Next Article in Journal
Distinguishing Organisational Profiles of Food Loss Management in Logistics
Next Article in Special Issue
Selecting Partners in Strategic Alliances: An Application of the SBM DEA Model in the Vietnamese Logistics Industry
Previous Article in Journal
A Novel Green Logistics Technique for Planning Merchandise Deliveries: A Case Study
 
 
Font Type:
Arial Georgia Verdana
Font Size:
Aa Aa Aa
Line Spacing:
Column Width:
Background:
Article

Analysis of the Activities That Make Up the Reverse Logistics Processes and Their Importance for the Future of Logistics Networks: An Exploratory Study Using the TOPSIS Technique

by
Vitor William Batista Martins
1,*,
Denilson Ricardo de Lucena Nunes
2,
André Cristiano Silva Melo
1,
Rayra Brandão
3,
Antônio Erlindo Braga Júnior
4 and
Verônica de Menezes Nascimento Nagata
5
1
Postgraduate Program in Technology, Natural Resources and Sustainability in the Amazon (PPGTEC/CCNT/UEPA), Department of Production Engineering, State University of Pará, Belém 66095-015, Brazil
2
Department of Production Engineering, State University of Pará, Castanhal 68745-000, Brazil
3
Department Administration Course, Federal Rural University of The Amazon, Tomé-Açu 68680-000, Brazil
4
Department of Industrial Design, State University of Pará, Belém 66095-015, Brazil
5
Department of Production Engineering, State University of Pará, Belém 66095-015, Brazil
*
Author to whom correspondence should be addressed.
Logistics 2022, 6(3), 60; https://doi.org/10.3390/logistics6030060
Submission received: 5 July 2022 / Revised: 10 August 2022 / Accepted: 11 August 2022 / Published: 16 August 2022

Abstract

Background: The wide variety of terms that converge in reverse logistics have been more evident and discussed in the current context of the literature, such as reverse channels, reverse supply chain, closed-loop supply chain, and circular supply chain. Regarding this, this paper aimed to investigate the level of uncertainty about the activities that make up the Reverse Logistics process in the opinion of professionals working in this area in Brazil, to develop a discussion relating to the sustainable development goals proposed by the UN and their importance for the future of logistics networks. Methods: Initially, through a detailed systematic review of the literature, the activities that make up the RL processes were identified. Then, a questionnaire was elaborated on regarding such activities, and a survey was developed with professionals in the area. The data obtained were analyzed through a descriptive analysis of means, calculation of Cronbach’s Alpha, and using the multicriteria decision technique TOPSIS. Results: It is possible to see that professionals involved with RL processes in Brazil still have many doubts regarding which activities belong to the RL process. In the opinion of Brazilian professionals, 10 of these activities have generated high levels of uncertainties about their belonging or not to the RL process. On the other hand, with a low level of uncertainty, 3 activities were not considered and 3 were considered to make up the RL process. Conclusions: It is believed that this study can contribute to the generation of knowledge by comparing basic information in the scientific literature with the practical knowledge of professionals belonging to the reverse logistics sector working in the Brazilian context.

1. Introduction

Logistics can have a critical impact on industry’s future as the depletion of natural resources and environmental pollution advance [1]. Reverse Logistics (RL) is a process that contributes to economic, environmental, and social benefits [2], and acts to preserve existing resources and reduce harmful emissions and waste generation [3,4]. Studies highlight the importance of making appropriate decisions about RL activities without necessarily following the industry’s common practices indiscriminately. For example, one must decide either between reuse or recycling, considering the resources and market limitations present in the company’s regional context [5,6]. Advances in issues related to legislation, corporate images, environmental concerns, economic benefits, and sustainable competitiveness are imposing on companies not only to adopt RL practices but also to make them efficient and effective [7,8,9,10,11]. Therefore, industries must make their decisions considering their product’s long-term life cycle, rather than just focusing on current waste problems [5,12,13,14].
Govindan and Bouzon [15] identified 37 motivators for RL implementation by industry and divided them into 8 categories: Policy-related issues, Governance- and supply-chain-process-related issues, Management-related issues, Market- and Competitor-related issues, Technology- and infrastructure-related issues, Economic-related issues, Knowledge-related issues, and Social-related issues. Analyzing the motivators, it was found that those that related to environmental issues add up to 16 and come from the demands of the consumer, society, and current legislation.
In addition, RL contributes to the achievement of the United Nations Sustainable Development Goals (SDGs) (sdgs.un.org/goals accessed on 23 November 2021) mainly concerning building resilient infrastructure, promoting inclusive and sustainable industrialization and encouraging innovation (SDG 9), and ensuring sustainable consumption and production patterns (SDG 12). In SDG 9, governments reaffirmed the importance of solid waste management, committing to give priority attention to waste prevention and minimization, reuse and recycling, as well as the development of environmentally friendly waste disposal facilities. In SDG 12, governments, international organizations, the business sector, and other non-state actors and individuals must contribute to changing unsustainable consumption and production patterns to achieve more sustainable consumption and production patterns [16,17,18].
Specifically, in Brazil, it can be highlighted that when approving the National Solid Waste Policy (NSWP) in 2010, this increased the discussions on socio-environmental concerns involving solid waste management. In addition, this law presented numerous potential solutions for waste’s proper disposal and complete environmental protection as well as highlighted the importance of RL for achieving these previous goals [19]. For the NSWP, RL constitutes: “An instrument of economic and social development, characterized by a set of actions, procedures and means designed to enable the collection and return of solid waste to the business sector, for recovery, in its cycle or other production cycles, or other environmentally proper final disposition” [19].
According to the context, it is clear that logistics activities present constant operational changes and face considerable challenges in the face of growth dynamics and uncertainties at a global level. Due to its relevance to the economy and society, logistics systems have been shaping the various trends and micro and macroeconomic challenges, and consequently, managers involved in the area constantly ask themselves what are the future development paths of logistics to meet the new demands and market requirements. Managing the accelerated pace of digitalization, building resilience for future networks, integrating low-income countries into global value streams, enabling such countries to be part of global logistics networks, and creating sustainable approaches are some examples of the challenges of this decade. In this sense, the analysis of the definitions present in the literature with the understanding of professionals involved in the area becomes important to overcome such challenges. It is precisely at this point that this study proposes to specifically analyze the activities that are part of the RL process, adopting not only the definitions present in the literature but also the perceptions of professionals involved in the management of such activities.
According to the context presented, this research aimed to investigate the level of uncertainty about the activities that make up the Reverse Logistics—RL process in the opinion of professionals working in this area in Brazil, to develop a discussion relating to the sustainable development goals proposed by the UN and their importance for the future of logistics networks. The RL activities considered in this research were mapped through a systematic literature review. The results were treated and validated by calculating Cronbach’s alpha, using a descriptive analysis of means, and using the Technique for Order of Preference by Similarity to Ideal Solution (TOPSIS). This study can contribute to the generation of knowledge by comparing information obtained in the scientific literature with practical knowledge of the Brazilian RL industry.

