Food Authenticity Models for Mytilus galloprovincialis (Mediterranean Mussel): Exploratory Study
Abstract
1. Introduction
2. Materials and Methods
2.1. Experimental Data
2.2. Machine Learning Approaches
2.3. Best Model Selection
2.4. Equipment and Software
3. Results and Discussion
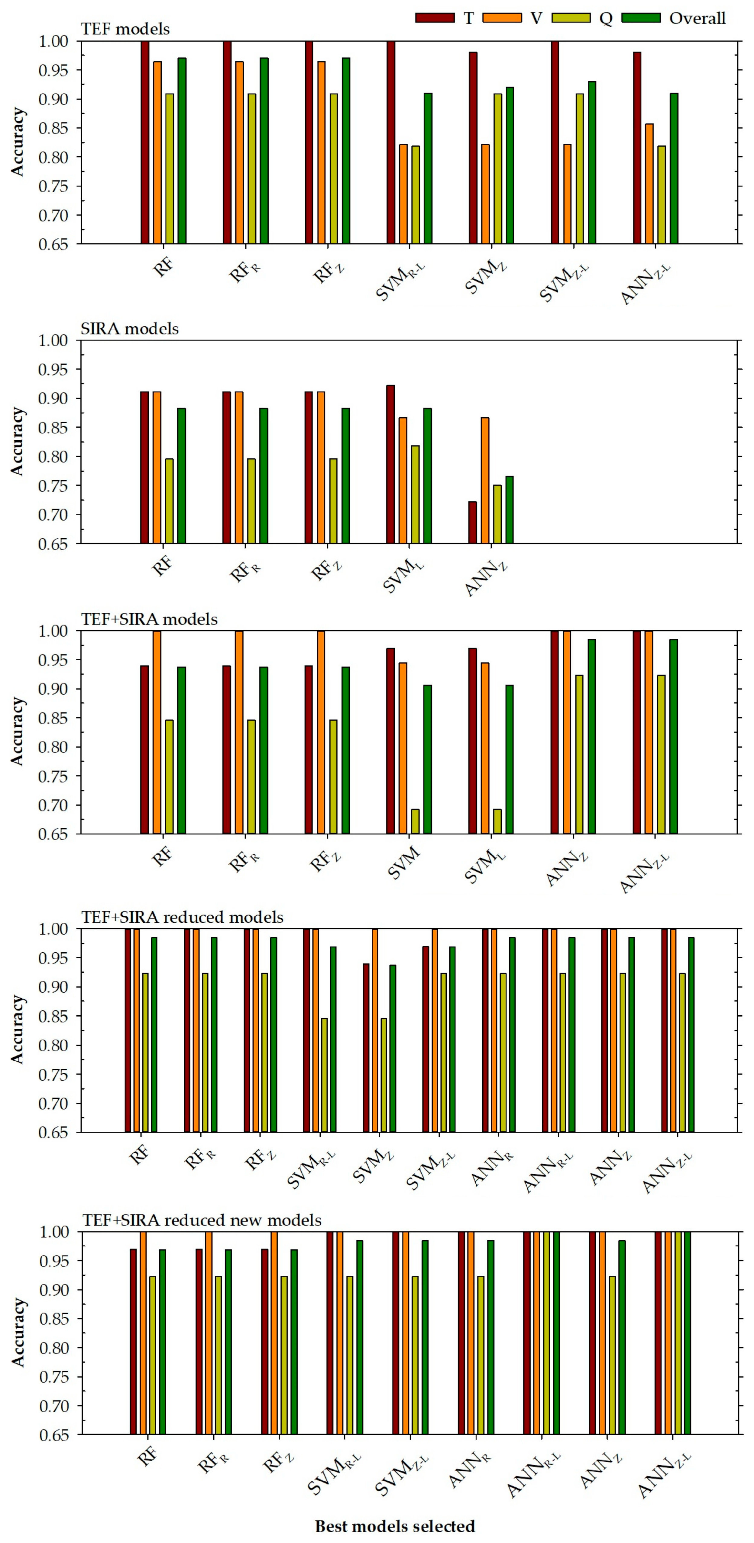
3.1. Models to Predict Region Using Shuffled Sampling
3.1.1. TEF Models
3.1.2. SIRA Models
3.1.3. TEF + SIRA Models
3.1.4. TEF + SIRA Optimised Models
- The first, using the variables proposed by del Rio-Lavín et al. (2022) [40], which chose four input TEF variables based on the Gini index (Pb, Ba, Mn, and Al) and the stable isotope ratios δ13C and δ15N. The choice of these trace elements detected in the shells is also supported by the Kruskal–Wallis test analysis carried out by del Rio-Lavín et al. (2022) (these four elements presented the most significant variations between the different harvesting sites [40]). With these six input variables, the TEF + SIRA reduced models were developed.
- The second way is based on the four TEF most important variables that were chosen according to their importance by the random forest models (TEF models) (the importance is given by the sum of the choice of a specific attribute supplied at a node [45]). In this case, the selected variables were Pb, B, Ba, and Mn, together with the stable isotope ratios δ13C and δ15N, were used to develop the models (TEF + SIRA reduced new models).
- TEF + SIRA reduced models
- TEF + SIRA reduced new models
3.1.5. General Assumptions About the Models Developed Using Shuffled Sampling
- First, among the models that use only one type of variable (TEF vs. SIRA models), the models that exhibit the highest accuracy are generally those developed with a larger number of input variables. It seems clear that a reduced number of variables (SIRA models) shows a certain inability to predict across the different categories. As already mentioned, this may be due both to the low number of input variables used and/or to issues associated with the unequal class distribution among the different data groups. One must also consider the influence that the collection of samples across the different seasons of the year may have.
- On the other hand (second), among the models that use both types of variables, the ones that present the best results are the TEF + SIRA reduced models (in other words, the models developed with the variables proposed by the authors). Considering variable reduction overall, it can be stated that the most important variable selection, aimed at reducing costs and computational load, generally produces better fits than the models that use all variables. This can be observed in the query phase results of the best selected models (selected based on the highest accuracy value in the validation phase, highlighted in grey in the tables). This behaviour could be attributed to variables that can inhibit the prediction power due to noise. Reducing the variables would eliminate this noise from the system.
