Next Article in Journal
Stable Isotope Analysis of Alcoholic Beverages: A Review
Next Article in Special Issue
Characterization of Volatile Compounds in Traditional Mexican Cocoa-Based Beverages and Their Application in Flavored Milks
Previous Article in Journal
Aromatic Profiles and Vineyard Location: Uncovering Malvasija Dubrovačka Wines
 
 
Font Type:
Arial Georgia Verdana
Font Size:
Aa Aa Aa
Line Spacing:
Column Width:
Background:
Article

Design and Production of an Instant Coffee Product Based on Greek Coffee Oil: Study of the Effect of Storage Conditions on Product Aroma and Quality

by
Efimia Dermesonlouoglou
*,
Vassiliki Palaioxari-Kampisiouli
,
Dimitrios Tsimogiannis
* and
Petros Taoukis
Laboratory of Food Chemistry and Technology, School of Chemical Engineering, National Technical University of Athens, Zografou Campus, 9 Iroon Polytechneiou Street, 15772 Athens, Greece
*
Authors to whom correspondence should be addressed.
Beverages 2025, 11(3), 88; https://doi.org/10.3390/beverages11030088
Submission received: 26 February 2025 / Revised: 5 May 2025 / Accepted: 30 May 2025 / Published: 9 June 2025
(This article belongs to the Special Issue New Insights into Artisanal and Traditional Beverages)

Abstract

The objective of this study was to obtain and evaluate a coffee aroma extract/oil with sensorial attributes close to the original brew of Greek coffee for use in an instant Greek coffee powder. The oil was obtained directly from commercial Greek coffee by solid-liquid extraction using hexane as a solvent and treated with a series of hexane-ethanol mixtures (0:10, 1:4, 1:9) to remove the intense roasted flavor of the crude coffee oil obtained by hexane; the de-oiled coffee was used for the recovery of water-soluble compounds, and the produced water extract was freeze-dried. The aromatic volatiles of the coffee oil samples were analyzed by using a purge-and-trap device coupled to GC-MS, as well as sensory analysis. The instant Greek coffee powder was produced by mixing the freeze-dried base (74.4%) with the extract derived after treatment of the crude oil with hexane-ethanol mixture 1:4 (18.2%) and foaming agent (7.4%). Two different materials were studied as bases: instant coffee (F3Gr-D) and ground Greek coffee (reference sample, CGr). The shelf-life stability of the produced powders was examined at three storage temperatures (25, 45, 60 °C). Instrumental analysis (purge-and-trap GC-MS) of aroma and sensory analysis (aroma, taste, staling, total sensory quality on a 1–9 hedonic scale) was conducted. Aroma loss (furfuryl alcohol, furfural, dimethyl pyrazines, ethyl methyl pyrazines) and scores for sensory attributes during storage were modeled using 1st and 0-order reaction kinetics, respectively. The storage temperature effect was expressed by the Arrhenius model (activation energy Ea). According to the results, the developed instant coffee powder presented satisfactorily the aroma characteristics of regular Greek coffee. The shelf life for the instant Greek coffee powder was estimated as 80 days (air packed) (based on 20% retention of furfuryl alcohol that was the most abundant aromatic volatile of Greek coffee aroma, ground as well as extract oil).

Graphical Abstract

1. Introduction

Coffee is one of the most popular beverages worldwide, with a major economic and social factor [1]. World coffee production for 2020/2021 was estimated to be 7.0 million bags (60 kg) higher than the previous year, reaching 175.5 million bags. There are two classes of coffee commercially: Coffea robusta (accounting for 25% of global production) and Coffea arabica (accounting for 75% of global production) [2]. While it comes in many different formulations and preparation modes, the commercially significant coffee product categories are roasted coffee (whole beans and ground), soluble coffee, single serve (pods and capsules), and liquid coffee (concentrates and ready-to-drink) (ICO, 2020, CECAFE, 2019) [3,4]. Among these, coffee brews prepared from roasted and ground coffee (either bulk or single-serve) are one of the most appreciated due to their aroma characteristics [5,6]. The Greek style of coffee known as “Greek coffee” is a mixture of Coffea Arabica and Coffea Robusta beans that are roasted and ground to powder. It is the most popular coffee beverage in Greece and is prepared by mixing the ground coffee and water in a special pot, heating, and directly pouring the heterogeneous mixture into a small cup. The final beverage includes the foam (on the top), the liquid part, and the spent coffee ground (sediment at the bottom, which is not being consumed). Similar coffee beverage is prepared, served and consumed in Turkey (known as “Turkish coffee”), and it is also found in the Middle East, North Africa, the Caucasus, the Balkans and various locations within Eastern Europe [7,8,9]. Research studies show that the consumption of this type of coffee beverage on a regular basis (more specifically, two to four cups of Turkish coffee per day) is related to many health benefits [8,10,11]. It is also reported that the consumption of boiled Greek coffee beverages is associated with improved endothelial function in the elderly [12].
Arabica and Robusta green beans have different chemical compositions (i.e., caffeine, chlorogenic acids, lipids, oligosaccharides, and polysaccharides) and, consequently, varying flavor profiles when roasted [13]. For example, green and roasted Robusta coffee beans have a higher chlorogenic acid content than corresponding Arabica beans. Chlorogenic acids contribute to the bitter taste, acidity, and astringent flavor of the coffee when it is brewed. Additionally, they act as precursors to the formation of phenols and catechols. The process and degree of coffee roasting (defined as light, medium, medium dark, and dark) not only is one of the most important determinants of the flavor, aroma, and volatile organic compounds (VOCs) profile in coffee but also may have a significant impact on the content of bioactive compounds [14]. Roasting profiles are described by many terms, depending on the region of coffee origin, consumer preferences, and the specific experience of the coffee roaster [15]. Beverages made from roasted Coffea Arabica beans are characterized by high acidity (due to higher sucrose content) and fruity aroma characterized by mild and harmonious flavor, whereas coffee brewed from Coffea Robusta beans is stronger and bitter and contains more caffeine characterized by earthy and raw flavor [16].
Coffee exhibits a complex, volatile profile that defines its characteristic aroma. The composition of volatiles is influenced by the coffee bean variety, climatic and soil conditions, cultivation, harvest and post-harvest storage, roasting conditions, and brewing techniques. It evolves during roasting and depends on the conditions of this process [14,17,18]. Reactions of decomposition of non-volatile compounds contained in raw coffee, i.e., pyrolysis, caramelization, and Maillard reactions, yield the final aroma [19]. Over 1000 volatile compounds have been identified in coffee, but only a fraction of them play a significant role in the aroma quality of the product [20]. Two major categories of aroma compounds could be distinguished, i.e., furans and pyrazines. Among the furan derivatives, furfuryl alcohol (2-furanmethanol) plays a pivotal role. Furfuryl alcohol imparts sweet, caramel and oily-like notes to the coffee’s aroma; however, the same compound has been correlated with undesirable burnt and bitter notes of dark-roasted coffees. Furfural is produced during the roasting of coffee and contributes to sweet, bread-like, and caramel flavors. However, as coffee ages, furfural increases since it is derived from the oxidation of furfuryl alcohol. Increased levels of the compound lead to undesirable staling notes, diminishing the beverage’s freshness [21]. Pyrazines, the second significant class of volatile compounds, contribute to its roasted and nutty characteristics. Compounds such as 2,6-dimethylpyrazine, 2-ethyl-3-methylpyrazine, and 2-ethyl-3,5-dimethylpyrazine are formed during the Maillard reaction and Strecker degradation of amino acids and sugars during roasting. Pyrazines impart roasted, nutty, and earthy aromas [5].
The detection and analysis of coffee aroma compounds relies on a range of advanced analytical methods, often employed in combination for improved sensitivity and resolution. Gas chromatography-mass spectrometry (GC-MS) is particularly well suited to address the complexity of coffee aroma for identifying VOCs in coffee due to its high separation efficiency and mass-based identification [22]. In recent years, solid-phase microextraction (SPME) coupled with GC-MS has become a widely used, solvent-free method for extracting headspace volatiles from coffee samples. Other complementary techniques include gas chromatography-olfactometry (GC-O) [23]. Τhose methods, often integrated with chemometric tools, provide a robust framework for profiling aroma compounds across coffee varieties, roast levels, and processing techniques. In addition to solid-phase microextraction (SPME), purge-and-trap (P&T) systems have been employed for the extraction of volatile compounds from coffee. In P&T application, an inert gas, especially nitrogen (N2), is purged to the sample at a specific flow rate to extract VOCs, which are collected into an adsorbent trap. The trapped compounds are then desorbed using a thermal desorption unit. Different from other techniques, it results in a wider aroma profile, also allowing the extraction of hydrophilic and low vapor pressure volatile compounds even at ultra-trace levels [24].
From the perspective of convenience (easy to transport, store, and prepare), instant coffee products, such as soluble coffee and instant cappuccino, represent a good choice. However, instant coffee products face the drawback that reconstituted coffee beverages lack significant flavor and freshness characteristics due to aroma losses and degradations occurring during production [5,6]. To improve the aromatic quality of instant coffee products, a range of aroma recovery and reconstitution technologies and strategies have been developed [6,25]. An example is the incorporation of aromatic oil into either the liquid coffee concentrates before drying or directly spraying onto the dried soluble coffee [26]. Alternatively, the oil can be encapsulated and mixed as microparticles into the dried instant powder [27]. Nevertheless, roasted coffee oil contains unsaturated fatty acids, which make it susceptible to oxidative degradation. In addition, many of these aroma compounds present high volatility, being easily lost during storage [28,29].
Coffee extracts (coffee oil) are considered high-value products for beverage and alcoholic beverages, bakery, and even instant coffee industries [28,30,31]. Acylglycerols are the major components of coffee oil (80%), followed by unsaponifiable compounds such as diterpenes, sterols, and tocopherols (from 15% to 18%); free fatty acids (0.5 to 4.2%); waxes (1.5 to 2.5%) and hundreds of volatile compounds [27,31] responsible for the pleasant aroma of roasted coffee, such as pyrazines, furans, etc. formed during the roasting process [30,32,33,34]. Its composition depends, among other variables, on the species and cultivar, climate conditions and soil, post-harvest processing, the occurrence of coffee defects and the coffee extraction method [35].
Researchers attempted to isolate roasted coffee aromatic oil with an aroma as similar as possible to that of the original brewed coffee [34,36,37]. Common methods for extracting the oil from coffee beans include Soxhlet extraction with hexane over several hours. However, this procedure has an important drawback: long extraction time, consuming large amounts of solvent and requiring additional concentration steps [38]. Some research has been published on the supercritical extraction of oil from coffee beans as a source of aroma, leading to the most satisfying results [39]. Hydro distillation and steam distillation have been traditionally used for the extraction of essential oils (e.g., aromatic herbs). However, since coffee oil volatiles are the products of thermal processing (roasting), the respective compounds do not possess terpenoid structures and cannot be characterized as essential oils. Processes such as hydrodistillation and steam distillation can induce thermal degradation, hydrolysis and water solubilization of some volatile constituents [40]. No data has been published for oil extraction from ground coffee, and especially boiled coffee, such as Turkish-style, Greek-stylish, and Scandinavian-style coffee.
Instant coffee is the dried, water-soluble portion of roasted coffee. The manufacturing processes of instant coffee powder start with the roasting of green coffee beans, followed by a grinding process. The ground coffee beans produced are then extracted to get their aroma and flavor compounds, and then the extract is dried [3,14,16]. Freeze-drying and spray-drying are the most frequently used methods to produce instant coffee powder. The coffee drying method has also proved to have a significant effect on the aroma and flavor characteristics of instant coffee [41]. Micro and nanoencapsulation for the retention and controlled release of flavor and aroma compounds has been considered [42]. Considering that the roasted coffee oil obtained by extraction has aromatic properties and that the sensory and instrumental analysis is an important tool in the analysis of coffee aroma, the current work aimed to measure the influence of the addition of a mixture of the coffee oil to beverages prepared using samples of freeze-dried instant coffee. Sensory analysis was used to identify if this mixture could enhance the characteristic coffee aroma and flavor of instant Greek coffee beverages and consequently increase consumer preference for beverages prepared with instant coffee. Instrumental analysis was used to identify the volatile compounds of the aromatic profile of Greek coffee and their concentrations.
The present work included (1) the isolation and evaluation of coffee oil through the extraction method, (2) adding this to water-soluble bases in order to create an instant Greek coffee beverage, and (3) the study of the product quality and shelf-life stability through sensory testing and instrumental analysis.

