New Chaetoglobosins with Fungicidal Activity from Chaetomium sp. UJN-EF006 Endophytic in Vaccinium bracteatum
Abstract
1. Introduction
2. Materials and Methods
2.1. General Experimental Procedures
2.2. Fungal Source and Culture Conditions
2.3. Extraction and Isolation
2.4. X-Ray Crystallographic Analysis
2.5. ECD Calculation
2.6. In Vitro Antifungal Evaluation
2.7. Scanning Electron Microscopy (SEM)
3. Results and Discussion
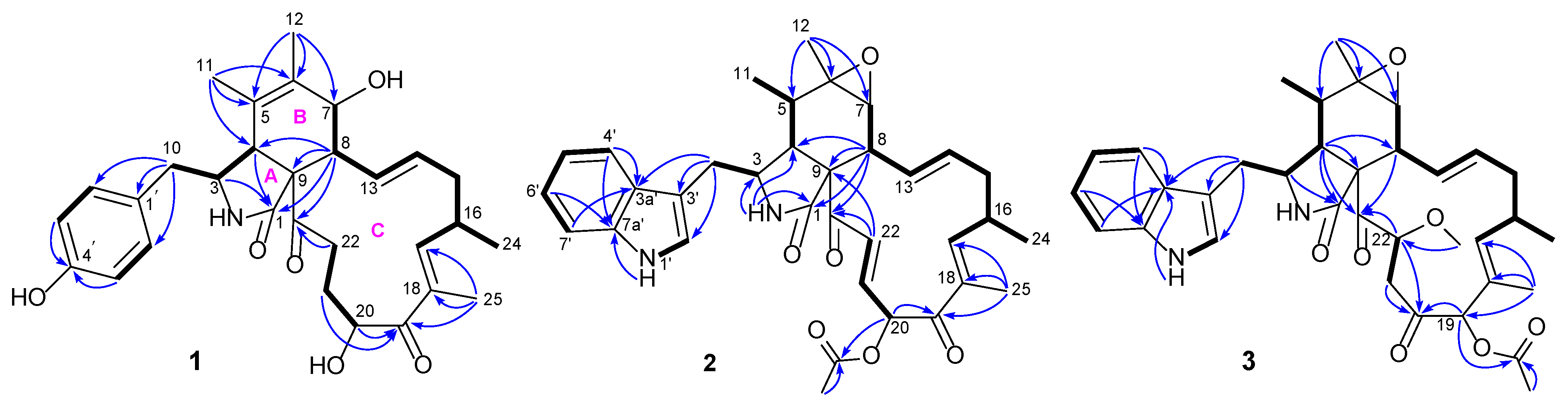
3.1. Structure Characterization of the Isolated Compounds
3.2. Anti-Phytopathogenic Evaluation
4. Conclusions
Supplementary Materials
Author Contributions
Funding
Institutional Review Board Statement
Informed Consent Statement
Data Availability Statement
Acknowledgments
Conflicts of Interest
References
- Ji, X.; Xia, Y.; Zhang, H.; Cui, J.L. The Microscopic Mechanism between Endophytic Fungi and Host Plants: From Recognition to Building Stable Mutually Beneficial Relationships. Microbiol. Res. 2022, 261, 127056. [Google Scholar] [CrossRef] [PubMed]
- Collinge, D.B.; Jensen, B.; Jorgensen, H.J. Fungal Endophytes in Plants and Their Relationship to Plant Disease. Curr. Opin. Microbiol. 2022, 69, 102177. [Google Scholar] [CrossRef] [PubMed]
- Wang, Z.C.; Wang, L.; Pan, Y.P.; Zheng, X.; Liang, X.; Sheng, L.; Zhang, D.; Sun, Q.; Wang, Q. Research Advances on Endophytic Fungi and Their Bioactive Metabolites. Bioprocess. Biosyst. Eng. 2023, 46, 165–170. [Google Scholar] [CrossRef]
- Settu, S.; Arunachalam, S. Fungal Endophytes: A Blooming Reservoir for Future Products. Int. J. Pharm. Sci. Rev. Res. 2020, 65, 169–178. [Google Scholar] [CrossRef]
- Manathunga, K.K.; Gunasekara, N.W.; Meegahakumbura, M.K.; Faraj, T.K.; Wanasinghe, D.N. Exploring Endophytic Fungi as Natural Antagonists against Fungal Pathogens of Food Crops. J. Fungi 2024, 10, 606. [Google Scholar] [CrossRef]
- Akram, S.; Ahmed, A.; He, P.; Liu, Y.; Wu, Y.; Munir, S.; He, Y. Uniting the Role of Endophytic Fungi against Plant Pathogens and Their Interaction. J. Fungi 2023, 9, 72. [Google Scholar] [CrossRef]
- Grabka, R.; Entremont, T.W.; Adams, S.J.; Walker, A.K.; Tanney, J.B.; Abbasi, P.A.; Ali, S. Fungal Endophytes and Their Role in Agricultural Plant Protection against Pests and Pathogens. Plants 2022, 11, 384. [Google Scholar] [CrossRef]
- Pokhriyal, A.; Kapoor, N.; Negi, S.; Sharma, G.; Chandra, S.; Gambhir, L.; Douglas Melo Coutinho, H. Endophytic Fungi: Cellular Factories of Novel Medicinal Chemistries. Bioorg. Chem. 2024, 150, 107576. [Google Scholar] [CrossRef]
