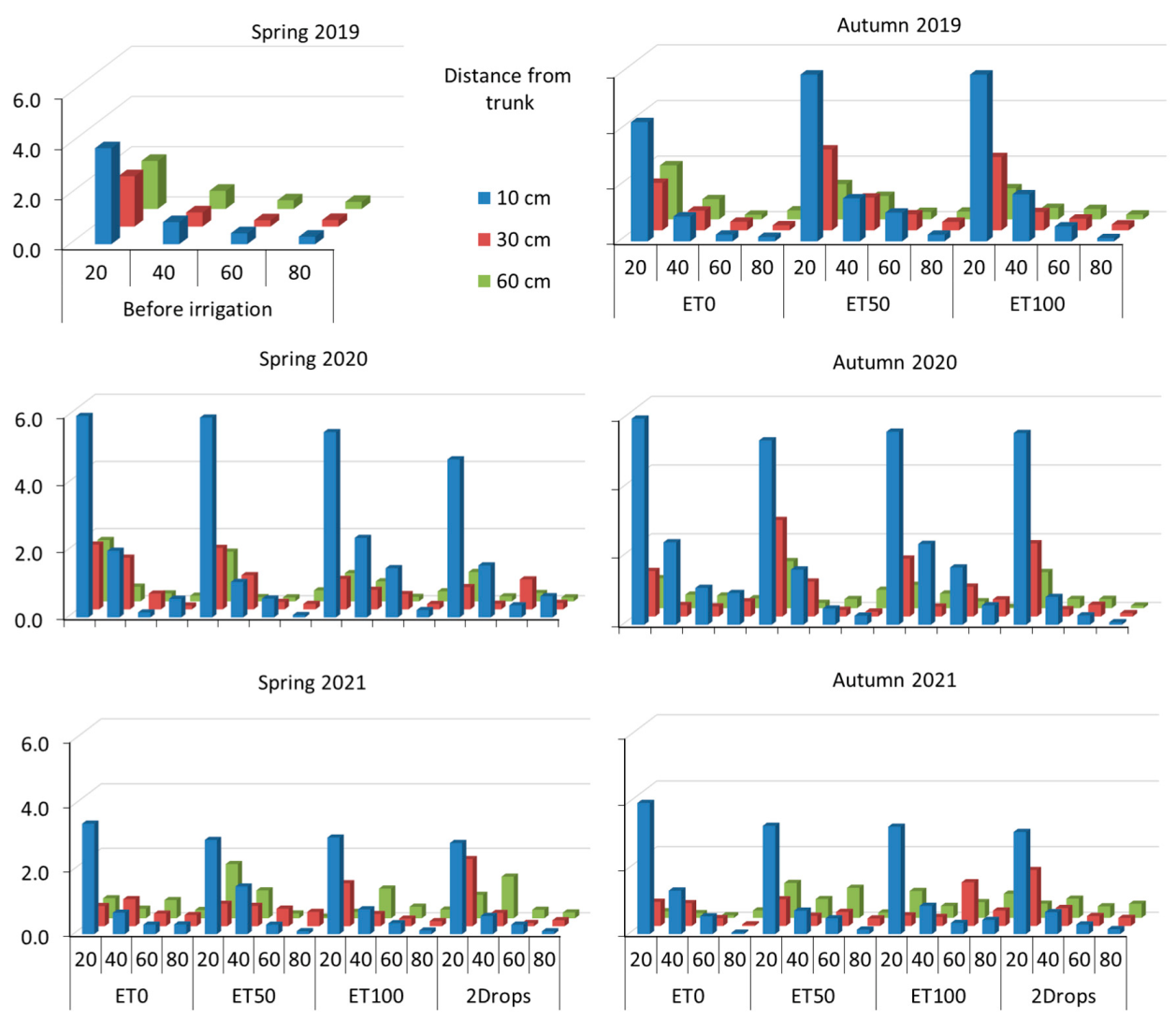
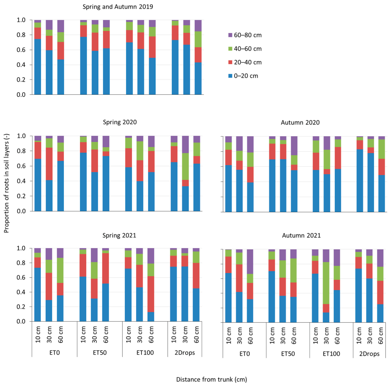
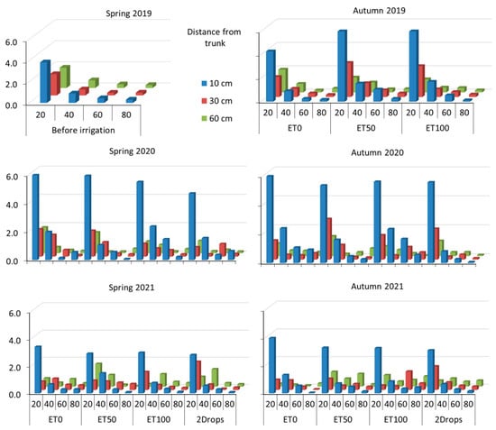
The density of all roots (RDt) decreased with the depth, especially near the trunk (Figure 5). On average for the years and treatments, 69%, 52%, and 48% of the roots to an 80 cm depth were concentrated in the upper 20 cm layer at distances of 10 cm, 30 cm, and 60 cm from the trunk, respectively (Figure 6). The decrease in the root density with depth was clear at the start of the experiment (2019) and less pronounced in the following years, at distances of 30 cm and 60 cm from the tree trunk. There was a tendency for a greater proportion of roots in the topsoil layer in the ET50 and 2Drops treatments in 2020.
Figure 5.
Distribution of all roots (RDt) in a soil profile to a depth of 80 cm at distances of 10 cm, 30 cm, and 60 cm from the trunk. ET0, ET50, ET100, and 2Drops refer to the variants—rain-fed control without irrigation, doses of 50% and 100% of calculated evapotranspiration, and a dose of 100% applied by two lines of irrigation hoses, respectively.
Figure 6.