3.2. Models to Predict Region Using Stratified Sampling
3.2.1. TEF Models
3.2.2. SIRA Models
3.2.3. TEF + SIRA Models
3.2.4. TEF + SIRA Optimised Models
- TEF + SIRA reduced models
- TEF + SIRA reduced new models
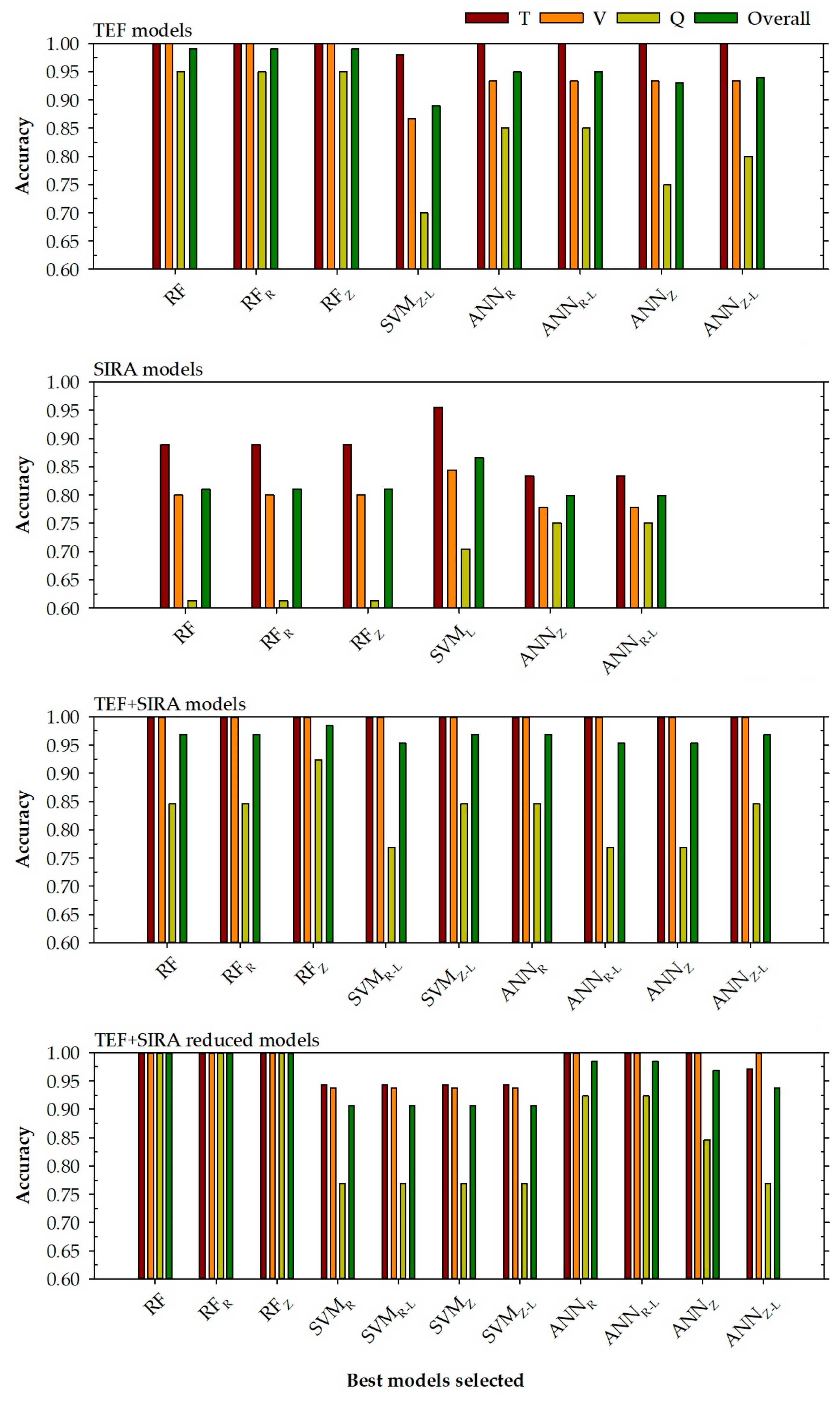
3.2.5. General Assumptions About the Models Developed
- In the first place, there is an important relationship with the different databases used. It can be seen from Figure 2 that the models that present better accuracy are generally those models that have more input variables. This can be seen by comparing the TEF with the SIRA models. Despite the number of different samples for both models (100 for TEF and 179 for SIRA), the reduced number of input variables used for the development of the SIRA models (δ13C and δ15N) does not allow for obtaining accuracy and kappa parameters of good quality, as those obtained by the TEF models. This is something that had been assumed could happen because the number of regions (8) may be too high for the small number of input variables that would be used to try to discriminate between them.
- Secondly, and this time comparing the models that use TEF and SIRA input variables to determine the different regions of origin of the mussel, it can be observed that those models that used a smaller number of input variables (4 TEF + 2 SIRA) present better results than the models that use all the variables (14 TEF + 2 SIRA). This gives the idea that among the TEF variables used, there are variables that inhibit the proper development of the models and only introduce noise into the system. Therefore, when a selection of the most representative TEF variables is made (TEF + SIRA reduced models or TEF + SIRA reduced new models), this noise is eliminated from the system, and the models with the optimised input variable selection produce better accuracy and kappa results.
3.3. Models to Predict Location Using Stratified Sampling
3.3.1. TEF Models
3.3.2. SIRA Models
3.3.3. TEF + SIRA Models
3.3.4. TEF + SIRA Reduced Models
3.3.5. General Assumptions About the Models Developed Using Stratified Sampling
- First, it can be seen from Figure 3 that the models that present the best accuracy are generally those models that have more input variables (this can be seen comparing the TEF with the SIRA models) or the models with the variable reduction (TEF + SIRA reduced models). Once again, it seems clear that the poor fits obtained in the SIRA models may be due to the low number of input variables and that they are not able to discern between the different locations. In addition to this, it is necessary to consider the problem that arose with the sample’s confidence being distributed equally among different categories.
- Secondly, showing the TEF + SIRA models and TEF + SIRA reduced models, it can be observed that the models with a small number of input variables present, in general, better results than the models that use all the variables (except for the SVM models, where a decline in prediction power is observed). This could be attributed to the existence of variables that can inhibit the prediction power of the models by introducing noise into the system. Reducing the variables would eliminate this noise from the system, thereby allowing the TEF + SIRA reduced models to improve their prediction power in all phases.
- Third, the performance of the models developed in this research is adequate, although there are models with low prediction power for the query phase. This happens especially for the SIRA models, in which the accuracy values for the query phase are in a very low range between 0.614 and 0.750.
3.4. Discussion
- Seeing the models that use the TEF and SIRA variables (Figure 2), it can be seen that the models developed with the variables optimised based on the importance obtained by the input variables in the TEF models developed (TEF + SIRA reduced new models) generally present better adjustments for all phases compared to the variables proposed by del Rio-Lavín et al. (2022) [40]. This can be seen in the height of each bar for the selected models, where the models that use the selection of variables proposed in this research obtain higher values of accuracy for each phase. This is especially evident for the models ANNR-L and ANNZ-L that reach for all data an accuracy of 100%.
- The performance of the models developed in this research is adequate considering the adjustment provided by each selected model, although there are models in which a low prediction power is observed for the query phase. These are the cases of RF and ANN models of SIRA (79.5 and 75.0%, respectively) or the SVM models of TEF + SIRA (69.2%). In general, the models obtain accuracy values greater than 80.0% and, in many cases, greater than 90.0%.
- In addition to the good performance in the query phase, the models have demonstrated good accuracy adjustments for the general phase with very high values. In addition, it can be seen that the selected models present better adjustments overall than the models developed by del Rio-Lavín et al. (2022) [40]. For example, the TEF models developed by del Rio-Lavín et al. (2022) [40] present an overall accuracy of 87.8%, while the models selected in this research present for all data accuracy values between 91.0% (ANNZ-L) and 97.0% (RF models). In the case of the SIRA models, del Rio-Lavín et al. (2022) [40] obtained a general adjustment of 80.5%, while the models selected in this research present accuracies of 88.3%, except for the ANNZ model, which drops to 76.5%.
