The Influence of the Divergent Substrate on Physicochemical Properties and Metabolite Profiling of Agrocybe cylindracea Cultivation
Abstract
1. Introduction
2. Material and Methods
2.1. Primary Spawn Preparation
2.2. Substrate Preparation and Cultivation
2.3. Determination of Enzyme Activity
2.4. Measurement of Lignocellulose Content and Carbon Dioxide Emission During A. cylindracea Cultivation
2.5. A. cylindracea Nutritional Composition Cultivated in Different Substrates
2.6. Screening of Metabolites/Bioactive Compounds During A. cylindracea Cultivation
3. Statistical Analysis
4. Results
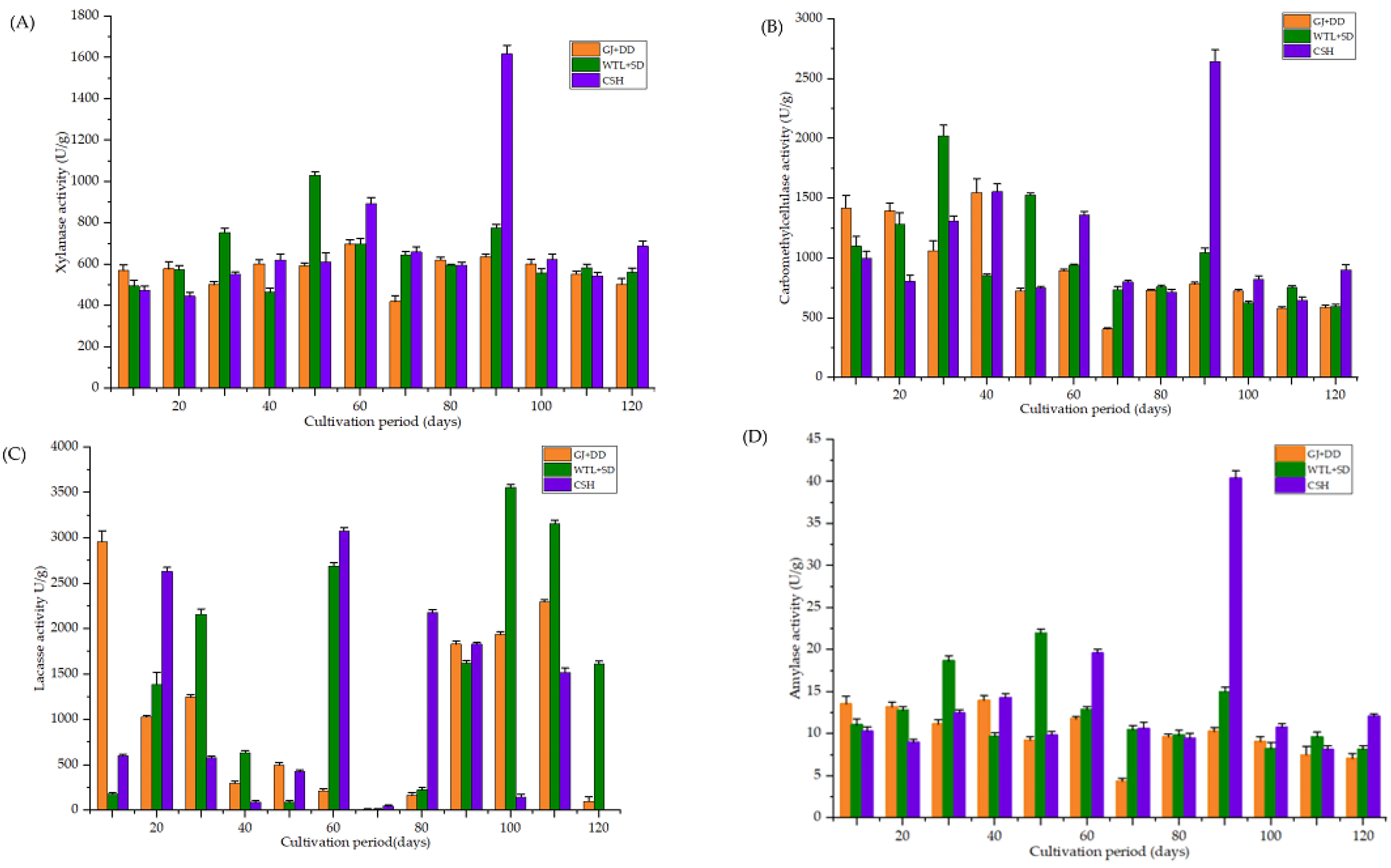
4.1. Enzyme Activities and Organic Compounds During A. cylindracea Cultivation
4.2. Organic Compound and Carbon Dioxide Emissions Were Detected During A. cylindracea Cultivation
4.3. Biocomponents and Biological Efficiency of A. cylindracea Cultivated in the Different Substrates
4.4. Metabolites Detected for A. cylindracea Grown in the Various Substrates
4.5. Composition and Abundance of Metabolites Detected During A. cylindracea Cultivation
4.6. Metabolite-Enriched KEGG Pathways Identified During the A. cylindracea Cultivated in the Different Substrates
4.7. Metabolite Association with the Different Parameters Explored During A. cylindracea Maturity Stage
5. Discussion
Supplementary Materials
Author Contributions
Funding
Institutional Review Board Statement
Informed Consent Statement
Data Availability Statement
Acknowledgments
Conflicts of Interest
References
- Assemie, A.; Abaya, G. The Effect of Edible Mushroom on Health and Their Biochemistry. Int. J. Microbiol. 2022, 2022, 8744788. [Google Scholar] [CrossRef] [PubMed]
- Liang, Y.; Lu, D.; Wang, S.; Zhao, Y.; Gao, S.; Han, R.; Yu, J.; Zheng, W.; Geng, J.; Hu, S. Genome Assembly and Pathway Analysis of Edible Mushroom Agrocybe cylindracea. Genom. Proteom. Bioinform. 2020, 18, 341–351. [Google Scholar] [CrossRef] [PubMed]
- FAOSTAT. 2021. Available online: http://www.fao.org/faostat/en/#data/TM (accessed on 2 November 2024).
- Singh, M.; Kamal, S.; Sharma, V. Status and Trends in World Mushroom Production-III-World Production of Different Mushroom Species in 21st Century. Mushroom Res. 2021, 29, 75. [Google Scholar] [CrossRef]