- Saxena, S.; Dufosse, L.; Deshmukh, S.K.; Chhipa, H.; Gupta, M.K. Endophytic Fungi: A Treasure Trove of Antifungal Metabolites. Microorganisms 2024, 12, 1903. [Google Scholar] [CrossRef]
- Varghese, S.; Jisha, M.S.; Rajeshkumar, K.C.; Gajbhiye, V.; Alrefaei, A.F.; Jeewon, R. Endophytic fungi: A future prospect for breast cancer therapeutics and drug development. Heliyon 2024, 10, e33995. [Google Scholar] [CrossRef]
- Fan, M.C.; Li, T.T.; Li, Y.; Qian, H.; Zhang, H.; Rao, Z.; Wang, L. Vaccinium bracteatum Thunb. as a Promising Resource of Bioactive Compounds with Health Benefits: An Updated Review. Food Chem. 2021, 356, 129738. [Google Scholar] [CrossRef]
- Flora of China Editorial Committee of Chinese Academy of Sciences. Flora of China; Science Press: Beijing, China, 1991; Volume 57, p. 75. [Google Scholar]
- Wang, Y.Y.; Zhang, J.S.; Wang, X.X.; Tian, L.L.; Li, Y.P.; Wang, C.; Ma, R.F.; Yin, Y.K.; Bao, J.; Zhang, H. Identification of Small-Molecule Bioactive Constituents from the Leaves of Vaccinium bracteatum Confirms It as a Potential Functional Food with Health Benefits. Foods 2023, 12, 177. [Google Scholar] [CrossRef] [PubMed]
- Wang, Y.Y.; Li, J.J.; Wei, Q.H.; Wang, X.X.; Zhang, J.S.; Yan, J.J.; Zhang, H. Bioactive Neolignan, Iridoid and Flavonoid Glycosides from the Leaves of Vaccinium bracteatum. J. Asian Nat. Prod. Res. 2024, 26, 690–698. [Google Scholar] [CrossRef] [PubMed]
- Spinelli, V.; Ceci, A.; Giovannini, R.; Sciubba, F.; Persiani, A.M. The good fight: Minimedusa polyspora and Chaetomium globosum effectively antagonize phytopathogenic fungi in vitro conditions. Mycologia 2025, 117, 331–345. [Google Scholar] [CrossRef] [PubMed]
- Chen, X.; Zou, J.M.; Li, L.; Bao, K.; Zhao, Y.; Miao, C.P.; Zhao, L.X.; Chen, Y.W.; Li, Y.Q. Cyclic peptide secondary metabolites with antifungal activity against root-rotpathogens of Panax Notoginseng produced by Streptomyces yatensis. Chem. Nat. Compd. 2021, 57, 1181–1183. [Google Scholar] [CrossRef]
- Wang, Y.Y.; Pan, Y.B.; Wang, Z.Y.; Li, J.J.; Bao, j.; Zhang, J.S.; Zhang, H. Anti-inflammatory Polyketides from an Endophytic Fungus Chaetomium sp. UJN-EF006 of Vaccinium bracteatum. Chem. Biodivers. 2024, 21, e202400002. [Google Scholar] [CrossRef]
- Sekita, S.; Yoshihira, K.; Natori, S.; Kuwano, H. Structures of chaetoglobosin A and B, cytotoxic metabolites of Chaetomium globosum. Tetrahedron Lett. 1973, 14, 2109–2112. [Google Scholar] [CrossRef]