- For the TEF + SIRA reduced model developed by del Rio-Lavín et al. (2022) [40], the authors report an overall accuracy of 97%. Using the same variables, the models selected in this research achieved values between 96.9% and 98.4% for all data (except for the SVMZ model, whose accuracy only reaches 93.8%), which is a slight improvement over the models developed by del Rio-Lavín et al. (2022) [40]. Using the variable selection proposed in this research, the models obtain accuracy results between 96.9% and 100%, showing an improvement in the models, whose accuracy for all data reaches 100% in this case, the ANNR-L and ANNZ-L models.
- Summarising, it seems clear that the different machine learning approaches carried out in this research (especially the models based on random forests and artificial neural networks) improve the previous results of del Rio-Lavín et al. (2022) [40] and appear to be a suitable tool for determining the origin of the Mediterranean mussel (Mytilus galloprovincialis) in different locations around the world.
- As evidenced by the results obtained by the different models developed in this research, it can be said that those models that only use the SIRA input variables present a low predictive power. This behaviour can be attributed to the variability in the stable isotope ratios due to the influence of the harvest seasons. Likewise, it is also necessary to indicate that the split procedure has a great influence on the results provided by the models. Thus, it has been observed that the models that have been developed under a shuffled sampling present worse results than the models developed under a stratified sampling.
- It would be very interesting, for future studies, to develop a database in which the samples were balanced in terms of region/location and sampling seasons. In addition, it would also be very interesting to investigate the influence that seasonality may have on the analytical results obtained.
- On the other hand, it would be interesting to have data from different years to evaluate the impact of the harvest year.
- It would be interesting to expand the number of input variables, especially for the SIRA models, to improve the accuracy of the selected models.
- In future research, it could be investigated how the use of other hyperparameter configurations (ranges, scales, or new hyperparameters can affect the result of the model) can affect the results obtained.
- Regarding training times and hardware resource consumption, the developed models were run on an AMD Ryzen 9 7950X with 128 GB of RAM. The computational cost associated with all training, validation, and query processes was almost entirely handled by the system’s processor. The execution time of the different models showed considerable variability, primarily due to the type of machine learning algorithm used. The lightest models were the support vector machine models, offering virtually instantaneous execution times. In contrast, the random forest models took the longest to execute, especially in scenarios with few input variables. Finally, with respect to artificial neural networks, execution times increased with a greater number of input variables. It would be very interesting, for a possible continuation of this study, to investigate how the use of a GPU might improve model execution times.
4. Conclusions
Author Contributions
Funding
Institutional Review Board Statement
Informed Consent Statement
Data Availability Statement
Acknowledgments
Conflicts of Interest
Abbreviations
| ANN | Artificial neural network using a linear scale |
| ANNL | Artificial neural network using a logarithmic scale |
| ANNR | Artificial neural network using range normalisation |
| ANNR-L | Artificial neural network using range normalisation and a linear scale |
| ANNZ | Artificial neural network using Z transformation |
| ANNZ-L | Artificial neural network using Z transformation and a linear scale |
| CARTS | Classification and regression trees |
| LDA | Linear discriminant analysis |
| ML | Machine learning |
| Q | Query group |
| RF | Random forest using a linear scale |
| RFR | Random forest using range normalisation |
| RFZ | Random forest using Z transformation |
| SIRA | Stable isotope ratio analysis |
| SVM | Support vector machine using a linear scale |
| SVML | Support vector machine using a logarithmic scale |
| SVMR | Support vector machine using range normalisation |
| SVMR-L | Support vector machine using range normalisation and linear scale |
| SVMZ | Support vector machine using Z transformation |
| SVMZ-L | Support vector machine using Z transformation and linear scale |
| T | Training group |
| TEF | Trace element fingerprinting |
| V | Validation group |
References
- Kang, X.; Zhao, Y.; Tan, Z.; Ning, J.; Zhai, Y.; Zheng, G. Evaluation of Multivariate Data Analysis for Marine Mussels. Edulis Authentication in China: Based on Stable Isotope Ratio and Compositions of C, N, O and H. J. Food Compos. Anal. 2022, 111, 104627. [Google Scholar] [CrossRef]