Proportion of the root density (RDt) in the soil layers (0–20 cm, 20–40 cm, 40–60 cm, and 60–80 cm) in increasing distance from the trunk (10 cm, 30 cm, and 60 cm), in the spring and autumn sampling terms. ET0, ET50, ET100, and 2Drops refer to irrigation water rate variants (see Figure 5).
The root density in the top 0–20 cm soil was the highest in all years and treatments near the trunk (Figure 5) and decreased with increasing distance from the trunk. In the third year of the experiment, there was a tendency for a higher root density at a distance of 60 cm compared to a distance of 30 cm. In deeper subsoil layers (40–60 cm and 60–80 cm), the decrease in the RDt with the distance from the trunk was less apparent. In 2021, the RDt in layers under a 20 cm depth was similar or greater at a 60 cm distance compared to a 30 cm distance. On average for the years and treatments, the RDt values at a 0–20 cm depth were 4.63 cm·cm−3, 1.54 cm·cm−3, and 1.05 cm·cm−3, at distances of 10 cm, 30 cm, and 60 cm from the trunk; the respective values at a 60–80 cm depth were 0.27 cm·cm−3, 0.24 cm·cm−3, and 0.26 cm·cm−3.
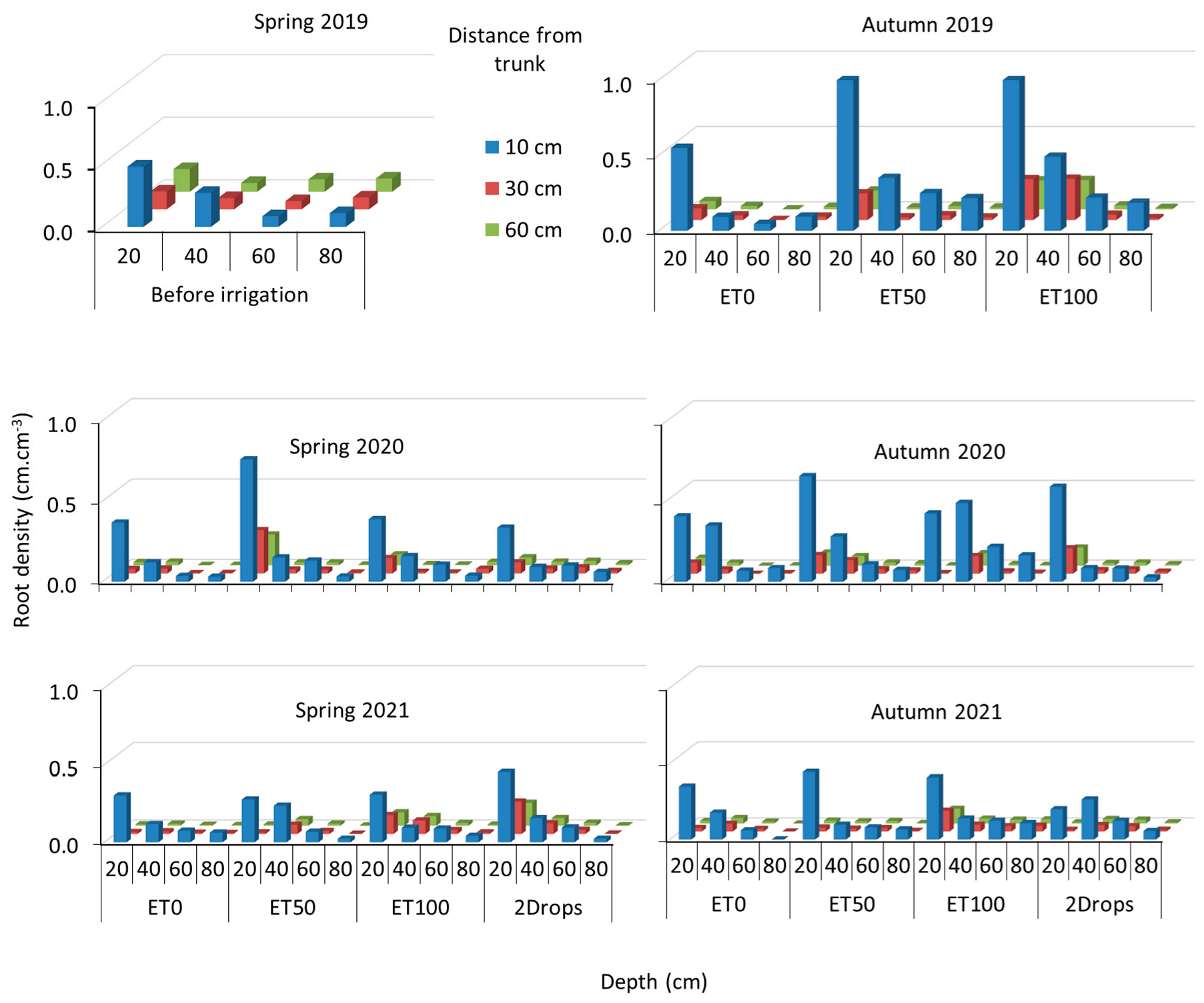
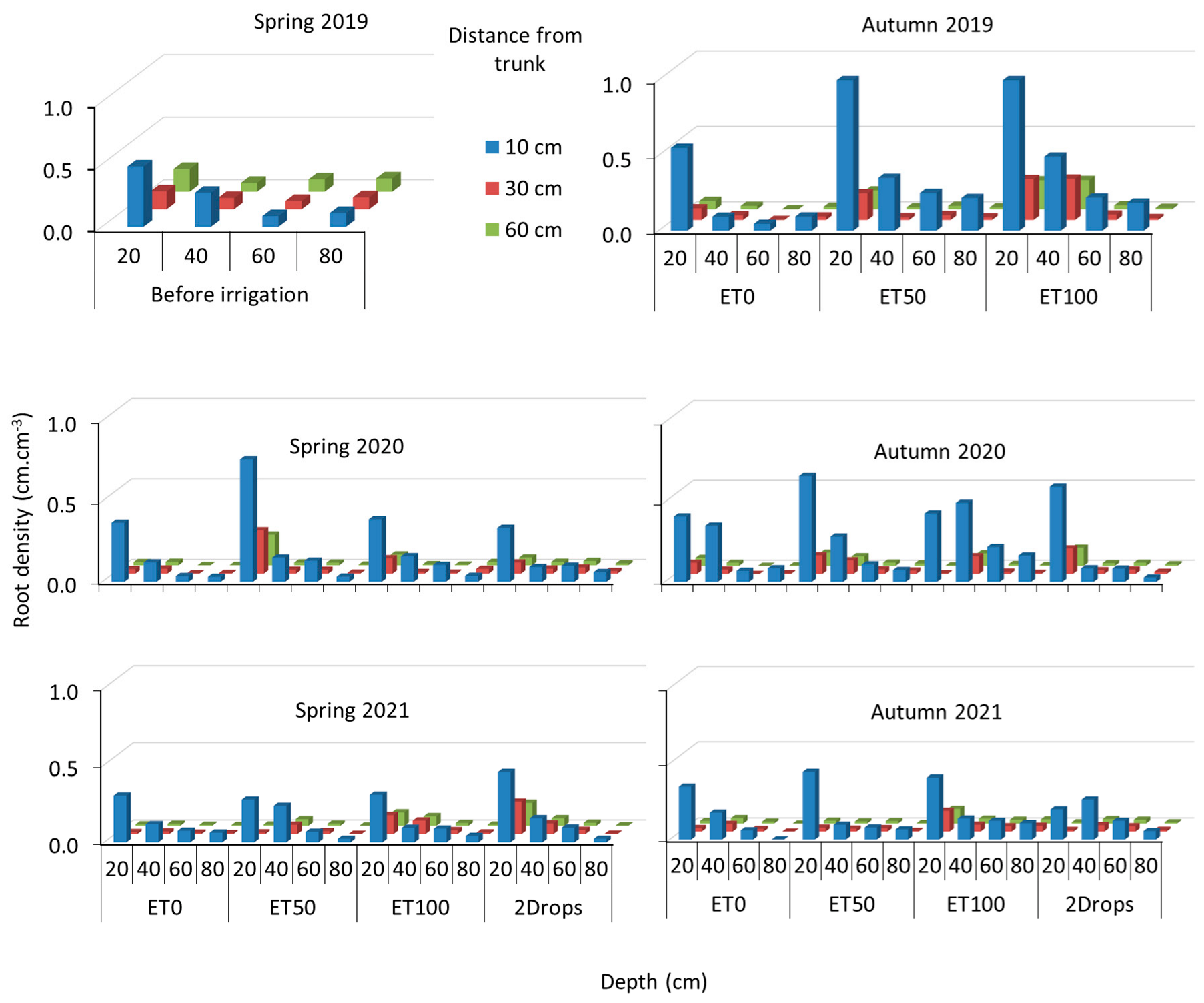
The decrease in the roots with depth was less apparent in the root density of new vital roots (Figure 7). The RDv represented, on average, 37% (autumn 2019), 15%, and 24% (spring and autumn 2020), and 22% and 24% (spring and autumn 2021) of the RDt. The proportions of RDv on RDt increased from the top 0–20 cm layer to the 60–80 cm layer. In 2019, the new vital roots represented, on average, 17%, 31%, 37%, and 66% of the RDt; in 2020, the averages were 9%, 17%, 27%, and 25%; in 2021, the corresponding values were 15%, 23%, 27%, and 26% in the respective soil layers. The RDv also decreased with distance from the trunk, but the decrease was less steep than in the RDt (Figure 7).
Figure 7.
Distribution of new vital roots (RDv) in soil profile to a depth of 80 cm at distances of 10 cm, 30 cm, and 60 cm from the trunk. ET0, ET50, ET100, and 2Drops refer to irrigation water rate variants (see Figure 5).
3.2. Effect of Irrigation Treatments on Total Root Length
