Effect of Jasmonic Acid on the Elicitation of Phenolic Compounds and Naphthodianthrones in Hypericum perforatum L. Callus and Shoot Cultures
Abstract
1. Introduction
- (1)
- Fresh biomass production;
- (2)
- Total phenolic, flavonoid, flavan-3-ol, and anthocyanin contents;
- (3)
- Chromatographic quantification of naphthodianthrones (hypericin and pseudohypericin);
- (4)
- Enzyme activities of phenylalanine ammonia lyase (PAL) and chalcone isomerase (CHI);
- (5)
- Non-enzymatic antioxidant properties (NEAOP) by the β-carotene bleaching method and enzymatic activities of peroxidase (POD) and catalase (CAT).
2. Materials and Methods
2.1. Chemical and Reagents
2.2. Establishment of Shoot and Callus Cultures for Elicitation
2.3. Total Phenolic Compound Contents
2.4. Phenylpropanoid/Flavonoid Pathway Enzyme Assays
2.5. Chromatographic Identification and Quantification of Hypericin and Pseudohypericin
2.6. Non-Enzymatic Antioxidant Properties (NEAOP) and Enzymatic Antioxidant Assays
2.7. Statistical Analysis
3. Results
3.1. Growth of H. perforatum Callus and Shoot Cultures
3.2. Phenolic Compounds Production in H. perforatum Callus and Shoot Cultures
3.3. Naphthodianthrone Production in H. perforatum Callus and Shoot Cultures
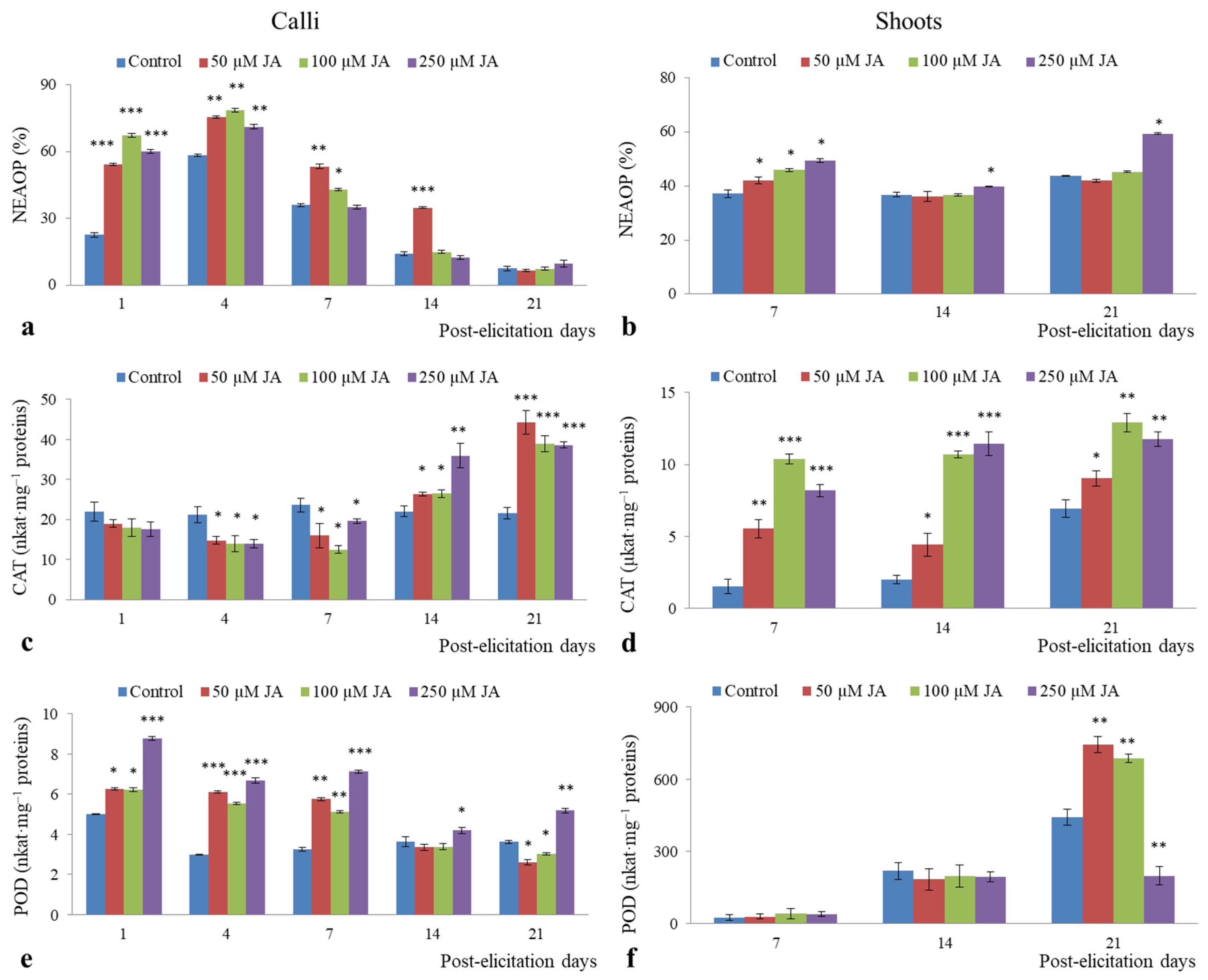
3.4. Antioxidant Activity in H. perforatum Callus and Shoot Cultures
4. Discussion
4.1. Effect of Elicitation on the Growth of H. perforatum Calli and Shoots
4.2. Effect of Elicitation on Phenolic Compounds Production in H. perforatum Calli and Shoots
4.3. Effect of Elicitation on Naphthodianthrone Production in H. perforatum Calli and Shoots
4.4. Effect of Elicitation on Antioxidant Activity in H. perforatum Calli and Shoots
5. Conclusions
Author Contributions
Funding
Data Availability Statement
Conflicts of Interest
References
- Suryawanshi, M.V.; Gujarathi, P.P.; Mulla, T.; Bagban, I. Hypericum perforatum: A comprehensive review on pharmacognosy, preclinical studies, putative molecular mechanism, and clinical studies in neurodegenerative diseases. Naunyn-Schmiedeberg’s Arch. Pharmacol. 2024, 397, 3803–3818. [Google Scholar] [CrossRef]
- Wu, S.; Tatsis, E.C. Specialized metabolism in St John’s wort. Curr. Opin. Plant Biol. 2024, 82, 102625. [Google Scholar] [CrossRef]
- Barnes, J.; Arnason, J.T.; Roufogalis, B.D. St John’s wort (Hypericum perforatum L.): Botanical, chemical, pharmacological and clinical advances. J. Pharm. Pharmacol. 2019, 71, 1–3. [Google Scholar] [CrossRef]
- Agapouda, A.; Booker, A.; Kiss, T.; Hohmann, J.; Heinrich, M.; Csupor, D. Quality control of Hypericum perforatum L. analytical challenges and recent progress. J. Pharm. Pharmacol. 2019, 71, 15–37. [Google Scholar] [CrossRef]
- Lazzara, S.; Carrubba, A.; Napoli, E. Cultivating for the industry: Cropping experiences with Hypericum perforatum L. in a Mediterranean environment. Agriculture 2021, 11, 446. [Google Scholar] [CrossRef]
