Synergetic Photocatalytic Peroxymonosulfate Oxidation of Benzotriazole by Copper Ferrite Spinel: Factors and Mechanism Analysis
Abstract
1. Introduction
2. Experimental Section
2.1. Chemicals
2.2. Preparation of Catalyst
2.3. Material Characterization
2.4. Degradation Experiments and Sample Analyses
2.5. Response Surface Method Experimental Design and Data Analysis
3. Results and Discussion
3.1. CuFe2O4 Spinel Morphology and Microstructure Analysis
3.2. Textural and Surface Area, Magnetic and Optical Properties
3.3. Performance Evaluation towards BTA Oxidation
3.4. Influence of Operating Parameters on BTA Degradation
3.4.1. CCD Analysis
0.51x1x2 + 2.23x1x3 + 1.83x1x4 + 2.76x2x3 + 0.42x2x4 −
1.34x3x4 + 2.37x12 + 0.95x22 + 0.09x32 + 1.61x42
3.4.2. Interaction Analysis of Influential Factors
3.5. Recyclability Performance of the CuFe2O4/UV/PMS System
3.6. Feasibility of the Process (Effect of Inorganic Anions)
3.7. Radical Scavenging Experiments
3.8. Mechanistic Discussion
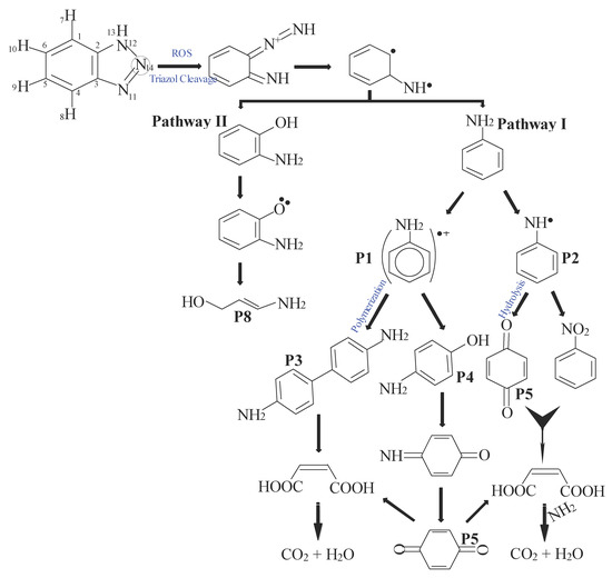
3.9. Reaction Pathway of BTA Degradation
4. Conclusions
Supplementary Materials
Author Contributions
Funding
Institutional Review Board Statement
Informed Consent Statement
Data Availability Statement
Conflicts of Interest
References
- Bahnmueller, S.; Loi, C.H.; Linge, K.L.; Von Gunten, U.; Canonica, S. Degradation rates of benzotriazoles and benzothiazoles under UV-C irradiation and the advanced oxidation process UV/H2O2. Water Res. 2015, 74, 143–154. [Google Scholar] [CrossRef] [PubMed]
- Xu, J.; Li, L.; Guo, C.; Zhang, Y.; Wang, S. Removal of benzotriazole from solution by BiOBr photocatalysis under simulated solar irradiation. Chem. Eng. J. 2013, 221, 230–237. [Google Scholar] [CrossRef]
- Ye, J.; Zhou, P.; Chen, Y.; Ou, H.; Liu, J.; Li, C.; Li, Q. Degradation of 1H-benzotriazole using ultraviolet activating persulfate: Mechanisms, products and toxicological analysis. Chem. Eng. J. 2018, 334, 1493–1501. [Google Scholar] [CrossRef]
- Felis, E.; Sochacki, A.; Magiera, S. Degradation of benzotriazole and benzothiazole in treatment wetlands and by artificial sunlight. Water Res. 2016, 104, 441–448. [Google Scholar] [CrossRef]
- Ding, Y.; Yang, C.; Zhu, L.; Zhang, J. Photoelectrochemical activity of liquid phase deposited TiO2 film for degradation of benzotriazole. J. Hazard. Mater. 2010, 175, 96–103. [Google Scholar] [CrossRef]
- Huang, H.; Wang, H.-L.; Shi, S.-B.; Jiang, W.-F. In-situ fabrication of AgI/AgnMoxO3x+n/2/g-C3N4 ternary composite photocatalysts for benzotriazole degradation: Tuning the heterostructure, photocatalytic activity and photostability by the degree of molybdate polymerization. Sep. Purif. Technol. 2023, 307, 122874. [Google Scholar] [CrossRef]
- Ahmadi, M.; Kakavandi, B.; Jorfi, S.; Azizi, M. Oxidative degradation of aniline and benzotriazole over PAC@ FeIIFe2IIIO4: A recyclable catalyst in a heterogeneous photo-Fenton-like system. J. Photochem. Photobiol. A Chem. 2016, 336, 42–53. [Google Scholar] [CrossRef]