Tracking the roots at different depths, three distances from the trunk, and in two directions provided a large amount of data. We analyzed, with ANOVA, the effects of the treatments on the total root length in the 0–80 cm soil layer for the total (TRLt) and new vital roots (TRLv) on individual sampling dates. The values of the TRLt and TRLv are expressed in km·m−2 to enable comparison with the literature data.
The irrigation treatments significantly affected the TRLt only in autumn 2019 and autumn 2020, near the trunk tree, and in autumn 2021 at 60 cm from the trunk (Table 2). However, the analysis of significant differences showed the opposite effect of treatments on the TRLt in autumn 2019 and autumn 2020 (Table 3). In new vital roots, the effect of irrigation on the TRLv was confirmed in 2019 and 2020 near the trunk. In 2021, the effect was found mostly at greater distances from the trunk (Table 2). Similar to the TRLt, the TRLv of the ET0 was significantly lower than the ET50, ET100, and 2Drops in autumn 2019 and 2020 (Table 4). There was a tendency for a lower TRLv at a greater distance from the trunk in autumn 2020 and 2021, except for at a 30 cm distance in spring 2021. The average RTLv values of the treatments (in 2020–2021) at a 10 cm distance show (insignificantly) greater root length in treatments ET50 and ET100, of 1.76 km·m−2 and 1.66 km·m−2, in comparison to the ET0 and 2Drops, with 1.31 km·m−2 and 1.38 km·m−2, respectively.
Table 2.
The statistical analysis (ANOVA) of the effect of irrigation treatments on the total length of all roots in a sample (TRLt); and the total length of new vital roots in a sample (TRLv) at distances of 10 cm, 30 cm, and 60 cm from the tree trunk.
Table 3.
Total root length of all roots to a depth of 80 cm (TRLt) at distances of 10 cm, 30 cm, and 60 cm from the tree trunk, in experimental years and variants. ET0, ET50, ET100, and 2Drops refer to irrigation water rate variants (see Figure 5).
Table 4.
Total root length of new vital roots to a depth of 80 cm (TRLv) at distances of 10 cm, 30 cm, and 60 cm from the tree trunk, in experimental years and variants. ET0, ET50, ET100, and 2Drops refer to irrigation water rate variants (see Figure 5).
The effects of the treatments on the TRLt and TRLv were not consistent among years and sampling terms; for example, the TRLv was low with the ET0 and 2Drops treatments at a 30 cm distance in 2020 and spring 2021, but in autumn 2021, a lower RTLv was observed for the ET50 and ET100. At a 60 cm distance, lower values of TRLv were observed for the ET0.