- Santos, A.; Ricardo, F.; Domingues, M.R.M.; Patinha, C.; Calado, R. Current Trends in the Traceability of Geographic Origin and Detection of Species-Mislabeling in Marine Bivalves. Food Control 2023, 152, 109840. [Google Scholar] [CrossRef]
- FAO. El Estado Mundial de la Pesca y la Acuicultura 2024. In La Transformación Azul en Acción; Food and Agriculture Organization: Rome, Italy, 2024. [Google Scholar]
- Soliño, M.; Figueras, A. The Vulnerability of Mussel Aquaculture: Understanding Environmental Threats and Future Directions. Aquaculture 2025, 599, 742196. [Google Scholar] [CrossRef]
- Ryburn, S.J.; Ballantine, W.M.; Loncan, F.M.; Manning, O.G.; Alston, M.A.; Steinwand, B.; Bruno, J.F. Public Awareness of Seafood Mislabeling. PeerJ 2022, 10, e13486. [Google Scholar] [CrossRef]
- FAO. Overview of Food Fraud in the Fisheries Sector; Food and Agriculture Organization: Rome, Italy, 2018. [Google Scholar]
- Peharda, M.; Ezgeta-Balić, D.; Gillikin, D.P.; Uvanović, H.; Arapov, J.; Verheyden, A. Stable Isotopic Composition of Tissues and Shells in the Mediterranean Mussel, Mytilus galloprovincialis, in Estuarine and Aquaculture Settings. Aquaculture 2024, 592, 741159. [Google Scholar] [CrossRef]
- Liénart, C.; Garbaras, A.; Qvarfordt, S.; Sysoev, A.Ö.; Höglander, H.; Walve, J.; Schagerström, E.; Eklöf, J.; Karlson, A.M.L. Long-term Changes in Trophic Ecology of Blue Mussels in a Rapidly Changing Ecosystem. Limnol. Oceanogr. 2021, 66, 694–710. [Google Scholar] [CrossRef]
- Bennion, M.; Morrison, L.; Shelley, R.; Graham, C. Trace Elemental Fingerprinting of Shells and Soft Tissues Can Identify the Time of Blue Mussel (Mytilus edulis) Harvesting. Food Control 2021, 121, 107515. [Google Scholar] [CrossRef]
- Mamede, R.; Santos, A.; da Silva, E.F.; Patinha, C.; Calado, R.; Ricardo, F. New Evidence of Fraudulent Mislabeling and Illegal Harvesting of Manila Clams (Ruditapes philippinarum) through Elemental Fingerprints of Their Shells and Chemometric Analyses. Food Control 2024, 163, 110501. [Google Scholar] [CrossRef]
- Varrà, M.O.; Zanardi, E.; Serra, M.; Conter, M.; Ianieri, A.; Ghidini, S. Isotope Fingerprinting as a Backup for Modern Safety and Traceability Systems in the Animal-Derived Food Chain. Molecules 2023, 28, 4300. [Google Scholar] [CrossRef]
- Camin, F.; Bontempo, L.; Perini, M.; Piasentier, E. Stable Isotope Ratio Analysis for Assessing the Authenticity of Food of Animal Origin. Compr. Rev. Food Sci. Food Saf. 2016, 15, 868–877. [Google Scholar] [CrossRef]
- Liu, H.; Nie, J.; Liu, Y.; Wadood, S.A.; Rogers, K.M.; Yuan, Y.; Gan, R.-Y. A Review of Recent Compound-Specific Isotope Analysis Studies Applied to Food Authentication. Food Chem. 2023, 415, 135791. [Google Scholar] [CrossRef]
- Ye, H.; Yang, J.; Xiao, G.; Zhao, Y.; Li, Z.; Bai, W.; Zeng, X.; Dong, H. A Comprehensive Overview of Emerging Techniques and Chemometrics for Authenticity and Traceability of Animal-Derived Food. Food Chem. 2023, 402, 134216. [Google Scholar] [CrossRef]
- Varrà, M.O.; Ghidini, S.; Husáková, L.; Ianieri, A.; Zanardi, E. Advances in Troubleshooting Fish and Seafood Authentication by Inorganic Elemental Composition. Foods 2021, 10, 270. [Google Scholar] [CrossRef]
- Li, J.; Qian, J.; Chen, J.; Ruiz-Garcia, L.; Dong, C.; Chen, Q.; Liu, Z.; Xiao, P.; Zhao, Z. Recent Advances of Machine Learning in the Geographical Origin Traceability of Food and Agro-products: A Review. Compr. Rev. Food Sci. Food Saf. 2025, 24, e70082. [Google Scholar] [CrossRef]
- Maione, C.; Barbosa, F.; Barbosa, R.M. Predicting the Botanical and Geographical Origin of Honey with Multivariate Data Analysis and Machine Learning Techniques: A Review. Comput. Electron. Agric. 2019, 157, 436–446. [Google Scholar] [CrossRef]
- Sun, Y.; Zhao, Y.; Wu, J.; Liu, N.; Kang, X.; Wang, S.; Zhou, D. An Explainable Machine Learning Model for Identifying Geographical Origins of Sea Cucumber Apostichopus Japonicus Based on Multi-Element Profile. Food Control 2022, 134, 108753. [Google Scholar] [CrossRef]
- Kang, X.; Zhao, Y.; Yao, L.; Tan, Z. Explainable Machine Learning for Predicting the Geographical Origin of Chinese Oysters via Mineral Elements Analysis. Curr. Res. Food Sci. 2024, 8, 100738. [Google Scholar] [CrossRef] [PubMed]
- Kijewski, T.; Zbawicka, M.; Strand, J.; Kautsky, H.; Kotta, J.; Rätsep, M.; Wenne, R. Random Forest Assessment of Correlation between Environmental Factors and Genetic Differentiation of Populations: Case of Marine Mussels Mytilus. Oceanologia 2019, 61, 131–142. [Google Scholar] [CrossRef]
- Yu, Z.; Bu, C.; Li, Y. Machine Learning for Ecological Analysis. Chem. Eng. J. 2025, 507, 160780. [Google Scholar] [CrossRef]
- Sánchez, J.C.M.; Mesa, H.G.A.; Espinosa, A.T.; Castilla, S.R.; Lamont, F.G. Improving Wheat Yield Prediction through Variable Selection Using Support Vector Regression, Random Forest, and Extreme Gradient Boosting. Smart Agric. Technol. 2025, 10, 100791. [Google Scholar] [CrossRef]
