Monitoring of Curing and Cyclic Thermoresistive Response Using Monofilament Carbon Nanotube Yarn Silicone Composites
Abstract
1. Introduction
2. Experimental
2.1. Materials
2.2. Fabrication of Monofilament Composites
2.3. Experimental Setup for Curing and Cyclic Thermoresistive Characterization
2.4. Swelling Characterization
2.5. Scanning Electron Microscopy
3. Results
3.1. Electrical Response of CNTY during Curing Process
3.2. Swelling Experiments of CNTY/Silicone Composites
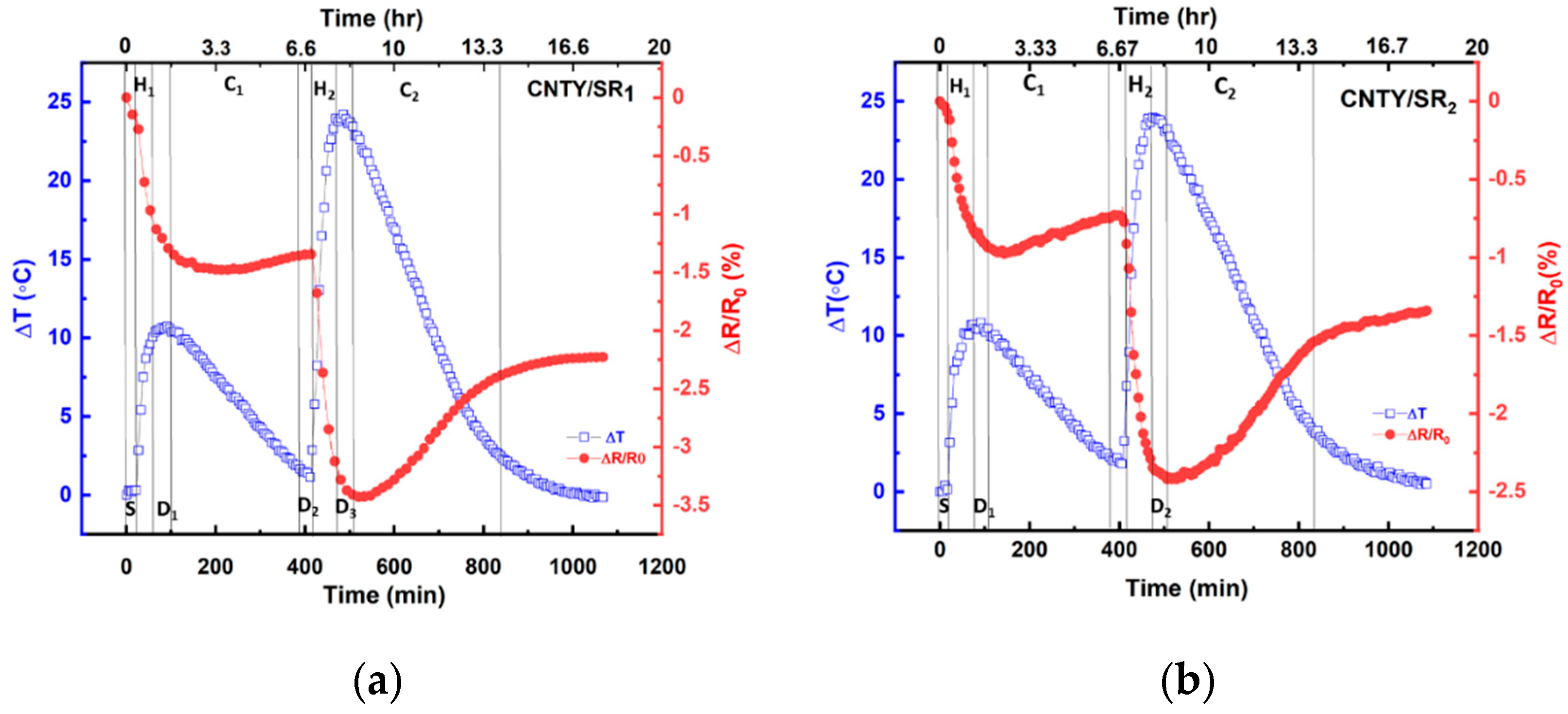
3.3. Electrical Response of CNTY during Heating-Dwell Thermoresistive Characterization
3.4. Electrical Response of CNTY during Cyclic Thermoresistive Characterization
3.5. Scanning Electron Microscopy Characterization
3.6. Effect of Heating Rate on Thermoresistive Response of CNTY Monofilaments Composites
4. Conclusions
Supplementary Materials
Author Contributions
Funding
Data Availability Statement
Conflicts of Interest
References
- Anike, J.C.; Belay, K.; Abot, J.L. Effect of twist on the electromechanical properties of carbon nanotube yarns. Carbon 2019, 142, 491–503. [Google Scholar] [CrossRef]
- Anike, J.C.; Le, H.H.; Brodeur, G.E.; Kadavan, M.M.; Abot, J.L. Piezoresistive response of integrated CNT yarns under compression and tension: The effect of lateral constraint. J. Carbon Res. 2017, 3, 14. [Google Scholar] [CrossRef]
- Vilatela, J.J.; Khare, R.; Windle, A.H. The hierarchical structure and properties of multifunctional carbon nanotube fibre composites. Carbon 2012, 50, 1227–1234. [Google Scholar] [CrossRef]
- Zhang, M.; Atkinson, K.R.; Baughman, R.H. Multifunctional carbon nanotube yarns by downsizing an ancient technology. Science 2004, 306, 1358–1361. [Google Scholar] [CrossRef]
- Lekawa-Raus, A.; Walczak, K.; Kozlowski, G.; Wozniak, M.; Hopkins, S.C.; Koziol, K.K. Resistance-temperature dependence in carbon nanotube fibres. Carbon 2015, 84, 118–123. [Google Scholar] [CrossRef]
- Niven, J.F.; Johnson, M.B.; Juckes, S.M.; White, M.A.; Alvarez, N.T.; Shanov, V. Influence of annealing on thermal and electrical properties of carbon nanotube yarns. Carbon 2016, 99, 485–490. [Google Scholar] [CrossRef]
- Miao, M. Electrical conductivity of pure carbon nanotube yarns. Carbon 2011, 49, 3755–3761. [Google Scholar] [CrossRef]