At 10 cm from the trunk, the TRLt reached significantly higher values in 2020 than in 2021—on average, 17.31 km·m−2 (13.5–22.7 km·m−2) compared to 9.29 km·m−2 (7.6–11.8 km·m−2) in 2021. In autumn 2019, it was 15.8 km·m−2 (10.9–18.7 km·m−2) (Table 3). The average TRLt values in spring and autumn 2020 were 16.6 km·m−2 and 18 km·m−2, respectively, while in 2021, the corresponding values were 8.7 km·m−2 and 9.8 km·m−2.
At a distance of 30 cm, the average TRLt was significantly higher in 2019 than in 2021, 7.9 km·m−2 compared to 4.5 km·m−2. The TRLt in 2020 (6.0 km·m−2) was not significantly different from that in 2019 and 2020. The average values of TRLt in the spring and autumn sampling terms in 2020 were 5.65 km·m−2 and 6.32 km·m−2; and 4.70 km·m−2 and 4.35 km·m−2 in 2020, respectively. At a distance of 60 cm from the trunk, the TRLt values were similar in the experimental years 2020 and 2021, with averages of 3.62–4.34 km·m−2 and 5.25 km·m−2 in autumn 2019.
The average RTLv values of the new vital roots at all distances from the tree trunk were significantly greater in autumn 2019 in comparison to the following years (Table 4). The average RTLv in 2020 and 2021 were not significantly different. The average values of the RTLv in spring and autumn were not significantly different.
4. Discussion
In the experimental years, the intensity of precipitation differed significantly in the periods of intensive growth and high evapotranspiration. The rainfall water input interacted with the differentiated doses of irrigation water, complicating the interpretation of the effect of the treatments on root growth. Water seepage from rainfall and irrigation, water uptake by roots from different soil layers, and possible differences in the intensity of water uptake in individual treatments create a temporally and spatially heterogeneous soil environment [34,35,36,37,38]. These factors hindered the search for simple relationships between soil moisture and root growth or morphology.
The influence of irrigation treatments on the total root length to a depth of 80 cm (TRLt) was not significant except for the TRLt in autumn 2019 (at distances of 10 cm and 30 cm), autumn 2020 (10 cm), and in autumn 2020 near the tree trunk. In new vital roots, the effects of the treatments on the TRLv were significant in nine of fifteen cases, and the effects of irrigation treatments on the TRLv seemed to expand from near the trunk to greater distances during the experimental years (Table 2). Near the trunk, the TRLt values in 2020 and 2021 were mostly (insignificantly) higher for the ET0 and ET100 variants compared to the ET50 and 2Drops treatments.
The greater effect of irrigation on new vital roots corresponds to the strategy of the plants to gradually occupy new soil zones with roots in their response to environmental conditions. It was also reflected in the tendency for an increased density of roots at a distance of 60 cm from the trunk in the third year of the experiment. The trend is further confirmed by the increase in the proportion of new vital roots with increasing depth and distance from the trunk. Similarly, an increase in the proportion of “absorptive” fine roots in 9- and 14-year-old ‘Golden Delicious’, ‘Gala’, and ‘Starking’ apple trees laterally and in depth was observed by Thomaj et al. [39]. Tanasescu and Paltineanu [24] found a higher influence induced by the different irrigation treatments on the “active absorbent” apple tree root. According to our results, new vital roots are more responsive to differentiated irrigation, similar to the aforementioned active, absorptive roots; but, the aspect of subjectivity remains here.
Differences in root density among the treatments, years, and monitoring dates cannot always be simply explained. The higher density of roots (RDt) near the trunk in the surface layer with the ET0 compared to the ET50 and 2Drops in 2020 and 2021 could be explained by the adaptive response of the roots to the lack of water; plants increase the investment of substances into the root system to obtain additional resources [40,41]. A lower and variable supply of water through rainfall alone stimulates root growth, while regular water replenishment through irrigation does not stimulate root growth in the surface layer. However, the TRLt was also insignificantly greater with the ET100 in spring and autumn 2020 (the year with the lowest total irrigation), thanks to the greater root growth in the deeper soil layers. One possible explanation for the discrepancy may be some residual effect of drought and irrigation on root growth in the previous year, as indicated by the significant difference in water availability between the ET100 and ET0 or ET50 treatments, despite the low irrigation doses in 2020 (Figure 2).
Sokalska et al. [42] observed in their experiment, after 12 years of irrigation, ‘Gloster’ apple trees had concentrated roots on the irrigated side of the tree, while on the opposite side, the trees developed significantly higher numbers of roots, which penetrated deeper soil layers. In the experiment of Du et al. [43], irrigation with a high frequency significantly increased the root length density in comparison to conventional irrigation. Kadayifçı et al. [44] found that the root distribution of young apple trees was uniform in all irrigation methods used in their study. In our study, we did not observe a systematically greater density of roots in the deepest layers, below 60 cm, with the non-irrigated treatment. The density of roots in layers below 20 cm was, in many cases, higher with irrigation treatment, but the effect was not systematic in the sampling terms and years. Frequent watering in small doses, which does not replenish the water depleted by roots from these deeper layers, might signal the need to invest in root growth. In the case of the 2Drops treatment (total amount of irrigation water equal to the ET100), the root density in the surface layers was usually more similar to the ET50, which corresponds to the frequent application of small amounts of water, which is enough to moisten only the surface layer. Therefore, root growth was influenced by conflicting processes, stimulating an investment of substances from aboveground parts into the root system as a response to the lack of water. On the other hand, the support of the total plant growth was due to regular water replenishment by irrigation. This was probably the reason for the clearly positive effect of irrigation in the year 2019, the first year of differentiated irrigation. The year 2019 was dry in most months, while in 2020, precipitation fluctuated strongly, and rainfall was more evenly distributed in 2021 (Figure 2). However, the meteorological conditions in the experimental years (except for 2019), in spite of varying precipitation sums, replenished more or less soil water during growth. The sensing root environment, and connected signaling and impacts on plants represent a complex phenomenon, especially in perennial species and fruit trees [45,46]. It is necessary to mention that the location of the drippers in relation to the trunk in our study was not completely identical for individual trees; the differences in position were in the range of centimeters, contributing to soil moisture spatial variability.