- Ghanbari, F.; Khatebasreh, M.; Mahdavianpour, M.; Lin, K.-Y.A. Oxidative removal of benzotriazole using peroxymonosulfate/ozone/ultrasound: Synergy, optimization, degradation intermediates and utilizing for real wastewater. Chemosphere 2020, 244, 125326. [Google Scholar] [CrossRef]
- Sun, Q.; Wang, X.; Liu, Y.; Xia, S.; Zhao, J. Activation of peroxymonosulfate by a floating oxygen vacancies-CuFe2O4 photocatalyst under visible light for efficient degradation of sulfamethazine. Sci. Total Environ. 2022, 824, 153630. [Google Scholar] [CrossRef]
- Wei, Y.; Liu, H.; Liu, C.; Luo, S.; Liu, Y.; Yu, X.; Ma, J.; Yin, K.; Feng, H. Fast and efficient removal of As (III) from water by CuFe2O4 with peroxymonosulfate: Effects of oxidation and adsorption. Water Res. 2019, 150, 182–190. [Google Scholar] [CrossRef]
- Ding, Y.; Tang, H.; Zhang, S.; Wang, S.; Tang, H. Efficient degradation of carbamazepine by easily recyclable microscaled CuFeO2 mediated heterogeneous activation of peroxymonosulfate. J. Hazard. Mater. 2016, 317, 686–694. [Google Scholar] [CrossRef]
- Lutze, H.V.; Kerlin, N.; Schmidt, T.C. Sulfate radical-based water treatment in presence of chloride: Formation of chlorate, inter-conversion of sulfate radicals into hydroxyl radicals and influence of bicarbonate. Water Res. 2015, 72, 349–360. [Google Scholar] [CrossRef]
- Li, X.; Chen, T.; Qiu, Y.; Zhu, Z.; Zhang, H.; Yin, D. Magnetic dual Z-scheme g-C3N4/BiVO4/CuFe2O4 heterojunction as an efficient visible-light-driven peroxymonosulfate activator for levofloxacin degradation. Chem. Eng. J. 2023, 452, 139659. [Google Scholar] [CrossRef]
- Wang, Z.; Bush, R.T.; Sullivan, L.A.; Chen, C.; Liu, J. Selective oxidation of arsenite by peroxymonosulfate with high utilization efficiency of oxidant. Environ. Sci. Technol. 2014, 48, 3978–3985. [Google Scholar] [CrossRef]
- Anipsitakis, G.P.; Dionysiou, D.D. Degradation of organic contaminants in water with sulfate radicals generated by the conjunction of peroxymonosulfate with cobalt. Environ. Sci. Technol. 2003, 37, 4790–4797. [Google Scholar] [CrossRef]
- Wu, X.; Sun, D.; Ma, H.; Ma, C.; Zhang, X.; Hao, J. Activation of peroxymonosulfate by magnetic CuFe2O4@ ZIF-67 composite catalyst for the study on the degradation of methylene blue. Colloids Surf. A Physicochem. Eng. Asp. 2022, 637, 128278. [Google Scholar] [CrossRef]
- Dong, X.; Ren, B.; Sun, Z.; Li, C.; Zhang, X.; Kong, M.; Zheng, S.; Dionysiou, D.D. Monodispersed CuFe2O4 nanoparticles anchored on natural kaolinite as highly efficient peroxymonosulfate catalyst for bisphenol A degradation. Appl. Catal. B Environ. 2019, 253, 206–217. [Google Scholar] [CrossRef]
- Fayyaz, A.; Saravanakumar, K.; Talukdar, K.; Kim, Y.; Yoon, Y.; Park, C.M. Catalytic oxidation of naproxen in cobalt spinel ferrite decorated Ti3C2Tx MXene activated persulfate system: Mechanisms and pathways. Chem. Eng. J. 2021, 407, 127842. [Google Scholar] [CrossRef]