- Wang, L.; Li, L.; Zhou, Q. Established Digital Model of Fruit Body Growth of Agrocybe Cylindracea Based on Network Programming. Discrete Dyn. Nature Soc. 2021, 2021, 6643273. [Google Scholar] [CrossRef]
- Ayimbila, F.; Keawsompong, S. Nutritional Quality and Biological Application of Mushroom Protein as a Novel Protein Alternative. Curr. Nutr. Rep. 2023, 12, 290–307. [Google Scholar] [CrossRef]
- Jayaraman, S.; Yadav, B.; Dalal, R.C.; Naorem, A.; Sinha, N.K.; Srinivasa Rao, C.; Dang, Y.P.; Patra, A.K.; Datta, S.P.; Subba Rao, A. Mushroom Farming: A Review Focusing on Soil Health, Nutritional Security and Environmental Sustainability. Farming Syst. 2024, 2, 100098. [Google Scholar] [CrossRef]
- Dai, X.; Sharma, M.; Chen, J. (Eds.) Fungi in Sustainable Food Production; Fungal Biology; Springer: Cham, Switzerland, 2021. [Google Scholar] [CrossRef]
- Zhang, L.; Yan, M.; Liu, C. A Comprehensive Review of Secondary Metabolites from the Genus Agrocybe: Biological Activities and Pharmacological Implications. Mycology 2024, 15, 162–179. [Google Scholar] [CrossRef] [PubMed]
- Chen, L.; Chen, Y.; Wang, J.; Wang, Z.; Huang, X. Study on Nutritional Components Evaluation and Origin Differences of Agrocybe cylindracea from Different Regions. eFood 2023, 4, e81. [Google Scholar] [CrossRef]
- Berger, R.G.; Bordewick, S.; Krahe, N.-K.; Ersoy, F. Mycelium vs. Fruiting Bodies of Edible Fungi—A Comparison of Metabolites. Microorganisms 2022, 10, 1379. [Google Scholar] [CrossRef]
- Cilerdzic, J.; Stajic, M.; Vukojevic, J.; Milovanovic, I.; Muzgonja, N. Antioxidant and Antifungal Potential of Pleurotus ostreatus Agrocybe cylindracea Basidiocarps and Mycelia. Curr. Pharm. Biotechnol. 2015, 16, 179–186. [Google Scholar] [CrossRef]
- Kumla, J.; Suwannarach, N.; Sujarit, K.; Penkhrue, W.; Kakumyan, P.; Jatuwong, K.; Vadthanarat, S.; Lumyong, S. Cultivation of Mushrooms and Their Lignocellulolytic Enzyme Production Through the Utilization of Agro-Industrial Waste. Molecules 2020, 25, 2811. [Google Scholar] [CrossRef] [PubMed]
- Kleofas, V.; Sommer, L.; Fraatz, M.A.; Zorn, H.; Rühl, M. Fruiting Body Production and Aroma Profile Analysis of Agrocybe aegerita Cultivated on Different Substrates. Nat. Resour. 2014, 5, 233–240. [Google Scholar] [CrossRef]