2. Materials and Methods

2.1. Experimental Design

2.1.1. Raw Material

Ground roasted Greek coffee (a blend of Arabica and Robusta coffee varieties, light roasted, fine-grained powder) was purchased from a local supermarket with an expiration date of one year.

2.1.2. Coffee Oil Extraction and Treatments

Aroma extracts were prepared using solid-liquid extraction. A total of 200 g of ground coffee was mixed with 1000 mL of hexane (Sigma Aldrich Chemical Co., St. Louis, MO, USA). The mixture was stirred for 10 min at room temperature, allowed to stand for 45 min, and then filtered. The procedure was repeated 2 more times, and the hexane extracts were combined. The removal of the organic solvent was performed using a rotary vacuum evaporator (Heidolph, Hei-VAP Value Digital, Schwabach, Germany) at 50 °C. The obtained oil extract was dried with N2 gas. The crude coffee oil was further treated to refine the initially aggressive “roasted” flavor of the extract. Three solvent systems were selected, namely ethanol 96° (BGS Alcohols S.A., Patra, Greece) (100% ethanol), ethanol-hexane mixture 1:4 (20% ethanol) and ethanol-hexane 1:9 (10% ethanol). A total of 10 g of oil extract was mixed with 20 mL of the respective solvent in a separating funnel. The mixture was agitated and allowed to stand for 1 h so that the refined oil would precipitate. The lower phase of oil was collected and subjected once again to the same procedure. Subsequently, the excess solvent was removed from the oil phase using a rotary vacuum evaporator, and the refined coffee oil was purged with N2 gas to remove the traces of organic solvent. The oil was weighed and refrigerated prior to analysis.

2.1.3. Extraction of Coffee Water-Soluble Compounds

To obtain the water-soluble bases, two materials were used for water extraction: untreated Greek coffee powder (Gr) and coffee powder, which had already been de-oiled (Gr-D). In each case, 10 g of coffee was mixed with 70 mL of drinking water. The mixture was heated to the boiling point of water, cooled to room temperature, and filtered. The coffee residue was extracted as above for a second time. The two water extracts were combined, and the brew was then freeze-dried. The brew was initially frozen at −40 °C and then transferred to a Christ Alpha 1–4 LD Plus freeze-drier (Martin Christ GmbH, Osterode, Germany), where the vacuum pump reduced the pressure to 0.03 mbar. The temperature was lowered to −50 °C, the sublimation of solid water to gas commenced, and the cycle lasted 48 h. After the freeze-drying cycle, the moisture content was determined via the gravimetric method, and the two dried materials were ground to powders.

2.1.4. Formulation of Instant Greek Coffee Samples

The two powders produced by freeze-drying were used as base materials for the formulation of instant Greek coffee powders. The latter included one control sample and four samples with enhanced flavor. The Control sample of instant Greek coffee (CGr) contained the water-soluble powder obtained by water extraction of untreated Greek coffee (93%) and foaming agent (7%), while the instant Greek coffee samples with enhanced flavor (FiGr-D, i = 1–4) were composed by the water-soluble powder obtained by water extraction of de-oiled Greek coffee (75%), coffee oil (crude or refined) (18%), and foaming agent (7%). According to the kind of coffee oil used, the samples of enhanced flavor were coded as F1Gr-D, F2Gr-D, F3Gr-D, and F4Gr-D [where 1: crude coffee oil; 2–4: treated coffee oil with 100% ethanol (2), ethanol-hexane 1:4 (3), ethanol-hexane 1:9 (4)]. Foaming powder was added to the bases, an additive generally found in hot instant drinks as it forms a layer of creamy foam and improves the texture of the drink (Aerion™ FOAM 110, DMW International by, Veghel, The Netherlands, ingredients: glucose syrup, milk solids, vegetable fat, stabilizers).

2.1.5. Storage of the Optimum Instant Greek Coffee

The Control instant Greek coffee (CGr) as well as the optimum instant Greek coffee with enhanced flavor (F3Gr-D) were packaged in polyethylene-polypropylene bags (PE-PP) and stored at three different temperatures T, 25, 45, 60 °C. Sampling was carried out to monitor the product’s shelf life (Table 1) [29]. Instrumental analysis (Purge-and-trap GC-MS) of aroma and sensory analysis (aroma, taste, staling, total sensory quality) was conducted (The experimental set-up was provided in Supplementary Files; Supplementary Figure S1).

2.2. Analytical Tools

2.2.1. Purge-And-Trap-Gas Chromatography-Mass Spectrometry Analysis

The profile of volatile compounds was obtained directly from ground coffee samples using purge-and-trap (P&T) (OI Analytical, Eclipse 4660, College Station, TX, USA)-gas chromatography (Agilent Technologies 7890A GC, Santa Clara, CA, USA) with HP-5 capillary column (30 × 0.25 mm i.d., coating thickness 0.25 μm)-mass spectrometry (Agilent Technologies 5975 C MSD, Santa Clara, CA, USA) [30]. The ground coffee samples were analyzed in the purge-and-trap concentrator under working conditions (based on the methodology described by Makri et al., 2011) [21]: gas flow 40 mL/min, purge time 20 min, purge temperature 80 °C, system pressure 22.8 psi, trap temperature (purge) 30 °C, trap temperature (desorption) 190 °C, desorption time 1,5 min, 6-port valve temperature 155 °C, transfer line temperature 150 °C, bake temperature 210 °C, water management temperature 130 °C, and septum purge flow 3 mL/min. Analyses in the GC-MS were performed afterward: injector temperature 180 °C, carrier gas nitrogen, flow rate 1 mL/min, split ratio 10:1, oven temperature programmed from 50 °C (0.5 min at constant temperature) to 70 °C at 5 °C/min and then to 160 °C at 10 °C/min, and post-run temperature 240 °C (5 min). Each sample was analyzed in triplicate. The responses of the compounds were quantified according to the total ion count (TIC) recorded for each peak of the chromatograms.

2.2.2. Mathematical Modelling

The most abundant volatile compound in studied Greek coffee samples (oil/freeze-dried base) was furfuryl alcohol [30]. The responses for the selected volatile compounds, furfuryl alcohol, furfural, and groups of compounds, dimethyl pyrazines (2,5-dimethyl pyrazine, 2,3-dimethyl pyrazine), and ethyl methyl pyrazines (2-ethyl, 6-methyl pyrazine, 2-ethyl, 5 methyl pyrazine, 2-ethyl, 3-methyl pyrazine) were calculated in relation to the furfuryl alcohol response according to Equation (1).
T I C = T I C T I C f u r f u r y l   a l c o h o l · 100 %
where TIC is the response of the selected volatile compound, and TICfurfuryl alcohol is the response of furfuryl alcohol.
The dependence of the aroma loss on storage temperature is described by the following first-order equation (Equation (2)):
T I C f u r f u r y l   a l c o h o l ( % ) = e x p ( k v o l · t )
where TICfurfuryl alcohol (%) is the response of the furfuryl alcohol expressed as a percentage to the initial TICfurfuryl alcohol response at t = 0 d, kvol the rate of aroma loss and the storage time expressed in days.
The dependence of the model parameter (kvol) on storage temperature was mathematically modeled using the Arrhenius equation (Equation (3)):
k v o l / s e n s = k v o l s e n s , T r e f exp E a R 1 T 1 T r e f
where Ea is the activation energy of the parameter k, kTref is the deterioration rate at the reference temperature Tref, and R is the universal gas constant.
The shelf life of each studied product, determined by aroma loss as a function of storage temperature, can be calculated as follows (Equation (4)):
S L v o l = ln T I C f u r f u r y l   a l c o h o l ,   0 T I C f u r f u r y l   a l c o h o l ,   L k v o l exp E a s R 1 T 1 T r e f
where S L v o l the shelf life based on product aroma (in this case, furfuryl alcohol was selected as the aroma loss index), T I C f u r f u r y l   a l c o h o l , 0 and T I C f u r f u r y l   a l c o h o l , L the response was expressed as a % percentage during sensory evaluation at storage time t0 (day 0) and at the end of storage (in this study, the limit was 20% retention of the initial).