- Abdelbasir, S.M.; Elseman, A.M.; Harraz, F.A.; Ahmed, Y.M.; El-Sheikh, S.M.; Rashad, M.M. Superior UV-light photocatalysts of nano-crystalline (Ni or Co) FeWO4: Structure, optical characterization and synthesis by a microemulsion method. New J. Chem. 2021, 45, 3150–3159. [Google Scholar] [CrossRef]
- Yang, S.; Qiu, X.; Jin, P.; Dzakpasu, M.; Wang, X.C.; Zhang, Q.; Yang, L.; Ding, D.; Wang, W.; Wu, K. MOF-templated synthesis of CoFe2O4 nanocrystals and its coupling with peroxymonosulfate for degradation of bisphenol A. Chem. Eng. J. 2018, 353, 329–339. [Google Scholar] [CrossRef]
- Li, Z.; Wang, F.; Zhang, Y.; Lai, Y.; Fang, Q.; Duan, Y. Activation of peroxymonosulfate by CuFe2O4-CoFe2O4 composite catalyst for efficient bisphenol a degradation: Synthesis, catalytic mechanism and products toxicity assessment. Chem. Eng. J. 2021, 423, 130093. [Google Scholar] [CrossRef]
- Xin, J.; Liu, Y.; Niu, L.; Zhang, F.; Li, X.; Shao, C.; Li, X.; Liu, Y. Three-dimensional porous CuFe2O4 for visible-light-driven peroxymonosulfate activation with superior performance for the degradation of tetracycline hydrochloride. Chem. Eng. J. 2022, 445, 136616. [Google Scholar] [CrossRef]
- Ren, Y.; Lin, L.; Ma, J.; Yang, J.; Feng, J.; Fan, Z. Sulfate radicals induced from peroxymonosulfate by magnetic ferrospinel MFe2O4 (M = Co, Cu, Mn, and Zn) as heterogeneous catalysts in the water. Appl. Catal. B Environ. 2015, 165, 572–578. [Google Scholar] [CrossRef]
- He, S.; Chen, Y.; Li, X.; Zeng, L.; Zhu, M. Heterogeneous photocatalytic activation of persulfate for the removal of organic contaminants in water: A critical review. ACS EST Eng. 2022, 2, 527–546. [Google Scholar] [CrossRef]
- Hasija, V.; Nguyen, V.-H.; Kumar, A.; Raizada, P.; Krishnan, V.; Khan, A.A.P.; Singh, P.; Lichtfouse, E.; Wang, C.; Huong, P.T. Advanced activation of persulfate by polymeric g-C3N4 based photocatalysts for environmental remediation: A review. J. Hazard. Mater. 2021, 413, 125324. [Google Scholar] [CrossRef]
- Kakavandi, B.; Alavi, S.; Ghanbari, F.; Ahmadi, M. Bisphenol A degradation by peroxymonosulfate photo-activation coupled with carbon-based cobalt ferrite nanocomposite: Performance, upgrading synergy and mechanistic pathway. Chemosphere 2022, 287, 132024. [Google Scholar] [CrossRef]
- Zhang, T.; Zhu, H.; Croué, J.-P. Production of sulfate radical from peroxymonosulfate induced by a magnetically separable CuFe2O4 spinel in water: Efficiency, stability, and mechanism. Environ. Sci. Technol. 2013, 47, 2784–2791. [Google Scholar] [CrossRef]
- Wang, Y.; Tian, D.; Chu, W.; Li, M.; Lu, X. Nanoscaled magnetic CuFe2O4 as an activator of peroxymonosulfate for the degradation of antibiotics norfloxacin. Sep. Purif. Technol. 2019, 212, 536–544. [Google Scholar] [CrossRef]
- Ding, Y.; Zhu, L.; Wang, N.; Tang, H. Sulfate radicals induced degradation of tetrabromobisphenol A with nanoscaled magnetic CuFe2O4 as a heterogeneous catalyst of peroxymonosulfate. Appl. Catal. B Environ. 2013, 129, 153–162. [Google Scholar] [CrossRef]