- Tegou, A.; Giannoulis, K.D.; Zournatzis, E.; Papadopoulos, S.; Bartzialis, D.; Danalatos, N.G.; Wogiatzi-Kamvoukou, E. Assessing the Impact of Irrigation and Biostimulants on the Yield and Quality Characteristics of Two Different St. John’s Wort Cultivars in Their Second Growing Season. Plants 2024, 13, 3573. [Google Scholar] [CrossRef] [PubMed]
- Scotti, F.; Löbel, K.; Booker, A.; Heinrich, M. St. John’s Wort (Hypericum perforatum) products—How variable is the primary material? Front. Plant Sci. 2019, 9, 1973. [Google Scholar] [CrossRef] [PubMed]
- Murthy, H.N.; Kim, Y.S.; Park, S.Y.; Paek, K.Y. Hypericins: Biotechnological production from cell and organ cultures. Appl. Microbiol. Biotechnol. 2014, 98, 9187–9198. [Google Scholar] [CrossRef]
- Shasmita Behera, S.; Mishra, P.; Samal, M.; Mohapatra, D.; Monalisa, K.; Naik, S.K. Recent advances in tissue culture and secondary metabolite production in Hypericum perforatum L. Plant Cell Tissue Organ Cult. 2023, 154, 13–28. [Google Scholar] [CrossRef]
- Hou, W.; Shakya, P.; Franklin, G. A perspective on Hypericum perforatum genetic transformation. Front. Plant Sci. 2016, 7, 879. [Google Scholar] [CrossRef]
- Al-Khayri, J.M.; Narasimha, S.W.; Vennapusa, A.R.; Nagella, P.; Shehata, W.F.; Al-Mssallem, M.Q. Biotechnological approaches for the production of hypericin and other important metabolites from the genus Hypericum. Plant Cell Tissue Organ Cult. 2024, 156, 100. [Google Scholar] [CrossRef]
- Shakya, P.; Marslin, G.; Siram, K.; Beerhues, L.; Franklin, G. Elicitation as a tool to improve the profiles of high-value secondary metabolites and pharmacological properties of Hypericum perforatum. J. Pharm. Pharmacol. 2019, 71, 70–82. [Google Scholar] [CrossRef]
- Martínez-Chávez, L.A.; Hernández-Ramírez, M.Y.; Feregrino-Pérez, A.A.; Esquivel Escalante, K. Cutting-edge strategies to enhance bioactive compound production in plants: Potential value of integration of elicitation, metabolic engineering, and green nanotechnology. Agronomy 2024, 14, 2822. [Google Scholar] [CrossRef]
- Selwal, N.; Goutam, U.; Akhtar, N.; Sood, M.; Kukreja, S. Elicitation: “A Trump Card” for enhancing secondary metabolites in plants. J. Plant Growth Regul. 2024, 43, 3027–3047. [Google Scholar] [CrossRef]
- Nabi, N.; Singh, S.; Saffeullah, P. Responses of in vitro cell cultures to elicitation: Regulatory role of jasmonic acid and methyl jasmonate: A review. Vitr. Cell. Dev. Biol. Plant 2021, 57, 341–355. [Google Scholar] [CrossRef]
- Jeyasri, R.; Muthuramalingam, P.; Karthick, K.; Shin, H.; Choi, S.H.; Ramesh, M. Methyl jasmonate and salicylic acid as powerful elicitors for enhancing the production of secondary metabolites in medicinal plants: An updated review. Plant Cell Tissue Organ Cult. 2023, 153, 447–458. [Google Scholar] [CrossRef]
- Walker, T.S.; Bais, H.P.; Vivanco, J.M. Jasmonic acid-induced hypericin production in cell suspension cultures of Hypericum perforatum L.(St. John’s wort). Phytochemistry 2002, 60, 289–293. [Google Scholar] [CrossRef]
