Hydrogen and Deuterium Solubility in Commercial Pd–Ag Alloys for Hydrogen Purification
Abstract
:1. Introduction
2. Materials and Methods
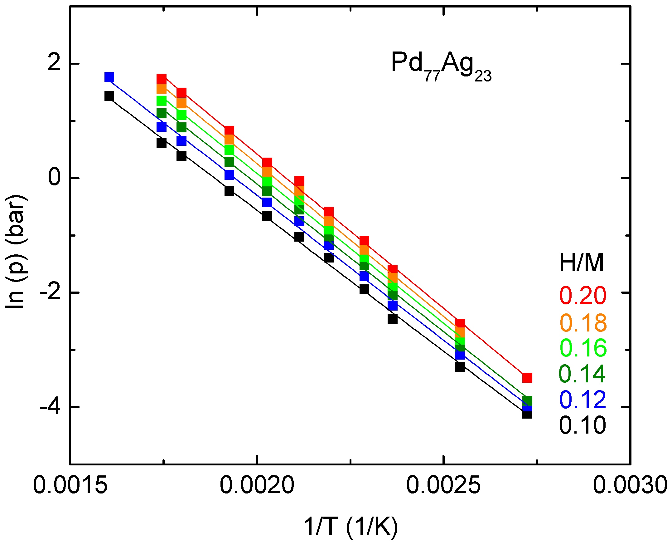
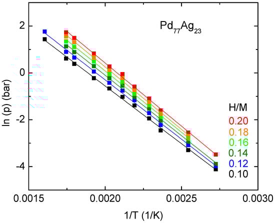
3. Results and Discussion
4. Conclusions
Supplementary Materials
Author Contributions
Conflicts of Interest
References
- Ockwig, N.W.; Nenoff, T.M. Membranes for Hydrogen Separation. Chem. Rev. 2007, 107, 4078–4110. [Google Scholar] [CrossRef] [PubMed]
- Orhan, M.F.; Dincer, L.; Rosen, M.A.; Kanoglu, M. Integrated hydrogen production options based on renewable and nuclear energy sources. Renew. Sustain. Energy Rev. 2012, 16, 6059–6082. [Google Scholar] [CrossRef]
- Biccikovci, O.; Straka, P. Production of hydrogen from renewable resources and its effectiveness. Int. J. Hydrog. Energy 2012, 37, 11563–11578. [Google Scholar] [CrossRef]
- Nowotny, J.; Veziroglu, T.N. Impact of hydrogen on the environment. Int. J. Hydrog. Energy 2011, 36, 13218–13224. [Google Scholar] [CrossRef]
- Budd, P.M.; McKeown, N.B. Highly permeable polymers for gas separation membranes. Polym. Chem. 2010, 1, 63–68. [Google Scholar] [CrossRef]
- Yampolskii, Y. Polymer Gas Separation Membranes. Macromolecules 2012, 45, 3298–3311. [Google Scholar] [CrossRef]
- Razali, M.; Kim, J.F.; Attfield, M.; Budd, P.M.; Drioli, E.; Lee, Y.M.; Szekely, G. Sustainable wastewater treatment and recycling in membrane manufacturing. Green Chem. 2015, 17, 5196–5205. [Google Scholar] [CrossRef]
- Gallucci, F.; Medrano, J.A.; Fernandez, E.; Melendez, J.; van Sint Annaland, M.; Pacheco-Tanaka, D.A. Advances on High Temperature Pd-Based Membranes and Membrane Reactors for Hydrogen Purification and Production. J. Membr. Sci. Res. 2017, 3, 142–156. [Google Scholar] [CrossRef]
- Tosti, S. Pd-Based Membranes and Membrane Reactors for Hydrogen Production. In Membrane Fabrication; Hilal, N., Ismail, A.F., Wright, C.J., Eds.; CRC Press: Boca Raton, FL, USA, 2015; Chapter 13; ISBN 978-1-4822-1045-3. [Google Scholar]
- Yun, S.; Oyama, S.T. Correlations in palladium membranes for hydrogen separation: A review. J. Membr. Sci. 2011, 375, 28–45. [Google Scholar] [CrossRef]
- Sarker, S.; Chandra, D.; Hirscher, M.; Dolan, M.; Isheim, D.; Wermer, J.; Viano, D.; Baricco, M.; Udovic, T.J.; Grant, D.; et al. Developments in the Ni–Nb–Zr Amorphous Alloy Membranes. Appl. Phys. A 2016, 122, 168. [Google Scholar] [CrossRef]
- Santucci, A.; Tosti, S.; Basile, A. Alternatives to palladium in membranes for hydrogen separation: Nickel, niobium and vanadium alloys, ceramic supports for metal alloys and porous glass membranes. In Handbook of Membrane Reactors; Basile, A., Ed.; Woodhead Publishing Series in Energy: Cornwall, UK, 2013; Volume 1, Chapter 4; pp. 183–217. ISBN 978-0-85709-414-8. [Google Scholar]