2.2.3. Sensory Evaluation

Trained panelists of the NTUA sensory laboratory were chosen for the assessment of the sensory attributes of coffee beverage samples (ISO 8586-1,1993) [43]. Assessors (10 members of the sensory panel; female 6 and male 4; ages 22–44) were requested to verify the impact of the added oil on the instant coffee beverage (each sample triple, giving a total of 30 assessments per product). They evaluated the coffee aroma quality, the overall taste, and the overall/total sensory quality) using a hedonic/liking scale from 1 to 9 as well as the staling intensity using a scale from 1 to 9 [44,45].
For the sensory evaluation testing, hot distilled water was added to the soluble coffee together at the time of serving, and each panelist tasted the beverage. The coffee beverages were prepared fresh in a thermostatically controlled flask, and the temperature was kept constant until the sensory evaluation, but the time between the sample preparation and sensory testing was very short, less than 15 min, to minimize aroma loss. The panelists rinsed their mouths with water and waited for 2 min between samples. They were asked to taste the brew and to decide on what they liked compared to the traditional one. The instant drinks were prepared as follows: 70 mL of hot water was added to 2.2 g of instant product powders (F3Gr-D) and stirred with a hand mixer. The reference sample (CGr) was prepared by adding 70 mL of water to 5.25 g of the sample into the kettle and boiling [46].
Shelf-Life Calculation Based on Sensory Quality
The dependence of the total sensory quality on storage temperature is described by the following zero-order equation (Equation (5)):
S t = S 0 ± k s t
where S is the sensory score for staling, aroma, taste and/or total sensory quality at time t, S0 is the respective sensory score at time zero, and ks is the rate of score deterioration. The sign of ks denotes the direction in which the deterioration occurs: if the score of an attribute increases with storage time, the sign is positive, whereas when the score decreases with time, the sign is negative.
The dependence of the model parameter (ks) on storage temperature was mathematically modeled using the Arrhenius equation (Equation (3)), and the shelf life of each studied product, determined by the aroma loss, as a function of storage temperature, can be calculated as follows (Equation (6)):
S L s = S 0 S L k s T r e f exp E a s R 1 T 1 T r e f
where S L s the shelf life based on product sensory evaluation, S and S0 the scores for total sensory quality during sensory evaluation at storage time t (days) and t0 (day 0), SL the limit for total sensory quality (set as 5/9), and ksTref is the deterioration rate based on sensory evaluation (days−1).

2.2.4. Other Measurements

The color of the developed instant Greek coffee powders, at time zero and during storage, was measured in at least five replicates using an Xrite-i1 portable digital colorimeter (Gretag-Macbeth, Grand Rapids, MI, USA) and expressed in the CIE-Lab scale, where L-value: lightness; a-value: redness and greenness; and b-value: yellowness and blueness (CIE 1978) [35]. Color change during storage was expressed using the total color difference ΔΕ [36], given by the following equation (Equation (7)):
Δ E = a a 0 2 + b b 0 2 + L L 0 2
where L, a, and b are the measured CIELab color parameters and L0, a0, and b0 are the measured color parameters at storage time zero.
Water activity (aw) of the instant Greek coffee powders was measured using a water activity meter (Rotronic AM3 Hygrometer, Bassersdorf, Switzerland) as 0.3530 (Cgr) and 0.3240 (F3Gr-D) (at storage time zero). The water activity of Greek coffee was also measured as 0.2614.

2.3. Data and Statistical Analysis

Results were expressed as means ± standard deviation of three experimental replicates. For the estimation of the main interaction effects of the investigated factors, factorial analysis of variance (Factorial ANOVA) was used. As a post-hoc analysis for the separation of means with significant differences (p < 0.05), Duncan’s multiple range test was used. For all statistical analyses, the Statistica 7 software (StatSoft, Hamburg, Germany) package was used. For all the mathematical regressions, the IBM SPSS Statistics Version 19 software package (IBM Corporation, Armonk, NY, USA) was used, and R2 and standard errors of model parameters were calculated.

3. Results and Discussion

3.1. Analysis of Greek Coffee Oil Aroma

The volatile compounds determine the characteristic aroma of ground coffee. In ground Greek coffee, according to P&T GC/MS analysis results, over thirty volatile compounds have been detected, composing a very complex chromatographic profile. However, 15 compounds appear as the major volatiles and could be defined as the most important volatile compounds of Greek coffee aroma, while the rest present very low abundance or trace quantities. The major volatiles, as well as retention times and indices (determined according to the results of previous publications), aroma descriptors and odor detection thresholds are presented in Table 2 [47]. In all cases, the NIST matching factors ranged between 80 and 92%. The compounds can be classified into two categories, pyrazines and furans, while two aliphatic aldehydes were also detected, namely nonanal and decanal.
The pyrazines include three groups of derivatives, according to their alkylation pattern: the dimethyl pyrazines (2,3-dimethyl pyrazine, 2,5-dimethyl pyrazine), the ethyl-methyl pyrazines (2-ethyl-3-methylpyrazine, 2-ethyl-5-methylpyrazine, 2-ethyl-6-methylpyrazine), and the ethyl-dimethyl pyrazines (3-ethyl-2,5-dimethylpyrazine, 2-ethyl-3,5-dimethylpyrazine). Diethyl-methyl-pyrazines were also detected, but their responses were significantly lower than the rest of the groups of pyrazines, so they were considered as traces. Among the furans, furfuryl alcohol is the major, followed by 5-methyl-furfural, furfural, and furfuryl acetate. Furfuryl alcohol forms in substantial amounts during coffee roasting and corresponds to the most abundant volatile compound in Greek coffee [21,50]. Furfural, which is the oxidative product of furfuryl alcohol, has been used as a Greek coffee staling index [21].
The volatile profile of Greek ground coffee, as monitored by P&T-GC-MS, is presented in Figure 1. It can be observed that the dimethyl pyrazines, as well as the ethyl-methyl pyrazines, are co-eluting, making their quantification difficult according to their individual TIC values. For this reason, the total areas of the peaks were summed, and the respective TIC values correspond to the responses of total dimethyl pyrazines and total ethyl-methyl pyrazines. The use of the P&T equipment is intended to simulate the ideal aroma profile of Greek coffee as perceived by smelling the headspace of a recently opened sachet of the product. The aroma of the beverage differs from the sachet headspace aroma, which is reasonable since the different physicochemical properties of the compounds result in different extractability of the individual components. This generally applies to all kinds of ground coffees and the preparation of the respective beverages. Nevertheless, the aroma of the headspace could be theorized as the ideal and most desirable flavor for the respective beverage. For this reason, P&T was chosen as the equipment that could recover a profile of volatiles from ground Greek coffee that approaches the aroma of the headspace that the consumer smells.
As mentioned, furfuryl alcohol was the most abundant volatile, and this compound was chosen as a marker for determining the relative composition of the aroma components. The ratio between the MS responses of the components to the respective furfuryl alcohol (Response Rate, Equation (1)) provides an estimation of their relative concentration to furfuryl alcohol. The Response Rates of individual compounds and groups of compounds (furfural, total dimethyl pyrazines, 5-methyl- furfural, furfuryl acetate, total ethyl-methyl pyrazines and total ethyl-dimethyl pyrazines) of ground coffee sample, crude coffee oil (F1) and coffee oil samples after treatments with ethanol (Coffee oil F2), hexane-ethanol 1:4 (Coffee oil F3), hexane-ethanol 1:9 (Coffee oil F4) are presented in Table 3.
The aromatic profile of the coffee oil sample presents some differences compared to the aromatic profile of the ground coffee sample. The relative total dimethyl pyrazine content of crude coffee oil F1 and coffee oil F2, F3, and F4 samples were lower than the respective of the ground coffee sample (p < 0.05). The relative 5-methyl-furfural content of crude coffee oil and coffee oil samples F2, F3, and F4 were higher than the respective of the ground coffee sample (p < 0.05). The relative furfuryl acetate content of all samples was not statistically significantly different (p > 0.05). The relative total ethyl-dimethyl pyrazines, as well as the total-dimethyl pyrazine content of coffee oil F3 and coffee oil F4 samples, were high compared to ground coffee and crude coffee oil samples. The highest values were calculated for the total ethyl-dimethyl pyrazines (from F1 to F3–F4). The furfural content of all (F2, F3, F4) coffee oil samples showed the least response rate differences compared to the ground coffee sample.
Pyrazines and furans have been used as quality indices for roasted coffee and black instant coffee beverages [34,50,51,52]. Pyrazines are associated with nutty, earthy, roasted, and green aromas [5,51,53,54]. Several pyrazines have been identified as crucial compounds contributing to coffee aroma due to their low sensory threshold values [55,56]. As far as furans are concerned, they have been proposed as responsible for the burnt sugar, burnt, and caramel aromas in roasted coffee [54] and for the caramel flavor in coffee brews [55]. Pyrroles have been identified as furan degradation products and amino acid derivatives, contributing to a distinctively sweet and slightly flared aroma in coffee [56]. Pyridines are formed through the Maillard reaction, resulting in a relatively subtle burnt and smoky aroma [35,38].
Apart from the instrumental analyses, sensory evaluation tests were carried out on an instant coffee base (after freeze-drying) with incorporated the extracted oils crude and treated ones to select the optimum that improves the sensory characteristics of the base. In Table 2, the sensory scores for total aroma quality are provided. Sensory panelists mentioned that the crude coffee samples presented an intense roasted flavor characterized as not desirable (3.2/9.0; F1). The volatile compounds of coffee oil that are water-soluble are isolated as dissolved in the water. For this reason, the use of ethanol, which is a less polar solvent compared to water, was selected for extraction. After extraction using ethanol, the obtained coffee oil had a similar flavor to the ground coffee flavor. According to sensory analysis, the extracted ethanol coffee oil got higher scores for aroma rather than the ground Greek coffee samples (6.2/9.0; F2). The resulting aroma of this oil was sweet and soft despite the intense roasty aroma mentioned before. The treatment with a mixture of hexane-ethanol in a ratio of 1:4 led to a higher score for the total sensory quality compared to the treatment with the respective mixture of hexane-ethanol in a ratio of 1:9 (6.5 vs. 4.7; F3 vs. F4). Both treatments (hexane-ethanol, 1:4 and 1:9) caused an increase in the total amount of furans and pyrazines (approximately 30% of the ground coffee), increasing the toasty aroma of the extracted oil. The optimal treatment was found to be the treatment with a mixture of hexane-ethanol in a ratio of 1:4 (F3), which achieves a balanced aroma. The developed instant product (as a result of F3) scored close to regular Greek coffee by the trained panel (7.2/9.0 compared to 7.5/9.0). Almost all volatile compounds in the instant coffee product had been extracted. The two main groups of furans and pyrazines are higher in the instant coffee product compared to the ground coffee (11–25%).