2. Literature Review

Reverse Logistics (RL) is the foundation of other definitions adopted by this study. An initial literature review unveiled the most-cited definitions over the last 20 years, as shown in Table 1. Other widely referenced definitions also agree with this statement [20,21,22].
By reading, the definitions presented in Table 1, the words “process” and “activities” are recurrent terms. This happens as RL works through the execution of a coordinated set of processes to fulfill its objective. According to the literature review, it is possible to have a wide variety of activities cited as components of the RL process. This occurs as a result of the waste variety which transits in a reverse channel, such as carpet [24], batteries [25], vehicles [26], etc. Each of these wastes requires different needs for manipulation and treatment, resulting in different approaches to and characterization of these activities. The work of Rubio and Jiménez-Parra [27] is recommended for a further discussion on the evolution of the RL concept.
Reverse logistics is a relatively new concept, and its basic task is to facilitate the organization of a product’s return process to a manufacturer to recycle the product and make it a new product, or to separate components that can be used again; sometimes, it is sent to companies whose main and only activity is recycling, restoration, and the like [28]. Ref. [29] corroborates this understanding and emphasizes that RL is part of logistics, and its main task is to enable the return of products from the customer to the manufacturer to fully recycle the product or to separate the components that could be reused. Additionally, Ref. [30] argues that a reverse logistics system corresponds to a set of activities which form a continuous process of the treatment of returned products until they are properly recovered or discarded. These activities include collection, cleaning, disassembly, testing and sorting, storage, transport, and recovery operations [30].
To identify the RL activities presented in the literature, 1809 publications were reviewed systematically, with no period limitation. The results demonstrated that only 6.68% (121 papers) focused on identifying activities within the RL process, resulting in a set of 16 most-cited activities. It is noteworthy that RL activities directly related to information flows were the least mentioned, despite their importance; 4.96% for Integration, 12.4% for Waste Acquisition, and 9.92% for Gatekeeping. Thus, Table 2 presents the activities identified as being the most-frequently-cited, considering this new subset of 121 reviewed studies.
In addition to the results presented in Table 2, other activities were mentioned, but in a less significant frequency, such as: Re-sale [31,32,33,34,35,36,37,38]; Donation sale [32,35,37]; Cannibalization [36,37,38]; Washing [39]; Recertification [40]; Packing or Repacking [30,35,38,39,40]; and Densification [41].
Another important aspect was that among the 121 systematically reviewed studies, few authors were concerned with actually describing the RL activities considered in their research. Table 3 summarizes the 16 most-cited RL activities and their definitions, considering those same studies. For some RL activities, such as warehousing, definitions or descriptions were not found in the survey. For those, we proposed additional definitions and descriptions based on forwarding logistics activities analogies.
Table 4 presents the percentages of papers that defined the 16 most-cited RL activities, considering the survey carried out in this research.
Figure 1 presents the evolution per year considering the recurrence of papers that cite, display figures, or describe RL processes or activities. Since 2009, there has been a substantial increase in the citation count. Regardless, all these results highlight the growing interest of the literature in RL processes or activities in the last 10 years. This could be explained due to the increase number of problems associated with waste generation and the concern with sustainable aspects related to its recovery or proper disposal.
The most-cited activities in the period were Collection, Proper Disposal, and Remanufacturing. Notably, other activities with a lower citation count, such as Waste Acquisition, Gatekeeping, and Integration, also showed growth within studies since 2009, most likely due to the need to reduce uncertainties associated with the waste supply to enable the structuring of RL processes. Furthermore, a wide variety of terms that converge to RL have been more evident and discussed in the current context of the literature, such as reverse channels [71,72], reverse supply chain [73,74,75], closed-loop supply chain [75,76,77], and circular supply chain [72,78].
According to the context presented, it is possible to perceive that reverse logistics guides a large part of the operations of a certain supply chain system involving product returns, promoting reprocessing and remanufacturing [79]. The proper management of reverse logistics is related to a set of different measures to be implemented [79]. Ref. [80] corroborates this understanding when they highlight that the performance of a reverse logistics system in the supply chain depends a lot on the efficient management of returns of used products. Additionally, Ref. [81] emphasizes that due to the complexity of RL management, outsourcing the management of such activity becomes important in achieving results. The authors also emphasize that through such practices, there is the potential to increase the economic profitability of companies and improve their long-term development.
Given the context of the importance of identifying and defining the processes that make up the RL systems, it is also important to highlight their relationships for the future of logistics networks regarding aspects of digitization and sustainability. In light of RL contributions, Ref. [82] highlights the technological complexity of inter-organizational data sharing as well as concerns about data security, being examples of barriers to the implementation of services inherent to RL. These barriers inherent to logistics networks create considerable challenges for organizations, and it is noteworthy that digital transformation can be a source of future competitive advantages [83], and the development and improvement of activities that make up RL processes can demand the digital transformation of organizations. Additionally, analyzing the barriers and development paths for global logistics networks, Ref. [84] highlights that logistics networks face several challenges that hinder the development of efficient operations, and that professionals involved with logistics and supply chain management must align their networks with the market of the future’s need.

3. Methodological Procedures

The main research strategy adopted for the development of this study was a survey, with the following procedures: (a) bibliographic survey; (b) research instrument elaboration; (c) survey development; (d) treatment of the data obtained through descriptive analysis of means, calculation of Cronbach’s Alpha, and using the multicriteria decision technique TOPSIS; and e) generation of results and associated conclusions.
Initially, a literature review was carried out on the activities developed in the reverse logistics context on the following scientific bases: Science Direct, Scopus, and Web of Science. For a better understanding of the definitions and concepts, as well as the identification of the state of the art on the subject, the following search terms were used: TITLE-ABS-KEY (“Reverse logistics” AND (activities OR processes OR steps OR paths OR procedures OR operations)) AND (LIMIT-TO (DOCTYPE, “ar”) OR LIMIT-TO (DOCTYPE, “re”)) AND (LIMIT-TO (LANGUAGE, “English”)) AND (LIMIT-TO (SRCTYPE, “j”)). Several articles were identified, and the content of each one was analyzed in detail. A summary of some of these articles is presented in Section 2.
Then, with the results obtained from the literature analysis, it was possible to develop the research instrument used in the survey with professionals in the field of reverse logistics. The research instrument consists of 16 activities identified in the literature as belonging to reverse logistics processes (Table 3). For each of the activities, respondents indicated using a scale from 1 to 5 considering the following criteria: Note 1—this activity certainly does not belong to a reverse logistics process; Note 2—I believe that this activity does not belong to a reverse logistics process; Note 3—not sure about this activity; Note 4—I believe that this activity belongs to a reverse logistics process; and, Note 5—surely this activity belongs to a reverse logistics process. It is noteworthy that before starting data collection, a Research Ethics Committee was asked to approve the research instrument, since this practice in Brazil is necessary for conducting research involving human beings.
Once the Research Ethics Committee approved it, the survey was carried out to collect data from professionals in the field. The questionnaire was sent online by email using the Google Forms platform and was available to respondents for two months. The invitation to respond to the questionnaire was sent purely to professionals specializing in the field of reverse logistics working in Brazil. Such professionals were identified and selected through searches on the Lattes Platform (academic curriculum record used in Brazil) and via the social network LinkedIn. The questionnaire was sent to 300 professionals, and a return rate of 12.66% was obtained. The questionnaire was answered by researchers (20.00%), professors (40.00%), consultants (5.71%), coordinators, and directors of companies that develop LR activities (34.29%). Among the respondents, 28.57% have more than twenty years of experience, 40.00% have between eleven and twenty years of experience, and 31.43% have up to 10 years of experience.
With the results obtained from the survey, data analysis was performed through descriptive analysis of means, the calculation of Cronbach’s Alpha, and using the multicriteria decision technique TOPSIS, following the considerations proposed by [78]. According to these authors, TOPSIS allows the ranking of items (activities) considering different analysis criteria. Such criteria can have different weights and, consequently, denote varying degrees of importance, helping to substantiate and make efficient decision making according to the weights assigned to each one. In this study, it was decided to assign different weights to the responses of each activity analyzed considering the length of experience of each respondent, with 50% for those with over 20 years of experience, 30% for those with between 11 and 20 years of experience, and 20% to those with up to 10 years of experience. It is worth mentioning studies with exploratory objectives similar to the one defined in this research that also used the TOPSIS method, for example, in [85], where a ranking of sustainability indicators was generated in logistics systems, and [2], which aimed to identify the degree of comparative importance attributed to route plan performance objectives in the opinion of logistics professionals working in Brazil. Therefore, through the use of TOPSIS, it was also possible to achieve the objective proposed in this study.
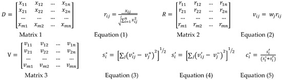
According to [86], the first step in carrying out the calculations aimed at carrying out the ordering of the goals is the structuring of the matrix D, where the elements (xij) are identified by an alternative (i) and by an analysis criterion (j). In this study, the alternatives corresponded to the 16 activities considered in the questionnaire, and the criteria corresponded to the three means obtained from each group of respondents for each of the activities. The mathematical representation of the matrix is shown in Figure 2 (Matrix 1). Then, the normalization of matrix D is performed using Equation (1), presented in Figure 2, resulting in a matrix called Matrix R (Matrix 2). The third step consists of weighting the values of the R Matrix using Equation (2), shown in Figure 2, and obtaining a new matrix called Matrix V (Matrix 3 in Figure 2). Subsequently, the determination of positive (vj+) and negative (vj−) ideal solutions are defined. This step is developed by identifying the maximum and minimum values existing in Matrix V for each of the analysis criteria. The fifth step of TOPSIS consists of calculating the positive and negative Euclidean distances of each alternative. Equations (3) and (4) in Figure 2 present the calculation made to find the Euclidean distance from the positive ideal solution and the Euclidean distance from the negative ideal solution, respectively.
Finally, with the values of Euclidean distances, it is possible to calculate the Ci* indicator and, through it, rank the 16 activities analyzed in the survey according to the perception of different professionals in the field of reverse logistics in Brazil. It is noteworthy that the values of Ci* must be between 0 and 1. The calculation of the indicator Ci* was made using Equation (5), presented in Figure 2.