- Guan, Y.-H.; Ma, J.; Ren, Y.-M.; Liu, Y.-L.; Xiao, J.-Y.; Lin, L.-q.; Zhang, C. Efficient degradation of atrazine by magnetic porous copper ferrite catalyzed peroxymonosulfate oxidation via the formation of hydroxyl and sulfate radicals. Water Res. 2013, 47, 5431–5438. [Google Scholar] [CrossRef]
- Golshan, M.; Kakavandi, B.; Ahmadi, M.; Azizi, M. Photocatalytic activation of peroxymonosulfate by TiO2 anchored on cupper ferrite (TiO2@ CuFe2O4) into 2,4-D degradation: Process feasibility, mechanism and pathway. J. Hazard. Mater. 2018, 359, 325–337. [Google Scholar] [CrossRef]
- Lei, X.; You, M.; Pan, F.; Liu, M.; Yang, P.; Xia, D.; Li, Q.; Wang, Y.; Fu, J. CuFe2O4@ GO nanocomposite as an effective and recoverable catalyst of peroxymonosulfate activation for degradation of aqueous dye pollutants. Chin. Chem. Lett. 2019, 30, 2216–2220. [Google Scholar] [CrossRef]
- Xu, Y.; Ai, J.; Zhang, H. The mechanism of degradation of bisphenol A using the magnetically separable CuFe2O4/peroxymonosulfate heterogeneous oxidation process. J. Hazard. Mater. 2016, 309, 87–96. [Google Scholar] [CrossRef]
- Wang, Y.; Sun, H.; Ang, H.M.; Tadé, M.O.; Wang, S. Facile synthesis of hierarchically structured magnetic MnO2/ZnFe2O4 hybrid materials and their performance in heterogeneous activation of peroxymonosulfate. ACS Appl. Mater. Interfaces 2014, 6, 19914–19923. [Google Scholar] [CrossRef]
- Tian, N.; Giannakis, S.; Akbarzadeh, L.; Hasanvandian, F.; Dehghanifard, E.; Kakavandi, B. Improved catalytic performance of ZnO via coupling with CoFe2O4 and carbon nanotubes: A new, photocatalysis-mediated peroxymonosulfate activation system, applied towards Cefixime degradation. J. Environ. Manag. 2023, 329, 117022. [Google Scholar] [CrossRef]
- Liu, F.; Wang, X.; Liu, Z.; Miao, F.; Xu, Y.; Zhang, H. Peroxymonosulfate enhanced photocatalytic degradation of Reactive Black 5 by ZnO-GAC: Key influencing factors, stability and response surface approach. Sep. Purif. Technol. 2021, 279, 119754. [Google Scholar] [CrossRef]
- Liu, X.; Zhou, J.; Liu, D.; Li, L.; Liu, W.; Liu, S.; Feng, C. Construction of Z-scheme CuFe2O4/MnO2 photocatalyst and activating peroxymonosulfate for phenol degradation: Synergistic effect, degradation pathways, and mechanism. Environ. Res. 2021, 200, 111736. [Google Scholar] [CrossRef]
- Kakavandi, B.; Ahmadi, M. Efficient treatment of saline recalcitrant petrochemical wastewater using heterogeneous UV-assisted sono-Fenton process. Ultrason. SonoChem. 2019, 56, 25–36. [Google Scholar] [CrossRef]
- Jia, Y.; Yang, K.; Zhang, Z.; Gu, P.; Liu, S.; Li, M.; Wang, X.; Yin, Y.; Zhang, Z.; Wang, T. Heterogeneous activation of peroxymonosulfate by magnetic hybrid CuFe2O4@ N-rGO for excellent sulfamethoxazole degradation: Interaction of CuFe2O4 with N-rGO and synergistic catalytic mechanism. Chemosphere 2023, 313, 137392. [Google Scholar] [CrossRef]
