Preparation and Effect of CO2 Response Gel for Plugging Low-Permeability Reservoirs
Abstract
1. Introduction
2. Results and Discussion
2.1. Preparation of the Gel System
2.2. Concentration Optimization of Gel System
2.2.1. Results of Response Surface Experiment Design
2.2.2. Model Establishment and Significance Analysis
2.2.3. Response Surface Analysis
2.2.4. Prediction and Verification of Optimal Process Conditions
2.3. Microstructure of the CO2 Responsive Gel
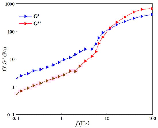
2.4. Rheological Test
2.5. CO2 Responds to the Dehydration Rate of the Gel
2.6. Response Gel Gas Channeling Plugging Ability
3. Conclusions
- (1)
- A new CO2 response gel sealing and channelizing system was prepared by using carrageenan, polyethylenimine and ethylenediamine. The Box–Behnken response surface design method was used to establish the regression equation of the relationship between the gel strength score and the addition of the three agents, and the optimal formula of the gel system was obtained: carrageenan added 0.5 wt%, branched polyethylenimine added 2.5 wt%, and ethylenediamine added 6.5 wt%.
- (2)
- Scanning electron microscopy was used to characterize the internal structure of the gel sealing and channeling system before and after contact with CO2. The surface of the system was smooth before contact with CO2. As the CO2 gas bubbled into the more uniform, complete and neat rows of the 3D mesh structure, each part was closely connected.
- (3)
- Rheological testing was carried out through the gel system. Before CO2 contact, the gel system behaves as a Newtonian fluid with a viscosity of about 1.7 mPa·s, which is almost unaffected by the shear rate. In the low-frequency region, the gel is mainly a viscoelastic solid, and the storage modulus G′ is greater than the loss modulus G″, showing obvious elasticity. In the high-frequency region, with the increase in scanning frequency, the internal structure of the gel changes from a viscoelastic solid to a viscoelastic liquid. The storage modulus G′ is smaller than the loss modulus G″, and the system shows viscous characteristics.
- (4)
- The dehydration rate of the response gel at different temperatures was tested. With the increase in aging time, the dehydration rate of the gel system at different temperatures gradually increased, indicating that a high temperature may cause structural changes in the polymer. However, when the polymer was restored to normal temperature, it returned to the original state, and the gel system showed strong self-repair ability.
- (5)
- In the CO2 displacement process, the gel system successfully blocked the macropores in the core, resulting in a recovery rate of 18.13%. A later stage of gas drives the effective expulsion of the remaining oil in the small pore, producing a recovery efficiency up to 17.06%, and the overall recovery rate reached 82.76%. Laboratory results showed that the plugging rate of the response gel system was as high as 98.73% after CO2 contact, decreased slightly during gas flooding, and finally stabilized at 85.32%.
4. Materials and Methods
4.1. Experimental Instruments and Raw Materials
