Cutting-Edge Turbulence Simulation Methods for Wind Energy and Aerospace Problems
Abstract
:1. Introduction
2. Typical Hybrid RANS-LES Methods
3. Theory Requirements: CES Versus Other Methods
4. Application Requirements: CES Versus Other Methods
4.1. Application Requirements: CES Versus Other Methods
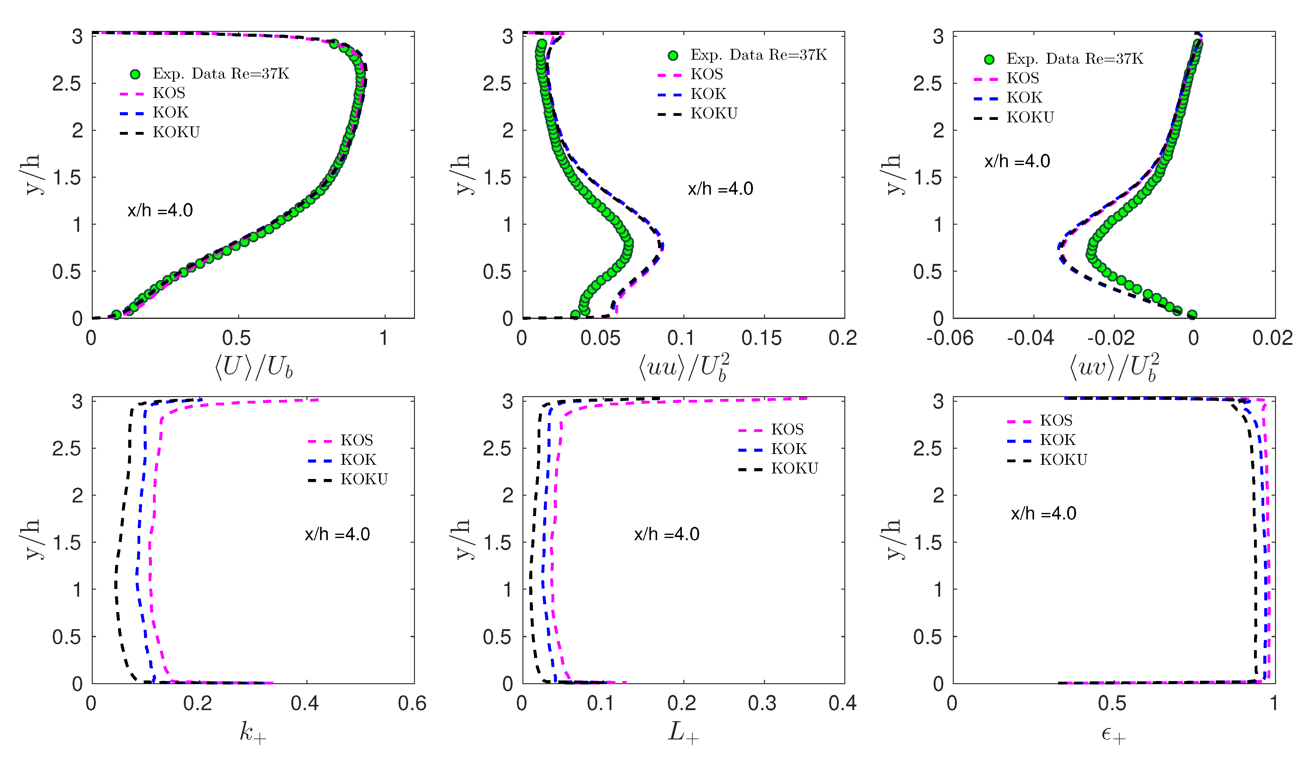
4.2. Periodic Hill Flow Simulations
4.3. Summary
- R1.
- Most importantly, based on an exact solution to the problem considered [16,17,18], it is shown that the CES method can deal with the required mode balance with respect to both, significant Reynolds number and grid variations. The model performance is hardy affected by redistributions of resolved and modeled motions. The hybridization mechanism works almost equivalently for different turbulence model structures;
- R2.