- Conde, J.J.; Maroño, M.; Sánchez-Hervás, J.M. Pd-Based Membranes for Hydrogen Separation: Review of Alloying Elements and Their Influence on Membrane Properties. Sep. Purif. Rev. 2017, 46, 152–177. [Google Scholar] [CrossRef]
- Steward, S.A. Review of Hydrogen Isotope Permeability through Metals. In U.S. National Laboratory Report; UCRL-53441; Lawrence Livermore National Lab.: Livermore, CA, USA, 1983. [Google Scholar]
- Tosti, S. Membranes and Membrane Reactors for tritium Separation. In Tritium in Fusion: Production, Uses and Environmental Impact; Tosti, S., Ghirelli, N., Eds.; Nova Science Publishers: Hauppauge, NY, USA, 2013; Chapter 6; pp. 203–240. ISBN 978-1-62417-270-0. [Google Scholar]
- Serra, E.; Kemali, M.; Perujo, A.; Ross, D.K. Hydrogen and deuterium in Pd-25 Pct Ag alloy: Permeation, diffusion, solubilization, and surface reaction. Metall. Mater. Trans. A 1998, 29, 1023–1028. [Google Scholar] [CrossRef]
- Okazaki, J.; Pacheco Tanaka, D.A.; Llosa Tanco, M.A.; Wakui, Y.; Mizukami, F.; Suzuki, T.M. Hydrogen permeability study of the thin Pd–Ag alloy membranes in the temperature range across the α-β phase transition. J. Membr. Sci. 2006, 282, 370–374. [Google Scholar] [CrossRef]
- Wang, D.; Flanagan, T.B.; Shanahan, K. Diffusion of H through Pd-Ag Alloys (423–523 K). J. Phys. Chem. B 2008, 112, 1135–1148. [Google Scholar] [CrossRef] [PubMed]
- Zhang, K.; Gade, S.K.; Hatlevik, Ø.; Way, J.D. A sorption rate hypothesis for the increase in H2 permeability of palladium-silver (Pd–Ag) membranes caused by air oxidation. Int. J. Hydrog. Energy 2012, 37, 583–593. [Google Scholar] [CrossRef]
- Suzuki, A.; Yukawa, H.; Nambu, T.; Matsumoto, Y.; Murata, Y. Anomalous Temperature Dependence of Hydrogen Permeability through Palladium-Silver Binary Alloy Membrane and Its Analysis Based on Hydrogen Chemical Potential. Mater. Trans. 2016, 57, 695–702. [Google Scholar] [CrossRef]
- Palumbo, O.; Brutti, S.; Trequattrini, F.; Sarker, S.; Dolan, M.; Chandra, D.; Paolone, A. Temperature dependence of the Elastic Modulus of (Ni0.6Nb0.4)1−xZrx Membranes: Effects of Thermal Treatments and Hydrogenation. Energies 2015, 8, 3944–3954. [Google Scholar] [CrossRef]
- Palumbo, O.; Trequattrini, F.; Vitucci, F.M.; Bianchin, A.; Paolone, A. Study of the hydrogenation/dehydrogenation process in the Mg-Ni-C-Al system. J. Alloys Compd. 2015, 645, S239–S241. [Google Scholar] [CrossRef]
- Palumbo, O.; Trequattrini, F.; Sarker, S.; Hulyakar, M.; Pal, N.; Chandra, D.; Dolan, M.; Paolone, A. New Studies of the Physical Properties of Metallic Amorphous Membranes for Hydrogen Purification. Challenges 2017, 8, 4. [Google Scholar] [CrossRef]
- Carson, A.W.; Lewis, F.A. Pressure-composition isotherms for the Pd+Ag+H system. Trans. Faraday Soc. 1967, 63, 1453–1457. [Google Scholar] [CrossRef]