The total root length (TRLt) of all roots and young new vital roots (TRLv) to a depth of 80 cm were significantly higher in both sampling terms and for all treatments in 2020 than in 2021. In 2020, a higher TRLt was manifested mainly near the trunk and, to a lesser extent, at a distance of 30 cm. The reason for these differences is not clear, but 2020 was characterized by very low precipitation in winter and spring (January, March, and April) after the dry year of 2019. The soil moisture in spring (April, before the start of irrigation) was lower in 2020 than in 2021 and 2019; the 0–30 cm layer was unusually dry (13.5%) in comparison to moisture levels of about 20% and 25% in 2019 and 2021, respectively (not shown). These conditions suggest the stimulation of root growth in spring as a response to lower water availability. Later, exceptionally high precipitation in June 2020 (168 mm) and August 2020 (121 mm) and near-average precipitation in May and July resulted in lower calculated demand for water and applied irrigation in comparison to 2019 and 2021. The analysis of variance showed a significant effect of the year on the TRLt and TRLv (Table 2), but the significant differences among the years were confirmed only for the root length near the trunk.
The question is the importance of the modification of root density in terms of water uptake. The root system size, properties, and distribution determine the plant’s access to water. Water uptake models based on root density distributions correspond very well to observations, indicating the importance of possible changes caused by irrigation and other agronomic measures [19,20]. On the other hand, the effect of differences in crop root traits is expected to be more pronounced in the case of resource, water, or nutrient scarcity [47,48,49]. Irrigation keeps the acceptable water content at an optimal level; so, the demand for water should be saturated, and the significance of differences in density is likely to be less pronounced.
The data on the depth and distribution of the roots of apple trees vary significantly among different authors, depending on the age of the trees, the type of rootstock, the soil type and species, and agro-technical practices. In our experiment, the density of roots decreased with increasing depth and distance from the trunk, as is commonly observed in apple trees [24,25,44]. On average, 48–69% of the total length to an 80 cm depth was concentrated in the upper 20 cm, depending on the distance from the trunk. A similar root distribution was described by Tanasescu and Paltineanu [24] for 7- to 14-year-old ’Golden Delicious’ under comparable soil and climate conditions. However, in deep loess soils without irrigation, Song et al. [50] observed a far greater rooting depth; 5.6% to 38% of the total dry mass of the roots was in the 200–300 cm layer.
The distribution of the roots in the soil profile is an important indicator for determining the optimal irrigation depth. Tsoulias et al. [51] concluded that the precise adjustment of irrigation, including the plant data (rooting depth, root water potential), can optimize water use. The results presented in this study demonstrate that, under the given moisture conditions, the drip irrigation treatments did not systematically change the horizontal or vertical distribution of the apple tree roots compared to the non-irrigated control. Paltineanu et al. [23] derived, from a root study on the ‘Topaz’ apple cultivar, that when a full irrigation regime was applied, a soil depth of 0.8 m was sufficient for water application, and soil depths of 0.4 to 0.6 m were recommended for deficit irrigation. Zheng et al. [52] showed, with simulation and water stable isotopes, that the main depth of root water uptake was in the 0–60 cm layer during the growth season, with the main contribution occurring in the 0–40 cm layer. The possible impact of root density differences observed in our study on water uptake should be evaluated with respect to the plant’s ability to modify the rate of water uptake by roots. [38].
An important feature of an effective irrigation system is the reduction of the unproductive seepage of water (with nutrients) outside the root zone. On the basis of experimental data and modeling, Green et al. [38] found that more frequent irrigation in smaller doses resulted in less water percolating, more efficient use of water, and a reduction in the percolation losses of nutrients beyond the grasp of the roots. Our data also suggest that irrigation to a maximum soil depth of at least 40–60 cm (average RDt values of 0.56, 0.44, and 0.31 cm·cm−3 at distances of 10 cm, 30 cm, and 60 cm, respectively) or 60–80 cm (average RDt values of 0.27, 0.24, and 0.26 cm·cm−3 at distances of 10 cm, 30 cm, and 60 cm, respectively) ensured that the water was available for and depleted by the apple roots. It is assumed that even sparse root density in deep subsoil zones is able to deplete a significant portion of available water, as observed in field crops [48,49,53,54], but irrigation water from wetted topsoil with dense roots is depleted preferentially [55]. In wheat, Zhang et al. [56] confirmed that a root length density of at least 1 cm·cm−3 (often assumed as a limit of the effective root density) is needed to drain all the available water in the soil; in deeper layers where the root length density was less than 1 cm·cm−3, water uptake by the roots was proportional to the root density. We have no reliable data on the effective root density in apple trees, but in analogy to the results of Zhang et al. [56], the effect of different irrigation on the growth of new roots in deep subsoil may be important for the effective depletion of soil water reserves.
There are several works dealing with the effect of variety or type of rootstock on the root system of apple trees [25,39,44], but little attention has been paid to the importance of the interaction of genotype and irrigation intensity in terms of root system development. It can be expected that the rootstock will have a significant influence, as indicated, for example, by the results of Nielsen et al. [57] or Rogers et al. [21]. It should be noted that insufficient knowledge of the effect of different irrigation intensities on the root system of apple trees limits the use of the knowledge obtained for one variety and rootstock for other genotypes.
5. Conclusions
Irrigation treatments mostly did not have a significant effect on the total root length under the given soil and climate conditions, which means that the validity of the working hypothesis was not confirmed. However, the effects of irrigation on the root length of new vital roots were observed in several cases (based on sampling terms and distances from the trunk). The changes in the root length in the years of the experiment were not consistent, and the treatments did not change the distribution of the roots to such an extent that it would fundamentally modify the potential of apple trees for the depletion of water from drip irrigation. The interpretation of the observed differences in the root density and total roots between variants was complicated by the interactions of the biological properties of the trees with environmental factors, adaptive responses of the root system, and highly variable precipitation in the experimental years and during the vegetation. The practical applicability of data obtained at one location, with one variety and rootstock, is thus limited. From the point of view of drip irrigation technology, it is important that the irrigation did not significantly reduce the extent and density of the roots, features important for the efficiency of the use of water and nutrients from the entire rooted soil volume.