- Conceiçao, L.F.; Ferreres, F.; Tavares, R.M.; Dias, A.C. Induction of phenolic compounds in Hypericum perforatum L. cells by Colletotrichum gloeosporioides elicitation. Phytochemistry 2006, 67, 149–155. [Google Scholar] [CrossRef]
- Gadzovska, S.; Maury, S.; Delaunay, A.; Spasenoski, M.; Joseph, C.; Hagege, D. Jasmonic acid elicitation of Hypericum perforatum L. cell suspensions and effects on the production of phenylpropanoids and naphtodianthrones. Plant Cell Tissue Organ Cult. 2007, 89, 1–13. [Google Scholar] [CrossRef]
- Wang, J.; Qian, J.; Yao, L.; Lu, Y. Enhanced production of flavonoids by methyl jasmonate elicitation in cell suspension culture of Hypericum perforatum. Bioresour. Bioprocess. 2015, 2, 5. [Google Scholar] [CrossRef]
- Sirvent, T.; Gibson, D. Induction of hypericins and hyperforin in Hypericum perforatum L. in response to biotic and chemical elicitors. Physiol. Mol. Plant Pathol. 2002, 60, 311–320. [Google Scholar] [CrossRef]
- Liu, X.N.; Zhang, X.Q.; Sun, J.S. Effects of cytokinins and elicitors on the production of hypericins and hyperforin metabolites in Hypericum sampsonii and Hypericum perforatum. Plant Growth Regul. 2007, 53, 207–214. [Google Scholar] [CrossRef]
- Pavlik, M.; Vacek, J.; Klejdus, B.; Kubáň, V. Hypericin and hyperforin production in St. John’s wort in vitro culture: Influence of saccharose, polyethylene glycol, methyl jasmonate, and Agrobacterium tumefaciens. J. Agric. Food Chem. 2007, 55, 6147–6153. [Google Scholar] [CrossRef]
- Wu, S.Q.; Yu, X.K.; Lian, M.L.; Park, S.Y.; Piao, X.C. Several factors affecting hypericin production of Hypericum perforatum during adventitious root culture in airlift bioreactors. Acta Physiol. Plant. 2014, 36, 975–981. [Google Scholar] [CrossRef]
- Gadzovska, S.; Maury, S.; Ounnar, S.; Righezza, M.; Kascakova, S.; Refregiers, M.; Joseph, C.; Hagège, D. Identification and quantification of hypericin and pseudohypericin in different Hypericum perforatum L. in vitro cultures. Plant Physiol. Biochem. 2005, 43, 591–601. [Google Scholar] [CrossRef]
- Gadzovska, S.; Maury, S.; Delaunay, A.; Spasenoski, M.; Hagège, D.; Courtois, D.; Joseph, C. The influence of salicylic acid elicitation of shoots, callus, and cell suspension cultures on production of naphtodianthrones and phenylpropanoids in Hypericum perforatum L. Plant Cell Tissue Organ Cult. 2013, 113, 25–39. [Google Scholar] [CrossRef]
- Levkov, V.; Gadžovska, S.; Tuševski, O.; Gjorgovska, N.; Mateva, N. Preliminary study of total phenolic content in traditional sheep cheese (Bieno Sirenje). Maced. J. Anim. Sci. 2014, 4, 31–35. [Google Scholar] [CrossRef]
- Tusevski, O.; Gadzovska Simic, S. Non-enzymatic and enzymatic antioxidant responses of Hypericum perforatum L. hairy roots upon photooxidative stress. Horticulturae 2023, 9, 581. [Google Scholar] [CrossRef]