- The simulations include an almost complete resolution for K (500 K grid). An excellent model performance in comparison to measurements is found. Hence, RANS-type equation can provide flow resolution without involving the LES length scale ;
- R3.
- The simulations also include the limit of almost no resolution by the K (120 K grid) case. Because of significant and stable fluctuations that do not get extinguished under such very coarse grid conditions, the model still correctly reflects the physics of flow separation.
5. Some Challenges
- C1.
- The core component of CES hybrid methods, the stable functioning of the mode communication mechanism, needs further investigations with respect to grid variations. Applications involving abrupt grid changes inside domains (LES-type regions embedded by RANS-type regions) are beneficial to attain a more comprehensive understanding of the stability of the generation mechanism of turbulent fluctuations. Such simulations represent the core component of atmospheric mesoscale to microscale couplings (which are closely related to the Terra Incognita problem [19]);
- C2.
- Under many circumstances LES have to be performed on relatively coarse grids, leading to the question of how well resolving the LES actually is [54]. In this regard, the use of CES methods as resolving methods is highly attractive because these methods are not constrained by strict LES resolution requirements (the use of grids which ensure that the LES filter width is smaller than typical large-scale turbulence structures). It needs specific comparisons between relatively well resolving LES and CES methods in this regard;
- C3.
- Their computational efficiency makes RANS-type simulations very attractive, for example for ABL simulations involving wind turbines. However, the inability of RANS to deal with flow separation hampers such simulations significantly. Existing periodic hill flow simulations indicate that CES used on the same grids as RANS has the potential to deal with this problem in a much more appropriate way, the question is whether the same conclusion can be drawn for more complex flows. Due to the low level of flow resolution under such conditions, it appears to be beneficial to implement a dynamic calculation of model parameters in CES methods [58,59,66,67,68,69,70], which is currently not accomplished;
- C4.
- CES methods were currently only applied to turbulent velocity fields. The extension to scalar field simulations is clearly desirable to deal, for example, with atmospheric chemistry problems. The theoretical extension of CES methods to passive scalar field simulations was presented recently in [18]. It turned out that the analysis technique applied for velocity fields is capable to also provide a corresponding hybridization of scalar field simulations (which is the same as long the ratio of turbulence and scalar time scales is constant). However, applications of these methods do not exist so far, they are required to build confidence in the treatment of scalar transport in this way;
- C5.
- The structure of CES methods applied so far corresponds to the structure of eddy viscosity type models, which are known to have deficiencies for complex turbulent flow applications. As shown in [18], it is possible to generalize such eddy viscosity type formulations to corresponding Reynolds stress transport models and even their underlying probability density function transport equations (the latter applies to both turbulent velocities and scalars). The use of eddy viscosity type methods for the periodic hill flows considered did not reveal any need for more complex turbulence models. However, there is the question of whether the same conclusion is obtained with regard to more complex flow simulations;
- C6.
- The core motivation of developing hybrid RANS-LES methods is to build the reliable capability to predict turbulent flows at very high Reynolds numbers that cannot be studied or correctly predicted otherwise. The challenge is to provide convincing evidence that the CES methods considered are able to fulfill this task. This has to be completed in comparison to usually applied hybrid RANS-LES (for example, in comparison to DES) in order to demonstrate the different capabilities of methods.