Monitoring the effect of irrigation over a longer period of time may contribute to a better explanation of the impact of the interaction of environmental factors. The findings from monitoring the new vital roots suggest that the influence of irrigation may have a greater effect on root morphology. For this purpose, it will be necessary to examine, for example, the surface of the roots or the vitality of the root tissues using appropriate methods. From the point of view of the vertical and horizontal extent of the root system for the use of irrigation management in orchards, however, root density appears to be the primary indicator.
Author Contributions
Conceptualization, P.S. and J.H.; methodology, P.S. and M.M. (Martin Mészáros); validation, J.H. and I.R.; formal analysis, M.M. (Michal Moulík), M.M. (Martin Mészáros), and G.K.; investigation, P.S. and M.M. (Michal Moulík); resources, M.M. (Martin Mészáros); data curation, P.S. and M.M. (Michal Moulík); writing—original draft preparation, P.S. and J.H.; writing—review and editing, J.H., M.M (Michal Moulík), and I.R.; visualization, J.H.; supervision, M.M. (Martin Mészáros) and G.K.; project administration, P.S. and I.R.; funding acquisition, M.M. (Martin Mészáros). All authors have read and agreed to the published version of the manuscript.
Funding
This research was funded by the Ministry of Agriculture of the Czech Republic, project no. QK1910165 and Research Plan CRI RO0418.
Data Availability Statement
Data and scripts generated and/or analyzed during this study are available from the corresponding author upon request.
Acknowledgments
The authors are thankful to Věra Schäferlingová and Dominika Kozlovská for their careful and precise processing of the root samples, and to Karina Kremleva for technical support.
Conflicts of Interest
The authors declare no conflict of interest.
References
- Tolasz, R.; Míková, T.; Valeriánová, A.; Voženílek, V. Climate Atlas of Czechia; Czech Hydrometeorological Institute: Prague, Czech Republic, 2007; ISBN 978-80-86690-1. [Google Scholar]
- Dzikiti, S.; Volschenk, T.; Midgley, S.J.E.; Lötze, E.; Taylor, N.J.; Gush, M.B.; Ntshidi, Z.; Zirebwa, S.F.; Doko, Q.; Schmeisser, M.; et al. Estimating the water requirements of high yielding and young apple orchards in the winter rainfall areas of South Africa using a dual source evapotranspiration model. Agric. Water Manag. 2018, 208, 152–162. [Google Scholar] [CrossRef]
- Leib, B.G.; Caspari, H.W.; Redulla, C.A.; Andrews, P.K.; Jabro, J.J. Partial rootzone drying and deficit irrigation of “Fuji” apples in a semi-arid climate. Irrig. Sci. 2006, 24, 85–99. [Google Scholar] [CrossRef]
- Lecaros-Arellano, F.; Holzapfel, E.; Fereres, E.; Rivera, D.; Muñoz, N.; Jara, J. Effects of the number of drip laterals on yield and quality of apples grown in two soil types. Agric. Water Manag. 2021, 248, 106781. [Google Scholar] [CrossRef]
- Duffková, R.; Holub, J.; Fučík, P.; Rožnovský, J.; Novotný, I. Long-term water balance of selected field crops in different agricultural regions of the Czech republic using FAO-56 and soil hydrological approaches. Sustainability 2019, 11, 5243. [Google Scholar] [CrossRef]
- Středová, H.; Rožnovský, J.; Středa, T. Predisposition of drought occurrence in selected arid areas of the Czech Republic. Contrib. Geophys. Geod. 2013, 43, 237–252. [Google Scholar] [CrossRef]
- Trnka, M.; Feng, S.; Semenov, M.A.; Olesen, J.E.; Kersebaum, K.C.; Rötter, R.P.; Semerádová, D.; Klem, K.; Huang, W.; Ruiz-Ramos, M.; et al. Mitigation efforts will not fully alleviate the increase in water scarcity occurrence probability in wheat-producing areas. Sci. Adv. 2019, 5, eaau2406. [Google Scholar] [CrossRef] [PubMed]
- Trnka, M.; Balek, J.; Brázdil, R.; Dubrovský, M.; Eitzinger, J.; Hlavinka, P.; Chuchma, F.; Možný, M.; Prášil, I.; Růžek, P.; et al. Observed changes in the agroclimatic zones in the Czech Republic between 1961 and 2019. Plant Soil Environ. 2021, 67, 154–163. [Google Scholar] [CrossRef]
- Štěpánek, P.; Trnka, M.; Chuchma, F.; Zahradníček, P.; Skalák, P.; Farda, A.; Fiala, R.; Hlavinka, P.; Balek, J.; Semerádová, D.; et al. Drought prediction system for central europe and its validation. Geosciences 2018, 8, 104. [Google Scholar] [CrossRef]
- Huang, T.; Qi, F.; Ji, X.; Peng, Q.; Yang, J.; Wang, M.; Peng, Q. Effect of different irrigation levels on quality parameters of ‘Honeycrisp’ apples. J. Sci. Food Agric. 2022, 102, 3316–3324. [Google Scholar] [CrossRef]
- Kireva, R.; Mihov, M. Water productivity and the effect of watering on apples grown under conditions of optimal irrigation and water deficit. Mech. Agric. Conserv. Resour. 2020, 66, 81–85. [Google Scholar]
- Mašán, V.; Burg, P.; Čížková, A.; Skoupil, J.; Zemánek, P.; Višacki, V. Effects of irrigation and fertigation on yield and quality parameters of “Gala” and “Fuji” apple. Acta Univ. Agric. Silvic. Mendel. Brun. 2018, 66, 1183–1190. [Google Scholar] [CrossRef]
- Lauri, P.; Pitchers, B.; Dufour, L.; Simon, S. Apple farming systems—Current initiatives and some prospective views on how to improve sustainability. Acta Hortic. 2020, 1281, 307–322. [Google Scholar] [CrossRef]