4. Results and Associated Discussions

Initially, the calculation of Cronbach’s Alpha was performed following the recommendations proposed by Christmann and Van Aelst [87], obtaining a coefficient value equal to 0.90, demonstrating the reliability of the research instrument used. Then, Figure 3 presents the averages of the answers given by experts for each item according to the time of experience (up to 10 years, between 11 and 20 years, and above 20 years). After a prior understanding of the Brazilian scenario about the activities that make up the reverse logistics processes according to the descriptive analysis of the average opinion of market professionals, the TOPSIS calculations were started, as were discussions of the ordering of the activities considered in this study and the greater robustness of the results achieved.
Considering the averages obtained through the professional’s answers with more experience working in the context of RL (over 20 years), and based on a scale from one to five, presented in the methodological procedures section, for only three of the sixteen activities analyzed, their means were equal to or greater than 4.5. Therefore, market professionals with longer experience are almost certain that such activities belong to RL processes, namely: Integration, Collection, and Transport. On the other hand, another point worth mentioning is that most activities analyzed had an average between 3 and 4, which refers to low levels of uncertainty on the part of more experienced professionals when analyzing whether such activities belong to RL processes. Integration, identified in this research with the highest level of uncertainty in the composition of an RL process, is portrayed by [63] but as one of the most important activities of this process, as it is responsible for the management and performance of the entire RL system. The collection is the entry point of reverse supply networks, and as highlighted in some research [42,43,44], this activity is responsible for consolidating the generated waste, creating a link between points of generation and processing centers. Transport is relevant due to its intense presence in RL processes, as it occurs between the various installations of the reverse network [43].
Analyzing the averages based on the opinion of specialists who have between eleven and twenty years of experience, the degree of certainty changes concerning the more experienced responding professionals. Of the sixteen activities analyzed, ten had an average equal to or greater than 4.5. In other words, this group of experts is convinced that the Integration, Gatekeeping, Waste Acquisition, Collection, Transport, Warehousing, Disassembly, Classification, Recycling, and Disposal activities are part of the RL processes.
For the professionals in the sample who have up to 10 years of experience, the scenario presents eleven activities that, in their opinion, are certainly part of the reverse logistics processes, namely: Integration, Gatekeeping, Waste Acquisition, Collection, Transport, Inspection/Test, Warehousing, Disassembly, Classification, Recycling, and Redistribution. Therefore, considering the analysis of means by the class of respondents presented, it is important to analyze and minimize the gaps in understanding among the professionals who work directly with RL processes. According to Quesada [88], RL still has a profusion of different related terms, and the very concept of RL has been changing over time [27], which can contribute to possible doubts (or differences of understanding) among professionals about the inclusion of some activities in the RL processes.
From the results analysis of Figure 3 and aiming at greater results robustness, it was decided to organize the RL activities via TOPSIS to better understand the perception of RL professionals working in Brazil. As presented in the methodological procedures section, the data collected through the survey were divided into three different groups, considering the experience of the respondent experts. Group 1 is characterized by having more than 20 years of experience, group 2 has between 11 and 20 years of experience, and group 3 has up to 10 years of experience. Then, the average of the marks assigned by each group for each goal was calculated, as shown in Table 5.
Then, the normalization of the values in Table 5 was performed using Equation (1), shown in Section 3, resulting in Matrix R (Table 6) with the normalized values. Then, the weights were assigned to each group of respondents considering their length of experience (experts with more than 20 years of experience received a weight of 50%, specialists with experience between 11 and 20 years received a weight of 30%, and specialists with up to 10 years of experience received a weight of 20%), obtaining the Matrix V (Table 7).
Table 8 presents the positive ideal solution and the negative ideal solution. These data are necessary to calculate the distances from the positive ideal solution, the distance from the negative ideal solution, and the Ci* coefficient (Table 9). Finally, the ordering of the items was carried out based on the values of the coefficient (Ci*) obtained. The result of such ordering is shown in Table 10.
Analyzing the calculated averages (not yet considering the weights attributed to each group), it is possible to see that professionals involved with RL processes in Brazil still have many doubts regarding which activities belong to the RL process. The TOPSIS result ranked the activities found in the literature and discussed them as belonging to the RL processes, considering the grades given by the professionals for each activity and the weights attributed to the groups. It is noteworthy that the three activities listed in the last positions (renovation, repair, and remanufacture) are those in which professionals have less uncertainty that they are not part of the RL processes. That is, this does not mean that these activities are not involved in processes of RL in Brazilian industries.
The first three activities listed by TOPSIS, “Transport”, “Integration”, and “Collection”, received coefficients greater than 0.80; that is, in the opinion of the professionals, they are sure that such activities are part of the RL process. According to the literature considered in this study, the activity of “Transport” was observed in 39 articles. Among these, only [43] presented a brief description: “moving secondary assets along the processing stream”. In other words, it is an activity solely related to the movement of the material (transportation, uploading/downloading, handling) between facilities or activities in the reverse channels.
Integration, according to [63], is also called Coordinating System, the first and most important key element of the RL process since it is responsible for this system’s overall management and performance. It also seeks to integrate the whole RL process’s stages by information sharing between all reverse channel members, exactly as a reverse supply chain. In this step, fundamental logistics information still in gross (or aggregated) mode will be made available to support decisions, especially in the starting (Waste Acquisition) and ending (Redistribution) stages of the RL process. Another important point for “Integration is information technology which, according to Gimenez et al. [89] strengthens the relationship between environmental practices and environmental performance.
Thirdly, collecting appears as an activity belonging to the RL process in the professionals’ opinion. It constitutes the consolidation of selected waste (based on information from gatekeeping) from generating sources facilities (based on information from waste acquisition) to processing centers, in which the inspection/testing, disassembly, and sorting processes take place. This is the general way in which this process is presented in the literature [42,43,44]. The intermediate activities in the ranking represent the professionals’ uncertainty as to their belonging in the RL process. It can be seen, then, that out of the sixteen analyzed, ten have this classification, which demonstrates a high level of uncertainty by professionals regarding the activities that are a part of the RL process. In other words, there is still a lot of uncertainty about the belonging of most activities considered in the set of processes that make up the RL, which is one of the main findings of this research.
Finally, it is noteworthy that the results presented here, for the most part, do not converge with the results presented in the percentage distribution table of the most-cited RL activities in the literature survey carried out (Table 2). For example, the integration activity, identified by professionals participating in this study as having a low level of uncertainty as to whether it belongs to the LR process, has the lowest occurrence in the articles considered in Table 2.
Enabling the reduction of uncertainties and increasing reliability in the planning, implementation, and control of logistics operations, the reverse channels will likely have the best sustainable performance in the services and products offered. Additionally, Refs. [90,91,92] emphasizes that through a good definition of logistics processes, both economic and environmental performance can be achieved simultaneously, consequently contributing to the achievement of sustainable goals. Other sustainable contributions arising from a coherent definition of RL processes can be generated through route optimization, packaging optimization, use of recycled packaging, and total reduction of the carbon footprint [93].
According to the results achieved, it is possible to perceive that the correct understanding of the processes and activities that make up certain production systems is essential for achieving sustainable goals [2]. Furthermore, Ref. [94] also highlights that the importance of a systems understanding of sustainability can be affirmed based on the contribution that systems thinking and systems practice can provide to make sustainability deeper if one considers the contributions that a cybernetic insight can bring. Another point to be considered in achieving sustainable goals and objectives is the impacts caused by the COVID-19 pandemic [95], which compromised production systems, supply chains, and logistics networks around the world [96,97].
Additionally, considering the transport, integration, and collection activities (the first in the ranking), it is important to highlight the need to insert concepts of automation in the development of such activities as a future path in logistics networks to enhance the development of such operations in RL systems. Ref. [98] highlights the importance of applications that provide the exchange of information between those involved in the logistics network. Ref. [99] further highlights more specifically that automation includes application area planning, sourcing, material handling, distribution, and also reverse logistics activities.