- Liu, X.; Zhou, J.; Wang, G.; Liu, D.; Liu, S. Construction of Cu-Fe bimetallic oxide/biochar/Ag3PO4 heterojunction for improving photocorrosion resistance and photocatalytic performance achieves efficient removal of phenol. Appl. Surf. Sci. 2022, 592, 153307. [Google Scholar] [CrossRef]
- Li, D.; Yao, Z.; Lin, J.; Tian, W.; Zhang, H.; Duan, X.; Wang, S. Nano-sized FeVO4 1.1H2O and FeVO4 for peroxymonosulfate activation towards enhanced photocatalytic activity. J. Environ. Chem. Eng. 2022, 10, 107199. [Google Scholar] [CrossRef]
- Anipsitakis, G.P.; Dionysiou, D.D.; Gonzalez, M.A. Cobalt-mediated activation of peroxymonosulfate and sulfate radical attack on phenolic compounds. Implications of chloride ions. Environ. Sci. Technol. 2006, 40, 1000–1007. [Google Scholar] [CrossRef] [PubMed]
- Nie, M.; Yang, Y.; Zhang, Z.; Yan, C.; Wang, X.; Li, H.; Dong, W. Degradation of chloramphenicol by thermally activated persulfate in aqueous solution. Chem. Eng. J. 2014, 246, 373–382. [Google Scholar] [CrossRef]
- Li, Z.; Tang, X.; Huang, G.; Luo, X.; He, D.; Peng, Q.; Huang, J.; Ao, M.; Liu, K. Bismuth MOFs based hierarchical Co3O4-Bi2O3 composite: An efficient heterogeneous peroxymonosulfate activator for azo dyes degradation. Sep. Purif. Technol. 2020, 242, 116825. [Google Scholar] [CrossRef]
- Golshan, M.; Zare, M.; Goudarzi, G.; Abtahi, M.; Babaei, A.A. Fe3O4@ HAP-enhanced photocatalytic degradation of Acid Red73 in aqueous suspension: Optimization, kinetic, and mechanism studies. Mater. Res. Bull. 2017, 91, 59–67. [Google Scholar] [CrossRef]
- Li, C.; Huang, Y.; Dong, X.; Sun, Z.; Duan, X.; Ren, B.; Zheng, S.; Dionysiou, D.D. Highly efficient activation of peroxymonosulfate by natural negatively-charged kaolinite with abundant hydroxyl groups for the degradation of atrazine. Appl. Catal. B Environ. 2019, 247, 10–23. [Google Scholar] [CrossRef]
- Serdechnova, M.; Ivanov, V.L.; Domingues, M.R.M.; Evtuguin, D.V.; Ferreira, M.G.; Zheludkevich, M.L. Photodegradation of 2-mercaptobenzothiazole and 1, 2, 3-benzotriazole corrosion inhibitors in aqueous solutions and organic solvents. Phys. Chem. Chem. Phys. 2014, 16, 25152–25160. [Google Scholar] [CrossRef]
- Li, Y.; Wang, F.; Zhou, G.; Ni, Y. Aniline degradation by electrocatalytic oxidation. Chemosphere 2003, 53, 1229–1234. [Google Scholar] [CrossRef]
- Jorfi, S.; Kakavandi, B.; Motlagh, H.R.; Ahmadi, M.; Jaafarzadeh, N. A novel combination of oxidative degradation for benzotriazole removal using TiO2 loaded on FeIIFe2IIIO4@C as an efficient activator of peroxymonosulfate. Appl. Catal. B Environ. 2017, 219, 216–230. [Google Scholar] [CrossRef]









| Independent Factors | Unit | Symbols | Ranges and Levels | ||||
|---|---|---|---|---|---|---|---|
| −α | Low (−1) | Middle (0) | High (+1) | +α | |||
| Catalyst loading | g L−1 | x1 | 0.1 | 0.2 | 0.3 | 0.4 | 0.5 |
| PMS dosage | mM | x2 | 0.5 | 1 | 1.5 | 2 | 2.5 |
| Initial BTA concentration | mg L−1 | x3 | 10 | 20 | 30 | 40 | 50 |
| Irradiation time | min | x4 | 10 | 30 | 50 | 70 | 90 |