- Cao, J.; Wang, H.; Li, J.; Tian, Q.; Niyogi, D. Improving the Forecasting of Winter Wheat Yields in Northern China with Machine Learning–Dynamical Hybrid Subseasonal-to-Seasonal Ensemble Prediction. Remote Sens. 2022, 14, 1707. [Google Scholar] [CrossRef]
- Belgiu, M.; Drăguţ, L. Random Forest in Remote Sensing: A Review of Applications and Future Directions. ISPRS J. Photogramm. Remote Sens. 2016, 114, 24–31. [Google Scholar] [CrossRef]
- Sun, Z.; Wang, G.; Li, P.; Wang, H.; Zhang, M.; Liang, X. An Improved Random Forest Based on the Classification Accuracy and Correlation Measurement of Decision Trees. Expert Syst. Appl. 2024, 237, 121549. [Google Scholar] [CrossRef]
- Ho, T.K. Random Decision Forests. In Proceedings of the 3rd International Conference on Document Analysis and Recognition, Montreal, QC, Canada, 14–16 August 1995. [Google Scholar]
- Breiman, L. Random Forests. Mach. Learn. 2001, 45, 5–32. [Google Scholar] [CrossRef]
- Yates, D.; Islam, M.Z. FastForest: Increasing Random Forest Processing Speed While Maintaining Accuracy. Inf. Sci. 2021, 557, 130–152. [Google Scholar] [CrossRef]
- Pineda-Metz, S.E.A.; Merk, V.; Pogoda, B. A Machine Learning Model and Biometric Transformations to Facilitate European Oyster Monitoring. Aquat. Conserv. Mar. Freshw. Ecosyst. 2023, 33, 708–720. [Google Scholar] [CrossRef]
- González-Domínguez, R.; Sayago, A.; Fernández-Recamales, Á. An Overview on the Application of Chemometrics Tools in Food Authenticity and Traceability. Foods 2022, 11, 3940. [Google Scholar] [CrossRef]
- Roy, A.; Chakraborty, S. Support Vector Machine in Structural Reliability Analysis: A Review. Reliab. Eng. Syst. Saf. 2023, 233, 109126. [Google Scholar] [CrossRef]
- Wang, Y.; Liao, W.; Shen, H.; Jiang, Z.; Zhou, J. Some Notes on the Basic Concepts of Support Vector Machines. J. Comput. Sci. 2024, 82, 102390. [Google Scholar] [CrossRef]
- Cortes, C.; Vapnik, V. Support-Vector Networks. Mach. Learn. 1995, 20, 273–297. [Google Scholar] [CrossRef]
- Bist, U.S.; Singh, N. A Novel Chaotic Kernel Framework for Support Vector Machines Using Probability-Based Feature Extraction Method. In Proceedings of the 2022 9th International Conference on Computing for Sustainable Global Development (INDIACom), New Delhi, India, 23–25 March 2022. [Google Scholar]
- Pisner, D.A.; Schnyer, D.M. Support Vector Machine; Mechelli, A., Vieira, S.B.T.-M.L., Eds.; Academic Press: London, UK, 2020; pp. 101–121. ISBN 978-0-12-815739-8. [Google Scholar]
- Piekutowska, M.; Niedbała, G. Review of Methods and Models for Potato Yield Prediction. Agriculture 2025, 15, 367. [Google Scholar] [CrossRef]
- Castillo-Girones, S.; Munera, S.; Martínez-Sober, M.; Blasco, J.; Cubero, S.; Gómez-Sanchis, J. Artificial Neural Networks in Agriculture, the Core of Artificial Intelligence: What, When, and Why. Comput. Electron. Agric. 2025, 230, 109938. [Google Scholar] [CrossRef]
- dos Santos Pereira, S.A.; de Gitirana, G.F.N.; Mendes, T.A.; de Gomes, R.A. Artificial Neural Networks for the Prediction of the Soil-Water Characteristic Curve: An Overview. Soil Tillage Res. 2025, 248, 106466. [Google Scholar] [CrossRef]
- Dewangan, S.K.; Nagarjuna, C.; Jain, R.; Kumawat, R.L.; Kumar, V.; Sharma, A.; Ahn, B. Review on Applications of Artificial Neural Networks to Develop High Entropy Alloys: A State-of-the-Art Technique. Mater. Today Commun. 2023, 37, 107298. [Google Scholar] [CrossRef]
- del Rio-Lavín, A.; Weber, J.; Molkentin, J.; Jiménez, E.; Artetxe-Arrate, I.; Pardo, M.Á. Stable Isotope and Trace Element Analysis for Tracing the Geographical Origin of the Mediterranean Mussel (Mytilus galloprovincialis) in Food Authentication. Food Control 2022, 139, 109069. [Google Scholar] [CrossRef]
- del Rio-Lavín, A.; Jiménez, E.; Pardo, M.Á. SYBR-Green Real-Time PCR Assay with Melting Curve Analysis for the Rapid Identification of Mytilus Species in Food Samples. Food Control 2021, 130, 108257. [Google Scholar] [CrossRef]
- Dutta, S.K.; Bhutia, B.; Misra, T.; Mishra, V.K.; Singh, S.K.; Patel, V.B. Application and Prospects of Artificial Intelligence (AI)-Based Technologies in Fruit Production Systems. Appl. Fruit Sci. 2025, 67, 16. [Google Scholar] [CrossRef]
- Misra, T.; Arora, A.; Marwaha, S.; Ray, M.; Raju, D.; Kumar, S.; Goel, S.; Sahoo, R.N.; Chinnusamy, V. Artificial Neural Network for Estimating Leaf Fresh Weight of Rice Plant through Visual-Nir Imaging. Indian J. Agric. Sci. 2019, 89, 1698–1702. [Google Scholar] [CrossRef]
- Rodríguez-Fernández, R.; Fernández-Gómez, Á.; Mejuto, J.C.; Astray, G. Machine Learning Models to Classify Shiitake Mushrooms (Lentinula edodes) According to Their Geographical Origin Labeling. Foods 2024, 13, 2656. [Google Scholar] [CrossRef] [PubMed]
- Altair Engineering Inc. Documentation: Random Forest. Available online: https://docs.rapidminer.com/2024.0/studio/operators/modeling/predictive/trees/parallel_random_forest.html (accessed on 5 March 2025).