6. Conclusions
Author Contributions
Funding
Institutional Review Board Statement
Informed Consent Statement
Data Availability Statement
Acknowledgments
Conflicts of Interest
Appendix A. CES Derivation
References
- Pope, S.B. Turbulent Flows; Cambridge University Press: Cambridge, UK, 2000. [Google Scholar]
- Wilcox, D.C. Turbulence Modeling for CFD, 2nd ed.; DCW Industries: La Cañada Flintridge, CA, USA, 1998. [Google Scholar]
- Durbin, P.A.; Petterson, B.A. Statistical Theory and Modeling for Turbulent Flows; John Wiley and Sons: Hoboken, NJ, USA, 2001. [Google Scholar]
- Hanjalić, K. Advanced turbulence closure models: A view of current status and future prospects. Int. J. Heat Fluid Flow 1994, 15, 178–203. [Google Scholar] [CrossRef]
- Sagaut, P. Large Eddy Simulation for Incompressible Flows: An Introduction; Springer: Berlin/Heidelberg, Germany, 2002. [Google Scholar]
- Lesieur, M.; Metais, O.; Comte, P. Large-Eddy Simulations of Turbulence; Cambridge University Press: Cambridge, UK, 2005. [Google Scholar]
- Piomelli, U. Large-eddy simulation: Achievements and challenges. Prog. Aerosp. Sci. 1999, 35, 335–362. [Google Scholar] [CrossRef]
- Meneveau, C.; Katz, J. Scale-invariance and turbulence models for large-eddy simulation. Annu. Rev. Fluid Mech. 2000, 32, 1–32. [Google Scholar] [CrossRef]
- Speziale, C.G. Turbulence modeling for time-dependent RANS and VLES: A review. AIAA J. 1998, 36, 173–184. [Google Scholar] [CrossRef]
- Germano, M. Properties of the hybrid RANS/LES filter. Theor. Comput. Fluid Dyn. 2004, 17, 225–231. [Google Scholar] [CrossRef]
- Hanjalić, K. Will RANS survive LES? A view of perspectives. ASME J. Fluids Eng. 2005, 127, 831–839. [Google Scholar] [CrossRef]
- Fröhlich, J.; Terzi, D.V. Hybrid LES/RANS methods for the simulation of turbulent flows. Prog. Aerosp. Sci. 2008, 44, 349–377. [Google Scholar] [CrossRef]
- Chaouat, B. The state of the art of hybrid RANS/LES modeling for the simulation of turbulent flows. Flow Turbul. Combust. 2017, 99, 279–327. [Google Scholar] [CrossRef] [Green Version]
- Mockett, C.; Fuchs, M.; Thiele, F. Progress in DES for wall-modelled LES of complex internal flows. Comput. Fluids 2012, 65, 44–55. [Google Scholar] [CrossRef]
- Heinz, S. A review of hybrid RANS-LES methods for turbulent flows: Concepts and applications. Prog. Aerosp. Sci. 2020, 114, 100597/1–100597/25. [Google Scholar] [CrossRef]
- Heinz, S. The large eddy simulation capability of Reynolds-averaged Navier-Stokes equations: Analytical results. Phys. Fluids 2019, 31, 021702/1–021702/6. [Google Scholar] [CrossRef]
- Heinz, S.; Mokhtarpoor, R.; Stoellinger, M.K. Theory-based Reynolds-Averaged Navier-Stokes equations with Large Eddy Simulation capability for separated turbulent flow simulations. Phys. Fluids 2020, 32, 065102/1–065102/20. [Google Scholar] [CrossRef]
- Heinz, S. The Continuous Eddy Simulation capability of velocity and scalar Probability Density Function equations for turbulent flows. Phys. Fluids 2021, 33, 025107/1–025107/13. [Google Scholar] [CrossRef]
- Heinz, S. Theory-based mesoscale to microscale coupling for wind energy applications. Appl. Math. Model. 2021, 98, 563–575. [Google Scholar] [CrossRef]