| No. | SE Equation | SE Value |
|---|---|---|
| 1 | 1.68 | |
| 2 | 1.38 | |
| 3 | 1.51 | |
| 4 | 1.50 | |
| 5 | 1.15 | |
| 6 | 1.04 |
| System | Pollutant (mg/L) | Catalyst (g/L) | Oxidant (mM) | Removal Efficiency (%) | Mineralization Rate (%) | Metal Ion Leaching (mg/L) | Ref. |
|---|---|---|---|---|---|---|---|
| CuFe@NG/PMS | Sulfamethoxazole (10) | 0.3 | 0.4 | 93.15 in 60 min | 31.96 | [Cu] = 0.25, [Fe] = - | [39] |
| CuFe2O4@GO/PMS | Methylene blue (20) | 0.2 | 0.8 | 93.3 in 30 min | - | [Cu] = 0.3, [Fe] = 0.3 | [32] |
| OVs-CFEp/Vis/PMS | Sulfamethazine (10) | 1 | 0.3 | 95 in 90 min | 56 | [Cu] < 0.1, [Fe] < 0.1 | [9] |
| CuFe2O4 3DPs/Vis/PMS | Tetracycline hydrochloride (20) | 0.25 | 0.2 | 93 in 30 min | [Cu] = 0.2, [Fe] = 0.2 | [22] | |
| CuFe2O4-CoFe2O4/PMS | BPA (20) | 0.2 | 1 | 98.7 in 110 min | 72.5 | [21] | |
| CuFe2O4/kaolinite/PMS | BPA (50) | 0.5 | 0.5 | 97 in 60 min | 55 | [Cu] = 0.27, [Fe] = 0.01 | [17] |
| CuFe2O4/Biochar/Ag3PO4/Vis | Phenol (20) | 0.15 | - | 100 in 18 min | [40] | ||
| CN/BVO/CFO/Vis/PMS | Levofloxacin (10) | 0.2 | 1 | 96.2 in 60 min | 67 | [Cu] = 0.08, [Fe] = 0.02 | [13] |
| CuFe2O4/MnO2/Vis/PMS | Phenol (100) | 0.5 | 0.5 | 100 in 30 min | 62.2 | [Cu] = 0.026, [Fe] = 0.012 | [37] |
| CuFe2O4/UV/PMS | BTA (20) | 0.4 | 2 | 82.3 in 70 min | 53.2 | [Cu] = 0.33, [Fe] 0.18 | This study |
Disclaimer/Publisher’s Note: The statements, opinions and data contained in all publications are solely those of the individual author(s) and contributor(s) and not of MDPI and/or the editor(s). MDPI and/or the editor(s) disclaim responsibility for any injury to people or property resulting from any ideas, methods, instructions or products referred to in the content. |
© 2023 by the authors. Licensee MDPI, Basel, Switzerland. This article is an open access article distributed under the terms and conditions of the Creative Commons Attribution (CC BY) license (https://creativecommons.org/licenses/by/4.0/).
Share and Cite
Golshan, M.; Tian, N.; Mamba, G.; Kakavandi, B. Synergetic Photocatalytic Peroxymonosulfate Oxidation of Benzotriazole by Copper Ferrite Spinel: Factors and Mechanism Analysis. Toxics 2023, 11, 429. https://doi.org/10.3390/toxics11050429
Golshan M, Tian N, Mamba G, Kakavandi B. Synergetic Photocatalytic Peroxymonosulfate Oxidation of Benzotriazole by Copper Ferrite Spinel: Factors and Mechanism Analysis. Toxics. 2023; 11(5):429. https://doi.org/10.3390/toxics11050429
Chicago/Turabian StyleGolshan, Masoumeh, Na Tian, Gcina Mamba, and Babak Kakavandi. 2023. "Synergetic Photocatalytic Peroxymonosulfate Oxidation of Benzotriazole by Copper Ferrite Spinel: Factors and Mechanism Analysis" Toxics 11, no. 5: 429. https://doi.org/10.3390/toxics11050429
APA StyleGolshan, M., Tian, N., Mamba, G., & Kakavandi, B. (2023). Synergetic Photocatalytic Peroxymonosulfate Oxidation of Benzotriazole by Copper Ferrite Spinel: Factors and Mechanism Analysis. Toxics, 11(5), 429. https://doi.org/10.3390/toxics11050429