5. Conclusions

Based on the results presented, it is concluded that the main objective proposed in this study was achieved since it was possible to identify the level of uncertainty about the activities that make up the RL processes in the opinion of professionals working in Brazil. A set of 16 activities was considered to develop a research instrument, and it was used in a survey with 38 professionals in the LR area. Considering the importance of Reverse Logistics (RL) to the fulfillment of the National Solid Waste Policy (NSWP) and the potential RL contributions to the effective development of activities regarded to the Sustainable Development Goals (SDG), especially SDGs 9 and 12, knowing which activities should be part of RL process, especially in specific contexts, is imperative. Considering the results achieved, it is possible to perceive the importance of identifying future challenges of global logistics networks, such as the need to meet sustainable guidelines in the provision of RL services and, in addition, the challenges for the insertion of elements of digitization in logistics processes, such as automation.
The results achieved in this research can contribute to theory and practice in the RL area. From a theoretical point of view, the findings presented here can serve as a basis for the expansion of debates by researchers in the field, since they detail the RL activities that generate greater uncertainty regarding their belonging to RL processes among professionals in the field, thus serving as a basis for the development of studies that aim to mitigate such understandings. From a practical point of view, the results can contribute to managers involved in the RL process and who aim for greater consistency in the definition of activities that are part of the processes in which they are managing. They can use results to help them in planning actions to improve the development and control of their logistics activities in the reverse channels. As a research limitation, its exploratory character stands out, and consequently, its results cannot be generalized to other geographic contexts that are not considered in this study.
As a proposal for future research: (a) apply the study in other geographic contexts; (b) define a training plan for managers in the RL area with the aim to broaden the understanding of activities that belong to the RL processes; and (c) measure the degree of importance attributed by professionals working in the area to each activity belonging to the RL processes.

Author Contributions

Conceptualization, V.W.B.M. and D.R.d.L.N.; Formal analysis, V.W.B.M. and A.C.S.M.; Investigation, A.C.S.M. and D.R.d.L.N.; Methodology, V.W.B.M.; Supervision, R.B. and A.C.S.M.; Validation, V.W.B.M.; Visualization, V.d.M.N.N. and R.B.; Writing—original draft, V.W.B.M. and A.C.S.M.; Writing—review & editing, V.W.B.M. and A.E.B.J. All authors have read and agreed to the published version of the manuscript.

Funding

This research received no external funding.

Institutional Review Board Statement

The study was conducted following the Declaration of Helsinki, and approved by the Ethics Committee of Universidade do Estado do Pará, protocol code CAAE: 46004221.2.0000.5174, date of approval on 4 May 2021.

Informed Consent Statement

Informed consent was obtained from all subjects involved in the study.

Data Availability Statement

Conflicts of Interest

The authors declare no conflict of interest.