- Schiestel, R.; Dejoan, A. Towards a new partially integrated transport model for coarse grid and unsteady turbulent flow simulations. Theor. Comput. Fluid Dyn. 2005, 18, 443–468. [Google Scholar] [CrossRef]
- Chaouat, B.; Schiestel, R. A new partially integrated transport model for subgrid-scale stresses and dissipation rate for turbulent developing flows. Phys. Fluids 2005, 17, 065106/1–065106/19. [Google Scholar] [CrossRef]
- Chaouat, B.; Schiestel, R. Analytical insights into the partially integrated transport modeling method for hybrid Reynolds averaged Navier-Stokes equations-large eddy simulations of turbulent flows. Phys. Fluids 2012, 24, 085106/1–085106/34. [Google Scholar] [CrossRef]
- Chaouat, B.; Schiestel, R. Hybrid RANS-LES simulations of the turbulent flow over periodic hills at high Reynolds number using the PITM method. Comput. Fluids 2013, 84, 279–300. [Google Scholar] [CrossRef]
- Spalart, P.R.; Jou, W.H.; Strelets, M.; Allmaras, S.R. Comments on the feasibility of LES for wings, and on a hybrid RANS/LES approach. In Advances in DNS/LES; Liu, C., Liu, Z., Eds.; Greyden Press: Dayton, OH, USA, 1997; pp. 137–147. [Google Scholar]
- Travin, A.; Shur, M.L.; Strelets, M.; Spalart, P. Detached-eddy simulations past a circular cylinder. Flow Turbul. Combust. 1999, 63, 113–138. [Google Scholar]
- Spalart, P.R. Strategies for turbulence modelling and simulations. Int. J. Heat Fluid Flow 2000, 21, 252–263. [Google Scholar] [CrossRef]
- Travin, A.; Shur, M.L. Physical and numerical upgrades in the detached-eddy simulation of complex turbulent flows. In Advances in LES of Complex Flows; Friedrich, R., Rodi, W., Eds.; Springer: Dordrecht, The Netherlands, 2002; pp. 239–254. [Google Scholar]
- Menter, F.R.; Kuntz, M.; Langtry, R. Ten years of industrial experience with SST turbulence model. Turb. Heat Mass Transf. 2003, 4, 625–632. [Google Scholar]
- Spalart, P.R.; Deck, S.; Shur, M.L.; Squires, K.D.; Strelets, M.K.; Travin, A. A new version of detached-eddy simulation, resistant to ambiguous grid densities. Theor. Comput. Fluid Dyn. 2006, 20, 181–195. [Google Scholar] [CrossRef]
- Shur, M.L.; Spalart, P.R.; Strelets, M.K.; Travin, A. A hybrid RANS-LES approach with delayed-DES and wall-modelled LES capabilities. Int. J. Heat Fluid Flow 2008, 29, 1638–1649. [Google Scholar] [CrossRef]
- Spalart, P.R. Detached-eddy simulation. Annu. Rev. Fluid Mech. 2009, 41, 181–202. [Google Scholar] [CrossRef]
- Friess, C.; Manceau, R.; Gatski, T.B. Toward an equivalence criterion for hybrid RANS/LES methods. Comput. Fluids 2015, 122, 233–246. [Google Scholar] [CrossRef] [Green Version]
- Yin, Z.; Reddy, K.R.; Durbin, P.A. On the dynamic computation of the model constant in delayed detached eddy simulation. Phys. Fluids 2015, 27, 025105/1–025105/15. [Google Scholar] [CrossRef] [Green Version]
- Rahimi, H.; Dose, B.; Stoevesandt, B.; Peinke, J. Investigation of the validity of BEM for simulation of wind turbines in complex load cases and comparison with experiment and CFD. J. Phys. Conf. Ser. 2016, 749, 012015. [Google Scholar] [CrossRef] [Green Version]
- Rahimi, H.; Dose, B.; Herraez, I.; Peinke, J.; Stoevesandt, B. DDES and URANS comparison of the NREL phase-VI wind turbine at deep stall. In Proceedings of the 34th AIAA Applied Aerodynamics Conference, Washington, DC, USA, 13–17 June 2016; AIAA Paper 16-3127. pp. 1–14. [Google Scholar]