- Hardie, M.; Green, S.; Oliver, G.; Swarts, N.; Clothier, B.; Gentile, R.; Close, D. Measuring and modelling nitrate fluxes in a mature commercial apple orchard. Agric. Water Manag. 2022, 263, 107410. [Google Scholar] [CrossRef]
- Jiang, X.; He, L. Investigation of effective irrigation strategies for high-density apple orchards in pennsylvania. Agronomy 2021, 11, 732. [Google Scholar] [CrossRef]
- Fromm, H. Root plasticity in the pursuit of water. Plants 2019, 8, 236. [Google Scholar] [CrossRef] [PubMed]
- Sharma, M.K.; Singh, A.; Mushtaq, R.; Nazir, N.; Kumar, A.; Khalil, A.; Bhat, R. Effect of soil moisture on temperate fruit crops: A review. J. Pharmacogn. Phytochem. 2018, 7, 2277–2282. [Google Scholar]
- Neilsen, D.; Neilsen, G.H. Efficient use of nitrogen and water in high-density apple orchards. Horttechnology 2002, 12, 19–25. [Google Scholar] [CrossRef]
- Besharat, S.; Nazemi, A.H.; Sadraddini, A.A. Parametric modeling of root length density and root water uptake in unsaturated soil. Turkish J. Agric. For. 2010, 34, 439–449. [Google Scholar] [CrossRef]
- Gong, D.; Kang, S.; Zhang, L.; Du, T.; Yao, L. A two-dimensional model of root water uptake for single apple trees and its verification with sap flow and soil water content measurements. Agric. Water Manag. 2006, 83, 119–129. [Google Scholar] [CrossRef]
- Rogers, W.S.; Vyvyan, M.C. The root systems of some ten year old apple trees on two different rootstocks, and their relation to tree performance; Annual Report, East Malling Research Station II, Supplement; East Malling Research Station: East Malling, UK, 1928; pp. 14–15. [Google Scholar]
- Gregory, P.J.; Bishop, G.J.; Fountain, M.T.; Harrison, R.J.; Saville, R.J. One hundred years of research at East Malling: Science into practice for perennial fruit crops. Ann. Appl. Biol. 2013, 163, 1–11. [Google Scholar] [CrossRef]
- Paltineanu, C.; Nicolae, S.; Tanasescu, N.; Chitu, E.; Ancu, S. Untersuchung der Durchwurzelung von Pflaumen- und Apfelbäumen auf schwachwachsenden Unterlagen zur Optimierung der Obstplantagen-Bewirtschaftung. Erwerbs-Obstbau 2017, 59, 29–37. [Google Scholar] [CrossRef]
- Tanasescu, N.; Paltineanu, C. Root distribution of apple tree under various irrigation systems within the hilly region of Romania. Int. Agrophys. 2004, 18, 175–180. [Google Scholar]
- Fernandez, R.T.; Perry, R.L.; Ferree, D.C. Root distribution patterns of nine apple rootstocks in two contrasting soil types. J. Am. Soc. Hortic. Sci. 1995, 120, 6–13. [Google Scholar] [CrossRef]
- Rogers, W.S. The East Mailing root-observation laboratories. In Root Growth; Whittington, W.J., Ed.; Butterworth: London, UK, 1969; pp. 361–376. [Google Scholar]
- Smit, A.L.; Bengough, A.G.; Engels, C.; van Noordwijk, M.; Pellerin, S.; van de Geijn, S.C. Root Methods: A Handbook; Springer: Berlin/Heidelberg, Germany, 2000; ISBN 3540667288. [Google Scholar]
- Fallahi, E.; Neilsen, D.; Neilsen, G.H.; Fallahi, B.; Shafii, B. Efficient irrigation for optimum fruit quality and yield in apples. HortScience 2010, 45, 1616–1619. [Google Scholar] [CrossRef]
- Allen, R.G.; Pereira, L.S.; Raes, D.; Smith, M. Crop Evapotranspiration-Guidelines for Computing Crop Water Requirements-FAO Irrigation and Drainage Paper 56; FAO: Rome, Italy, 1998; ISBN 9251042195. [Google Scholar]
- Kohut, M.; Fiala, R.; Chuchma, F.; Rožnovský, J.; Hora, P. Monitoring of Drought on the CHMI Website. In Proceedings of the Mendel and Bioklimatologie, Brno, Czech Republic, 3–5 September 2014; pp. 1–19. [Google Scholar]
- Litschmann, T. Virrib: A soil moisture sensor and its application in agriculture. Commun. Soil Sci. Plant Anal. 1991, 22, 409–418. [Google Scholar] [CrossRef]
- Li, Z.; Zong, R.; Wang, T.; Wang, Z.; Zhang, J. Adapting root distribution and improving water use efficiency via drip irrigation in a jujube (Zizyphus jujube Mill.) orchard after long-term flood irrigation. Agriculture 2021, 11, 1184. [Google Scholar] [CrossRef]
- Tennant, D. A Test of a Modified Line Intersect Method of Estimating Root Length. J. Ecol. 1975, 63, 995–1001. [Google Scholar] [CrossRef]
- Lind, K.R.; Siemianowski, O.; Yuan, B.; Sizmur, T.; Van Every, H.; Banerjee, S.; Cademartiri, L. Evidence for root adaptation to a spatially discontinuous water availability in the absence of external water potential gradients. Proc. Natl. Acad. Sci. USA 2021, 118, e2012892118. [Google Scholar] [CrossRef] [PubMed]
- Hodge, A. Roots: The Acquisition of Water and Nutrients from the Heterogeneous Soil Environment. In Progress in Botany 71; Springer: Berlin/Heidelberg, Germany, 2010; pp. 307–337. [Google Scholar]
- Bravdo, B.A.; Levin, I.; Assaf, R. Control of root size and root environment of fruit trees for optimal fruit production. J. Plant Nutr. 1992, 15, 699–712. [Google Scholar] [CrossRef]
- Lo, T.H.; Rudnick, D.R.; Singh, J.; Nakabuye, H.N.; Katimbo, A.; Heeren, D.M.; Ge, Y. Field assessment of interreplicate variability from eight electromagnetic soil moisture sensors. Agric. Water Manag. 2020, 231, 105984. [Google Scholar] [CrossRef]
- Green, S.; Clothier, B. The root zone dynamics of water uptake by a mature apple tree. Plant Soil 1999, 206, 61–77. [Google Scholar] [CrossRef]