4.2. Preparation of CO2-Responsive Gel System
4.3. System Optimization
4.4. Testing and Characterization
4.5. Gas Channeling Plugging Capacity
Author Contributions
Funding
Institutional Review Board Statement
Informed Consent Statement
Data Availability Statement
Conflicts of Interest
References
- Wang, Z.S.; Zeng, L.B.; Yu, J.T.; Zhang, Z.G.; Yang, S.Y.; Liu, Y.C. Key geological factors controlling oil displacement efficiency of CO2 injection in low-permeability reservoirs. Energy Explor. Exploit. 2021, 39, 993–1009. [Google Scholar] [CrossRef]
- Yin, D.Y.; Wang, D.Q.; Zhou, Y.Z.; Zhang, C.L. Pore Structure Characteristics of Ultra-Low Permeability Reservoirs. Nat. Resour. Res. 2021, 30, 451–462. [Google Scholar] [CrossRef]
- Liao, H.Y. Application of a Multistage Plugging System in a Fractured Reservoir of CO2 Flooding. ACS Omega 2024, 9, 4673–4683. [Google Scholar] [CrossRef] [PubMed]
- Ma, F.; He, S.; Zhu, H.; Xie, Q.; Jiao, C. The Effect of Stress and Pore Pressure on Formation Permeability of Ultra-Low-Permeability Reservoir. Pet. Sci. Technol. 2012, 30, 1221–1231. [Google Scholar] [CrossRef]
- Liu, B.L.; Yang, L.; Liu, Y.; Lei, Z.D.; Chen, X.B.; Wang, K.; Yu, Q. Main Factors for the Development of Ultra-Low Permeability Reservoirs. J. Coast. Res. 2020, 104, 435–439. [Google Scholar] [CrossRef]
- Wu, Z.Y.; Feng, Q.H.; Tang, Y.L.; Zhou, D.Y.; Lian, L.M. Experimental Study on Carbon Dioxide Flooding Technology in the Lunnan Oilfield, Tarim Basin. Energies 2024, 17, 386. [Google Scholar] [CrossRef]
- Xu, B. CO2 miscible flooding in low permeability sandstone reservoirs and its influence on crude oil properties. Pet. Sci. Technol. 2017, 35, 2024–2029. [Google Scholar] [CrossRef]
- Su, B.Y.; Yu, J.C.; Liu, S.C.; Zhang, J.B. Pseudo-Percolation Threshold Theory in evaluation of low-porosity and low-permeability oil reservoir. Energy Explor. Exploit. 2014, 32, 621–633. [Google Scholar] [CrossRef]
- Neuma de Castro Dantas, T.; Viana, F.F.; Thaise Costa de Souza, T.; Dantas Neto, A.A.; Aum, P.T.P. Study of single-phase polymer-alkaline-microemulsion flooding for enhancing oil recovery in sandstone reservoirs. Fuel 2021, 302, 121176. [Google Scholar] [CrossRef]
- Chen, L.L.; Liao, X.W.; Tang, S.F.; Feng, S.Y.; Tang, R.J.; Jiang, S.J.; Dong, Y.W. CO2-Low Interfacial Tension Viscoelastic Fluid Synergistic Flooding in Tight Reservoirs. ACS Omega 2022, 7, 6271–6279. [Google Scholar] [CrossRef]
- Bai, L.; Shi, C.Y.; Tang, K.; Xie, H.; Yang, S.L.; Zhu, D.Y. Study on migration and plugging performance of polymer gel in fractured cores using nuclear magnetic resonance technology. Geoenergy Sci. Eng. 2023, 227, 211891. [Google Scholar] [CrossRef]
- Bai, Y.Y.; Pu, W.F.; Jin, X.; Shen, C.; Ren, H.L. Review of the micro and Macro mechanisms of gel-based plugging agents for enhancing oil recovery of unconventional water flooding oil reservoirs. J. Mol. Liq. 2024, 399, 124318. [Google Scholar] [CrossRef]
- Gao, Q.; Xu, X.G.; Liu, S.; Mmbuji, A.O.; Wu, Y.K. CO2-Responsive Foam (CRF) for Mitigating CO2 Channeling in Heterogenous Reservoirs. Energy Fuels 2024, 38, 3755–3768. [Google Scholar] [CrossRef]