- Zhu, H.C.; Chen, C.M.; Tong, Q.Y.; Zhou, Y.; Ye, Y.; Gu, L.H.; Zhang, Y.H. Progress in the Chemistry of Cytochalasans. In Progress in the Chemistry of Organic Natural Products; Kinghorn, A.D., Heinz Falk, H., Gibbons, S., Kobayashi, J., Asakawa, Y., Liu, J.K., Eds.; Springer: Cham, Switzerland, 2021; Volume 114, pp. 1–134. [Google Scholar]
- Tian, C.; Feng, Y.Y.; Zhang, H.; Mao, X.Y.; Zhu, X.Y.; Wang, X.; Hou, C.; Xiaoyang Han, X.Y.; Yang, H.X.; Liu, J.K. Discovery of highly oxygenated cytochalasans with antiproliferative activity from an endophytic fungus Boeremia exigua. Bioorg. Chem. 2025, 156, 108198. [Google Scholar] [CrossRef]
- Zhang, H.L.; Hantke, V.; Bruhnke, P.; Skellam, E.J.; Cox, J.R. Chemical and Genetic Studies on the Formation of Pyrrolones During the Biosynthesis of Cytochalasans. Chem. Eur. J. 2021, 27, 3106–3113. [Google Scholar] [CrossRef]
- Zhao, Y.L.; Long, X.W.; Wu, H.; Deng, J. Recent advances in the total synthesis of cytochalasan natural products using bioinspired strategies. Org. Chem. Front. 2022, 9, 6979–6998. [Google Scholar] [CrossRef]
- Cui, X.M.; Ma, D.Y.; Liu, X.Y.; Zhang, Z.Q.; Li, B.Q.; Xu, Y.; Chen, T.; Tian, S.P. Magnolol inhibits gray mold on postharvest fruit by inducing autophagic activity of Botrytis cinerea. Postharvest Biol. Technol. 2021, 180, 111596. [Google Scholar] [CrossRef]
- Wei, Q.H.; Cao, X.X.; Xu, D.F.; Wang, S.T.; Zhang, J.S.; Zhang, H. Anti-inflammatory labdane diterpenoids from the aerial parts of Leonurus japonicus. Phytochemistry 2023, 210, 113646. [Google Scholar] [CrossRef]
- Zhu, J.K.; Gao, J.M.; Yang, C.J.; Shang, X.F.; Zhao, Z.M.; Lawoe, R.K.; Zhou, R.; Sun, Y.; Yin, X.D.; Liu, Y.Q. Design, Synthesis, and Antifungal Evaluation of Neocryptolepine Derivatives against Phytopathogenic Fungi. J. Agric. Food Chem. 2020, 68, 2306–2315. [Google Scholar] [CrossRef]
- Wang, D.L.; Yuan, C.X.; Li, Y.P.; Bai, S.; Feng, J.; Wang, Y.; Fang, Y.; Zhang, Z. Chelation of the Optimal Antifungal Pogostone Analogue with Copper (II) to Explore the Dual Antifungal and Antibacterial Agent. J. Agric. Food Chem. 2024, 72, 3894–3903. [Google Scholar] [CrossRef] [PubMed]
- Yan, Y.F.; Wu, T.L.; Du, S.S.; Wu, Z.R.; Hu, Y.M.; Zhang, Z.J.; Zhao, W.B.; Yang, C.J.; Liu, Y.Q. The Antifungal Mechanism of Isoxanthohumol from Humulus lupulus Linn. Int. J. Mol. Sci. 2021, 22, 10853. [Google Scholar] [CrossRef]