- Puleo, S.; Di Monaco, R.; Luca Langellotti, A.; Masi, P. The Origin of Mussels (Mytilus galloprovincialis): NIRS Explanatory Identification and the Effect on Consumers. Food Chem. X 2022, 16, 100497. [Google Scholar] [CrossRef]
- Kang, X.; Zhao, Y.; Tan, Z. An Explainable Machine Learning for Geographical Origin Traceability of Mussels Mytilus edulis Based on Stable Isotope Ratio and Compositions of C, N, O and H. J. Food Compos. Anal. 2023, 123, 105508. [Google Scholar] [CrossRef]
- Kang, X.; Zhao, Y.; Peng, J.; Ding, H.; Tan, Z.; Han, C.; Sheng, X.; Liu, X.; Zhai, Y. Authentication of the Geographical Origin of Shandong Scallop Chlamys Farreri Using Mineral Elements Combined with Multivariate Data Analysis and Machine Learning Algorithm. Food Anal. Methods 2022, 15, 2984–2993. [Google Scholar] [CrossRef]
- Morrison, L.; Bennion, M.; Gill, S.; Graham, C.T. Spatio-Temporal Trace Element Fingerprinting of King Scallops (Pecten maximus) Reveals Harvesting Period and Location. Sci. Total Environ. 2019, 697, 134121. [Google Scholar] [CrossRef] [PubMed]
- Zhang, X.; Cheng, J.; Han, D.; Zhao, X.; Chen, X.; Liu, Y. Geographical Origin Traceability and Species Identification of Three Scallops (Patinopecten yessoensis, Chlamys farreri and Argopecten irradians) Using Stable Isotope Analysis. Food Chem. 2019, 299, 125107. [Google Scholar] [CrossRef] [PubMed]



| Region (50%–25%–25%, shuffled sampling) | Region (50%–25%–25%, stratified sampling) | ||||||||||||||||||||||
|---|---|---|---|---|---|---|---|---|---|---|---|---|---|---|---|---|---|---|---|---|---|---|---|
| TEF | SIRA | TEF + SIRA | TEF | SIRA | TEF + SIRA | ||||||||||||||||||
| T | V | Q | T | V | Q | T | V | Q | T | V | Q | T | V | Q | T | V | Q | ||||||
| Brittany | 5 | 1 | 4 | 8 | 4 | 5 | 6 | 1 | 1 | 5 | 3 | 2 | 9 | 4 | 4 | 4 | 2 | 2 | |||||
| Algarve | 4 | 2 | 4 | 8 | 6 | 6 | 3 | 1 | 2 | 5 | 3 | 2 | 10 | 5 | 5 | 3 | 2 | 1 | |||||
| Galicia | 9 | 7 | 4 | 21 | 12 | 7 | 3 | 1 | 6 | 10 | 5 | 5 | 20 | 10 | 10 | 5 | 3 | 2 | |||||
| Basque Country | 13 | 3 | 4 | 19 | 12 | 9 | 4 | 5 | 1 | 10 | 5 | 5 | 20 | 10 | 10 | 5 | 3 | 2 | |||||
| Catalonia | 5 | 1 | 4 | 11 | 4 | 5 | 1 | 2 | 2 | 5 | 3 | 2 | 10 | 5 | 5 | 3 | 1 | 1 | |||||
| Emilia-Romagna | 4 | 3 | 3 | 5 | 1 | 4 | 6 | 2 | 2 | 5 | 3 | 2 | 5 | 3 | 2 | 5 | 3 | 2 | |||||
| Bizerte | 7 | 2 | 1 | 9 | 2 | 1 | 8 | 1 | 1 | 5 | 3 | 2 | 6 | 3 | 3 | 5 | 3 | 2 | |||||
| Biobío | 3 | 6 | 1 | 9 | 3 | 8 | 1 | 3 | 1 | 5 | 3 | 2 | 10 | 5 | 5 | 3 | 1 | 1 | |||||
| 50 | 25 | 25 | 90 | 44 | 45 | 32 | 16 | 16 | 50 | 28 | 22 | 90 | 45 | 44 | 33 | 18 | 13 | ||||||
| Total | 100 | Total | 179 | Total | 64 | Total | 100 | Total | 179 | Total | 64 | ||||||||||||
| Location (50%–25%–25%, stratified sampling) | |||||||||||||||||||||||
| TEF | SIRA | TEF + SIRA | |||||||||||||||||||||
| T | V | Q | T | V | Q | T | V | Q | |||||||||||||||
| Loquemeau | 5 | 3 | 2 | 9 | 4 | 4 | 4 | 2 | 2 | ||||||||||||||
| Porto da Baleeira | 5 | 3 | 2 | 10 | 5 | 5 | 3 | 2 | 1 | ||||||||||||||
| Ria de Arousa | 5 | 3 | 2 | 10 | 5 | 5 | 3 | 1 | 1 | ||||||||||||||
| Ria de Betanzos | 5 | 3 | 2 | 10 | 5 | 5 | 3 | 1 | 1 | ||||||||||||||
| Mendexa | 5 | 3 | 2 | 10 | 5 | 5 | 3 | 1 | 1 | ||||||||||||||
| Mutriku | 5 | 3 | 2 | 10 | 5 | 5 | 3 | 1 | 1 | ||||||||||||||
| Delta del Ebro | 5 | 3 | 2 | 10 | 5 | 5 | 3 | 1 | 1 | ||||||||||||||
| Goro | 5 | 3 | 2 | 5 | 3 | 2 | 5 | 3 | 2 | ||||||||||||||
| Bizerte lagoon | 5 | 3 | 2 | 6 | 3 | 3 | 5 | 3 | 2 | ||||||||||||||
| Coliumo | 5 | 3 | 2 | 10 | 5 | 5 | 3 | 1 | 1 | ||||||||||||||
| 50 | 30 | 20 | 90 | 45 | 44 | 35 | 16 | 13 | |||||||||||||||
| Total | 100 | Total | 179 | Total | 64 | ||||||||||||||||||
| TEF Models | ||||||||||
|---|---|---|---|---|---|---|---|---|---|---|
| T | V | TV | Q | TVQ | ||||||
| Model | Acc. | Kappa | Acc. | Kappa | Acc. | Kappa | Acc. | Kappa | Acc. | Kappa |
| RF | 1.000 | 1.000 | 0.960 | 0.951 | 0.987 | 0.984 | 0.880 | 0.860 | 0.960 | 0.953 |
| SVMR-L | 1.000 | 1.000 | 0.880 | 0.855 | 0.960 | 0.953 | 0.720 | 0.672 | 0.900 | 0.884 |
| ANNZ | 1.000 | 1.000 | 0.960 | 0.952 | 0.987 | 0.984 | 0.800 | 0.766 | 0.940 | 0.930 |
| ANNZ-L | 1.000 | 1.000 | 0.960 | 0.952 | 0.987 | 0.984 | 0.800 | 0.766 | 0.940 | 0.930 |
| SIRA Models | ||||||||||
| RF | 0.922 | 0.908 | 0.932 | 0.915 | 0.925 | 0.911 | 0.689 | 0.635 | 0.866 | 0.841 |
| RFR | 0.922 | 0.908 | 0.932 | 0.915 | 0.925 | 0.911 | 0.689 | 0.635 | 0.866 | 0.841 |
| RFZ | 0.922 | 0.908 | 0.932 | 0.915 | 0.925 | 0.911 | 0.689 | 0.635 | 0.866 | 0.841 |
| SVMZ-L | 0.878 | 0.856 | 0.841 | 0.808 | 0.866 | 0.841 | 0.756 | 0.713 | 0.838 | 0.809 |
| ANN | 0.767 | 0.720 | 0.841 | 0.797 | 0.791 | 0.745 | 0.689 | 0.630 | 0.765 | 0.717 |
| TEF + SIRA Models | ||||||||||
|---|---|---|---|---|---|---|---|---|---|---|
| T | V | TV | Q | TVQ | ||||||
| Model | Acc. | Kappa | Acc. | Kappa | Acc. | Kappa | Acc. | Kappa | Acc. | Kappa |
| RF | 1.000 | 1.000 | 1.000 | 1.000 | 1.000 | 1.000 | 0.875 | 0.847 | 0.969 | 0.964 |
| RFR | 1.000 | 1.000 | 1.000 | 1.000 | 1.000 | 1.000 | 0.875 | 0.847 | 0.969 | 0.964 |