- Shu, J.; Granjean, B.P.A.; van Neste, A.; Kaliaguine, S. Catalytic Palladium-based Membrane Reactors: A Review. Can. J. Chem. Eng. 1991, 69, 1036–1060. [Google Scholar] [CrossRef]
- Manchester, F.D.; San Martin, A.; Pitre, J.M. The H-Pd (hydrogen-palladium) system. J. Phase Equil. 1994, 15, 62–83. [Google Scholar] [CrossRef]
- Flanagan, T.B.; Wang, D.; Luo, S. Thermodynamics of H in disordered Pd–Ag alloys from calorimetric and equilibrium pressure–composition-temperature measurements. J. Phys. Chem. B 2007, 111, 10723–10735. [Google Scholar] [CrossRef] [PubMed]
- Anand, N.S.; Pati, S.; Avtar Jat, R.; Parida, S.C.; Mukerjee, S.K. Thermodynamics and kinetics of hydrogen/deuterium absorption and desorption in Pd0.77Ag0.23 alloy. Int. J. Hydrog. Energy 2015, 40, 444–450. [Google Scholar] [CrossRef]
- Karger, B.L.; Snyder, L.R.; Horvath, C. An Introduction to Separation Science; Wiley: New York, NY, USA, 1973. [Google Scholar]
- Palumbo, O.; Trequattrini, F.; Pal, N.; Hulyalkar, M.; Sarker, S.; Chandra, D.; Flanagan, T.; Dolan, M.; Paolone, A. Hydrogen absorption properties of amorphous (Ni0.6Nb0.4-yTay)100-xZrx membranes. Prog. Nat. Sci. 2017, 27, 126–131. [Google Scholar] [CrossRef]
- Hara, M.; Sakurai, J.; Akamaru, S.; Hashizume, K.; Nishimura, K.; Mori, K.; Okabe, T.; Watanabe, K.; Matsuyama, M. Thermodynamic and Magnetic Properties of Pd0.93Ag0.07 Hydride. Mater. Trans. 2007, 48, 3154–3159. [Google Scholar] [CrossRef]







© 2017 by the authors. Licensee MDPI, Basel, Switzerland. This article is an open access article distributed under the terms and conditions of the Creative Commons Attribution (CC BY) license (http://creativecommons.org/licenses/by/4.0/).
Share and Cite
Paolone, A.; Tosti, S.; Santucci, A.; Palumbo, O.; Trequattrini, F. Hydrogen and Deuterium Solubility in Commercial Pd–Ag Alloys for Hydrogen Purification. ChemEngineering 2017, 1, 14. https://doi.org/10.3390/chemengineering1020014
Paolone A, Tosti S, Santucci A, Palumbo O, Trequattrini F. Hydrogen and Deuterium Solubility in Commercial Pd–Ag Alloys for Hydrogen Purification. ChemEngineering. 2017; 1(2):14. https://doi.org/10.3390/chemengineering1020014
Chicago/Turabian StylePaolone, Annalisa, Silvano Tosti, Alessia Santucci, Oriele Palumbo, and Francesco Trequattrini. 2017. "Hydrogen and Deuterium Solubility in Commercial Pd–Ag Alloys for Hydrogen Purification" ChemEngineering 1, no. 2: 14. https://doi.org/10.3390/chemengineering1020014
APA StylePaolone, A., Tosti, S., Santucci, A., Palumbo, O., & Trequattrini, F. (2017). Hydrogen and Deuterium Solubility in Commercial Pd–Ag Alloys for Hydrogen Purification. ChemEngineering, 1(2), 14. https://doi.org/10.3390/chemengineering1020014