3.2. Shelf-Life Determination of the Instant Coffee Product

3.2.1. Sensory Quality Loss of the Instant Coffee Product

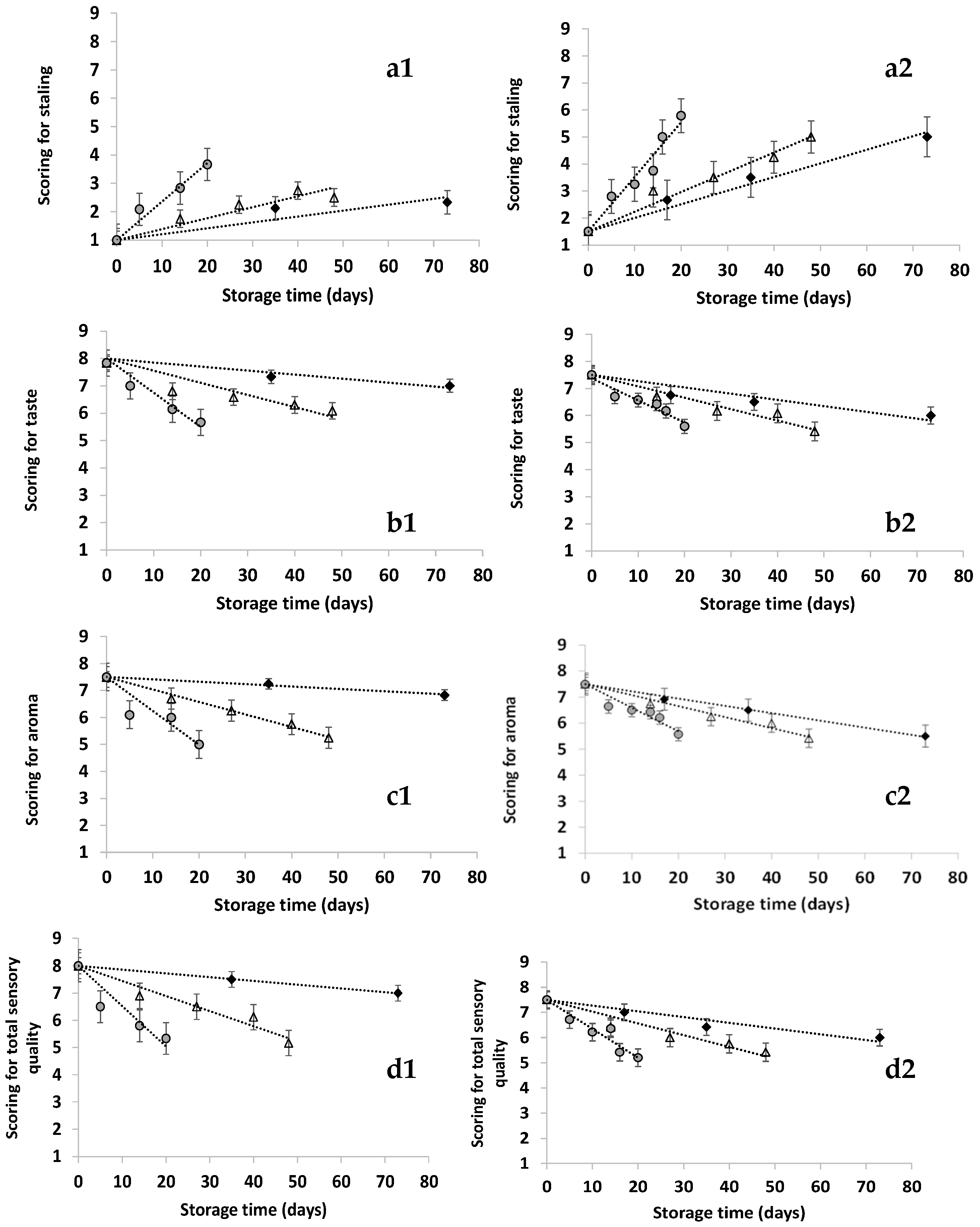
The evolution of sensory scores for staling, taste, aroma and total sensory quality, with storage time for all the storage temperatures studied for the CGr and F3Gr-D samples, is presented in Figure 2. All tested sensory characteristics exhibited deterioration over storage time. Temperature increase caused significant sensory quality deterioration (p < 0.05). By fitting the zero-order kinetic model to the experimental data, it was possible to determine the rates of sensory deterioration at each storage temperature (ks). The fitting results for both CGr and F3Gr-D samples are presented in Table 4.
The shelf life of both CGr and F3Gr-D instant coffee brew products, determined by the total sensory quality (where a score of 5/9 was set as the total sensory quality limit), was calculated by Equation (5) (Table 5). The instant coffee product F3Gr-D presented half the shelf life compared to the Greek coffee (CGr, reference) product (T = 25 °C). This is mainly owed to the loss of aroma intensity. This was expected as the developed instant coffee products have resulted from the modification of the dry water-soluble bases to which the extracted coffee oil has been added. The oil has been absorbed into the coffee powder. However, as the two materials (water-soluble base and oil) have different polarities, each microparticle of coffee may be covered externally by a thin layer of oil. Therefore, in contrast to the classic Greek coffee, in which the oil and aroma components are evenly distributed throughout the mass of the bean due to the production method, in the modified instant coffee products, only a superficial dispersion of the aromas is expected. So, the increased shelf life of the reference Greek coffee product (based on aroma intensity) is considered reasonable as the losses of the aromatic substances locked in the microstructure of the bean become more difficult compared to the losses of surface-dispersed volatile substances in the water-soluble grains of instant coffee products. In addition to the reduction in aroma intensity, the overall taste and, consequently, the shelf life of the coffee products are also strongly affected by possible oxidation reactions. In this case, the autoxidation reactions of triglycerides become easier in surface-distributed oils in the grains due to stronger contact with atmospheric oxygen.