- Thomaj, F.; Domi, H.; Sallaku, G.; Balliu, A. The Spatial Distribution of Root System in M9 Rootstock Is Affected by Apple Cultivar and Tree Age. J. Agric. Stud. 2019, 7, 160–175. [Google Scholar] [CrossRef]
- Nakhforoosh, A.; Nagel, K.A.; Fiorani, F.; Bodner, G. Deep soil exploration vs. topsoil exploitation: Distinctive rooting strategies between wheat landraces and wild relatives. Plant Soil 2021, 459, 397–421. [Google Scholar] [CrossRef] [PubMed]
- Doussan, C.; Pagès, L.; Pierret, A. Soil Exploration and Resource Acquisition by Plant Roots: An Architectural and Modelling Point of View. Sustain. Agric. 2003, 23, 419–431. [Google Scholar] [CrossRef]
- Sokalska, D.I.; Haman, D.Z.; Szewczuk, A.; Sobota, J.; Dereń, D. Spatial root distribution of mature apple trees under drip irrigation system. Agric. Water Manag. 2009, 96, 917–924. [Google Scholar] [CrossRef]
- Du, S.; Tong, L.; Kang, S.; Li, F.; Du, T.; Li, S.; Ding, R. Alternate partial root-zone irrigation with high irrigation frequency improves root growth and reduces unproductive water loss by apple trees in arid north-west China. Front. Agric. Sci. Eng. 2018, 5, 188–196. [Google Scholar] [CrossRef]
- Kadayifçi, A.; Şenyiǧit, U.; Daǧdelen, N.; Öz, H.; Atilgan, A. The effects of different irrigation methods on root distribution, intensity and effective root depth of young dwarf apple trees. Afr. J. Biotechnol. 2010, 9, 4217–4224. [Google Scholar]
- Iqbal, R.; Raza, M.A.S.; Toleikiene, M.; Ayaz, M.; Hashemi, F.; Habib-ur-Rahman, M.; Zaheer, M.S.; Ahmad, S.; Riaz, U.; Ali, M.; et al. Partial root-zone drying (PRD), its effects and agricultural significance: A review. Bull. Natl. Res. Cent. 2020, 44, 159. [Google Scholar] [CrossRef]
- Gotur, M.; Sharma, D.K.; Joshi, C.J.; Rajan, R. Partial root-zone drying technique in fruit crops: A review paper. Int. J. Chem. Stud. 2018, 6, 900–903. [Google Scholar]
- Comas, L.H.; Becker, S.R.; Cruz, V.M.V.; Byrne, P.F.; Dierig, D.A. Root traits contributing to plant productivity under drought. Front. Plant Sci. 2013, 4, 442. [Google Scholar] [CrossRef] [PubMed]
- Thorup-Kristensen, K.; Halberg, N.; Nicolaisen, M.; Olesen, J.E.; Crews, T.E.; Hinsinger, P.; Kirkegaard, J.; Pierret, A.; Dresbøll, D.B. Digging Deeper for Agricultural Resources, the Value of Deep Rooting. Trends Plant Sci. 2020, 25, 406–417. [Google Scholar] [CrossRef] [PubMed]
- Yang, M.; Gao, X.; Wang, S.; Zhao, X. Quantifying the importance of deep root water uptake for apple trees’ hydrological and physiological performance in drylands. J. Hydrol. 2022, 606, 127471. [Google Scholar] [CrossRef]
- Song, X.; Gao, X.; Zhao, X.; Wu, P.; Dyck, M. Spatial distribution of soil moisture and fine roots in rain-fed apple orchards employing a Rainwater Collection and Infiltration (RWCI) system on the Loess Plateau of China. Agric. Water Manag. 2017, 184, 170–177. [Google Scholar] [CrossRef]
- Tsoulias, N.; Gebbers, R.; Zude-Sasse, M. Using data on soil ECa, soil water properties, and response of tree root system for spatial water balancing in an apple orchard. Precis. Agric. 2020, 21, 522–548. [Google Scholar] [CrossRef]
- Zheng, L.; Ma, J.; Sun, X.; Guo, X.; Cheng, Q.; Shi, X. Estimating the root water uptake of surface-irrigated apples using water stable isotopes and the Hydrus-1D model. Water 2018, 10, 1624. [Google Scholar] [CrossRef]
- Kautz, T.; Amelung, W.; Ewert, F.; Gaiser, T.; Horn, R.; Jahn, R.; Javaux, M.; Kemna, A.; Kuzyakov, Y.; Munch, J.C.; et al. Nutrient acquisition from arable subsoils in temperate climates: A review. Soil Biol. Biochem. 2013, 57, 1003–1022. [Google Scholar] [CrossRef]
- Haberle, J.; Svoboda, P. Impacts of use of observed and exponential functions of root distribution in soil on water utilization and yield of wheat, simulated with a crop model. Arch. Agron. Soil Sci. 2014, 60, 1533–1542. [Google Scholar] [CrossRef]
- Aguzzoni, A.; Engel, M.; Zanotelli, D.; Penna, D.; Comiti, F.; Tagliavini, M. Water uptake dynamics in apple trees assessed by an isotope labeling approach. Agric. Water Manag. 2022, 266, 107572. [Google Scholar] [CrossRef]
- Zhang, X.X.; Whalley, P.A.; Ashton, R.W.; Evans, J.; Hawkesford, M.J.; Griffiths, S.; Huang, Z.D.; Zhou, H.; Mooney, S.J.; Whalley, W.R. A comparison between water uptake and root length density in winter wheat: Effects of root density and rhizosphere properties. Plant Soil 2020, 451, 345–356. [Google Scholar] [CrossRef] [PubMed]
- Neilsen, G.H.; Parchomchuk, P.; Berard, R.; Neilsen, D. Irrigation frequency and quantity affect root and top growth of fertigated “McIntosh” apple on M.9, M.26 and M.7 rootstock. Can. J. Plant Sci. 1997, 77, 133–139. [Google Scholar] [CrossRef]
Disclaimer/Publisher’s Note: The statements, opinions and data contained in all publications are solely those of the individual author(s) and contributor(s) and not of MDPI and/or the editor(s). MDPI and/or the editor(s) disclaim responsibility for any injury to people or property resulting from any ideas, methods, instructions or products referred to in the content. |
© 2023 by the authors. Licensee MDPI, Basel, Switzerland. This article is an open access article distributed under the terms and conditions of the Creative Commons Attribution (CC BY) license (https://creativecommons.org/licenses/by/4.0/).