- Qiu, J.; Terrones, J.; Vilatela, J.J.; Vickers, M.E.; Elliot, J.A.; Windle, A.H. Liquid infiltration into carbon nanotube fibers: Effect on structure and electrical properties. ACS Nano 2013, 7, 8412–8422. [Google Scholar] [CrossRef] [PubMed]
- Terrones, J.; Elliot, J.A.; Vilatela, J.J.; Windle, A.H. Electric field modulated non-ohmic behavior of carbon nanotube fibers in polar liquids. ACS Nano 2014, 8, 8497–8504. [Google Scholar] [CrossRef][Green Version]
- Rodríguez-Uicab, O.; Abot, J.L.; Avilés, F. Electrical resistance sensing of epoxy curing using an embedded carbon nanotube yarn. Sensors 2020, 20, 3230. [Google Scholar] [CrossRef]
- Fernández-Toribio, J.C.; Íñiguez-Rábago, A.; Vilà, J.; González, C.; Ridruejo, Á.; Vilatela, J.J. A composite fabrication sensor based on electrochemical doping of carbon nanotube yarns. Adv. Funct. Mater. 2016, 26, 7139–7147. [Google Scholar] [CrossRef]
- Cen-Puc, M.; Pool, G.; Oliva-Avilés, A.I.; May-Pat, A.; Avilés, F. Experimental investigation of the thermoresistive response of multiwall carbon nanotube/polysulfone composites under heating-cooling cycles. Compos. Sci. Technol. 2017, 151, 34–43. [Google Scholar] [CrossRef]
- Rodríguez-Uicab, O.; Guay, I.; Abot, J.L.; Avilés, F. Effect of polymer viscosity and polymerization kinetics on the electrical response of carbon nanotube yarn/vinyl ester monofilament composites. Polymers 2021, 13, 783. [Google Scholar] [CrossRef]
- Balam, A.; Cen-Puc, M.; Rodríguez-Uicab, O.; Abot, J.L.; Avilés, F. Cyclic thermoresistivity of freestanding and polymer embedded carbon nanotube yarns. Adv. Eng. Mater. 2020, 22, 2000220. [Google Scholar] [CrossRef]
- Balam, A.; Cen-Puc, M.; May-Pat, A.; Abot, J.L.; Avilés, F. Influence of polymer matrix on the sensing capabilities of carbon nanotube polymeric thermistors. Smart Mater. Struct. 2019, 29, 015012. [Google Scholar] [CrossRef]
- OOMOO™ 30 Product Information | Smooth-On, Inc. Available online: https://www.smooth-on.com/products/oomoo-30/ (accessed on 3 March 2021).
- Ecoflex™ 00-50 Product Information | Smooth-On, Inc. Available online: https://www.smooth-on.com/products/ecoflex-00-50/ (accessed on 3 March 2021).