3.2.2. Instrumental Analysis of the Instant Coffee Product Aroma

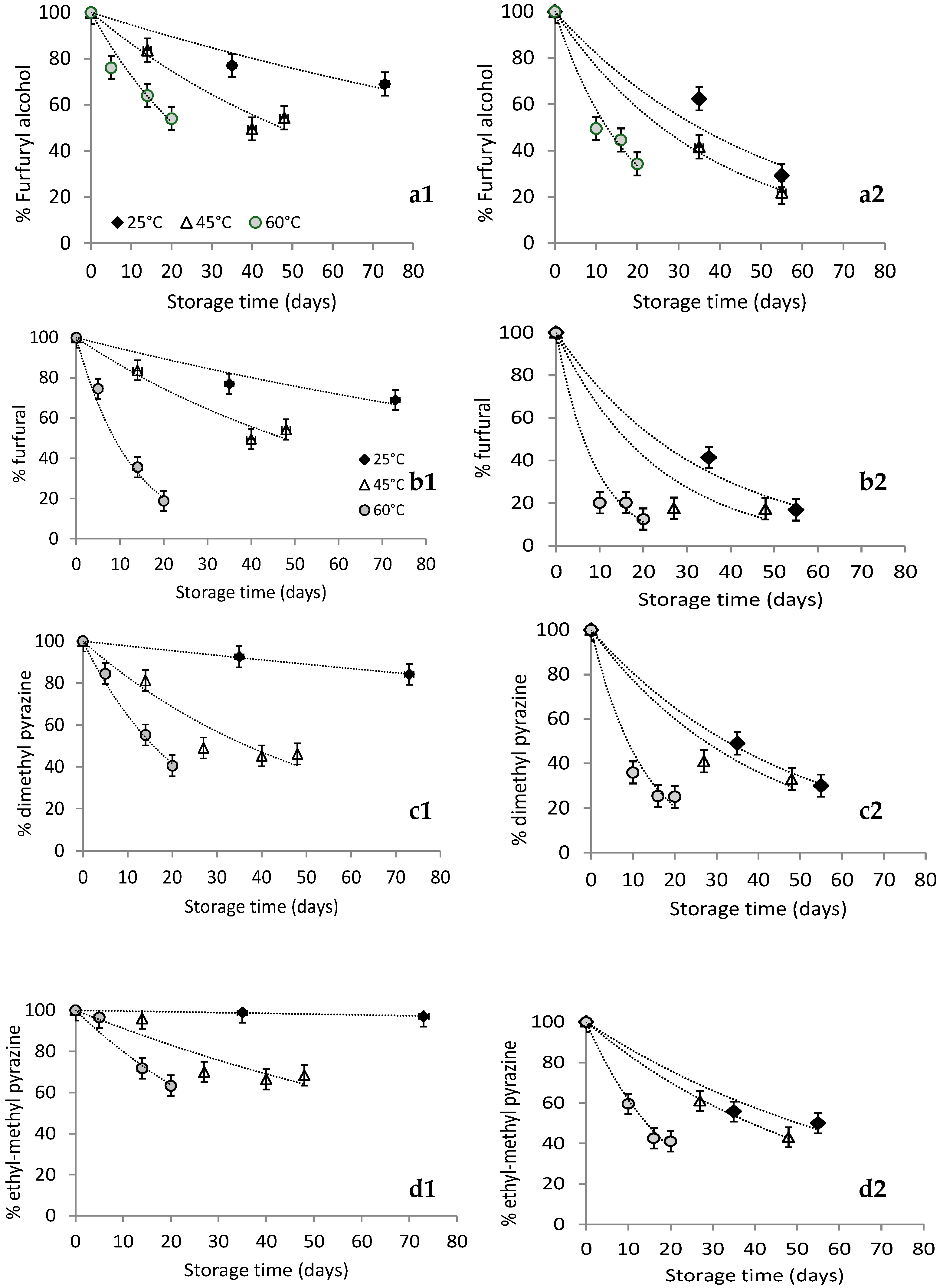
The % of remaining furfuryl alcohol, furfural, dimethyl pyrazines (2,5-dimethyl pyrazine, 2,3-dimethyl pyrazine), and ethyl methyl pyrazines (2-ethyl, 6-methyl pyrazine, 2-ethyl, 5 methyl pyrazine, 2-ethyl, 3-methyl pyrazine) were quantified over time and mathematically modeled as expressed in Equation (2), for CGr, and F3Gr-D instant coffee products (Figure 3; Table 6).
In Table 6, the kvol rates for each temperature are also presented. In the case of 5-methyl furfural, furfuryl acetate and ethyl dimethyl pyrazines, the compounds presented poor correlation with the mathematical model and were excluded from the elaboration. The GC-MS analysis revealed differences in the degradation behavior of key volatile compounds between the two ground coffee samples, CGr and F3Gr-D, during their storage. In all cases, the concentration of furfuryl alcohol, furfural, dimethyl pyrazines, and ethyl-methyl pyrazines decreased over time, with greater loss rates observed at higher temperatures, reflecting the thermally sensitive nature of these compounds. In general, the CGr product exhibited significantly lower degradation rates (kvol) for all volatiles across the tested temperatures compared to the F3Gr-D. For example, at 60 °C, the loss rate of furfuryl alcohol was 0.032 d−1 in CGr, whereas it reached 0.055 d−1 in F3Gr-D. Similarly, dimethyl pyrazines in CGr degraded at a rate of 0.044 d−1, in contrast to 0.079 d−1 in F3Gr-D. The calculated activation energy (Ea) values also supported this trend. CGr showed consistently higher Ea values, indicating greater thermal sensitivity of volatiles: for instance, the Ea for ethyl-methyl pyrazines in CGr was 96.74 kJ/mol versus 29.38 kJ/mol in F3Gr-D. These differences in chemical stability were reflected in the sensory evaluation results. CGr exhibited higher Ea values for both aroma loss (62.9 kJ/mol) and total sensory quality (54.7 kJ/mol), compared to the respective Ea values (22.7 and 35.29 kJ/mol) of F3Gr-D suggesting a more stable sensory profile. In contrast, F3Gr-D showed a faster degradation of aromatic and sensory attributes, correlating with the steeper decline in volatile compound levels at all storage temperatures.
The kinetic modeling of scoring for sensorial properties (total sensory quality) of the developed instant Greek coffee product was in good agreement with the modeling of coffee aroma loss (especially for the furfuryl alcohol; furfural and the other groups of compounds showed significantly high Ea, sensory and aroma loss, differences between CGr and F3Gr-D). The activation energy (Ea) ranged from 35.2–54.7 to 23.5–39.3 to kJ/mol for aroma loss of CGr and F3Gr-D, respectively. Ea values of F3Gr-D calculated by the kinetic modeling of sensory scores for aroma, staling and overall acceptability were 22.7, 22.1 and 35.2 kJ/mol, respectively. The shelf life of both CGr and F3Gr-D instant coffee brew products, determined by the aroma loss (20% retention of furfuryl alcohol), was calculated by Equation (5) (Table 5). The instant coffee product F3Gr-D presented a significantly lower shelf life compared to the Greek coffee (CGr, reference) product (p < 0.05) (80 days at the reference temperature T = 25 °C compared to 268 days). As already mentioned, the total sensory quality loss is mainly owed to the aroma intensity loss. In this study, the furfuryl alcohol loss rates of the developed instant coffee product, defined by the kvol values, were significantly lower for all storage temperatures (25–60 °C).
Both sensory properties (total sensory quality, taste and aroma) and aroma volatiles presented a strong correlation with storage temperature. All studied sensory properties have the same effect as furfuryl alcohol. Staling is positively correlated with storage time, while in relation to the other sensory properties, it is negatively correlated, which indicates that the higher the rating of the classic product in terms of overall liking, taste and aroma, the lower the score it will receive in terms of staling, i.e., the fresher it is. Accordingly, the storage temperature can be negatively correlated with volatile substances, which indicates an opposite behavior of the two variables: as the temperature increases, the concentration of the selected aroma substance decreases.

3.2.3. Other Quality Parameters

The color of the developed instant coffee product F3Gr-D did not show a statistically significant difference compared to the color of CGr at storage time zero (p < 0.05). The same was observed for the color of both products during their storage at temperatures from 25 to 60 °C. In Table 7, the measured color parameters L, a, b, and the calculated color change values ΔΕ were representativity given at initial storage time and at the end of storage. Total color difference (ΔΕ) value, which is calculated based on color differences compared to the initial product, increased during storage of both samples ΔΕ values ranged from 0 to higher than 2, indicating noticeable visual changes in color were perceived at later stages of storage [57].

4. Conclusions

The produced powder enriched with the developed Greek coffee oil extract could lead to a new instant coffee product having the unique aroma and flavor characteristics of Greek coffee. The oil was obtained directly from commercial Greek coffee by solid-liquid extraction using hexane as a solvent, further treated with a series of hexane and ethanol mixtures; the coffee oil-free residue was extracted with water and further freeze-dried (as described in the manuscript). The shelf life of the produced instant Greek coffee powder was estimated as 80 days (air packed) (based on 20% retention of furfuryl alcohol) and more than 123 days (based on the sensory rejection). The sensory analysis results confirmed that the main sensory attribute defining the sensory quality was the aroma loss intensity. Future research will focus on the shelf-life extension of the developed product (i.e., formulation, packaging).

Supplementary Materials

The following supporting information can be downloaded at https://www.mdpi.com/article/10.3390/beverages11030088/s1, Figure S1: Experimental procedure.

Author Contributions

Conceptualization, D.T. and P.T.; methodology, E.D. and D.T.; validation, V.P.-K.; formal analysis, V.P.-K.; investigation, V.P.-K. and D.T.; data curation, V.P.-K., D.T. and E.D.; writing—original draft preparation, E.D.; writing—review and editing, E.D. and D.T.; visualization, V.P.-K.; supervision, E.D., D.T. and P.T.; project administration, P.T. All authors have read and agreed to the published version of the manuscript.

Funding

This research received no external funding.

Institutional Review Board Statement

The study was conducted in accordance with the Declaration of Helsinki, and approved by the Ethics Committee of ΕΠΙΤΡOΠHΣ HΘΙΚHΣ ΚAΙ ΔΕOΝΤOΛOΓΙAΣ ΤHΣ ΕΡΕΥΝAΣ (Ε.H.Δ.Ε.) ΤOΥ ΕΘΝΙΚOΥ ΜΕΤΣOΒΙOΥ ΠOΛΥΤΕΧΝΕΙOΥ (Approval Code: 19170/27.03.2025 and Approval date: 9 April 2025).

Informed Consent Statement

Informed consent was obtained from all subjects involved in the study.

Data Availability Statement

The data presented in this study are available on request from the corresponding authors.

Conflicts of Interest

The authors declare no conflicts of interest.