References

  1. Arya, P.; Srivastava, M.K.; Jaiswal, M.P. Modelling environmental and economic sustainability of logistics. Asia-Pac. J. Bus. Adm. 2020, 12, 73–94. [Google Scholar] [CrossRef]
  2. Nobre, A.V.; Oliveira, C.C.R.; Nunes, D.R.D.L.; Melo, A.C.S.; Guimarães, G.E.; Anholon, R.; Martins, V.W.B. Analysis of Decision Parameters for Route Plans and Their Importance for Sustainability: An Exploratory Study Using the TOPSIS Technique. Logistics 2022, 6, 32. [Google Scholar] [CrossRef]
  3. Trochu, J.; Chaabane, A.; Ouhimmou, M. A two-stage stochastic optimization model for reverse logistics network design under dynamic suppliers’ locations. Waste Manag. 2019, 95, 569–583. [Google Scholar] [CrossRef] [PubMed]
  4. Morgan, T.R.; Tokman, M.; Richey, R.G.; Defee, C. Resource commitment and sustainability: A reverse logistics performance process model. Int. J. Phys. Distrib. Logist. Manag. 2018, 46, 293–315. [Google Scholar] [CrossRef]
  5. Pushpamali, N.; Agdas, D.; Rose, T.M. A Review of Reverse Logistics: An Upstream Construction Supply Chain Perspective. Sustainability 2019, 11, 4143. [Google Scholar] [CrossRef]
  6. Ruiz-Torres, A.J.; Cardoza, G.; Kuula, M.; Oliver, Y.; Rosa-Polanco, H. Logistic services in the Caribbean region: An analysis of collaboration, innovation capabilities and process improvement. Acad. Rev. Latinoam. Adm. 2018, 31, 534–552. [Google Scholar] [CrossRef]
  7. Agrawal, S.; Singh, R.K.; Murtaza, Q. A literature review and perspectives in reverse logistics. Resour. Conserv. Recycl. 2015, 97, 76–92. [Google Scholar] [CrossRef]
  8. Morgan, T.R.; Richey, R.G., Jr.; Autry, C.W. Developing a reverse logistics competency. Int. J. Phys. Distrib. Logist. Manag. 2016, 46, 293–315. [Google Scholar] [CrossRef]
  9. Brandão, R.; Edwards, D.J.; Hosseini, M.R.; Melo, A.C.S.; Macêdo, A.N. Reverse supply chain conceptual model for construction and demolition waste. Waste Manag. Res. 2021, 39, 1341–1355. [Google Scholar] [CrossRef]
  10. Al-Hakimi, M.A.; Borade, D.B.; Saleh, M.H. The mediating role of innovation between entrepreneurial orientation and supply chain resilience. Asia-Pac. J. Bus. Adm. 2021. [Google Scholar] [CrossRef]
  11. Siew-Phaik, L.; Downe, A.G.; Sambasivan, M. Strategic alliances with suppliers and customers in a manufacturing supply chain: From a manufacturer’s perspective. Asia-Pac. J. Bus. Adm. 2013, 5, 192–214. [Google Scholar] [CrossRef]
  12. Flygansvær, B.; Samuelsen, A.G.; Støyle, R.V. The power of nudging: How adaptations in reverse logistics systems can improve end-consumer recycling behavior. Int. J. Phys. Distrib. Logist. Manag. 2021, 51, 958–977. [Google Scholar] [CrossRef]
  13. Velasco, N.; Moreno, J.-P.; Rebolledo, C. Logistics practices in healthcare organizations in Bogota. Acad. Rev. Latinoam. De Adm. 2018, 31, 519–533. [Google Scholar] [CrossRef]
  14. Scarpellini, S.; Portillo-Tarragona, P.; Marin-Vinuesa, L.M. Green patents: A way to guide the eco-innovation success process? Acad. Rev. Latinoam. Adm. 2019, 32, 225–243. [Google Scholar] [CrossRef]
  15. Govindan, K.; Bouzon, M. From a literature review to a multi-perspective framework for reverse logistics barriers and drivers. J. Clean. Prod. 2018, 187, 318–337. [Google Scholar] [CrossRef]
  16. Hiruy, K.; Eversole, R. The contribution of research for development to the sustainable development goals: Lessons from fisheries research in Southeast Asia and the Pacific Island countries. Int. J. Sustain. Dev. World Ecol. 2019, 27, 153–166. [Google Scholar] [CrossRef]
  17. Pärli, R.; Fischer, M. Implementing the Agenda 2030—What is the role of forums? Int. J. Sustain. Dev. World Ecol. 2020, 27, 443–457. [Google Scholar] [CrossRef]
  18. Khalid, A.M.; Sharma, S.; Dubey, A.K. Concerns of developing countries and the sustainable development goals: Case for India. Int. J. Sustain. Dev. World Ecol. 2020, 28, 303–315. [Google Scholar] [CrossRef]
  19. Brasil. Lei n. 12.305, de 2 de agosto de 2010, que Institui a Política Nacional de Resíduos Sólidos; altera a Lei n° 9.605, de 12 de Fevereiro de 1998; e dá Outras Providências; e Legislação Correlata, 3rd ed.; Câmara dos Deputados: Brasilia, Brasil, 2016; p. 77. [Google Scholar]
  20. Dowlatshahi, S. Developing a theory of reverse logistics. INFORMS J. Appl. Anal. 2000, 30, 143–155. [Google Scholar] [CrossRef]
  21. Fleischmann, M.; Bloemhof-Ruwaard, J.M.; Dekker, R.; van der Laan, E.; van Nunen, J.A.; Van Wassenhove, L.N. Quantitative models for reverse logistics: A review. Eur. J. Oper. Res. 1997, 103, 1–17. [Google Scholar] [CrossRef]
  22. Fleischmann, M.; Beullens, P.; Bloemhof-Ruwaard, J.M.; VAN Wassenhove, L.N. The impact of product recovery on logistics network design. Prod. Oper. Manag. 2001, 10, 156–173. [Google Scholar] [CrossRef]
  23. de Brito, M.P.; Dekker, R. A Framework for Reverse Logistics. In Reverse Logistics; Springer: Berlin/Heidelberg, Germany, 2004; pp. 3–27. [Google Scholar] [CrossRef]
  24. Cline, A.; Lemay, S.; Helms, M.M. A framework for reverse logistics: The case of post-consumer carpet in the US. Int. J. Commer. Manag. 2015, 25, 466–489. [Google Scholar] [CrossRef]
  25. Shi, X.; Li, L.X.; Yang, L.; Li, Z.; Choi, J.Y. Information flow in reverse logistics: An industrial information integration study. Inf. Technol. Manag. 2012, 13, 217–232. [Google Scholar] [CrossRef]
  26. Chan, F.T.; Chan, H.K.; Jain, V. A framework of reverse logistics for the automobile industry. Int. J. Prod. Res. 2012, 50, 1318–1331. [Google Scholar] [CrossRef]
  27. Rubio, S.; Jiménez-Parra, B. Reverse logistics: Concept, evolution and marketing challenges. In Optimization and Decision Support Systems for Supply Chains; Springer: Cham, Switzerland, 2017; pp. 41–61. [Google Scholar] [CrossRef]
  28. Stević, Z.; Nunić, D.; Badi, I.; Karabašević, D. Evaluation of dimensions of SERVQUAL model for determining quality of processes in reverse logistics using a Delphi–Fuzzy PIPRECIA model. Rom. J. Econ. Forecast. 2022, 25, 139–159. [Google Scholar]
  29. Stević, Ž.; Tanackov, I.; Puška, A.; Jovanov, G.; Vasiljević, J.; Lojaničić, D. Development of Modified SERVQUAL–MCDM Model for Quality Determination in Reverse Logistics. Sustainability 2021, 13, 5734. [Google Scholar] [CrossRef]
  30. Fazlollahtabar, H. Operations and inspection Cost minimization for a reverse supply chain. Oper. Res. Eng. Sci. Theory Appl. 2019, 1, 91–107. [Google Scholar] [CrossRef]
  31. Bienstock, C.C.; Amini, M.; Roberts, D.R. Reengineering a reverse supply chain for product returns services. Int. J. Bus. Perform. Supply Chain Model. 2011, 3, 335. [Google Scholar] [CrossRef]
  32. Abdessalem, M.; Alouane, A.B.H.; Riopel, D. Decision modelling of reverse logistics systems: Selection of recovery operations for end-of-life products. Int. J. Logist. Syst. Manag. 2012, 13, 139. [Google Scholar] [CrossRef]
  33. Škapa, R.; Klapalová, A. Reverse logistics in Czech companies: Increasing interest in performance measurement. Manag. Res. Rev. 2012, 35, 676–692. [Google Scholar] [CrossRef]
  34. Ravi, V. Reverse Logistics Operations in Automobile Industry: A Case Study Using SAP-LAP Approach. Glob. J. Flex. Syst. Manag. 2014, 15, 295–303. [Google Scholar] [CrossRef]
  35. Peretti, U.; Tatham, P.; Wu, Y.; Sgarbossa, F. Reverse logistics in humanitarian operations: Challenges and opportunities. J. Humanit. Logist. Supply Chain Manag. 2015, 5, 253–274. [Google Scholar] [CrossRef]
  36. Pal, R. Value creation through reverse logistics in used clothing networks. Int. J. Logist. Manag. 2017, 28, 864–906. [Google Scholar] [CrossRef]
  37. Fernandes, S.M.; Rodriguez, C.M.T.; Bornia, A.C.; Trierweiller, A.C.; Da Silva, S.M.; Freire, P.D.S. Systematic literature review on the ways of measuring the of reverse logistics performance. Gestão Produção 2017, 25, 175–190. [Google Scholar] [CrossRef][Green Version]
  38. Borges, L.C.; Macedo, V.B.H.; Celestino, O.J.D.S. Reverse logistics in são Sebastião and Ilha Bela handmade breweries: Advantages and challenges. Indep. J. Manag. Prod. 2020, 11, 1708–1723. [Google Scholar] [CrossRef]
  39. Agrawal, S.; Singh, R.K.; Murtaza, Q. Disposition decisions in reverse logistics by using AHP-fuzzy TOPSIS approach. J. Model. Manag. 2016, 11, 932–948. [Google Scholar] [CrossRef]
  40. Godichaud, M.; Tchangani, A.; Pérès, F.; Iung, B. Sustainable management of end-of-life systems. Prod. Plan. Control 2011, 23, 216–236. [Google Scholar] [CrossRef]
  41. Bai, C.; Sarkis, J. Flexibility in reverse logistics: A framework and evaluation approach. J. Clean. Prod. 2013, 47, 306–318. [Google Scholar] [CrossRef]
  42. Bai, C.; Sarkis, J. Integrating and extending data and decision tools for sustainable third-party reverse logistics provider selection. Comput. Oper. Res. 2019, 110, 188–207. [Google Scholar] [CrossRef]
  43. Zouari, A. Relationships between eco-design, resources commitment and reverse logistics: Conceptual framework. J. Adv. Mech. Des. Syst. Manuf. 2019, 13, JAMDSM0039. [Google Scholar] [CrossRef]
  44. Alshamsi, A.; Diabat, A. A Genetic Algorithm for Reverse Logistics network design: A case study from the GCC. J. Clean. Prod. 2017, 151, 652–669. [Google Scholar] [CrossRef]
  45. Conti, M.; Orcioni, S. Cloud-based sustainable management of electrical and electronic equipment from production to end-of-life. Int. J. Qual. Reliab. Manag. 2019, 36, 98–119. [Google Scholar] [CrossRef]
  46. Meyer, A.; Niemann, W.; Mackenzie, J.; Lombaard, J. Drivers and barriers of reverse logistics practices: A study of large grocery retailers in South Africa. J. Transp. Supply Chain Manag. 2017, 11, 1–16. [Google Scholar] [CrossRef]
  47. Santana, J.C.C.; Guerhardt, F.; Franzini, C.E.; Ho, L.L.; Júnior, S.E.R.R.; Cânovas, G.; Yamamura, C.L.K.; Vanalle, R.M.; Berssaneti, F.T. Refurbishing and recycling of cell phones as a sustainable process of reverse logistics: A case study in Brazil. J. Clean. Prod. 2020, 283, 124585. [Google Scholar] [CrossRef]
  48. Uriarte-Miranda, M.-L.; Caballero-Morales, S.-O.; Martinez-Flores, J.-L.; Cano-Olivos, P.; Akulova, A.-A. Reverse Logistic Strategy for the Management of Tire Waste in Mexico and Russia: Review and Conceptual Model. Sustainability 2018, 10, 3398. [Google Scholar] [CrossRef]