- Dong, L.F.; Yue, X.a.; Su, Q.; Qin, W.; Song, W.X.; Zhang, D.X.; Zhang, Y. Study on the Plugging Ability of Polymer Gel Particle for the Profile Control in Reservoir. J. Dispers. Sci. Technol. 2016, 37, 34–40. [Google Scholar] [CrossRef]
- Li, X.D.; Fu, M.L.; Hu, J. Preparation and Performance Evaluation of Temperature-Resistant and Salt-Resistant Gels. Gels 2024, 10, 337. [Google Scholar] [CrossRef] [PubMed]
- Lin, S.; Theato, P. CO2-Responsive Polymers. Macromol. Rapid Commun. 2013, 34, 1118–1133. [Google Scholar] [CrossRef] [PubMed]
- Darabi, A.; Jessop, P.G.; Cunningham, M.F. CO2-responsive polymeric materials: Synthesis, self-assembly, and functional applications. Chem. Soc. Rev. 2016, 45, 4391–4436. [Google Scholar] [CrossRef] [PubMed]
- Liu, F.; Urban, M.W. Recent advances and challenges in designing stimuli-responsive polymers. Prog. Polym. Sci. 2010, 35, 3–23. [Google Scholar] [CrossRef]
- Fan, X.Y.; Zhao, P.F.; Zhang, Q.G.; Zhang, T.; Zhu, K.; Zhou, C.H. A Polymer Plugging Gel for the Fractured Strata and Its Application. Materials 2018, 11, 856. [Google Scholar] [CrossRef]
- Han, X.D.; Zhong, L.G.; Liu, Y.G.; Wang, Q.X.; Wang, C. Experimental study of polyacrylamide polymer gel for profile controlling in high-temperature offshore reservoirs. Energy Sources Part A Recovery Util. Environ. Eff. 2020. [Google Scholar] [CrossRef]
- Liu, H.B.; Lin, S.J.; Feng, Y.J.; Theato, P. CO2-Responsive polymer materials. Polym. Chem. 2017, 8, 12–23. [Google Scholar] [CrossRef]
- Leng, G.Y.; Yan, W.; Li, F.; Wang, B.; Yuan, G.Y.; Chu, C.C.; Gao, C.H. Improved oil recovery in sandstone reservoirs with deep profile control technology: A comparative study between modified starch gel and polymer gel. Geoenergy Sci. Eng. 2023, 226, 211697. [Google Scholar] [CrossRef]
- Cui, L.; Hou, J.R.; Yin, X.W. Feasibility of gas drive in Fang-48 fault block oil reservoir. Pet. Sci. 2007, 4, 51–56. [Google Scholar] [CrossRef][Green Version]
- Dong, S.Y.; Li, L.; Wu, Y.J.; Huang, X.L.; Wang, X.F. Preparation and Study of Polyvinyl Alcohol Gel Structures with Acrylamide and 2-Acrylamido-2-methyl-1-propanesulfonic Acid for Application in Saline Oil Reservoirs for Profile Modification. ACS Appl. Mater. Interfaces 2023, 15, 14788–14799. [Google Scholar] [CrossRef] [PubMed]
- Kang, W.L.; Kang, X.; Lashari, Z.A.; Li, Z.; Zhou, B.B.; Yang, H.B.; Aidarova, S. Progress of polymer gels for conformance control in oilfield. Adv. Colloid Interface Sci. 2021, 289, 102363. [Google Scholar] [CrossRef] [PubMed]
- Zhang, S.; Wei, F.L.; Liu, P.D.; Shao, L.M.; Li, W.T. Plugging mechanisms of polymer gel used for hydraulic fracture water shutoff. e-Polymers 2020, 20, 411–422. [Google Scholar] [CrossRef]
- Zhu, T.; Yang, S.; Choi, D.K.; Row, K.H. Adsorption of carbon dioxide using polyethyleneimine modified silica gel. Korean J. Chem. Eng. 2010, 27, 1910–1915. [Google Scholar] [CrossRef]
- Pan, Y.; Cui, X.L.; Wang, H.; Lou, X.; Yang, S.C.; Oluwabusuyi, F.F. Research Progress of Intelligent Polymer Plugging Materials. Molecules 2023, 28, 2975. [Google Scholar] [CrossRef]
- Pan, C.F.; Chen, Z.; Tang, Q.M.; He, Z.G.; Wang, L.M.; Li, H.H.; Zhou, W.Q. Heat Dissipation Improvement of Lithium Battery Pack with Liquid Cooling System Based on Response-Surface Optimization. J. Energy Eng. 2022, 148, 04022022. [Google Scholar] [CrossRef]