- Chen, D.; Yi, S.; Fang, P.; Zhong, Y.; Huang, C.; Woo, X. Synthesis and characterization of novel room temperature vulcanized (RTV) silicone rubbers using octa [(trimethoxysilyl) ethyl]-POSS as cross-linker. React. Funct. Polym. 2011, 71, 502–511. [Google Scholar] [CrossRef]
- Chen, D.; Yi, S.; Wu, W.; Zhong, Y.; Liao, J.; Huang, C.; Shi, W. Synthesis and characterization of novel room temperature vulcanized (RTV) silicone rubbers using Vinyl-POSS derivatives as cross linking agents. Polymer 2010, 51, 3867–3878. [Google Scholar] [CrossRef]
- Ji, J.; Ge, X.; Pang, X.; Liu, R.; Wen, S.; Sun, J.; Liang, W.; Ge, J.; Chen, X. Synthesis and characterization of room temperature vulcanized silicone rubber using methoxyl-capped MQ silicone resin as self-reinforced cross-linker. Polymers 2019, 11, 1142. [Google Scholar] [CrossRef]
- Bahrain, S.H.K.; Mahmud, J. Swelling behaviour and morphological analysis of Arenga pinnata–silicone biocomposite. Mater. Lett. 2019, 242, 32–34. [Google Scholar] [CrossRef]
- Ramli, M.R.; Othman, M.B.H.; Arifin, A.; Ahmad, Z. Cross-link network of polydimethylsiloxane via addition and condensation (RTV) mechanisms. Part I: Synthesis and thermal properties. Polym. Degrad. Stab. 2011, 96, 2064–2070. [Google Scholar] [CrossRef]
- Zhan, X.; Cai, X.; Zhang, J. A novel crosslinking agent of polymethyl (ketoxime) siloxane for room temperature vulcanized silicone rubbers: Synthesis, properties and thermal stability. RSC Adv. 2018, 8, 12517–12525. [Google Scholar] [CrossRef]
- Mirzadeh, H.; Shokrolahi, F.; Daliri, M. Effect of silicon rubber crosslink density on fibroblast cell behavior in vitro. J. Biomed. Mater. Res. 2003, 67, 727–732. [Google Scholar] [CrossRef]
- Soliveres, S.; Gyani, J.; Delseny, C.; Hoffmann, A.; Pascal, F. 1∕f noise and percolation in carbon nanotube random networks. Appl. Phys. Lett. 2007, 90, 082107. [Google Scholar] [CrossRef]
- Snow, E.S.; Novak, J.P.; Lay, M.D.; Perkins, F.K. 1∕f noise in single-walled carbon nanotube devices. Appl. Phys. Lett. 2004, 85, 4172–4174. [Google Scholar] [CrossRef]
- Ramos, A.; Pezzin, S.H.; Farias, H.D.; Becker, D.; Bello, R.H.; Coelho, L.A.F. Conductivity analysis of epoxy/carbon nanotubes composites by dipole relaxation and hopping models. Phys. B Condens. Matter 2016, 57–63. [Google Scholar] [CrossRef]
- Can-Ortiz, A.; Abot, J.L.; Avilés, F. Electrical characterization of carbon-based fibers and their application for sensing relaxation-induced piezoresistivity in polymer composites. Carbon 2019, 145, 119–130. [Google Scholar] [CrossRef]
- Liao, Z.; Hussain, M.; Yao, X.; Navaratne, R.; Chagnon, G. A comprehensive thermo-viscoelastic experimental investigation of Ecoflex polymer. Polym. Test. 2020, 86, 106478. [Google Scholar] [CrossRef]
- Ebbesen, T.W.; Lezec, H.J.; Hiura, H.; Bennett, J.W.; Ghaemi, H.F.; Thio, T. Electrical conductivity of individual carbon nanotubes. Nature 1996, 382, 54–56. [Google Scholar] [CrossRef]
- Yi, W.; Lu, L.; Dian-Lin, Z.; Pan, Z.W.; Xie, S.S. Linear specific heat of carbon nanotubes. Phys. Rev. B 1999, 59, R9015. [Google Scholar] [CrossRef]
- Crasto, A.; Kim, R. Using carbon fiber piezoresistivity to measure residual stresses in composites. In Proceedings of the American Society for Composites 8th Technical Conference; Technomic Publishing AG: Basel, Switzerland, 1993; pp. 162–173. [Google Scholar]
- Chung, Y.; Kim, M.S. Thermal analysis and pack level design of battery thermal management system with liquid cooling for electric vehicles. Energy Convers. Manag. 2019, 196, 105–116. [Google Scholar] [CrossRef]