- Claude, I.; Aimable, N.; Mediatrice, H.; Zhou, H.; Lin, D.; Liu, P.; Lin, Z. Evaluation of the Influence of Varied Juncao Grass Substrates on Physiological and Enzymatic Reactions of Pleurotus ostreatus. Curr. Issues Mol. Biol. 2024, 46, 9493–9502. [Google Scholar] [CrossRef] [PubMed]
- Yang, D.; Liang, J.; Wang, Y.; Sun, F.; Tao, H.; Xu, Q.; Zhang, L.; Zhang, Z.; Ho, C.; Wan, X. Tea Waste: An Effective and Economic Substrate for Oyster Mushroom Cultivation. J. Sci. Food Agric. 2016, 96, 680–684. [Google Scholar] [CrossRef] [PubMed]
- Li, Z.; Zhou, Y.; Zhao, G.; Xu, C.; Pan, J.; Li, H.; Zou, Y. Impacts of Yield, Nutritional Value, and Amino Acid Contents during Short-Term Composting for the Substrate for Agrocybe aegerita. Horticulturae 2024, 10, 234. [Google Scholar] [CrossRef]
- Malsawmtluanga, C.D.; Lalbiaknunga, J.; Lalawmpuia; Laldinkima, C. Detection and Quantification of Amatoxin in Wild Mushrooms from North-East India Using HPLC-PDA Method for Food Safety Purposes. Toxicon 2024, 251, 108134. [Google Scholar] [CrossRef]
- Onyeka, E.U.; Okehie, M.A. Effect of Substrate Media on Growth, Yield and Nutritional Composition of Domestically Grown Oyster Mushroom (Pleurotus ostreatus). Afr. J. Plant Sci. 2018, 12, 141–147. [Google Scholar] [CrossRef]
- Sudha, G.; Vadivukkarasi, S.; Shree, R.B.I.; Lakshmanan, P. Antioxidant Activity of Various Extracts from an Edible Mushroom Pleurotus Eous. Food Sci. Biotechnol. 2012, 21, 661–668. [Google Scholar] [CrossRef]
- Rafael, L.E.O.; Camila, B.A.B.; Sergio, D.J.; Patricia, M.A.; Norma, B.D.G.; Edmar, V.D.A.; Leonor, A.D.O.D.S. Production and Characterization of Endoglucanase Secreted by Streptomyces Capoamus Isolated from Caatinga. Afr. J. Biotechnol. 2016, 15, 2394–2401. [Google Scholar] [CrossRef]
- Alkan, S.; Uysal, A.; Kasik, G.; Vlaisavljevic, S.; Berežni, S.; Zengin, G. Chemical Characterization, Antioxidant, Enzyme Inhibition and Antimutagenic Properties of Eight Mushroom Species: A Comparative Study. J. Fungi 2020, 6, 166. [Google Scholar] [CrossRef]