- Shi, L.; Yang, R.-J.; Zhu, P. An adaptive response surface method for crashworthiness optimization. Eng. Optim. 2013, 45, 1365–1377. [Google Scholar] [CrossRef]
- Song, H.K.; Cho, K.W.; Lee, K.H. Adsorption of carbon dioxide on the chemically modified silica adsorbents. J. Non-Cryst. Solids 1998, 242, 69–80. [Google Scholar] [CrossRef]
- Shi, B.; Zhang, G.M.; Zhang, L.; Wang, C.J.; Li, Z.H.; Chen, F.P. Study on a Strong Polymer Gel by the Addition of Micron Graphite Oxide Powder and Its Plugging of Fracture. Gels 2024, 10, 304. [Google Scholar] [CrossRef]
- Yang, H.B.; Iqbal, M.W.; Lashari, Z.A.; Cao, C.X.; Tang, X.C.; Kang, W.L. Experimental research on amphiphilic polymer/organic chromium gel for high salinity reservoirs. Colloids Surf. A Physicochem. Eng. Asp. 2019, 582, 123900. [Google Scholar] [CrossRef]
- Tang, L.H.; Wang, T.Y.; Song, H.F.; Xu, M.M.; Xu, Y.B.; Wang, Y.Y. A temperature-sensitive plugging material composed of shape memory polymer and self-made gel. Mater. Res. Express 2023, 10, 065701. [Google Scholar] [CrossRef]
- Wang, Q.Y.; Cai, J.; Wang, J.N.; Zhou, C.H.; Wen, X.X.; Zhang, J.; Mao, H. Development and Application of the Anti-High-Temperature Delayed Crosslinking Polymer as a Gel Plugging Additive for Drilling Fluid. Gels 2024, 10, 73. [Google Scholar] [CrossRef] [PubMed]
- Zhang, D.; Wei, J.G.; Fang, X.R. Study on the variation of rock pore structure after polymer get flooding. e-Polymers 2020, 20, 32–38. [Google Scholar] [CrossRef]
- Tong, L.; Fan, R.G.; Yang, S.C.; Zhang, Q.S.; Pan, Y. Experimental Study of Oilfield Water Plugging with Organic Chromium Gel. Chem. Technol. Fuels Oils 2022, 57, 991–999. [Google Scholar] [CrossRef]
- Wang, K.L.; Guo, Y.Q.; Wen, J.; Yang, H.; Zhang, H. Magnetic smart polymer gel with directional plugging for conformance control in oil reservoirs. J. Mol. Liq. 2024, 405, 125046. [Google Scholar] [CrossRef]
- Zhang, Y.; Cai, H.Y.; Li, J.G.; Cheng, R.; Wang, M.J.; Bai, X.; Dai, C.L. Experimental study of acrylamide monomer polymer gel for water plugging in low temperature and high salinity reservoir. Energy Sources Part A Recovery Util. Environ. Eff. 2018, 40, 2948–2959. [Google Scholar] [CrossRef]
- Huang, B.; Zhang, W.S.; Zhou, Q.; Fu, C.; He, S.B. Preparation and Experimental Study of a Low-Initial-Viscosity Gel Plugging Agent. ACS Omega 2020, 5, 15715–15727. [Google Scholar] [CrossRef]
- Costa, M.C.; Pereira, M.L.; Maréchal, Y.; Coulomb, J.L.; Cardoso, J.R. Optimization of grounding grids by response surfaces and genetic algorithms. IEEE Trans. Magn. 2003, 39, 1301–1304. [Google Scholar] [CrossRef]
- Lee, D.-H.; Jeong, I.J.; Kim, K.-J. Methods and Applications of Dual Response Surface Optimization: A Literature Review. J. Korean Inst. Ind. Eng. 2013, 39, 342–350. [Google Scholar]
- Lyu, C.H.; Zhong, L.G.; Wang, Q.; Zhang, W.; Han, X.D.; Chen, M.Q.; Yang, J.W. Core scale analysis of low viscosity oil injection in enhancing oil recovery of heavy oil reservoirs. Energy 2023, 275, 127432. [Google Scholar] [CrossRef]