- Arnous, A.; Makris, D.P.; Kefalas, P. Correlation of pigment and flavanol content with antioxidant properties in selected aged regional wines from Greece. J. Food Compos. Anal. 2002, 15, 655–665. [Google Scholar] [CrossRef]
- Giusti, M.M.; Rodriguez-Saona, L.E.; Wrolstad, R.E. Spectral characteristics, molar absorptivity and color of pelargonidin derivates. J. Agric. Food Chem. 1999, 47, 4631–4637. [Google Scholar] [CrossRef] [PubMed]
- Marron, N.; Delay, D.; Petit, J.M.; Dreyer, E.; Kahlem, G.; Delmotte, F.M.; Brignolas, F. Physiological traits of two Populus x euramericana clones, Luisa Avanzo and Dorskamp, during a water stress and re-watering cycle. Tree Physiol. 2002, 22, 49–858. [Google Scholar] [CrossRef]
- Fu, J.; Huang, B. Involvement of antioxidants and lipid peroxidation in the adaptation of two cool-season grasses to localized drought stress. Environ. Exp. Bot. 2001, 45, 105–114. [Google Scholar] [CrossRef]
- Gonzales, L.F.; Rojas, C.M.; Perez, J.F. Diferulate and lignin formation is related to biochemical differences of wall-bound peroxidases. Phytochemistry 1999, 50, 711–717. [Google Scholar] [CrossRef]
- An, D.; Wu, C.H.; Wang, M.; Wang, M.; Chang, G.N.; Chang, X.J.; Lian, M.L. Methyl jasmonate elicits enhancement of bioactive compound synthesis in adventitious root co-culture of Echinacea purpurea and Echinacea pallida. Vitr. Cell. Dev. Biol.-Plant 2022, 58, 181–187. [Google Scholar] [CrossRef]
- Gjureci, B.; Todorovska, M.; Stanoeva, J.P.; Tusevski, O.; Simic, S.G. Elicitation of Hypericum perforatum L. hairy root cultures with salicylic acid and jasmonic acid enhances the production of phenolic compounds and naphthodianthrones with biological activities. Plant Cell Tissue Organ Cult. 2025, 160, 61. [Google Scholar] [CrossRef]
- Yan, S.; Zhang, T.; Dong, S.; McLamore, E.S.; Wang, N.; Shan, X.; Shen, Y.; Wan, Y. MeJA affects root growth by modulation of transmembrane auxin flux in the transition zone. J. Plant Growth Regul. 2016, 35, 256–265. [Google Scholar] [CrossRef]
- Avalbaev, A.; Yuldashev, R.; Fedorova, K.; Somov, K.; Vysotskaya, L.; Allagulova, C.; Shakirova, F. Exogenous methyl jasmonate regulates cytokinin content by modulating cytokinin oxidase activity in wheat seedlings under salinity. J. Plant Physiol. 2016, 191, 101–110. [Google Scholar] [CrossRef] [PubMed]
- Abdollahpoor, M.; Kalantari, S.; Azizi, M.; Saadat, Y.A. Effects of methyl jasmonate and chitosan on shoot and callus growth of Iranian Hypericum perforatum L. in vitro cultures. J. Med. Plants By-Prod. 2017, 6, 165–172. [Google Scholar]
- Coste, A.; Vlase, L.; Halmagyi, A.; Deliu, C.; Coldea, G. Effects of plant growth regulators and elicitors on production of secondary metabolites in shoot cultures of Hypericum hirsutum and Hypericum maculatum. Plant Cell Tissue Organ Cult. 2011, 106, 279–288. [Google Scholar] [CrossRef]