- Ren, J.; Danchana, K.; Sasaki, K.; Kaneta, T. Fluorometric Assay of Laccase in Mushroom Extracts and Comparisons with Absorption Spectrophotometry. J. Food Compos. Anal. 2023, 123, 105627. [Google Scholar] [CrossRef]
- Jia, F.; Liu, X.; Gong, Z.; Cui, W.; Wang, Y.; Wang, W. Extraction, Modification, and Property Characterization of Dietary Fiber from Agrocybe cylindracea. Food Sci. Nutr. 2020, 8, 6131–6143. [Google Scholar] [CrossRef]
- Sebran, N.H.; Gaik, L.P.; Hussain, A.S. Structural Analysis on the Effect of Base-Catalysed Delignification Process Parameters on Palm Oil Empty Fruit Bunches Fibres Using Glycome Profiling. IOP Conf. Ser. Mater. Sci. Eng. 2018, 458, 012070. [Google Scholar] [CrossRef]
- Badu, M.; Twumasi, S.K.; Boadi, N.O. Effects of Lignocellulosic in Wood Used as Substrate on the Quality and Yield of Mushrooms. Food Nutr. Sci. 2011, 2, 780–784. [Google Scholar] [CrossRef]
- Luong, J.; Yang, X.; Hua, Y.; Yang, P.; Gras, R. Gas Chromatography with In Situ Catalytic Hydrogenolysis and Flame Ionization Detection for the Direct Measurement of Formaldehyde and Acetaldehyde in Challenging Matrices. Anal. Chem. 2018, 90, 13855–13859. [Google Scholar] [CrossRef] [PubMed]
- Sun, T.; Bian, J.; Wang, Y.; Hu, J.; Yun, X.; Chen, E.; Dong, T. One-Step Synthesis of Poly(L-Lactic Acid)-Based Soft Films with Gas Permselectivity for White Mushrooms (Agaricus bisporus) Preservation. Foods 2023, 12, 586. [Google Scholar] [CrossRef]
- Dimopoulou, M.; Kolonas, A.; Mourtakos, S.; Androutsos, O.; Gortzi, O. Nutritional Composition and Biological Properties of Sixteen Edible Mushroom Species. Appl. Sci. 2022, 12, 8074. [Google Scholar] [CrossRef]
- Koutrotsios, G.; Danezis, G.; Georgiou, C.; Zervakis, G. Elemental Content in Pleurotus Ostreatus and Cyclocybe Cylindracea Mushrooms: Correlations with Concentrations in Cultivation Substrates and Effects on the Production Process. Molecules 2020, 25, 2179. [Google Scholar] [CrossRef] [PubMed]
- GB/T 5009.10-2003; Determination of Crude Fiber in Vegetable Foods. National Standard of the People’s Republic of China: Beijing, China, 2003.
- GB/T12532-2008; Determination of Total Ash Content in Edible Mushroom. National Standard of the People’s Republic of China: Beijing, China, 2008.