| RFZ | 1.000 | 1.000 | 1.000 | 1.000 | 1.000 | 1.000 | 0.875 | 0.847 | 0.969 | 0.964 |
| SVMR | 1.000 | 1.000 | 0.875 | 0.848 | 0.958 | 0.951 | 1.000 | 1.000 | 0.969 | 0.964 |
| SVMR-L | 1.000 | 1.000 | 0.875 | 0.848 | 0.958 | 0.951 | 0.875 | 0.847 | 0.938 | 0.928 |
| SVMZ | 1.000 | 1.000 | 0.875 | 0.848 | 0.958 | 0.951 | 1.000 | 1.000 | 0.969 | 0.964 |
| SVMZ-L | 1.000 | 1.000 | 0.875 | 0.848 | 0.958 | 0.951 | 1.000 | 1.000 | 0.969 | 0.964 |
| ANNR-L | 1.000 | 1.000 | 0.938 | 0.925 | 0.979 | 0.976 | 0.875 | 0.847 | 0.953 | 0.946 |
| TEF + SIRA Reduced Models | ||||||||||
| RF | 1.000 | 1.000 | 1.000 | 1.000 | 1.000 | 1.000 | 0.938 | 0.922 | 0.984 | 0.982 |
| RFR | 1.000 | 1.000 | 1.000 | 1.000 | 1.000 | 1.000 | 0.938 | 0.922 | 0.984 | 0.982 |
| RFZ | 1.000 | 1.000 | 1.000 | 1.000 | 1.000 | 1.000 | 0.938 | 0.922 | 0.984 | 0.982 |
| SVMZ | 0.969 | 0.962 | 0.875 | 0.845 | 0.938 | 0.926 | 0.875 | 0.845 | 0.922 | 0.909 |
| SVMZ-L | 0.969 | 0.962 | 0.875 | 0.845 | 0.938 | 0.926 | 0.938 | 0.922 | 0.938 | 0.927 |
| ANNZ | 1.000 | 1.000 | 0.938 | 0.923 | 0.979 | 0.976 | 0.813 | 0.768 | 0.938 | 0.928 |
| ANNZ-L | 1.000 | 1.000 | 0.938 | 0.923 | 0.979 | 0.976 | 0.813 | 0.768 | 0.938 | 0.928 |
| TEF + SIRA Reduced New Models | ||||||||||
| RF | 1.000 | 1.000 | 1.000 | 1.000 | 1.000 | 1.000 | 0.875 | 0.847 | 0.969 | 0.964 |
| RFR | 1.000 | 1.000 | 1.000 | 1.000 | 1.000 | 1.000 | 0.875 | 0.847 | 0.969 | 0.964 |
| RFZ | 1.000 | 1.000 | 1.000 | 1.000 | 1.000 | 1.000 | 0.875 | 0.847 | 0.969 | 0.964 |
| SVMR | 0.969 | 0.962 | 0.875 | 0.845 | 0.938 | 0.926 | 0.875 | 0.845 | 0.922 | 0.909 |
| SVMR-L | 1.000 | 1.000 | 0.875 | 0.845 | 0.958 | 0.951 | 0.813 | 0.767 | 0.922 | 0.909 |
| SVMZ | 1.000 | 1.000 | 0.875 | 0.845 | 0.958 | 0.951 | 0.875 | 0.845 | 0.938 | 0.927 |
| SVMZ-L | 1.000 | 1.000 | 0.875 | 0.845 | 0.958 | 0.951 | 0.875 | 0.845 | 0.938 | 0.927 |
| ANNZ-L | 1.000 | 1.000 | 0.938 | 0.924 | 0.979 | 0.976 | 0.938 | 0.922 | 0.969 | 0.964 |
| TEF Models | ||||||||||
|---|---|---|---|---|---|---|---|---|---|---|
| T | V | TV | Q | TVQ | ||||||
| Model | Acc. | Kappa | Acc. | Kappa | Acc. | Kappa | Acc. | Kappa | Acc. | Kappa |
| RF | 1.000 | 1.000 | 0.964 | 0.959 | 0.987 | 0.985 | 0.909 | 0.893 | 0.970 | 0.965 |
| RFR | 1.000 | 1.000 | 0.964 | 0.959 | 0.987 | 0.985 | 0.909 | 0.892 | 0.970 | 0.965 |
| RFZ | 1.000 | 1.000 | 0.964 | 0.959 | 0.987 | 0.985 | 0.909 | 0.893 | 0.970 | 0.965 |
| SVMR-L | 1.000 | 1.000 | 0.821 | 0.794 | 0.936 | 0.926 | 0.818 | 0.785 | 0.910 | 0.895 |
| SVMZ | 0.980 | 0.977 | 0.821 | 0.794 | 0.923 | 0.911 | 0.909 | 0.893 | 0.920 | 0.907 |
| SVMZ-L | 1.000 | 1.000 | 0.821 | 0.794 | 0.936 | 0.926 | 0.909 | 0.893 | 0.930 | 0.919 |
| ANNZ-L | 0.980 | 0.977 | 0.857 | 0.836 | 0.936 | 0.926 | 0.818 | 0.785 | 0.910 | 0.895 |
| SIRA Models | ||||||||||
| RF | 0.911 | 0.895 | 0.911 | 0.894 | 0.911 | 0.895 | 0.795 | 0.757 | 0.883 | 0.861 |
| RFR | 0.911 | 0.895 | 0.911 | 0.894 | 0.911 | 0.895 | 0.795 | 0.757 | 0.883 | 0.861 |
| RFZ | 0.911 | 0.895 | 0.911 | 0.894 | 0.911 | 0.895 | 0.795 | 0.757 | 0.883 | 0.861 |
| SVML | 0.922 | 0.908 | 0.867 | 0.841 | 0.904 | 0.886 | 0.818 | 0.786 | 0.883 | 0.861 |
| ANNZ | 0.722 | 0.664 | 0.867 | 0.840 | 0.770 | 0.723 | 0.750 | 0.697 | 0.765 | 0.716 |
| TEF + SIRA Models | ||||||||||
|---|---|---|---|---|---|---|---|---|---|---|
| T | V | TV | Q | TVQ | ||||||
| Model | Acc. | Kappa | Acc. | Kappa | Acc. | Kappa | Acc. | Kappa | Acc. | Kappa |
| RF | 0.939 | 0.930 | 1.000 | 1.000 | 0.961 | 0.955 | 0.846 | 0.822 | 0.938 | 0.928 |
| RFR | 0.939 | 0.930 | 1.000 | 1.000 | 0.961 | 0.955 | 0.846 | 0.822 | 0.938 | 0.928 |
| RFZ | 0.939 | 0.930 | 1.000 | 1.000 | 0.961 | 0.955 | 0.846 | 0.822 | 0.938 | 0.928 |
| SVM | 0.970 | 0.965 | 0.944 | 0.936 | 0.961 | 0.955 | 0.692 | 0.636 | 0.906 | 0.891 |
| SVML | 0.970 | 0.965 | 0.944 | 0.936 | 0.961 | 0.955 | 0.692 | 0.636 | 0.906 | 0.891 |
| ANNZ | 1.000 | 1.000 | 1.000 | 1.000 | 1.000 | 1.000 | 0.923 | 0.910 | 0.984 | 0.982 |
| ANNZ-L | 1.000 | 1.000 | 1.000 | 1.000 | 1.000 | 1.000 | 0.923 | 0.910 | 0.984 | 0.982 |
| TEF + SIRA Reduced Models | ||||||||||
| RF | 1.000 | 1.000 | 1.000 | 1.000 | 1.000 | 1.000 | 0.923 | 0.912 | 0.984 | 0.982 |
| RFR | 1.000 | 1.000 | 1.000 | 1.000 | 1.000 | 1.000 | 0.923 | 0.912 | 0.984 | 0.982 |
| RFZ | 1.000 | 1.000 | 1.000 | 1.000 | 1.000 | 1.000 | 0.923 | 0.912 | 0.984 | 0.982 |
| SVMR-L | 1.000 | 1.000 | 1.000 | 1.000 | 1.000 | 1.000 | 0.846 | 0.822 | 0.969 | 0.964 |
| SVMZ | 0.939 | 0.931 | 1.000 | 1.000 | 0.961 | 0.955 | 0.846 | 0.822 | 0.938 | 0.928 |
| SVMZ-L | 0.970 | 0.965 | 1.000 | 1.000 | 0.980 | 0.977 | 0.923 | 0.910 | 0.969 | 0.964 |
| ANNR | 1.000 | 1.000 | 1.000 | 1.000 | 1.000 | 1.000 | 0.923 | 0.910 | 0.984 | 0.982 |
| ANNR-L | 1.000 | 1.000 | 1.000 | 1.000 | 1.000 | 1.000 | 0.923 | 0.912 | 0.984 | 0.982 |
| ANNZ | 1.000 | 1.000 | 1.000 | 1.000 | 1.000 | 1.000 | 0.923 | 0.911 | 0.984 | 0.982 |
| ANNZ-L | 1.000 | 1.000 | 1.000 | 1.000 | 1.000 | 1.000 | 0.923 | 0.911 | 0.984 | 0.982 |