  49. Agrawal, S.; Singh, R.K.; Murtaza, Q. Disposition decisions in reverse logistics: Graph theory and matrix approach. J. Clean. Prod. 2016, 137, 93–104. [Google Scholar] [CrossRef]
  50. Eltayeb, T.K.; Suhaiza, Z. Drivers on the reverse logistics: Evidence from Malaysian certified companies Tarig Khidir Eltayeb and Suhaiza Hanim Mohamad Zailani. Int. J. Logist. Syst. Manag. 2011, 10, 375–397. [Google Scholar]
  51. Fagundes, L.D.; Amorim, E.S.; Lima, R.D.S. Action Research in Reverse Logistics for End-Of-Life Tire Recycling. Syst. Pract. Action Res. 2017, 30, 553–568. [Google Scholar] [CrossRef]
  52. Tsoulfas, G.T.; Pappis, C.P.; Minner, S. An environmental analysis of the reverse supply chain of SLI batteries. Resour. Conserv. Recycl. 2002, 36, 135–154. [Google Scholar] [CrossRef]
  53. Xia, W.-H.; Jia, D.-Y.; He, Y.-Y. The remanufacturing reverse logistics management based on Closed-loop supply chain management processes. Procedia Environ. Sci. 2011, 11, 351–354. [Google Scholar] [CrossRef]
  54. Gayialis, S.P.; Kechagias, E.P.; Konstantakopoulos, G.D.; Papadopoulos, G.A. A Predictive Maintenance System for Reverse Supply Chain Operations. Logistics 2022, 6, 4. [Google Scholar] [CrossRef]
  55. Gonçalves, M.; Pereira, N.; Terence, M.C. Application of reverse logistics for the recycling of polypropylene waste and oyster shell. Defect Diffus. Forum 2019, 391, 101–105. [Google Scholar] [CrossRef]
  56. Ang, A.; Tan, A. Designing reverse logistics network in an omnichannel environment in Asia. LogForum 2018, 14, 519–533. [Google Scholar] [CrossRef]
  57. Macedo, P.B.; Alem, D.; Santos, M.; Junior, M.L.; Moreno, A. Hybrid manufacturing and remanufacturing lot-sizing problem with stochastic demand, return, and setup costs. Int. J. Adv. Manuf. Technol. 2015, 82, 1241–1257. [Google Scholar] [CrossRef]
  58. Sellitto, M.A. Reverse logistics activities in three companies of the process industry. J. Clean. Prod. 2018, 187, 923–931. [Google Scholar] [CrossRef]
  59. Akdoğan, M.; Coşkun, A. Drivers of Reverse Logistics Activities: An Empirical Investigation. Procedia-Soc. Behav. Sci. 2012, 58, 1640–1649. [Google Scholar] [CrossRef]
  60. Chen, H.-K.; Chou, H.-W.; Chiu, Y.-C. On the modeling and solution algorithm for the reverse logistics recycling flow equilibrium problem. Transp. Res. Part C Emerg. Technol. 2007, 15, 218–234. [Google Scholar] [CrossRef]
  61. Sangwan, K.S. Key activities, decision variables and performance indicators of reverse logistics. Procedia CIRP 2017, 61, 257–262. [Google Scholar] [CrossRef]
  62. Turcu, V.A. The opportunity to evaluate performance indicators when implementing the quality management system within reverse logistics organizational activities. Qual.-Access Success 2017, 18, 96–98. [Google Scholar]
  63. Chaves, G.D.L.D.; Giuriatto, N.T.; Ferreira, K.A. Reverse logistics performance measures: A survey of Brazilian companies. Braz. J. Oper. Prod. Manag. 2020, 17, 1–18. [Google Scholar] [CrossRef]
  64. Nel, J.D.; Badenhorst, A. A conceptual framework for reverse logistics challenges in e-commerce. Int. J. Bus. Perform. Manag. 2020, 21, 114. [Google Scholar] [CrossRef]
  65. Starostka-Patyk, M. Defective products management with reverse logistics processes in the furniture production companies. Pol. J. Manag. Stud. 2019, 20, 502–515. [Google Scholar] [CrossRef]
  66. Brix-Asala, C.; Hahn, R.; Seuring, S. Reverse logistics and informal valorisation at the Base of the Pyramid: A case study on sustainability synergies and trade-offs. Eur. Manag. J. 2016, 34, 414–423. [Google Scholar] [CrossRef]
  67. Kazancoglu, I.; Kazancoglu, Y.; Yarimoglu, E.; Kahraman, A. A conceptual framework for barriers of circular supply chains for sustainability in the textile industry. Sustain. Dev. 2020, 28, 1477–1492. [Google Scholar] [CrossRef]
  68. Tsai, W.-H.; Hung, S.-J. Treatment and recycling system optimisation with activity-based costing in WEEE reverse logistics management: An environmental supply chain perspective. Int. J. Prod. Res. 2009, 47, 5391–5420. [Google Scholar] [CrossRef]
  69. Razik, M.; Radi, B.; Okar, C. Critical Success Factors for Warehousing Performance Improve- ment in Moroccan Companies. Int. J. Bus. Manag. Invent. 2016, 5, 32–40. [Google Scholar]
  70. Agrawal, S.; Singh, R.; Murtaza, Q. Outsourcing decisions in reverse logistics: Sustainable balanced scorecard and graph theoretic approach. Resour. Conserv. Recycl. 2016, 108, 41–53. [Google Scholar] [CrossRef]
  71. Sahebi, H.; Ranjbar, S.; Teymouri, A. Investigating different reverse channels in a closed-loop supply chain: A power perspective. Oper. Res. 2021, 22, 1939–1985. [Google Scholar] [CrossRef]
  72. Liu, Y.; Wood, L.C.; Venkatesh, V.; Zhang, A.; Farooque, M. Barriers to sustainable food consumption and production in China: A fuzzy DEMATEL analysis from a circular economy perspective. Sustain. Prod. Consum. 2021, 28, 1114–1129. [Google Scholar] [CrossRef]
  73. Su, Y.; Chen, J.; Si, H.; Wu, G.; Zhang, R.; Lei, W. Decision-making interaction among stakeholders regarding construction and demolition waste recycling under different power structures. Waste Manag. 2021, 131, 491–502. [Google Scholar] [CrossRef] [PubMed]
  74. Rau, H.; Budiman, S.D.; Monteiro, C.N. Improving the sustainability of a reverse supply chain system under demand uncertainty by using postponement strategies. Waste Manag. 2021, 131, 72–87. [Google Scholar] [CrossRef] [PubMed]
  75. Wu, C.-H. A dynamic perspective of government intervention in a competitive closed-loop supply chain. Eur. J. Oper. Res. 2021, 294, 122–137. [Google Scholar] [CrossRef]
  76. Fu, R.; Qiang, Q.P.; Ke, K.; Huang, Z. Closed-loop supply chain network with interaction of forward and reverse logistics. Sustain. Prod. Consum. 2021, 27, 737–752. [Google Scholar] [CrossRef]
  77. Golpîra, H.; Javanmardan, A. Decentralized Decision System for Closed-Loop Supply Chain: A Bi-Level Multi-Objective Risk-Based Robust Optimization Approach. Comput. Chem. Eng. 2021, 154, 107472. [Google Scholar] [CrossRef]
  78. Nag, U.; Sharma, S.K.; Govindan, K. Investigating drivers of circular supply chain with product-service system in automotive firms of an emerging economy. J. Clean. Prod. 2021, 319, 128629. [Google Scholar] [CrossRef]
  79. Guo, S.; Shen, B.; Choi, T.-M.; Jung, S. A review on supply chain contracts in reverse logistics: Supply chain structures and channel leaderships. J. Clean. Prod. 2017, 144, 387–402. [Google Scholar] [CrossRef]
  80. Hosseini-Motlagh, S.-M.; Nematollahi, M.; Johari, M.; Choi, T.-M. Reverse supply chain systems coordination across multiple links with duopolistic third party collectors. IEEE Trans. Syst. Man Cybern. Syst. 2019, 50, 4882–4893. [Google Scholar] [CrossRef]
  81. Chen, Z.-S.; Zhang, X.; Govindan, K.; Wang, X.-J.; Chin, K.-S. Third-party reverse logistics provider selection: A computational semantic analysis-based multi-perspective multi-attribute decision-making approach. Expert Syst. Appl. 2020, 166, 114051. [Google Scholar] [CrossRef]
  82. Straube, F.; Junge, A.L.; Verhoeven, P.; Mansfeld, M.; Reipert, J. Pathway of Digital Transformation in Logistics: Best Practice Concepts and Future Developments; Technische Universität Berlin: Berlin, Germany, 2019. [Google Scholar]
  83. Gerlach, B.; Zarnitz, S.; Nitsche, B.; Straube, F. Digital supply chain Twins—Conceptual clarification, use cases and benefits. Logistics 2021, 5, 86. [Google Scholar] [CrossRef]
  84. Nitsche, B. Decrypting the Belt and Road Initiative: Barriers and Development Paths for Global Logistics Networks. Sustainability 2020, 12, 9110. [Google Scholar] [CrossRef]
  85. Martins, V.W.B.; Anholon, R.; Sanchez-Rodrigues, V.; Filho, W.L.; Quelhas, O.L.G. Brazilian logistics practitioners’ perceptions on sustainability: An exploratory study. Int. J. Logist. Manag. 2020, 32, 190–213. [Google Scholar] [CrossRef]
  86. Singh, R.K.; Gupta, A.; Kumar, A.; Khan, T.A. Ranking of barriers for effective maintenance by using TOPSIS approach. J. Qual. Maint. Eng. 2016, 22, 18–34. [Google Scholar] [CrossRef]
  87. Christmann, A.; Van Aelst, S. Robust estimation of Cronbach’s alpha. J. Multivar. Anal. 2006, 97, 1660–1674. [Google Scholar] [CrossRef]
  88. Quesada, I.F. The concept of reverse logistics: A review of literature the concept of reverse logistics. In Proceedings of the Annual Conference for Nordic Researchers in Logistics, Oulu, Finland, 21 June 2003; pp. 464–478. [Google Scholar]
  89. Gimenez, C.; Sierra, V.; Rodon, J.; Rodriguez, J.A. The role of information technology in the environmental performance of the firm: The interaction effect between information technology and environmental practices on environmental performance. Acad. Rev. Latinoam. Adm. 2015, 28, 273–291. [Google Scholar] [CrossRef]
  90. Abdussalam, O.; Trochu, J.; Fello, N.; Chaabane, A. Recent advances and opportunities in planning green petroleum supply chains: A model-oriented review. Int. J. Sustain. Dev. World Ecol. 2021, 28, 524–539. [Google Scholar] [CrossRef]
  91. Guarnieri, P.; e Silva, L.C.; Vieira, B. How to Assess Reverse Logistics of e-Waste Considering a Multicriteria Perspective? A Model Proposition. Logistics 2020, 4, 25. [Google Scholar] [CrossRef]
  92. Ali, A.; Melkonyan, A.; Noche, B.; Gruchmann, T. Developing a Sustainable Logistics Service Quality Scale for Logistics Service Providers in Egypt. Logistics 2021, 5, 21. [Google Scholar] [CrossRef]
  93. Somsuk, N.; Laosirihongthong, T. Prioritization of applicable drivers for green supply chain management implementation toward sustainability in Thailand. Int. J. Sustain. Dev. World Ecol. 2016, 24, 175–191. [Google Scholar] [CrossRef]
  94. Donaires, O.S.; Cezarino, L.; Caldana, A.C.F.; Liboni, L. Sustainable development Goals—An analysis of outcomes. Kybernetes 2019, 48, 183–207. [Google Scholar] [CrossRef]
  95. Anholon, R.; Rampasso, I.S.; Martins, V.W.B.; Serafim, M.P.; Filho, W.L.; Quelhas, O.L.G. COVID-19 and the targets of SDG 8: Reflections on Brazilian scenario. Kybernetes 2021, 50, 1679–1686. [Google Scholar] [CrossRef]