- Sedano, C.A.; Berger, F.; Rahimi, H.; Lopez Mejia, O.D.; Kühn, M.; Stoevesandt, B. CFD validation of a model wind turbine by means of improved and delayed detached eddy simulation in OpenFOAM. Energies 2019, 12, 1306. [Google Scholar] [CrossRef] [Green Version]
- Girimaji, S. Partially-averaged Navier-Stokes method for turbulence: A Reynolds-averaged Navier-Stokes to direct numerical simulation bridging method. ASME J. Appl. Mech. 2006, 73, 413–421. [Google Scholar] [CrossRef]
- Girimaji, S.; Jeong, E.; Srinivasan, R. Partially averaged Navier-Stokes method for turbulence: Fixed point analysis and comparisons with unsteady partially averaged Navier-Stokes. ASME J. Appl. Mech. 2006, 73, 422–429. [Google Scholar] [CrossRef]
- Lakshmipathy, S.; Girimaji, S.S. Extension of Boussinesq turbulence constitutive relation for bridging methods. J. Turbul. 2007, 8, N31. [Google Scholar] [CrossRef]
- Frendi, A.; Tosh, A.; Girimaji, S. Flow past a backward-facing step: Comparison of PANS, DES and URANS results with experiments. Int. J. Comput. Methods Eng. Sci. Mech. 2007, 8, 23–38. [Google Scholar] [CrossRef]
- Lakshmipathy, S.; Girimaji, S.S. Partially averaged Navier-Stokes (PANS) method for turbulence simulations: Flow past a circular cylinder. ASME J. Fluids Eng. 2010, 132, 121202/1–121202/9. [Google Scholar] [CrossRef]
- Jeong, E.; Girimaji, S.S. Partially averaged Navier–Stokes (PANS) method for turbulence simulations: Flow past a square cylinder. ASME J. Fluids Eng. 2010, 132, 121203/1–121203/11. [Google Scholar] [CrossRef]
- Basara, B.; Krajnovic, S.; Girimaji, S.S.; Pavlovic, Z. Near-wall formulation of the partially averaged Navier-Stokes turbulence model. AIAA J. 2011, 42, 2627–2636. [Google Scholar] [CrossRef]
- Krajnovic, S.; Lárusson, R.; Basara, B. Superiority of PANS compared to LES in predicting a rudimentary landing gear flow with affordable meshes. Int. J. Heat Fluid Flow 2012, 37, 109–122. [Google Scholar] [CrossRef]
- Foroutan, H.; Yavuzkurt, S. A partially averaged Navier Stokes model for the simulation of turbulent swirling flow with vortex breakdown. Int. J. Heat Fluid Flow 2014, 50, 402–416. [Google Scholar] [CrossRef] [Green Version]
- Chaouat, B.; Schiestel, R. From single-scale turbulence models to multiple-scale and subgrid-scale models by Fourier transform. Theor. Comput. Fluid Dyn. 2007, 21, 201–229. [Google Scholar] [CrossRef]
- Befeno, I.; Schiestel, R. Non-equilibrium mixing of turbulence scales using a continuous hybrid RANS/LES approach: Application to the shearless mixing layer. Flow Turbul. Combust. 2007, 78, 129–151. [Google Scholar] [CrossRef]
- Chaouat, B.; Schiestel, R. Progress in subgrid-scale transport modelling for continuous hybrid nonzonal RANS/LES simulations. Int. J. Heat Fluid Flow 2009, 30, 602–616. [Google Scholar] [CrossRef]
- Chaouat, B. Subfilter-scale transport model for hybrid RANS/LES simulations applied to a complex bounded flow. J. Turbul. 2010, 11, N51. [Google Scholar] [CrossRef]
- Chaouat, B. Simulation of turbulent rotating flows using a subfilter scale stress model derived from the partially integrated transport modeling method. Phys. Fluids 2012, 24, 045108/1–045108/35. [Google Scholar] [CrossRef]