- Chen, J.H.; Zhang, W.Z.; Guo, Q.; Yu, W.; Zhang, Y.; He, B. Bioactivities and Future Perspectives of Chaetoglobosins. Evid. Based Complement. Altern. Med. 2020, 2020, 8574084. [Google Scholar] [CrossRef] [PubMed]
- Sekita, S.; Yoshihira, K.; Natori, S.; Harumitsu, K. Chaetoglobosins, Cytotoxic 10-(Indol-3-yl)-[13] cytochalasans from Chaetomium spp. III. Structures of Chaetoglobosins C, E, F, G, and J. Chem. Pharm. Bull. 1982, 30, 1629–1638. [Google Scholar] [CrossRef]
- Iwamoto, C.; Yamada, T.; Ito, Y.; Katsuhiko, M.; Atsushi, N. Cytotoxic Cytochalasans from a Penicillium Species Separated from a Marine Alga. Tetrahedron 2001, 57, 2997–3004. [Google Scholar] [CrossRef]







| No. | 1 a | 2 b | 3 b | 4 b | 5 b | |||||
|---|---|---|---|---|---|---|---|---|---|---|
| δC | δH, Multi. (J in Hz) | δC | δH, Multi. (J in Hz) | δC | δH, Multi. (J in Hz) | δC | δH, Multi. (J in Hz) | δC | δH, Multi. (J in Hz) | |
| 1 | 177.1 | 173.7 | 174.3 | 174.2 | 174.9 | |||||
| 2 | 5.80, brs | 5.72, brs | 5.69, brs | 5.90, brs | ||||||
| 3 | 60.5 | 3.33, dd (9.8, 5.5) | 52.5 | 3.77, m | 52.8 | 3.75, m | 53.8 | 3.76, m | 52.6 | 3.71, brdd (8.1, 7.1) |
| 4 | 50.0 | 2.94, brs | 46.5 | 3.30, dd (5.8, 2.4) | 51.3 | 2.40, dd (5.5, 2.1) | 50.2 | 2.45, brs | 48.5 | 2.45, brd (6.3) |
| 5 | 127.7 | 36.1 | 1.77, m | 36.6 | 1.91, m | 35.9 | 1.87, m | 36.6 | 1.76, m | |
| 6 | 134.4 | 58.3 | 57.2 | 57.3 | 57.3 | |||||
| 7 | 70.0 | 3.81, brd (9.7) | 62.8 | 2.82, d (5.5) | 61.6 | 2.82, d (5.7) | 61.4 | 2.77, d (5.4) | 61.1 | 2.86, d (5.6) |
| 8 | 52.6 | 2.13, dd (10.0, 9.7) | 49.6 | 2.09, dd (10.2, 5.5) | 49.6 | 2.59, dd (9.8, 5.7) | 46.2 | 2.81, dd (9.7, 5.4) | 47.3 | 2.38, dd (9.9, 5.6) |
| 9 | 63.8 | 64.1 | 61.9 | 62.5 | 64.8 | |||||
| 10 | 42.0 | 2.66, dd (13.4, 5.5) | 34.9 | 2.87, dd (14.4, 4.8) | 34.4 | 2.84, d (7.3, 2H) | 34.4 | 2.93, m (2H) | 33.9 | 2.89, dd (14.1, 8.1) |
| 2.18, dd (13.4, 9.8) | 2.61, dd (14.4, 8.6) | 2.72, dd (14.1, 7.1) | ||||||||
| 11 | 17.4 | 1.28, brs | 13.1 | 1.14, d (7.2) | 13.1 | 1.10, d (7.3) | 13.9 | 1.14, d (7.3) | 12.4 | 0.78, d (7.2) |
| 12 | 14.8 | 1.64, d (1.6) | 20.0 | 1.23, s | 19.8 | 1.22, s | 20.3 | 1.25, s | 19.4 | 1.12, s |
| 13 | 129.4 | 6.28, ddd (15.3, 10.0, 2.0) | 129.0 | 6.50, m (overlap) | 128.7 | 6.17, ddd (15.1, 9.8, 1.9) | 128.0 | 6.04, m | 126.6 | 6.31, ddd (15.4, 9.9, 1.8) |
| 14 | 136.1 | 5.23, ddd (15.3, 11.0, 2.9) | 133.6 | 5.23, ddd (14.9, 11.1, 3.1) | 133.7 | 5.21, ddd (15.1, 11.0, 3.6) | 134.8 | 5.34, m | 136.7 | 5.31, ddd (15.4, 10.8, 2.6) |