  96. Heydari, J.; Mirzajani, Z. Supply chain coordination under nonlinear cap and trade carbon emission function and demand uncertainty. Kybernetes 2020, 50, 284–308. [Google Scholar] [CrossRef]
  97. Sawangwong, A.; Chaopaisarn, P. The impact of applying knowledge in the technological pillars of Industry 4.0 on supply chain performance. Kybernetes 2021. [Google Scholar] [CrossRef]
  98. Nitsche, B.; Straube, F.; Wirth, M. Application areas and antecedents of automation in logistics and supply chain management: A conceptual framework. Supply Chain Forum. Int. J. 2021, 22, 223–239. [Google Scholar] [CrossRef]
  99. Nitsche, B. Exploring the Potentials of Automation in Logistics and Supply Chain Management: Paving the Way for Autonomous Supply Chains. Logistics 2021, 5, 51. [Google Scholar] [CrossRef]
Figure 1. Counting evolution of the papers that mention or treat RL processes or activities in the literature.
Figure 1. Counting evolution of the papers that mention or treat RL processes or activities in the literature.
Logistics 06 00060 g001
Figure 2. Equations and matrices are used in the steps of the TOPSIS technique. Source: Adapted from [86].
Figure 2. Equations and matrices are used in the steps of the TOPSIS technique. Source: Adapted from [86].
Logistics 06 00060 g002
Figure 3. Averages are assigned to each activity by respondents’ experience. Source: Authors (2021).
Figure 3. Averages are assigned to each activity by respondents’ experience. Source: Authors (2021).
Logistics 06 00060 g003
Table 1. Reverse logistics definitions in the literature most cited in the last 20 years.
Table 1. Reverse logistics definitions in the literature most cited in the last 20 years.
AuthorsReverse Logistics Definitions
The Council of Logistics Management (CLM) (Stock, 1992)“...the term often used to refer to the role of logistics in recycling, waste disposal, and management of hazardous materials; a broader perspective includes all relating to logistics activities carried out in source reduction, recycling, substitution, reuse of materials, and disposal.”
Rogers and Tibben-Lembke (1998)“The process of planning, implementing, and controlling the efficient, cost-effective flow of raw materials, in-process inventory, finished goods, and related information from the point of consumption to the point of origin for the purpose of recapturing value or proper disposal.”
The European Working Group on Reverse Logistics, RevLog—1998“The process of planning, implementing and controlling flows of raw materials, in process inventory, and finished goods, from a manufacturing, distribution or use point, to a point of recovery or point of proper disposal.”
Adapted from Brito and Dekker [23].
Table 2. Percentage distribution of most-cited RL process activities in the survey.
Table 2. Percentage distribution of most-cited RL process activities in the survey.
Activities% DistributionActivities% Distribution
Collection76.86%Sorting36.36%
Disposal61.16%Redistribution33.88%
Remanufacturing55.37%Transport32.23%
Inspection/Testing51.24%Warehousing27.27%
Recycling51.24%Refurbishing25.62%
Repair40.50%Waste Acquisition12.40%
Disassembly38.84%Gatekeeping9.92%
Direct Reuse38.84%Integration4.96%
Table 3. Summary of most-cited RL activities definitions in the survey.
Table 3. Summary of most-cited RL activities definitions in the survey.
ActivitiesDescription
CollectionIt constitutes the consolidation of selected waste from generating sources facilities to processing centers [42,43,44].
Proper DisposalFinal disposal occurs when items (product, part, module, or material) are no longer subject to value recovery, in which case the possible destinations for final disposal are landfills or incineration
[35,37,45,46,47,48,49,50]. The proper disposal must follow the public administration’s legal guidelines [24,26,51,52].
RemanufacturingRefers to the insertion of waste, products, or parts in the manufacturing process of a new product, which may involve a reconditioning step [26,50,53,54,55,56,57,58,59,60,61,62].
Inspection/
Testing
This process, in general, has the same objective as Sorting, which is the definition of the appropriate destination for the returned product [7,15,25,43,45,63,64,65].
RecyclingIt constitutes the use of materials recovered from waste or end-of-life products, whether or not this material has its application focused on its original purpose [24,26,32,37,43,45,50,54,55,59,61,66,67,68].
RepairRefers to the maintenance required for a product to return to its original functional state [32,45,51,54,55,59,67].
DisassemblyThis activity simply represents the separation into parts, perhaps due to the simplicity of its concept [26,41,42,52].
Direct ReuseRefers to products for which repair or any processing option are not necessary. Products intended for direct reuse still present adequate conditions of functionality and must reach the end customer through second-hand markets or donations. [26,32,39,45,46,50,55,59,61,67].
SortingIt is a step related to the analysis and general assessment of the conservation status of waste, parts, subparts, or basic components of it [24,26,44].
RedistributionIt consists of all activities related to the effective forwarding of processed materials (i.e., inspected/tested, disassembled, and sorted materials) from processing points to the recovering plants or proper disposal facilities [32,49].
TransportMoving secondary assets along the processing stream [43].
WarehousingIs an important element in the goods distribution activity in all these stages: raw materials, outstanding production, and finished products [69]. Based on the previous definition, we consider warehousing for RL all actions aimed at maintaining the current conservation status of waste to be recovered (i.e., from inspection/testing activity to RL activities before recovery) or the new consumption status of already recovered waste.
RefurbishingRefers to the product upgrade process, often related to technological updates [26,61,67].
Waste AcquisitionCan be also called product acquisition, which is the process of the acquisition of used products, components, or materials from the end users for further processing [7,70].
GatekeepingConstitutes a set of practices, performed usually by retailers, to identify the products which are allowed into the RL system, given back to the user after resolving issues at their end, or are properly disposed [7,49,63].
IntegrationAccording to [63], this activity is also called the coordinating system and constitutes the first key element for the management of reverse flows. Is the most important key element of the system, since it is responsible for the system’s overall management and performance.
Table 4. Percentage of articles in the survey which defined RL process activities.
Table 4. Percentage of articles in the survey which defined RL process activities.
Activities% of PapersActivities% of Papers
Collection2.48%Sorting2.48%
Disposal9.92%Redistribution1.65%
Remanufacturing9.09%Transport0.82%
Inspection/Testing5.76%Warehousing0.82%
Recycling10.74%Refurbishing3.30%
Repair4.95%Waste Acquisition1.65%
Disassembly3.30%Gatekeeping2.48%
Direct Reuse3.26%Integration0.82%
Table 5. Average of the grades of each group for each item.
Table 5. Average of the grades of each group for each item.
ItemsOver 20 YearsBetween 11 and 20 YearsUp to 10 Years
At_014.6004.6434.818
At_023.9004.8574.727
At_033.8004.5004.818
At_044.5004.5004.909
At_054.5004.8574.818
At_063.6004.4294.818
At_074.2004.6435.000
At_083.6004.5004.909
At_093.9004.5004.909
At_103.8004.0004.273
At_113.3003.8574.455
At_123.1004.0714.091
At_133.2004.3574.273
At_144.1004.5714.636
At_154.1004.4294.727
At_163.9004.5714.455
Source: Authors (2021).
Table 6. Matrix R with normalized values.
Table 6. Matrix R with normalized values.
Itemsrij (over 20 Years)rij (between 11 and 20 Years)rij (up to 10 Years)
At_010.290.260.26
At_020.250.270.25
At_030.240.250.26
At_040.290.250.26
At_050.290.270.26
At_060.230.250.26
At_070.270.260.27
At_080.230.250.26
At_090.250.250.26
At_100.240.220.23
At_110.210.220.24
At_120.200.230.22
At_130.200.240.23
At_140.260.260.25
At_150.260.250.25
At_160.250.260.24
Source: Authors (2021).
Table 7. Matrix V weighted values.
Table 7. Matrix V weighted values.
Itemsrij (over 20 Years) × 0.50rij (between 11 and 20 Years) × 0.30rij (up to 10 Years) × 0.20
At_010.150.080.05
At_020.120.080.05
At_030.120.080.05
At_040.140.080.05
At_050.140.080.05
At_060.120.070.05
At_070.130.080.05
At_080.120.080.05
At_090.120.080.05
At_100.120.070.05
At_110.110.060.05
At_120.100.070.04
At_130.100.070.05
At_140.130.080.05
At_150.130.070.05
At_160.120.080.05
Source: Authors (2021).
Table 8. Positive ideal solution and negative ideal solution for access to criteria.
Table 8. Positive ideal solution and negative ideal solution for access to criteria.
Solution CriteriaOver 20 YearsBetween 11 and 20 YearsUp to 10 Years
Positive ideal solution (vj+)0.150.080.05
Negative ideal solution (vj−)0.100.060.04
Source: Authors (2021).
Table 9. Distances from the positive ideal solution, distance from the negative ideal solution, and coefficient Ci*.
Table 9. Distances from the positive ideal solution, distance from the negative ideal solution, and coefficient Ci*.
ItemsDistances from the Positive Ideal Solution (Si+)Distances from the Negative Ideal Solution (Si−)Coefficient (Ci*)
At_010.000.050.92
At_020.020.030.58
At_030.030.030.50
At_040.010.050.87
At_050.000.050.93
At_060.030.020.38
At_070.010.040.74
At_080.030.020.39
At_090.020.030.56
At_100.030.020.43
At_110.050.010.14
At_120.050.000.07
At_130.050.010.17
At_140.020.030.67
At_150.020.030.66
At_160.020.030.55
Source: Authors (2021).
Table 10. Ranking of the items.
Table 10. Ranking of the items.
Position(Ci*)CodeItems
0.93At_05TRANSPORT
0.92At_01INTEGRATION
0.87At_04COLLECTION
0.74At_07WAREHOUSING
0.67At_14RECYCLING
0.66At_15REDISTRIBUTION
0.58At_02GATEKEEPING
0.56At_09SORTING
0.55At_16PROPER DISPOSAL
10°0.50At_03WASTE ACQUISITION
11°0.43At_10DIRECT REUSE
12°0.39At_08DISASSEMBLY
13°0.38At_06INSPECTION/TESTING
14°0.17At_13REMANUFATURING
15°0.14At_11REPAIR
16°0.07At_12REFURBISHING
Source: Authors (2021).
Publisher’s Note: MDPI stays neutral with regard to jurisdictional claims in published maps and institutional affiliations.