References

  1. De Melo Pereira, G.V.; De Carvalho Neto, D.P.; Magalhaes Júnior, A.I.; Vásquez, Z.S.; Medeiros, A.B.P.; Vandenberghe, L.P.S.; Soccol, C.R. Exploring the impacts of postharvest processing on the aroma formation of coffee beans—A review. Food Chem. 2019, 272, 441–452. [Google Scholar] [CrossRef] [PubMed]
  2. Saratale, G.D.; Bhosale, R.; Shobana, S.; Banu, J.R.; Pugazhendhi, A.; Mahmoud, E.; Sirohi, R.; Bhatia, S.K.; Atabani, A.E.; Mulone, V.; et al. A review on valorization of spent coffee grounds (SCG) towards biopolymers and biocatalysts production. Bioresour. Technol. 2020, 314, 123800. [Google Scholar] [CrossRef]
  3. ICO (Internacional Coffee Organization). Trade Statistics Tables. 2020. Available online: https://ico.org/what-we-do/world-coffee-statistics-database/ (accessed on 12 April 2020).
  4. CECAFE (Brazilian Coffee Exportes Council). Consumption. 2019. Available online: https://www.cecafe.com.br/en/about-coffee/consumption/ (accessed on 12 February 2020).
  5. Sanz, C.; Czerny, M.; Cid, C.; Schieberle, P. Comparison of potent odorants in a filtered coffee brew and in an instant coffee beverage by aroma extract dilution analysis (AEDA). Eur. Food Res. Technol. 2002, 214, 299–302. [Google Scholar] [CrossRef]
  6. Zeller, B.; Gaonkar, A.; Ceriali, S.; Wragg, A. Novel Microencapsulation System to Improve Controlled Delivery of Cup Aroma During Preparation of Hot Instant Coffee Beverages (Chapter 35). In Microencapsulation in the Food Industry; Academic Press: Cambridge, MA, USA, 2014; pp. 455–468. [Google Scholar] [CrossRef]
  7. Abraham-Barna, C.G. The term of Turkish coffee e a semasiological approach. J. Agroaliment. Process. Technol. 2013, 19, 271–275. [Google Scholar]
  8. Ozdestan, O. Evaluation of bioactive amine and mineral levels in Turkish coffee. Food Res. Int. 2014, 61, 167–175. [Google Scholar] [CrossRef]
  9. Yilmaz, B.; Acar-Tek, N.; Sozlu, S. Turkish cultural heritage: A cup pf coffee. J. Ethn. Foods 2017, 4, 213–220. [Google Scholar] [CrossRef]
  10. Küçükkömürler, S.; Özgen, L. Coffee and Turkish coffee culture. Pak. J. Nutr. 2009, 8, 1693–1700. [Google Scholar] [CrossRef]
  11. López, J.A.S.; Wellinger, M.; Gloess, A.N.; Zimmermann, R.; Yeretzian, C. Extraction kinetics of coffee aroma compounds using a semi-automatic machine: On-line analysis by PTR-ToF-MS. Int. J. Mass Spectrom. 2016, 401, 22–30. [Google Scholar] [CrossRef]
  12. Siasos, G.; Oikonomou, E.; Chrysohoou, C.; Tousoulis, D.; Panagiotakos, D.; Zaromitidou, M.; Zisimos, K.; Kokkou, E.; Marinos, G.; Papavassiliou, A.G.; et al. Consumption of a boiled Greek type of coffee is associated with improved endothelial function: The Ikaria Study. Vasc. Med. 2013, 18, 55–62. [Google Scholar] [CrossRef]
  13. Seninde, D.R.; Chambers, E., IV. Coffee Flavor: A Review. Beverages 2020, 6, 44. [Google Scholar] [CrossRef]
  14. Marek, G.; Dobrzanski, B., Jr.; Oniszczuk, T.; Cwikła, D.; Rusinek, R.; Combrzynski, M. Detection and differentiation of volatile compound profiles in roasted coffee Arabica beans from different countries using an electronic nose and GC-MS. Sensors 2020, 20, 2124. [Google Scholar] [CrossRef] [PubMed]
  15. Rusinek, R.; Dobrzanski, B., Jr.; Oniszczuk, A.; Siger, A.; Karami, H.; Ptaszynska, A.A.; Gawrysiak-Witulska, M.; Zytek, A.; Gancarz, M. How to identify roast defects in coffee beans based on the volatile compound profile. Molecules 2022, 27, 8530. [Google Scholar] [CrossRef] [PubMed]
  16. Dong, W.J.; Tan, L.H.; Zhao, J.P.; Hu, R.S.; Lu, M.Q. Characterization of fatty acid, amino acid and volatile compoundcompositions and bioactive components of seven co ee (Coffea robusta) cultivars grown in Hainan province, China. Molecules 2015, 20, 16687–16708. [Google Scholar] [CrossRef]
  17. Yang, N.; Liu, C.J.; Liu, X.K.; Degn, T.K.; Munchow, M.; Fisk, I. Determination of volatile marker compounds of common coffee roast defects. Food Chem. 2016, 211, 206–214. [Google Scholar] [CrossRef]
  18. Santanatoglia, A.; Alessandroni, L.; Fioretti, L.; Sagratini, G.; Vittori, S.; Maggi, F.; Caprioli, G. Discrimination of filter coffee extraction methods of a medium roasted specialty coffee based on Volatile Profiles and Sensorial Traits. Foods 2023, 12, 3199. [Google Scholar] [CrossRef]
  19. Nooshkam, M.; Varidi, M.; Bashash, M. The Maillard reaction products as food-born antioxidant and antibrowning agents in model and real food systems (Review). Food Chem. 2019, 275, 644–660. [Google Scholar] [CrossRef]
  20. Obando, A.M.; Figueroa, J.G. Effect of roasting level on the development of key aroma-active compounds in coffee. Molecules 2024, 29, 4723. [Google Scholar] [CrossRef]
  21. Makri, E.; Tsimogiannis, D.; Dermesonluoglu, E.K.; Taoukis, P.S. Modeling of Greek coffee aroma loss during storage at different temperatures and water activities. Procedia Food Sci. 2011, 1, 1111–1117. [Google Scholar] [CrossRef]
  22. Piergiovanni, M.; Gosetti, F.; Rocío-Bautista, P.; Termopoli, V. Aroma determination in alcoholic beverages: Green MS-based sample preparation approaches. Mass Spectrom. Rev. 2024, 43, 660–682. [Google Scholar] [CrossRef]
  23. d’Acampora Zellner, B.; Dugo, P.; Dugo, G.; Mondello, L. Gas chromatography–olfactometry in food flavour analysis. J. Chromatogr. A 1186, 2008, 123–143. [Google Scholar] [CrossRef]
  24. Angeloni, S.; Mustafa, A.M.; Abouelenein, D.; Alessandroni, L.; Acquaticci, L.; Nzekoue, F.K.; Petrelli, R.; Sagratini, G.; Vittori, S.; Torregiani, E.; et al. Characterization of the aroma profile and main key odorants of espresso coffee. Molecules 2021, 26, 3856. [Google Scholar] [CrossRef] [PubMed]
  25. Weschenfelder, T.A.; Lantin, P.; Viegas, M.C.; De Castilhos, F.; Scheer, A.D.P. Concentration of aroma compounds from an industrial solution of soluble coffee by pervaporation process. J. Food Eng. 2015, 159, 57–65. [Google Scholar] [CrossRef]
  26. Đorđević, V.; Balanč, B.; Belščak-Cvitanović, A.; Lević, S.; Trifković, K.; Kalušević, A.; Kostić, I.; Komes, D.; Bugarski, B.; Nedović, V. Trends in encapsulation technologies for delivery of food bioactive compounds. Food Eng. Rev. 2015, 7, 452–490. [Google Scholar] [CrossRef]
  27. Zanin, R.C.; Smrke, S.; Kurozawa, L.E.; Yamashita, F.; Yeretzian, C. Modulation of aroma release of instant coffees through microparticles of roasted coffee oil. Food Chem. 2020, 341, 128–193. [Google Scholar] [CrossRef] [PubMed]
  28. Calligaris, S.; Munari, M.; Arrighetti, G.; Barba, L. Insights into the physicochemical properties of coffee oil. Eur. J. Lipid Sci. Technol. 2009, 111, 1270–1277. [Google Scholar] [CrossRef]
  29. Hurtado-Benavides, A.; Dorado, D.A.; Sánchez-Camargo, A.D.P. Study of the fatty acid profile and the aroma composition of oil obtained from roasted Colombian coffee beans by supercritical fluid extraction. J. Supercrit. Fluids 2016, 113, 44–52. [Google Scholar] [CrossRef]
  30. Buffo, R.A.; Cardelli-Freire, C. Coffee flavour: An overview. FFJ 2004, 19, 99–104. [Google Scholar] [CrossRef]
  31. Boger, B.R.; Mori, A.L.B.; Viegas, M.C.; Benassi, M.T. Quality attributes of roasted Arabica coffee oil extracted by pressing: Composition, antioxidant activity, sun protection factor and other physical and chemical parameters. Grasas Aceites 2021, 72, e394. [Google Scholar] [CrossRef]
  32. Gloess, A.N.; Vietri, A.; Wieland, F.; Smrke, S.; Schönbächler, B.; López, J.A.; Petrozzi, S.; Bongers, S.; Koziorowski, T.; Yeretzian, C. Evidence of different flavour formation dynamics by roasting coffee from different origins: On-line analysis with PTR-ToF-MS. Int. J. Mass Spectrom. 2014, 365–366, 324–337. [Google Scholar] [CrossRef]
  33. Oliviera, A.L.; Cabral, F.A.; Eberlin, M.N.; Cordello, H.M.A.B. Sensory evaluation of black instant coffee beverage with some volatile compounds present in aromatic oil from roasted coffee. Cienc. Tecnol. Aliment. Campinas. 2009, 29, 76–80. [Google Scholar] [CrossRef]
  34. Oliviera, A.L.; Silva, S.S.; Da Silva, M.A.P.; Eberlin, M.N.; Cabral, F.A. Sensory and yield response surface analysis of supercritical CO2 extracted aromatic oil from roasted coffee. J. Food Sci. Technol. 2001, 38, 38–42. [Google Scholar] [CrossRef]
  35. Lopez-Garcia, E.; Guallar-Castillon, P.; Leon-Muñoz, L.; Graciani, A.; Rodriguez-Artalejo, F. Coffee consumption and health-related quality of life. Clin. Nutr. Res. 2014, 33, 143–149. [Google Scholar] [CrossRef] [PubMed]
  36. Roselius, W.; Vitzthum, O.; Hubert, P. mMethod of Extraction of Coffee Oil Containing Aroma Constitutes from roasted coffee. German Federal Republic Patent Application. United Sates Patent. US4328255, 4 May 1982. [Google Scholar]
  37. Ramos, E.; Valero, E.; Ibanez, E.; Reglero, G.; Tabera, J. Obtention of a brewed coffee aroma extract by an optimized supercritical CO2-based process. J. Agric. Food Chem. 1998, 46, 4011–4016. [Google Scholar] [CrossRef]
  38. Araujo, M.A.; Sandi, D. Extraction of coffee diterpenes and coffee oil using supercritical carbon dioxide. Food Chem. 2006, 101, 1087–1094. [Google Scholar] [CrossRef]
  39. Sarrazin, C.; LeQuéré, J.-L.; Gretsch, C.; Liardon, R. Representativeness of coffee aroma extracts: A comparison of different extraction methods. Food Chem. 2000, 70, 99–106. [Google Scholar] [CrossRef]
  40. Guan, W.; Li, S.; Ruixiang, Y.; Tang, S.; Quan, C. Comparison of essential oils of clove buds extracted with supercritical carbon dioxide and other three traditional extraction methods. Food Chem. 2007, 101, 1558–1564. [Google Scholar] [CrossRef]
  41. Shofinita, D.; Lestari, D.; Aliwarga, L.; Sumampouw, G.A.; Ambarwati, S.A.; Gunawan, K.C.; Achmadi, A.B. Drying methods of coffee extracts and their effects on physicochemical properties: A review. Food Bioprocess Technol. 2024, 17, 47–72. [Google Scholar] [CrossRef]
  42. Saifullah, M.; Shishir, M.R.I.; Ferdowsi, R.; Rahman, M.R.T.; Vuong, Q.V. Micro and nano encapsulation, retention and controlled release of flavor and aroma compounds: A critical review. Trends Food Sci. Technol. 2019, 86, 230–251. [Google Scholar] [CrossRef]
  43. ISO 8586-1; Sensory Analysis—General Guidance for the Selection, Training and Monitoring of Assessors, Part 1: Selected As-sessors. International Organization for Standardization: Geneva, Switzerland, 1993.
  44. Lim, J. Hedonic scaling: A review of methods and theory. Food Qual. Prefer. 2011, 22, 733747. [Google Scholar] [CrossRef]
  45. Dermesonlouoglou, E.; Seretis, G.; Katsouli, M.; Katsimichas, A.; Giannakourou, M. Effect of Pulsed Electric Fields and Osmotic Dehydration on the Quality of Modified-Atmosphere-Packaged Fresh-Cut and Fried Potatoes. Foods 2025, 14, 420. [Google Scholar] [CrossRef]
  46. Orfanou, F.; Dermesonlouoglou, E.K.; Taoukis, P.S. Greek Coffee Quality Loss During Home Storage: Modeling the Effect of Temperature and Water Activity. J. Food Sci. 2019, 84, 2983–2994. [Google Scholar] [CrossRef]
  47. Tsimogianns, D.; Oreopoulou, V. A kinetic study of essential oil components distillation for the recovery of carvacrol rich fractions. JARMAP 2018, 9, 117–123. [Google Scholar] [CrossRef]
  48. Puvipirom, J.; Chaiseri, S. Contribution of roasted grains and seeds in aroma of oleang (Thai coffee drink). Int. Food Res. J. 2012, 19, 583–588. [Google Scholar]
  49. Piccino, D.; Boulanger, R.; Descroix, F.; Sing, A.S.C. Aromatic composition and potent odorants of the “specialty coffee” Brew “Bourbon Pointu” correlated to its three trade classifications. Food Res. Int. 2014, 61, 264–271. [Google Scholar] [CrossRef]
  50. Albouchi, A.; Murkovic, M. Formation kinetics of furfuryl alcohol in a coffee model system. Food Chem. 2018, 243, 91–95. [Google Scholar] [CrossRef] [PubMed]
  51. Hashim, L.; Chaveron, H. Use of methylpyrazine ratios to monitor the coffee roasting. Food Res. Int. 1996, 28, 619–623. [Google Scholar] [CrossRef]
  52. Maeztu, L.; Sanz, C.; Andueza, S.; de Penna, M.P.; Bello, J.; Cid, C. Characterization of espresso coffee aroma by static headspace GC-MS and sensory flavour profile. J. Agric. Food Chem. 2001, 49, 5437–5444. [Google Scholar] [CrossRef]