| 15 | 42.2 | 2.48, m | 41.7 | 2.41, m | 41.8 | 2.28, m | 41.3 | 2.31, m | 40.1 | 2.36, m |
| 2.08, ddd (13.6, 12.1, 11.0) | 2.19, ddd (14.2, 11.7, 11.1) | 2.00, m | 1.99, m | 2.00, ddd (14.5, 11.8, 10.8) | ||||||
| 16 | 34.6 | 2.82, m | 33.9 | 2.69, m | 32.3 | 2.47, m | 33.1 | 2.60, m | 33.3 | 2.68, m |
| 17 | 150.5 | 6.31, brd (9.5) | 152.1 | 6.56, brd (8.4) | 142.3 | 5.66, dd (8.7, 1.5) | 141.9 | 5.47, brd (10.2) | 142.3 | 5.36, dd (10.5, 1.6) |
| 18 | 137.0 | 133.8 | 128.4 | 126.8 | 128.7 | |||||
| 19 | 205.5 | 192.7 | 84.1 | 5.79, s | 85.0 | 5.31, s | 82.9 | 5.15, s | ||
| 20 | 71.9 | 4.91, dd (7.8, 4.3) | 76.2 | 6.38, d (10.7) | 203.3 | 202.0 | 203.8 | |||
| 21 | 32.0 | 1.93, m | 136.8 | 6.50, dd (15.3, 10.7) | 42.7 | 2.94, dd (15.5, 1.7) | 40.5 | 3.62, dd, (18.0, 5.8) | 79.8 | 4.67, dd (7.3, 2.7) |
| 1.85, m | 2.65, dd (15.5, 10.1) | 2.50, dd, (18.0, 4.4) | ||||||||
| 22 | 38.2 | 3.03, dt (19.6, 5.7) | 132.0 | 7.44, d (15.3) | 80.8 | 4.77, dd (10.1, 1.7) | 79.1 | 4.77, dd (5.8, 4.0) | 43.0 | 3.41, dd (18.3, 2.7) |
| 2.91, ddd (19.6, 9.1, 5.4) | 2.78, dd (18.3, 7.3) | |||||||||
| 23 | 211.2 | 194.1 | 206.2 | 205.1 | 204.6 | |||||
| 24 | 20.2 | 1.07, d (6.7) | 20.9 | 1.06, d (6.9) | 20.9 | 1.02, d (6.8) | 21.2 | 1.02, d, (6.6) | 21.0 | 1.02, d (6.5) |
| 25 | 12.4 | 1.83, d (1.3) | 11.7 | 1.75, brs | 11.9 | 1.57, d (1.3) | 11.7 | 1.55, d (1.3) | 11.8 | 1.68, d (1.3) |
| 1′ | 129.1 | 8.11, brs | 8.13, brs | 8.12, brs | 8.11, d (2.3) | |||||
| 2′ | 131.4 | 6.93, d (8.4) | 122.6 | 7.03, d (2.3) | 122.69 c | 6.98, d (2.3) | 122.68 d | 7.07, d (2.3) | 122.5 | 7.08, d (2.3) |
| 3′ | 116.4 | 6.74, d (8.4) | 111.2 | 112.0 | 112.1 | 111.5 | ||||
| 3a′ | 127.1 | 127.0 | 127.0 | 127.1 | ||||||
| 4′ | 157.4 | 118.5 | 7.52, brd (7.9) | 118.5 | 7.51, brd, (7.9) | 118.5 | 7.55, brd, (7.9) | 118.5 | 7.57, brd (7.9) | |
| 5′ | 116.4 | 6.74, d (8.4) | 120.1 | 7.16, m | 120.1 | 7.15, m | 120.1 | 7.17, m | 120.0 | 7.15, m |
| 6′ | 131.4 | 6.93, d (8.4) | 123.2 | 7.22, m | 122.74 c | 7.23, m | 122.71 d | 7.24, m | 123.4 | 7.22, m |
| 7′ | 111.6 | 7.37, brd (8.1) | 111.7 | 7.40, brd (8.1) | 111.7 | 7.41, brd, (8.1) | 111.6 | 7.39, brd (8.1) | ||
| 7a′ | 136.5 | 136.6 | 136.6 | 136.5 | ||||||
| OAc | 19.8 | 2.21, s | 21.2 | 2.18, s | 170.5 | 20.6 | 2.12, s | |||
| 169.9 | 170.2 | 20.8 | 2.13, s | 171.2 | ||||||
| OMe(Et) | 59.0 | 3.48 | 64.5 | 3.56, m | 58.9 | 3.45, s | ||||
| 3.67, m | ||||||||||
| 15.5 | 1.27, t (7.0) | |||||||||