Share and Cite

MDPI and ACS Style

Martins, V.W.B.; Nunes, D.R.d.L.; Melo, A.C.S.; Brandão, R.; Braga Júnior, A.E.; Nagata, V.d.M.N. Analysis of the Activities That Make Up the Reverse Logistics Processes and Their Importance for the Future of Logistics Networks: An Exploratory Study Using the TOPSIS Technique. Logistics 2022, 6, 60. https://doi.org/10.3390/logistics6030060

AMA Style

Martins VWB, Nunes DRdL, Melo ACS, Brandão R, Braga Júnior AE, Nagata VdMN. Analysis of the Activities That Make Up the Reverse Logistics Processes and Their Importance for the Future of Logistics Networks: An Exploratory Study Using the TOPSIS Technique. Logistics. 2022; 6(3):60. https://doi.org/10.3390/logistics6030060

Chicago/Turabian Style

Martins, Vitor William Batista, Denilson Ricardo de Lucena Nunes, André Cristiano Silva Melo, Rayra Brandão, Antônio Erlindo Braga Júnior, and Verônica de Menezes Nascimento Nagata. 2022. "Analysis of the Activities That Make Up the Reverse Logistics Processes and Their Importance for the Future of Logistics Networks: An Exploratory Study Using the TOPSIS Technique" Logistics 6, no. 3: 60. https://doi.org/10.3390/logistics6030060

APA Style

Martins, V. W. B., Nunes, D. R. d. L., Melo, A. C. S., Brandão, R., Braga Júnior, A. E., & Nagata, V. d. M. N. (2022). Analysis of the Activities That Make Up the Reverse Logistics Processes and Their Importance for the Future of Logistics Networks: An Exploratory Study Using the TOPSIS Technique. Logistics, 6(3), 60. https://doi.org/10.3390/logistics6030060

Article Metrics

Back to TopTop