- Chaouat, B.; Schiestel, R. Partially integrated transport modeling method for turbulence simulation with variable filters. Phys. Fluids 2013, 25, 125102/1–125102/39. [Google Scholar] [CrossRef]
- Chaouat, B. Application of the PITM method using inlet synthetic turbulence generation for the simulation of the turbulent flow in a small axisymmetric contraction. Flow Turbul. Combust. 2017, 98, 987–1024. [Google Scholar] [CrossRef]
- Heinz, S. On the Kolmogorov constant in stochastic turbulence models. Phys. Fluids 2002, 14, 4095–4098. [Google Scholar] [CrossRef] [Green Version]
- Wurps, H.; Steinfeld, G.; Heinz, S. Grid-resolution requirements for large-eddy simulations of the atmospheric boundary layer. Bound. Layer Meteorol. 2020, 175, 119–201. [Google Scholar] [CrossRef] [Green Version]
- Greenblatt, D.; Paschal, K.B.; Yao, C.S.; Harris, J.; Schaeffler, N.N.W.; Washburn, A.E. Experimental investigation of separation control—Part 1: Baseline and steady suction. AIAA J. 2006, 44, 2820–2830. [Google Scholar] [CrossRef]
- Rapp, C.; Manhart, M. Flow over periodic hills—An experimental study. Exp. Fluids 2011, 51, 247–269. [Google Scholar] [CrossRef]
- Openfoam, the Open Source CFD Toolbox. Available online: http://www.openfoam.com (accessed on 24 November 2019).
- Mokhtarpoor, R.; Heinz, S.; Stoellinger, M. Dynamic unified RANS-LES simulations of high Reynolds number separated flows. Phys. Fluids 2016, 28, 095101/1–095101/36. [Google Scholar] [CrossRef] [Green Version]
- Mokhtarpoor, R.; Heinz, S. Dynamic large eddy simulation: Stability via realizability. Phys. Fluids 2017, 29, 105104/1–105104/22. [Google Scholar] [CrossRef] [Green Version]
- Rahimi, H.; Medjroubi, W.; Stoevesandt, B.; Peinke, J. 2D numerical investigation of the laminar and turbulent flow over different airfoils using Openfoam. J. Phys. Conf. Ser. 2014, 555, 012070. [Google Scholar] [CrossRef] [Green Version]
- Herráez, I.; Medjroubi, W.; Stoevesandt, B.; Peinke, J. Aerodynamic simulation of the MEXICO rotor. J. Phys. Conf. Ser. 2014, 555, 012051. [Google Scholar] [CrossRef] [Green Version]
- Herráez, I.; Akay, B.; van Bussel, G.J.W.; Peinke, J.; Stoevesandt, B. Detailed analysis of the blade root flow of a horizontal axis wind turbine. Wind Energy Sci. 2016, 1, 89–100. [Google Scholar] [CrossRef] [Green Version]
- Schramm, M.; Rahimi, H.; Stoevesandt, B.; Tangager, K. The influence of eroded blades on wind turbine performance using numerical simulations. Energies 2017, 10, 1420. [Google Scholar] [CrossRef] [Green Version]
- Tang, X.; Zhao, S.; Fan, B.; Peinke, J.; Stoevesandt, B. Micro-scale wind resource assessment in complex terrain based on CFD coupled measurement from multiple masts. Appl. Energy 2019, 238, 806–815. [Google Scholar] [CrossRef]
- Tafur, B.S.B.; Daniele, E.; Stoevesandt, B.; Thomas, P. On the calibration of rotational augmentation models for wind turbine load estimation by means of CFD simulations. Acta Mech. Sin. 2020, 36, 306–319. [Google Scholar]
- Heinz, S. Realizability of dynamic subgrid-scale stress models via stochastic analysis. Monte Carlo Methods Appl. 2008, 14, 311–329. [Google Scholar] [CrossRef]