- Paponov, M.; Antonyan, M.; Slimestad, R.; Paponov, I.A. Decoupling of plant growth and accumulation of biologically active compounds in leaves, roots, and root exudates of Hypericum perforatum L. by the combination of jasmonate and far-red lighting. Biomolecules 2021, 11, 1283. [Google Scholar] [CrossRef]
- Machado, R.A.; Baldwin, I.T.; Erb, M. Herbivory-induced jasmonates constrain plant sugar accumulation and growth by antagonizing gibberellin signaling and not by promoting secondary metabolite production. New Phytol. 2017, 215, 803–812. [Google Scholar] [CrossRef]
- Danova, K.; Motyka, V.; Trendafilova, A.; Dobrev, P.I.; Ivanova, V.; Aneva, I. Evolutionary Aspects of Hypericin Productivity and Endogenous Phytohormone Pools Evidenced in Hypericum Species In Vitro Culture Model. Plants 2022, 11, 2753. [Google Scholar] [CrossRef]
- Tusevski, O.; Todorovska, M.; Todorovska, I.; Stanoeva, J.P.; Simic, S.G. Photoperiod modulates the production of biologically active compounds in Hypericum perforatum L. hairy roots: An in vitro and in silico approach. Plant Cell Tissue Organ Cult. 2024, 156, 96. [Google Scholar] [CrossRef]
- Lucho-Constantino, G.G.; Zaragoza-Martínez, F.; Ponce-Noyola, T.; Cerda-García-Rojas, C.M.; Trejo-Tapia, G.; Esparza-García, F.; Ramos-Valdivia, A.C. Antioxidant responses under jasmonic acid elicitation comprise enhanced production of flavonoids and anthocyanins in Jatropha curcas leaves. Acta Physiol. Plant. 2017, 39, 165. [Google Scholar] [CrossRef]
- Dixon, R.A.; Achnine, L.; Kota, P.; Liu, C.J.; Reddy, M.S.; Wang, L. The phenylpropanoid pathway and plant defence—A genomics perspective. Mol. Plant Pathol. 2002, 3, 371–390. [Google Scholar] [CrossRef]
- Gadzovska Simic, S.; Tusevski, O.; Maury, S.; Delaunay, A.; Joseph, C.; Hagège, D. Effects of polysaccharide elicitors on secondary metabolite production and antioxidant response in Hypericum perforatum L. shoot cultures. Sci. World J. 2014, 2014, 609649. [Google Scholar] [CrossRef]
- Tusevski, O.; Todorovska, M.; Todorovska, I.; Petreska Stanoeva, J.; Gadzovska Simic, S. Production of Phenylpropanoids, Naphthodianthrones and antioxidant status of Hypericum perforatum L. Transgenic Shoots. Horticulturae 2024, 10, 59. [Google Scholar] [CrossRef]
- Franklin, G.; Conceição, L.F.; Kombrink, E.; Dias, A.C. Xanthone biosynthesis in Hypericum perforatum cells provides antioxidant and antimicrobial protection upon biotic stress. Phytochemistry 2009, 70, 60–68. [Google Scholar] [CrossRef] [PubMed]
- Tocci, N.; D’Auria, F.D.; Simonetti, G.; Panella, S.; Palamara, A.T.; Pasqua, G. A three-step culture system to increase the xanthone production and antifungal activity of Hypericum perforatum subsp. angustifolium in vitro roots. Plant Physiol. Biochem. 2012, 57, 54–58. [Google Scholar] [CrossRef] [PubMed]