- Tsiaka, T.; Sinanoglou, V.J.; Zoumpoulakis, P. Extracting Bioactive Compounds From Natural Sources Using Green High-Energy Approaches: Trends and Opportunities in Lab- and Large-Scale Applications. In Ingredients Extraction by Physicochemical Methods in Food; Elsevier: Amsterdam, The Netherlands, 2017; pp. 307–365. ISBN 978-0-12-811521-3. [Google Scholar]
- Muswati, C.; Simango, K.; Tapfumaneyi, L.; Mutetwa, M.; Ngezimana, W. The Effects of Different Substrate Combinations on Growth and Yield of Oyster Mushroom (Pleurotus ostreatus). Int. J. Agron. 2021, 2021, 9962285. [Google Scholar] [CrossRef]
- Adams, A.; Seecharran, D.; Ansari, A. Growth of Oyster Mushroom Using Sawdust and Agriculture Waste as Substrates. Mushroom Res. 2022, 31, 73–80. [Google Scholar] [CrossRef]
- Ahmed, R.; Niloy, M.A.H.M.; Islam, M.S.; Reza, M.S.; Yesmin, S.; Rasul, S.B.; Khandakar, J. Optimizing Tea Waste as a Sustainable Substrate for Oyster Mushroom (Pleurotus ostreatus) Cultivation: A Comprehensive Study on Biological Efficiency and Nutritional Aspect. Front. Sustain. Food Syst. 2024, 7, 1308053. [Google Scholar] [CrossRef]
- Schritt, H.; Vidi, S.; Pleissner, D. Spent Mushroom Substrate and Sawdust to Produce Mycelium-Based Thermal Insulation Composites. J. Clean. Prod. 2021, 313, 127910. [Google Scholar] [CrossRef]
- Liu, D.; Chen, Y.-Q.; Xiao, X.-W.; Zhong, R.-T.; Yang, C.-F.; Liu, B.; Zhao, C. Nutrient Properties and Nuclear Magnetic Resonance-Based Metabonomic Analysis of Macrofungi. Foods 2019, 8, 397. [Google Scholar] [CrossRef] [PubMed]
- Abdelkader, M.-A.E.; Mediatrice, H.; Lin, D.; Lin, Z.; Aggag, S.A. Mitigating Oxidative Stress and Promoting Cellular Longevity with Mushroom Extracts. Foods 2024, 13, 4028. [Google Scholar] [CrossRef] [PubMed]
- Holt, R.R.; Munafo, J.P.; Salmen, J.; Keen, C.L.; Mistry, B.S.; Whiteley, J.M.; Schmitz, H.H. Mycelium: A Nutrient-Dense Food To Help Address World Hunger, Promote Health, and Support a Regenerative Food System. J. Agric. Food Chem. 2024, 72, 2697–2707. [Google Scholar] [CrossRef] [PubMed]
- Li, S.; Li, D.; Li, J.; Li, Y.; Li, G.; Zang, B.; Li, Y. Effect of Spent Mushroom Substrate as a Bulking Agent on Gaseous Emissions and Compost Quality during Pig Manure Composting. Environ. Sci. Pollut. Res. 2018, 25, 12398–12406. [Google Scholar] [CrossRef] [PubMed]
- Meilleur, M.-A.; Bastien, D.; Monfet, D. Modeling Mushrooms’ Carbon Dioxide Emission and Heat Exchange Rates for Synergistic Cultivation with Leafy Greens. Sustainability 2023, 15, 16740. [Google Scholar] [CrossRef]
- Fallah, N.; Pang, Z.; Lin, Z.; Lin, W.; Mbuya, S.N.; Abubakar, A.Y.; Fabrice, K.M.A.; Zhang, H. Plant Growth and Stress-Regulating Metabolite Response to Biochar Utilization Boost Crop Traits and Soil Health. Front. Plant Sci. 2023, 14, 1271490. [Google Scholar] [CrossRef] [PubMed]
- Mkhize, S.S.; Cedric Simelane, M.B.; Mongalo, I.N.; Pooe, O.J. The Effect of Supplementing Mushroom Growing Substrates on the Bioactive Compounds, Antimicrobial Activity, and Antioxidant Activity of Pleurotus Ostreatus. Biochem. Res. Int. 2022, 2022, 9436614. [Google Scholar] [CrossRef] [PubMed]