- Beeson, D.M.; Ortloff, G.D. Laboratory investigation of the water-driven carbon dioxide process for oil recovery. Trans. Am. Inst. Min. Metall. Eng. 1959, 216, 388–391. [Google Scholar] [CrossRef]










| The No. | A | B | C | Y Intensity Score/(Points) |
|---|---|---|---|---|
| 1 | −1 | −1 | 0 | 6.5 |
| 2 | 1 | −1 | 0 | 6.6 |
| 3 | −1 | 1 | 0 | 6.3 |
| 4 | 1 | 1 | 0 | 6.8 |
| 5 | −1 | 0 | −1 | 7.2 |
| 6 | 1 | 0 | −1 | 7.4 |
| 7 | −1 | 0 | 1 | 7.7 |
| 8 | 1 | 0 | 1 | 8 |
| 9 | 0 | −1 | 1 | 8.5 |
| 10 | 0 | 1 | −1 | 7 |
| 11 | 0 | −1 | 1 | 7.5 |
| 12 | 0 | 1 | 1 | 8.9 |
| 13 | 0 | 0 | 0 | 9.6 |
| 14 | 0 | 0 | 0 | 9.3 |
| 15 | 0 | 0 | 0 | 9.4 |
| 16 | 0 | 0 | 0 | 9.2 |
| 17 | 0 | 0 | 0 | 9.5 |
| Source of Variation | Sum of Squares | Degree of Freedom | Mean Square | F Number | p Number | Significance |
|---|---|---|---|---|---|---|
| Model | 21.71 | 9 | 2.41 | 157.08 | <0.0001 | ** |
| A | 0.1513 | 1 | 0.1513 | 9.85 | 0.0164 | * |
| B | 0.0012 | 1 | 0.0012 | 0.0814 | 0.7837 | |
| C | 0.5000 | 1 | 0.5000 | 32.56 | 0.0007 | ** |
| AB | 0.0400 | 1 | 0.0400 | 2.60 | 0.1506 | |
| AC | 0.0025 | 1 | 0.0025 | 0.1628 | 0.6986 | |
| BC | 2.10 | 1 | 2.10 | 136.91 | <0.0001 | ** |
| A2 | 11.12 | 1 | 11.12 | 723.99 | <0.0001 | ** |
| B2 | 6.32 | 1 | 6.32 | 411.43 | <0.0001 | ** |
| C2 | 0.1684 | 1 | 0.1684 | 10.97 | 0.0129 | * |
| Residual | 0.1075 | 7 | 0.0154 | |||
| Lack of Fit | 0.0075 | 3 | 0.0025 | 0.1000 | 0.9559 | |
| Pure Error | 0.1000 | 4 | 0.0250 | |||
| Cor Total | 21.82 | 16 | ||||
| R2 | 0.9951 | |||||
| R2Adj | 0.9887 |
| Level | Factor | ||
|---|---|---|---|
| A Carrageenan Addition (wt%) | B Branched Polyvinylimide Addition (wt%) | C Ethylenediamine Addition (wt%) | |
| −1 | 0.4 | 2.0 | 6.0 |
| 0 | 0.5 | 2.5 | 6.5 |
| 1 | 0.6 | 3.0 | 7.0 |
Disclaimer/Publisher’s Note: The statements, opinions and data contained in all publications are solely those of the individual author(s) and contributor(s) and not of MDPI and/or the editor(s). MDPI and/or the editor(s) disclaim responsibility for any injury to people or property resulting from any ideas, methods, instructions or products referred to in the content. |
© 2024 by the authors. Licensee MDPI, Basel, Switzerland. This article is an open access article distributed under the terms and conditions of the Creative Commons Attribution (CC BY) license (https://creativecommons.org/licenses/by/4.0/).
Share and Cite
Wang, H.; Yang, C.; Zhang, Y.; Wang, C. Preparation and Effect of CO2 Response Gel for Plugging Low-Permeability Reservoirs. Gels 2024, 10, 449. https://doi.org/10.3390/gels10070449
Wang H, Yang C, Zhang Y, Wang C. Preparation and Effect of CO2 Response Gel for Plugging Low-Permeability Reservoirs. Gels. 2024; 10(7):449. https://doi.org/10.3390/gels10070449
Chicago/Turabian StyleWang, Huipeng, Changhua Yang, Yongwei Zhang, and Chen Wang. 2024. "Preparation and Effect of CO2 Response Gel for Plugging Low-Permeability Reservoirs" Gels 10, no. 7: 449. https://doi.org/10.3390/gels10070449
APA StyleWang, H., Yang, C., Zhang, Y., & Wang, C. (2024). Preparation and Effect of CO2 Response Gel for Plugging Low-Permeability Reservoirs. Gels, 10(7), 449. https://doi.org/10.3390/gels10070449