- Valletta, A.; De Angelis, G.; Badiali, C.; Brasili, E.; Miccheli, A.; Di Cocco, M.E.; Pasqua, G. Acetic acid acts as an elicitor exerting a chitosan-like effect on xanthone biosynthesis in Hypericum perforatum L. root cultures. Plant Cell Rep. 2016, 35, 1009–1020. [Google Scholar] [CrossRef] [PubMed]
- Jirakiattikul, Y.; Rithichai, P.; Kwanthong, P.; Itharat, A. Effect of jasmonic acid elicitation period on enhancement of bioactive compounds and antioxidant activity in callus cultures of Hibicus sabdariffa Linn. Hortic. Environ. Biotechnol. 2021, 62, 629–636. [Google Scholar] [CrossRef]
- Yazdanian, E.; Golkar, P.; Vahabi, M.R.; Taghizadeh, M. Elicitation effects on some secondary metabolites and antioxidant activity in callus cultures of Allium jesdianum Boiss. & Buhse.: Methyl jasmonate and putrescine. Appl. Biochem. Biotechnol. 2022, 194, 601–619. [Google Scholar] [CrossRef]
- Ahmad Fauzi, N.S.; Abd Rahim, M.H.; Abdul Majid, N.; Othman, R.; Yaacob, J.S. Evaluation of the effect of jasmonic acid elicitation on composition of pigments and biological activities in green callus of neem (Azadirachta indica). Front. Sustain. Food Syst. 2022, 6, 1017398. [Google Scholar] [CrossRef]
- Chettri, K.; Majumder, J.; Gantait, S. Callus induction and elicitation for enhanced cyanidin accumulation coupled with antioxidant activities in tropical roses (Rosa spp.). Plant Cell Tissue Organ Cult. 2024, 157, 43. [Google Scholar] [CrossRef]
- Açikgöz, M.A.; Kara, Ş.M.; Aygün, A.; Özcan, M.M.; Ay, E.B. Effects of methyl jasmonate and salicylic acid on the production of camphor and phenolic compounds in cell suspension culture of endemic Turkish yarrow (Achillea gypsicola) species. Turk. J. Agric. For. 2019, 43, 351–359. [Google Scholar] [CrossRef]
- Gadzovska Simic, S.; Tusevski, O.; Maury, S.; Hano, C.; Delaunay, A.; Chabbert, B.; Lamblin, F.; Lainé, E.; Joseph, C.; Hagège, D. Fungal elicitor-mediated enhancement in phenylpropanoid and naphtodianthrone contents of Hypericum perforatum L. cell cultures. Plant Cell Tissue Organ Cult. 2015, 122, 213–226. [Google Scholar] [CrossRef]
- Gadzovska Simic, S.; Tusevski, O.; Maury, S.; Delaunay, A.; Lainé, E.; Joseph, C.; Hagège, D. Polysaccharide elicitors enhance phenylpropanoid and naphtodianthrone production in cell suspension cultures of Hypericum perforatum. Plant Cell Tissue Organ Cult. 2015, 122, 649–663. [Google Scholar] [CrossRef]
- Wang, Y.D.; Yuan, Y.J.; Wu, J.C. Induction studies of methyl jasmonate and salicylic acid on taxane production in suspension cultures of Taxus chinensis var. mairei. Biochem. Eng. J. 2004, 19, 259–265. [Google Scholar] [CrossRef]
- Tusevski, O.; Stanoeva, J.P.; Markoska, E.; Brndevska, N.; Stefova, M.; Gadzovska Simic, S. Callus cultures of Hypericum perforatum L. a novel and efficient source for xanthone production. Plant Cell Tissue Organ Cult. 2016, 125, 309–319. [Google Scholar] [CrossRef]
- Cirak, C.; Radušienė, J.; Kurtarc, E.S.; Marksa, M.; Ivanauskas, L. In vitro plant regeneration and jasmonic acid induced bioactive chemical accumulations in two Hypericum species from Turkey. S. Afr. J. Bot. 2020, 128, 312–318. [Google Scholar] [CrossRef]