  53. Roberts, D.D.; Pollien, P.; Milo, C. Solid-phase microextraction method development for headspace analysis of volatile flavour compounds. J. Agric. Food Chem. 2000, 48, 2430–2437. [Google Scholar] [CrossRef]
  54. Cordoba, N.; Moreno, F.L.; Osorio, C.; Velasquez, S.; Ruiz, Y. Chemical and sensory evaluation of cold brew coffees using different roasting profiles and brewing methods. Food Res. Int. 2021, 141, 110141. [Google Scholar] [CrossRef]
  55. Caporaso, N.; Whitworth, M.B.; Fisk, I.D. Prediction of coffee aroma from single roasted coffee beans by hyperspectral imaging. Food Chem. 2022, 371, 131159. [Google Scholar] [CrossRef]
  56. Toci, A.T.; Farah, A.; Pezza, H.R.; Pezza, L. Coffee Adulteration: More than Two Decades of Research. Crit. Rev. Anal. Chem. 2015, 46, 83–92. [Google Scholar] [CrossRef] [PubMed]
  57. Choi, Μ.H.; Kim, G.H.; Lee, H.S. Effects of ascorbic acid retention on juice color and pigment stability in blood orange (Citrus sinensis) juice during refrigerated storage. Food Res. Int. 2002, 35, 753–759. [Google Scholar] [CrossRef]
Figure 1. Typical total ion chromatogram (TIC) for Greek ground coffee by the P&T-GC-MS analysis.
Figure 1. Typical total ion chromatogram (TIC) for Greek ground coffee by the P&T-GC-MS analysis.
Beverages 11 00088 g001
Figure 2. Evolution of sensory scores for (a1,a2) staling, (b1,b2) taste, (c1,c2) aroma, and (d1,d2) total sensory quality with storage time for the storage temperatures T, 25 (Beverages 11 00088 i001), 45 (Beverages 11 00088 i002) and 60 (Beverages 11 00088 i003) °C for the instant coffee brew. 1: CGr and 2: F3Gr-D. (Mean value of three ± standard deviation). Dashed lines represent the fitting of the zero-order equation, Equation (5), to the experimental data.
Figure 2. Evolution of sensory scores for (a1,a2) staling, (b1,b2) taste, (c1,c2) aroma, and (d1,d2) total sensory quality with storage time for the storage temperatures T, 25 (Beverages 11 00088 i001), 45 (Beverages 11 00088 i002) and 60 (Beverages 11 00088 i003) °C for the instant coffee brew. 1: CGr and 2: F3Gr-D. (Mean value of three ± standard deviation). Dashed lines represent the fitting of the zero-order equation, Equation (5), to the experimental data.
Beverages 11 00088 g002
Figure 3. Aromatic compounds’ loss, (a1,a2) furfuryl alcohol, (b1,b2) furfural, (c1,c2) dimethyl pyrazine (2,5-dimethyl pyrazine, 2,3-dimethyl pyrazine), and (d1,d2) ethyl methyl pyrazines (2-ethyl, 6-methyl pyrazine, 2-ethyl, 5 methyl pyrazine, 2-ethyl, 3-methyl pyrazine) described as % TIC response at time t/response at time 0 for the instant coffee brew products (1) CGr and (2) F3Gr-D at storage temperatures T, 25 (Beverages 11 00088 i004), 45 (Beverages 11 00088 i005), 60 (Beverages 11 00088 i006) °C.
Figure 3. Aromatic compounds’ loss, (a1,a2) furfuryl alcohol, (b1,b2) furfural, (c1,c2) dimethyl pyrazine (2,5-dimethyl pyrazine, 2,3-dimethyl pyrazine), and (d1,d2) ethyl methyl pyrazines (2-ethyl, 6-methyl pyrazine, 2-ethyl, 5 methyl pyrazine, 2-ethyl, 3-methyl pyrazine) described as % TIC response at time t/response at time 0 for the instant coffee brew products (1) CGr and (2) F3Gr-D at storage temperatures T, 25 (Beverages 11 00088 i004), 45 (Beverages 11 00088 i005), 60 (Beverages 11 00088 i006) °C.
Beverages 11 00088 g003
Table 1. Sampling plan to monitor product’s shelf life.
Table 1. Sampling plan to monitor product’s shelf life.
SamplesCGrF3Gr-D
Storage Temperature (T)25 °C45 °C60 °C25 °C45 °C60 °C
Sampling time (t, days)17145352710
352710554816
554014 20
734816
20
Table 2. The major volatiles of Greek coffee: retention times (r.t.) and indices (r.i.), aroma descriptors and odor detection thresholds (ng/gwater).
Table 2. The major volatiles of Greek coffee: retention times (r.t.) and indices (r.i.), aroma descriptors and odor detection thresholds (ng/gwater).
No.Compoundr.t.r.i.Aroma Descriptor [c]Odor Detection
Threshold (ng/gwater)
12-methyl pyrazine3.80902nutty, cocoa-like 60 [48]
2furfural3.94913pungent, sweet, bread-like, caramelly, cinnamon-almond-like flavor odor resembles benzaldehyde3000 [48]
3furfuryl alcohol4.35943mild, warm, oily, burnt 5000 [48]
4furfuryl formate5.251010ethereal
52,5-dimethyl pyrazine5.371019earthy, potato-like 1700 [48]
62,3-dimethyl pyrazine5.541032nutty, cocoa-like 2500 [48]
75-methyl furfural6.381095spicy-sweet, warm and slightly caramelly 6000 [48]
8furfuryl acetate6.941142mild, ethereal-floral fruity 100 [48]
92-ethyl, 6-methyl pyrazine7.071153roasted baked potato 40 [48]
102-ethyl, 5-methyl pyrazine7.121157nutty, roasted, grassy 100 [48]
112-ethyl, 3-methyl pyrazine7.121157strong raw potato 130 [48]
123-ethyl-2,5-dimethyl pyrazine8.471280 8.6 [48]
13nonanal8.881321fruity 1 [48]
142,3-diethyl-5-methyl pyrazine9.791418nutty, roasted vegetable
15decanal10.611512floral-orange on dilution20 [49]
Table 3. Response Rate values (mean value ± standard deviation) for ground coffee sample, crude coffee oil (F1), coffee oil samples after treatments with ethanol (Coffee oil F2), hexane-ethanol 1:4 (Coffee oil F3), hexane-ethanol 1:9 (Coffee oil F4) and the final instant coffee product with incorporated the optimal coffee oil (F3Gr-D).
Table 3. Response Rate values (mean value ± standard deviation) for ground coffee sample, crude coffee oil (F1), coffee oil samples after treatments with ethanol (Coffee oil F2), hexane-ethanol 1:4 (Coffee oil F3), hexane-ethanol 1:9 (Coffee oil F4) and the final instant coffee product with incorporated the optimal coffee oil (F3Gr-D).
CompoundGround
Coffee
Crude Coffee Oil
F1
Coffee Oil
F2
Coffee Oil
F3
Coffee Oil
F4
Final
Product
furfuryl alcohol111111
furfural0.423 ± 0.045 * a0.265 ± 0.023 b0.249 ± 0.032 b0.307 ± 0.032 b0.313 ± 0.036 b0.25 ± 0.04 b
5-methyl-furfural0.118 ± 0.024 a0.239 ± 0.023 b0.305 ± 0.078 b0.310 ± 0.017 b0.305 ± 0.029 b0.32 ± 0.06 b
furfuryl acetate0.087 ± 0.008 a0.113 ± 0.029 ab0.092 ± 0.015 a0.162 ± 0.048 ab0.193 ± 0.032 ab0.13 ± 0.02 ab
total dimethyl pyrazines0.837 ± 0.094 a0.332 ± 0.060 b0.455 ± 0.098 c0.535 ± 0.065 c0.479 ± 0.033 c0.83 ± 0.19 a
total ethyl-methyl pyrazines0.496 ± 0.130 a0.503 ± 0.053 a0.514 ± 0.066 a0.803 ± 0.177 b1.046 ± 0.101 c0.61 ± 0.18 c
total ethyl-dimethyl pyrazines0.181 ± 0.018 a0.329 ± 0.045 b0.351 ± 0.047 b0.617 ± 0.092 c0.512 ± 0.052 c0.450 ± 0.10 d
Sensory score for the total aroma quality7.5 ± 0.13.2 ± 0.26.2 ± 0.46.5 ± 0.44.7 ± 0.37.2 ± 0.5
* Mean value ± standard deviation. Different superscript letters in the same column indicate significant differences between means as calculated by Duncan’s multiple range test for a significance level of p = 0.05. The 3-ethyl-2,5-dimethyl pyrazine was barely detectable.
Table 4. Quality degradation rates (based on total sensory quality, ks, d−1), and activation energy (Ea) values as calculated from the Equations (3) and (5) fitting to the experimental data, for the instant coffee brew, CGr and F3Gr-D at storage temperatures T, 25, 45, 60 °C.
Table 4. Quality degradation rates (based on total sensory quality, ks, d−1), and activation energy (Ea) values as calculated from the Equations (3) and (5) fitting to the experimental data, for the instant coffee brew, CGr and F3Gr-D at storage temperatures T, 25, 45, 60 °C.
SampleCGrF3Gr-D
T (°C)ks (d−1) *R2ks (d−1) *R2
staling
250.0218 aA0.810.0753 aB0.99
450.0386 bA0.870.0930 aB0.99
600.132 cA0.950.2399 bB0.84
Ea (kJ/mol) (R2)37.2 (0.89)22.1 (0.77)
taste
250.002 aA0840.004 aA0.99
450.006 bA0.800.006 aA0.99
600.019 cA0.930.021 bA0.79
Ea (kJ/mol) (R2)49.8 (0.98)30.1 (0.78)
aroma
250.001 aA0940.007A b0.99
450.007 bA0.990.009 aA0.99
600.020 cA0.950.021 bA0.93
Ea (kJ/mol) (R2)62.9 (0.99)22.7 (0.85)
total sensory quality
250.0139 aA0.990.0203 aB0.92
450.0553 bA0.940.039 bB0.99
600.1434 cA0.830.1045 cB0.87
Ea (kJ/mol) (R2)54.7 (0.98)35.2 (0.94)
* Mean value. Different superscript lowercase letters in the same column indicate significant differences between means indicating the effect of storage temperature on ks as calculated by Duncan’s multiple range test for a significance level of p = 0.05. Different superscript capital letters in the same raw indicate significant differences between means indicating the effect of instant coffee products on ks as calculated by Duncan’s multiple range test for a significance level of p = 0.05.
Table 5. Shelf life (based on total sensory quality and aroma loss, SL, days) of the instant coffee brew CGr and F3Gr-D at storage temperatures T, 25, 45, and 60 °C.
Table 5. Shelf life (based on total sensory quality and aroma loss, SL, days) of the instant coffee brew CGr and F3Gr-D at storage temperatures T, 25, 45, and 60 °C.
Shelf Life (Days)
Based on Total Sensory Quality
SL = 5/9
Based on Aroma Loss
20%
Τ (°C)CGrF3Gr-DCGrF3Gr-D
25215 aA123 aB268 aB80 aB
4554 bA64 bB107 bB50 bB
6020 cA23 cA50 cB29 cB
Different small superscript letters (a–c) in the same column indicate significant differences, as calculated using Duncan’s multiple range test for a significance level of p = 0.05, expressing the effect of storage temperature on product shelf life. Different capital superscript letters (A,B) in the same line indicate significant differences between products for the same storage temperature.
Table 6. Aromatic compounds’ [furfuryl alcohol, furfural, dimethyl pyrazine (2,5-dimethyl pyrazine, 2,3-dimethyl pyrazine), and ethyl methyl pyrazines (2-ethyl, 6-methyl pyrazine, 2-ethyl, 5 methyl pyrazine, 2-ethyl, 3-methyl pyrazine)] loss rates (kvol, d−1) and activation energy (Ea) values as calculated from the Equations (2) and (3) fitting to the experimental data, for the instant coffee brew products Cigar and F3Gr-D.
Table 6. Aromatic compounds’ [furfuryl alcohol, furfural, dimethyl pyrazine (2,5-dimethyl pyrazine, 2,3-dimethyl pyrazine), and ethyl methyl pyrazines (2-ethyl, 6-methyl pyrazine, 2-ethyl, 5 methyl pyrazine, 2-ethyl, 3-methyl pyrazine)] loss rates (kvol, d−1) and activation energy (Ea) values as calculated from the Equations (2) and (3) fitting to the experimental data, for the instant coffee brew products Cigar and F3Gr-D.
Τ (°C)kvol (d−1) (R2)
CGrF3Gr-D
furfuryl alcohol
250.006 (0.944)0.020 (0.939)
450.015 (0.962)0.033 (0.998)
600.032 (0.949)0.055 (0.972)
Ea (kJ/mol)
kref (d−1)
39.3 (0.996)
0.005
23.5 (0.985)
0.019
furfural
250.006 (0.944)0.030 (0.988)
450.015 (0.962)0.043 (0.960)
0.11600.080 (9.89)0.110 (0.967)
Ea (kJ/mol)
kref (d−1)
59.1 (0.923)
0.005
29.3 (0.872)
0.026
dimethyl pyrazines
250.002 (0.998)0.021 (0.968)
450.019 (0.928)0.035 (0.956)
600.044 (0.993)0.079 (0.938)
Ea (kJ/mol)
kref (d−1)
74.1 (0.979)
0.002
30.4 (0.941)
0.019
Ethyl, methyl pyrazines
250.0004 (0.974)0.014 (0.975)
450.009 (0.858)0.028(0.961)
600.022 (0.960)0.049 (0.979)
Ea (kJ/mol)
kref (d−1)
96.7 (0.961)
0.0004
29.3 (0.997)
0.013
Table 7. Color parameters L, a, b and color change values ΔΕ for the developed instant coffee products CGr and F3Gr-D at initial storage time (zero) and at the end of storage ) at 25, 45 and 60 °C.
Table 7. Color parameters L, a, b and color change values ΔΕ for the developed instant coffee products CGr and F3Gr-D at initial storage time (zero) and at the end of storage ) at 25, 45 and 60 °C.
Color Parameters *
Storage TimeLabΔΕ
CGr
Day 052.09 a0.60 a−5.24 a_
Day 55, 25 °C51.85 a0.70 a−5.18 a1.94
Day 48, 45 °C52.33 a0.63 a−5.17 a2.09
Day 20, 60 °C52.31 a0.62 a−5.13 a2.62
F3Gr-D
Day 051.25 a0.20 b−6.13 b_
Day 73, 25 °C51.66 a0.42 c−5.68 ab5.30
Day 48, 45 °C51.57 a0.37 c−5.96 b3.26
Day 20, 60 °C51.41 a0.25 c−6.15 b0.16
* Mean values. Different superscript letters in the same column indicate significant differences between means as calculated by Duncan’s multiple range test for a significance level of p = 0.05.
Disclaimer/Publisher’s Note: The statements, opinions and data contained in all publications are solely those of the individual author(s) and contributor(s) and not of MDPI and/or the editor(s). MDPI and/or the editor(s) disclaim responsibility for any injury to people or property resulting from any ideas, methods, instructions or products referred to in the content.