- Sheng, P. Fluctuation-induced tunneling conduction in disordered materials. Phys. Rev. B 1980, 21, 2180. [Google Scholar] [CrossRef]
- Gong, S.; Zhu, Z.H.; Li, Z. Electron tunnelling and hopping effects on the temperature coefficient of resistance of carbon nanotube/polymer nanocomposites. Phys. Chem. Chem. Phys. 2017, 19, 5113–5120. [Google Scholar] [CrossRef]
- Wool, R.P.; Sun, X.S. Bio-Based Polymers and Composites, 1st ed.; Elsevier Academic Press: Burlington, MA, USA, 2005; pp. 202–255. [Google Scholar] [CrossRef]
- Wisnom, M.R.; Gigliotti, M.; Ersoy, N.; Campbell, M.; Potter, K.D. Mechanisms generating residual stresses and distortion during manufacture of polymer–matrix composite structures. Compos. Part A Appl. Sci. Manuf. 2006, 37, 522–529. [Google Scholar] [CrossRef]
- Bartlett, M.D.; Kazem, N.; Powell-Palm, M.J.; Huang, X.; Sun, W.; Malen, J.A.; Majidi, C. High thermal conductivity in soft elastomers with elongated liquid metal inclusions. Proc. Natl. Acad. Sci. USA 2017, 114, 2143–2148. [Google Scholar] [CrossRef] [PubMed]
- Xu, W.; Wu, Y.; Zhu, Y.; Liang, X. Molecular dynamics simulation of thermal conductivity of silicone rubber. Chin. Phys. B 2020, 29, 046601. [Google Scholar] [CrossRef]









| Code | Description and Curing Conditions | Physical Properties | ||
|---|---|---|---|---|
| Viscosity (cP) | Density (g.cm−3) | Shrinkage (%) | ||
| SR1 | OOMOO 00-30 1:1 by volume Condensation-cure at RT (25 °C) for 6 h | 4250 | 1.34 | 0.25 |
| SR2 | ECOFLEX 00-50 1:1 by volume Addition-cure at RT (25 °C) for 3 h | 3000 | 1.07 | <0.1 |
| Zone | Temperature Coefficient of Resistance (βH) × 10−4 [°C−1] | |
|---|---|---|
| CNTY/SR1 | CNTY/SR2 | |
| H1 | −5.50 ± 0.4 | −5.44 ± 0.3 |
| H2 | −6.28 ± 0.3 | −5.70 ± 0.3 |
| H3 | −9.45 ± 0.8 | −8.31 ± 0.8 |
| Zone | Temperature Coefficient of Resistance (βH, βC × 10−4 [°C−1] | |
|---|---|---|
| CNTY/SR1 | CNTY/SR2 | |
| H1 | −6.42 ± 0.02 | −5.53 ± 0.46 |
| H2 | −6.45 ± 0.45 | −6.33 ± 0.14 |
| C1 | −3.81 ± 1.35 | −3.29 ± 0.32 |
| C2 | −5.01 ± 0.12 | −5.01 ± 0.21 |
| Material | βH × 10−4 [°C−1] | βC × 10−4 [°C−1] | (∆R/R0)max [%] | (∆R/R0)res [%] | HN [%] |
|---|---|---|---|---|---|
| CNTY/SR1 | −7.80 ± 0.07 | −8.92 ± 0.07 | 5.86 ± 0.30 | −0.16 ± 0.2 | 21.85 ± 0.5 |
| CNTY/SR2 | −6.58 ± 0.08 | −7.94 ± 0.07 | 5.02 ± 0.08 | −0.11 ± 0.05 | 29.80 ± 1.2 |
Publisher’s Note: MDPI stays neutral with regard to jurisdictional claims in published maps and institutional affiliations. |
© 2021 by the authors. Licensee MDPI, Basel, Switzerland. This article is an open access article distributed under the terms and conditions of the Creative Commons Attribution (CC BY) license (https://creativecommons.org/licenses/by/4.0/).
Share and Cite
Tayyarian, T.; Rodríguez-Uicab, O.; Abot, J.L. Monitoring of Curing and Cyclic Thermoresistive Response Using Monofilament Carbon Nanotube Yarn Silicone Composites. C 2021, 7, 60. https://doi.org/10.3390/c7030060
Tayyarian T, Rodríguez-Uicab O, Abot JL. Monitoring of Curing and Cyclic Thermoresistive Response Using Monofilament Carbon Nanotube Yarn Silicone Composites. C. 2021; 7(3):60. https://doi.org/10.3390/c7030060
Chicago/Turabian StyleTayyarian, Tannaz, Omar Rodríguez-Uicab, and Jandro L. Abot. 2021. "Monitoring of Curing and Cyclic Thermoresistive Response Using Monofilament Carbon Nanotube Yarn Silicone Composites" C 7, no. 3: 60. https://doi.org/10.3390/c7030060
APA StyleTayyarian, T., Rodríguez-Uicab, O., & Abot, J. L. (2021). Monitoring of Curing and Cyclic Thermoresistive Response Using Monofilament Carbon Nanotube Yarn Silicone Composites. C, 7(3), 60. https://doi.org/10.3390/c7030060