- Tusevski, O.; Todorovska, M.; Petreska Stanoeva, J.; Gadzovska Simic, S. Phytochemical Analysis, Biological activities, and docking of phenolics from shoot cultures of Hypericum perforatum L. transformed by Agrobacterium rhizogenes. Molecules 2024, 29, 3893. [Google Scholar] [CrossRef] [PubMed]
- Ho, T.T.; Murthy, H.N.; Park, S.Y. Methyl jasmonate induced oxidative stress and accumulation of secondary metabolites in plant cell and organ cultures. Int. J. Mol. Sci. 2020, 21, 716. [Google Scholar] [CrossRef] [PubMed]
- Elbouzidi, A.; Taibi, M.; Baraich, A.; Haddou, M.; Loukili, E.H.; Asehraou, A.; Mesnard, F.; Addi, M. Enhancing secondary metabolite production in Pelargonium graveolens Hort. cell cultures: Eliciting effects of chitosan and jasmonic acid on bioactive compound production. Horticulturae 2024, 10, 521. [Google Scholar] [CrossRef]








Disclaimer/Publisher’s Note: The statements, opinions and data contained in all publications are solely those of the individual author(s) and contributor(s) and not of MDPI and/or the editor(s). MDPI and/or the editor(s) disclaim responsibility for any injury to people or property resulting from any ideas, methods, instructions or products referred to in the content. |
© 2025 by the authors. Licensee MDPI, Basel, Switzerland. This article is an open access article distributed under the terms and conditions of the Creative Commons Attribution (CC BY) license (https://creativecommons.org/licenses/by/4.0/).
Share and Cite
Tusevski, O.; Petreska Stanoeva, J.; Bozhinovska, A.; Dzambazovska, S.; Gadzovska Simic, S. Effect of Jasmonic Acid on the Elicitation of Phenolic Compounds and Naphthodianthrones in Hypericum perforatum L. Callus and Shoot Cultures. Horticulturae 2025, 11, 1210. https://doi.org/10.3390/horticulturae11101210
Tusevski O, Petreska Stanoeva J, Bozhinovska A, Dzambazovska S, Gadzovska Simic S. Effect of Jasmonic Acid on the Elicitation of Phenolic Compounds and Naphthodianthrones in Hypericum perforatum L. Callus and Shoot Cultures. Horticulturae. 2025; 11(10):1210. https://doi.org/10.3390/horticulturae11101210
Chicago/Turabian StyleTusevski, Oliver, Jasmina Petreska Stanoeva, Ana Bozhinovska, Stefana Dzambazovska, and Sonja Gadzovska Simic. 2025. "Effect of Jasmonic Acid on the Elicitation of Phenolic Compounds and Naphthodianthrones in Hypericum perforatum L. Callus and Shoot Cultures" Horticulturae 11, no. 10: 1210. https://doi.org/10.3390/horticulturae11101210
APA StyleTusevski, O., Petreska Stanoeva, J., Bozhinovska, A., Dzambazovska, S., & Gadzovska Simic, S. (2025). Effect of Jasmonic Acid on the Elicitation of Phenolic Compounds and Naphthodianthrones in Hypericum perforatum L. Callus and Shoot Cultures. Horticulturae, 11(10), 1210. https://doi.org/10.3390/horticulturae11101210