| Compds. | EC50 (μg/mL) | 95% CI a | Regression Equation y = ax + b | Correlation Coefficient (R2) |
|---|---|---|---|---|
| 2 | 2.19 | 1.1–5.40 | y = 0.103x + 0.274 | 0.938 |
| 3 | 22.96 | 5.3–32.2 | y = 0.015x + 0.165 | 0.963 |
| 4 | 19.32 | 2.9–35.1 | y = 0.009x + 0.328 | 0.952 |
| 5 | 26.45 | 8.7–31.3 | y = 0.007x + 0.454 | 0.979 |
| 6 | 8.25 | 5.1–34.0 | y = 0.019x + 0.341 | 0.956 |
| 7 | 0.40 | 0.4–1.70 | y = 0.203x + 0.418 | 0.957 |
| 8 | 18.17 | 7.4–52.6 | y = 0.012x + 0.287 | 0.920 |
| 9 | 5.83 | 1.7–27.1 | y = 0.019x + 0.392 | 0.942 |
| Carbendazim | 70.11 | 1.0–97.1 | y = 0.003x + 0.304 | 0.998 |
| Azoxystrobin | 39.02 | 0.8–80.9 | y = 0.004x + 0.328 | 0.971 |
Disclaimer/Publisher’s Note: The statements, opinions and data contained in all publications are solely those of the individual author(s) and contributor(s) and not of MDPI and/or the editor(s). MDPI and/or the editor(s) disclaim responsibility for any injury to people or property resulting from any ideas, methods, instructions or products referred to in the content. |
© 2025 by the authors. Licensee MDPI, Basel, Switzerland. This article is an open access article distributed under the terms and conditions of the Creative Commons Attribution (CC BY) license (https://creativecommons.org/licenses/by/4.0/).
Share and Cite
Wang, L.-J.; Ma, Z.-Y.; Wang, X.-L.; Wang, K.-L.; Zhang, T.; Han, R.-Y.; Li, J.-J.; Bao, J.; Wang, Y.-Y.; Zhang, H. New Chaetoglobosins with Fungicidal Activity from Chaetomium sp. UJN-EF006 Endophytic in Vaccinium bracteatum. J. Fungi 2025, 11, 511. https://doi.org/10.3390/jof11070511
Wang L-J, Ma Z-Y, Wang X-L, Wang K-L, Zhang T, Han R-Y, Li J-J, Bao J, Wang Y-Y, Zhang H. New Chaetoglobosins with Fungicidal Activity from Chaetomium sp. UJN-EF006 Endophytic in Vaccinium bracteatum. Journal of Fungi. 2025; 11(7):511. https://doi.org/10.3390/jof11070511
Chicago/Turabian StyleWang, Luo-Jing, Zong-Yan Ma, Xin-Ling Wang, Kai-Le Wang, Tong Zhang, Rui-Ying Han, Jun-Jiang Li, Jie Bao, Yin-Yin Wang, and Hua Zhang. 2025. "New Chaetoglobosins with Fungicidal Activity from Chaetomium sp. UJN-EF006 Endophytic in Vaccinium bracteatum" Journal of Fungi 11, no. 7: 511. https://doi.org/10.3390/jof11070511
APA StyleWang, L.-J., Ma, Z.-Y., Wang, X.-L., Wang, K.-L., Zhang, T., Han, R.-Y., Li, J.-J., Bao, J., Wang, Y.-Y., & Zhang, H. (2025). New Chaetoglobosins with Fungicidal Activity from Chaetomium sp. UJN-EF006 Endophytic in Vaccinium bracteatum. Journal of Fungi, 11(7), 511. https://doi.org/10.3390/jof11070511