Share and Cite

MDPI and ACS Style

Dermesonlouoglou, E.; Palaioxari-Kampisiouli, V.; Tsimogiannis, D.; Taoukis, P. Design and Production of an Instant Coffee Product Based on Greek Coffee Oil: Study of the Effect of Storage Conditions on Product Aroma and Quality. Beverages 2025, 11, 88. https://doi.org/10.3390/beverages11030088

AMA Style

Dermesonlouoglou E, Palaioxari-Kampisiouli V, Tsimogiannis D, Taoukis P. Design and Production of an Instant Coffee Product Based on Greek Coffee Oil: Study of the Effect of Storage Conditions on Product Aroma and Quality. Beverages. 2025; 11(3):88. https://doi.org/10.3390/beverages11030088

Chicago/Turabian Style

Dermesonlouoglou, Efimia, Vassiliki Palaioxari-Kampisiouli, Dimitrios Tsimogiannis, and Petros Taoukis. 2025. "Design and Production of an Instant Coffee Product Based on Greek Coffee Oil: Study of the Effect of Storage Conditions on Product Aroma and Quality" Beverages 11, no. 3: 88. https://doi.org/10.3390/beverages11030088

APA Style

Dermesonlouoglou, E., Palaioxari-Kampisiouli, V., Tsimogiannis, D., & Taoukis, P. (2025). Design and Production of an Instant Coffee Product Based on Greek Coffee Oil: Study of the Effect of Storage Conditions on Product Aroma and Quality. Beverages, 11(3), 88. https://doi.org/10.3390/beverages11030088

Note that from the first issue of 2016, this journal uses article numbers instead of page numbers. See further details here.

Article Metrics

Back to TopTop