- Niyimbabazi, O.; Nsanzinshuti, A.; Hatungimana, M.; Lin, H.; Zhang, L.; Lin, D.; Zhanxi, L. Ability of Three Pleurotus Species for Effective Use of Giant Grass Compost. J. Hortic. Res. 2022, 30, 67–76. [Google Scholar] [CrossRef]
- Li, J.; Lei, Y.; Wen, Y.; Zhu, J.; Di, X.; Zeng, Y.; Han, X.; Que, Z.; Mediatrice, H.; Rensing, C.; et al. Short-Term Effects of Cenchrus Fungigraminus/Potato or Broad Bean Interplanting on Rhizosphere Soil Fertility, Microbial Diversity, and Greenhouse Gas Sequestration in Southeast China. Microorganisms 2024, 12, 1665. [Google Scholar] [CrossRef]
- Buba, F.; Sadiq Said, A.; Hassan, A.; Ali Abdulrahman, A.; Musa, H.; Bello, H.; Adamu Milala, M. Cultivation and Determination of Protein, Elements and Vitamin Content of Oyster Mushroom. Arid-Zone J. Bas. Appl. Res. 2022, 1, 70–78. [Google Scholar] [CrossRef]
- Nieto, I.J.; Chegwin, A.C. The Effect Of Different Substrates on Triterpenoids And Fatty Acids In Fungi Of The Genus Pleurotus. J. Chil. Chem. Soc. 2013, 58, 1580–1583. [Google Scholar] [CrossRef]








| No. | Giant Grass + Dicranopteris dichotoma (GJ + DD) | Wasted Tea Leaf + Sawdust (WTL + SD) | Cotton Seed Husks (CSH) | Wheat Bran | Lime |
|---|---|---|---|---|---|
| 1 | 48 + 30 | 20 | 2 | ||
| 2 | 48 + 30 | 20 | 2 | ||
| 3 | 78 | 20 | 2 |
Disclaimer/Publisher’s Note: The statements, opinions and data contained in all publications are solely those of the individual author(s) and contributor(s) and not of MDPI and/or the editor(s). MDPI and/or the editor(s) disclaim responsibility for any injury to people or property resulting from any ideas, methods, instructions or products referred to in the content. |
© 2025 by the authors. Licensee MDPI, Basel, Switzerland. This article is an open access article distributed under the terms and conditions of the Creative Commons Attribution (CC BY) license (https://creativecommons.org/licenses/by/4.0/).
Share and Cite
Mediatrice, H.; Aimable, N.; Claude, I.; Fallah, N.; Abdelkader, M.-A.E.; Biregeya, J.; Hu, Y.; Zhang, L.; Zhou, H.; Li, J.; et al. The Influence of the Divergent Substrate on Physicochemical Properties and Metabolite Profiling of Agrocybe cylindracea Cultivation. J. Fungi 2025, 11, 132. https://doi.org/10.3390/jof11020132
Mediatrice H, Aimable N, Claude I, Fallah N, Abdelkader M-AE, Biregeya J, Hu Y, Zhang L, Zhou H, Li J, et al. The Influence of the Divergent Substrate on Physicochemical Properties and Metabolite Profiling of Agrocybe cylindracea Cultivation. Journal of Fungi. 2025; 11(2):132. https://doi.org/10.3390/jof11020132
Chicago/Turabian StyleMediatrice, Hatungimana, Nsanzinshuti Aimable, Irambona Claude, Nyummah Fallah, Menna-Allah E. Abdelkader, Jules Biregeya, Yingping Hu, Lili Zhang, Hengyou Zhou, Jing Li, and et al. 2025. "The Influence of the Divergent Substrate on Physicochemical Properties and Metabolite Profiling of Agrocybe cylindracea Cultivation" Journal of Fungi 11, no. 2: 132. https://doi.org/10.3390/jof11020132
APA StyleMediatrice, H., Aimable, N., Claude, I., Fallah, N., Abdelkader, M.-A. E., Biregeya, J., Hu, Y., Zhang, L., Zhou, H., Li, J., Liu, P., Lin, Z., & Lin, D. (2025). The Influence of the Divergent Substrate on Physicochemical Properties and Metabolite Profiling of Agrocybe cylindracea Cultivation. Journal of Fungi, 11(2), 132. https://doi.org/10.3390/jof11020132