- Ahmadi, G.; Kassem, H.; Peinke, J.; Heinz, S. Dynamic Large Eddy Simulation: Benefits of honoring realizability. In Proceedings of the Eleventh International Symposium on Turbulence and Shear Flow Phenomena (TSFP11), Southampton, UK, 30 July–2 August 2019; TSFP Paper 2019-P-9. pp. 1–6. [Google Scholar]
- Ahmadi, G.; Kassem, H.; Stoevesandt, B.; Peinke, J.; Heinz, S. Wall bounded turbulent flows up to high Reynolds numbers: LES resolution assessment. In Proceedings of the AIAA Aerospace Sciences Meeting, AIAA SciTech Forum, San Diego, CA, USA, 7–11 January 2019; AIAA Paper 19-1887. pp. 1–17. [Google Scholar]
- Ahmadi, G.; Kassem, H.; Mokhtarpoor, R.; Stoevesandt, B.; Peinke, J.; Heinz, S. Realizable dynamic LES of high Reynolds number turbulent wall bounded flows. In Proceedings of the AIAA Aerospace Sciences Meeting, AIAA SciTech Forum, San Diego, CA, USA, 7–11 January 2019; AIAA Paper 19-2140. pp. 1–19. [Google Scholar]
- Ahmadi, G. Dynamic Large Eddy Simulation in High Reynolds Numbers Based on Realizable Stochastic Turbulence Modeling. Ph.D. Thesis, Carl von Ossietzky Universität Oldenburg, Oldenburg, Germany, 2021. [Google Scholar]
- Manceau, R.; Gatski, T.B.; Friess, C. Recent progress in hybrid temporal-LES/RANS Modeling. In Proceedings of the V. European Conference on Computational Fluid Dynamics, ECCOMAS CFD 2010, Lisbon, Portugal, 14–17 June 2010; pp. 1–20. [Google Scholar]







| Model | CES Hybrid Equations | Mode Control | |
|---|---|---|---|
| CES-KOS | |||
| CES-KOK | |||
| CES-KOKU |
| Simulation Setting | Setting Applied |
|---|---|
| domain size | h, h, h in streamwise x, wall normal y, |
| and spanwise z directions, where h is the height of the hill | |
| boundary conditions | bottom and top: solid walls, no-slip and impermeability boundary conditions; |
| streamwise and spanwise directions: periodic boundary conditions | |
| time step | so that maximum CFL number is 0.5, averaged CFL number is about 0.1 |
| filter width | : represent the filter width in directions |
| averaging | after 20 flow-through times (FTT), averaging over 240 FTT, averaging along z |
| grids | 500 K cells: ; 250 K cells: |
| ; 120 K cells: | |
| Reynolds numbers | K |
Publisher’s Note: MDPI stays neutral with regard to jurisdictional claims in published maps and institutional affiliations. |
© 2021 by the authors. Licensee MDPI, Basel, Switzerland. This article is an open access article distributed under the terms and conditions of the Creative Commons Attribution (CC BY) license (https://creativecommons.org/licenses/by/4.0/).
Share and Cite
Heinz, S.; Peinke, J.; Stoevesandt, B. Cutting-Edge Turbulence Simulation Methods for Wind Energy and Aerospace Problems. Fluids 2021, 6, 288. https://doi.org/10.3390/fluids6080288
Heinz S, Peinke J, Stoevesandt B. Cutting-Edge Turbulence Simulation Methods for Wind Energy and Aerospace Problems. Fluids. 2021; 6(8):288. https://doi.org/10.3390/fluids6080288
Chicago/Turabian StyleHeinz, Stefan, Joachim Peinke, and Bernhard Stoevesandt. 2021. "Cutting-Edge Turbulence Simulation Methods for Wind Energy and Aerospace Problems" Fluids 6, no. 8: 288. https://doi.org/10.3390/fluids6080288
APA StyleHeinz, S., Peinke, J., & Stoevesandt, B. (2021). Cutting-Edge Turbulence Simulation Methods for Wind Energy and Aerospace Problems. Fluids, 6(8), 288. https://doi.org/10.3390/fluids6080288