| TEF + SIRA Reduced New Models | ||||||||||
| RF | 0.970 | 0.965 | 1.000 | 1.000 | 0.980 | 0.977 | 0.923 | 0.910 | 0.969 | 0.964 |
| RFR | 0.970 | 0.965 | 1.000 | 1.000 | 0.980 | 0.977 | 0.923 | 0.910 | 0.969 | 0.964 |
| RFZ | 0.970 | 0.965 | 1.000 | 1.000 | 0.980 | 0.977 | 0.923 | 0.910 | 0.969 | 0.964 |
| SVMR-L | 1.000 | 1.000 | 1.000 | 1.000 | 1.000 | 1.000 | 0.923 | 0.910 | 0.984 | 0.982 |
| SVMZ-L | 1.000 | 1.000 | 1.000 | 1.000 | 1.000 | 1.000 | 0.923 | 0.910 | 0.984 | 0.982 |
| ANNR | 1.000 | 1.000 | 1.000 | 1.000 | 1.000 | 1.000 | 0.923 | 0.910 | 0.984 | 0.982 |
| ANNR-L | 1.000 | 1.000 | 1.000 | 1.000 | 1.000 | 1.000 | 1.000 | 1.000 | 1.000 | 1.000 |
| ANNZ | 1.000 | 1.000 | 1.000 | 1.000 | 1.000 | 1.000 | 0.923 | 0.912 | 0.984 | 0.982 |
| ANNZ-L | 1.000 | 1.000 | 1.000 | 1.000 | 1.000 | 1.000 | 1.000 | 1.000 | 1.000 | 1.000 |
| TEF Models | ||||||||||
|---|---|---|---|---|---|---|---|---|---|---|
| T | V | TV | Q | TVQ | ||||||
| Model | Acc. | Kappa | Acc. | Kappa | Acc. | Kappa | Acc. | Kappa | Acc. | Kappa |
| RF | 1.000 | 1.000 | 1.000 | 1.000 | 1.000 | 1.000 | 0.950 | 0.944 | 0.990 | 0.989 |
| RFR | 1.000 | 1.000 | 1.000 | 1.000 | 1.000 | 1.000 | 0.950 | 0.944 | 0.990 | 0.989 |
| RFZ | 1.000 | 1.000 | 1.000 | 1.000 | 1.000 | 1.000 | 0.950 | 0.944 | 0.990 | 0.989 |
| SVMZ-L | 0.980 | 0.978 | 0.867 | 0.852 | 0.938 | 0.931 | 0.700 | 0.667 | 0.890 | 0.878 |
| ANNR | 1.000 | 1.000 | 0.933 | 0.926 | 0.975 | 0.972 | 0.850 | 0.833 | 0.950 | 0.944 |
| ANNR-L | 1.000 | 1.000 | 0.933 | 0.926 | 0.975 | 0.972 | 0.850 | 0.833 | 0.950 | 0.944 |
| ANNZ | 1.000 | 1.000 | 0.933 | 0.926 | 0.975 | 0.972 | 0.750 | 0.722 | 0.930 | 0.922 |
| ANNZ-L | 1.000 | 1.000 | 0.933 | 0.926 | 0.975 | 0.972 | 0.800 | 0.778 | 0.940 | 0.933 |
| SIRA Models | ||||||||||
| RF * | 0.889 | 0.876 | 0.800 | 0.777 | 0.830 | 0.810 | 0.614 | 0.569 | 0.810 | 0.788 |
| RFR * | 0.889 | 0.876 | 0.800 | 0.777 | 0.830 | 0.810 | 0.614 | 0.569 | 0.810 | 0.788 |
| RFZ * | 0.889 | 0.876 | 0.800 | 0.777 | 0.830 | 0.810 | 0.614 | 0.569 | 0.810 | 0.788 |
| SVML | 0.956 | 0.950 | 0.844 | 0.826 | 0.919 | 0.909 | 0.705 | 0.671 | 0.866 | 0.851 |
| ANNR | 0.833 | 0.814 | 0.778 | 0.752 | 0.815 | 0.794 | 0.750 | 0.722 | 0.799 | 0.776 |
| ANNR-L | 0.833 | 0.814 | 0.778 | 0.752 | 0.815 | 0.794 | 0.750 | 0.721 | 0.799 | 0.776 |
| TEF + SIRA Models | ||||||||||
|---|---|---|---|---|---|---|---|---|---|---|
| T | V | TV | Q | TVQ | ||||||
| Model | Acc. | Kappa | Acc. | Kappa | Acc. | Kappa | Acc. | Kappa | Acc. | Kappa |
| RF | 1.000 | 1.000 | 1.000 | 1.000 | 1.000 | 1.000 | 0.846 | 0.827 | 0.969 | 0.965 |
| RFR | 1.000 | 1.000 | 1.000 | 1.000 | 1.000 | 1.000 | 0.846 | 0.827 | 0.969 | 0.965 |
| RFZ | 1.000 | 1.000 | 1.000 | 1.000 | 1.000 | 1.000 | 0.923 | 0.913 | 0.984 | 0.982 |
| SVMR-L | 1.000 | 1.000 | 1.000 | 1.000 | 1.000 | 1.000 | 0.769 | 0.738 | 0.953 | 0.947 |
| SVMZ-L | 1.000 | 1.000 | 1.000 | 1.000 | 1.000 | 1.000 | 0.846 | 0.824 | 0.969 | 0.965 |
| ANNR | 1.000 | 1.000 | 1.000 | 1.000 | 1.000 | 1.000 | 0.846 | 0.824 | 0.969 | 0.965 |
| ANNR-L | 1.000 | 1.000 | 1.000 | 1.000 | 1.000 | 1.000 | 0.769 | 0.738 | 0.953 | 0.947 |
| ANNZ | 1.000 | 1.000 | 1.000 | 1.000 | 1.000 | 1.000 | 0.769 | 0.738 | 0.953 | 0.947 |
| ANNZ-L | 1.000 | 1.000 | 1.000 | 1.000 | 1.000 | 1.000 | 0.846 | 0.824 | 0.969 | 0.965 |
| TEF + SIRA Reduced Models | ||||||||||
| RF | 1.000 | 1.000 | 1.000 | 1.000 | 1.000 | 1.000 | 1.000 | 1.000 | 1.000 | 1.000 |
| RFR | 1.000 | 1.000 | 1.000 | 1.000 | 1.000 | 1.000 | 1.000 | 1.000 | 1.000 | 1.000 |
| RFZ | 1.000 | 1.000 | 1.000 | 1.000 | 1.000 | 1.000 | 1.000 | 1.000 | 1.000 | 1.000 |
| SVMR | 0.943 | 0.936 | 0.938 | 0.929 | 0.941 | 0.934 | 0.769 | 0.738 | 0.906 | 0.895 |
| SVMR-L | 0.943 | 0.936 | 0.938 | 0.929 | 0.941 | 0.934 | 0.769 | 0.738 | 0.906 | 0.895 |
| SVMZ | 0.943 | 0.936 | 0.938 | 0.929 | 0.941 | 0.934 | 0.769 | 0.738 | 0.906 | 0.895 |
| SVMZ-L | 0.943 | 0.936 | 0.938 | 0.929 | 0.941 | 0.934 | 0.769 | 0.738 | 0.906 | 0.895 |
| ANNR | 1.000 | 1.000 | 1.000 | 1.000 | 1.000 | 1.000 | 0.923 | 0.913 | 0.984 | 0.982 |
| ANNR-L | 1.000 | 1.000 | 1.000 | 1.000 | 1.000 | 1.000 | 0.923 | 0.913 | 0.984 | 0.982 |
| ANNZ | 1.000 | 1.000 | 1.000 | 1.000 | 1.000 | 1.000 | 0.846 | 0.827 | 0.969 | 0.965 |
| ANNZ-L | 0.971 | 0.968 | 1.000 | 1.000 | 0.980 | 0.978 | 0.769 | 0.740 | 0.938 | 0.930 |
Disclaimer/Publisher’s Note: The statements, opinions and data contained in all publications are solely those of the individual author(s) and contributor(s) and not of MDPI and/or the editor(s). MDPI and/or the editor(s) disclaim responsibility for any injury to people or property resulting from any ideas, methods, instructions or products referred to in the content. |
© 2025 by the authors. Licensee MDPI, Basel, Switzerland. This article is an open access article distributed under the terms and conditions of the Creative Commons Attribution (CC BY) license (https://creativecommons.org/licenses/by/4.0/).
Share and Cite
Fernández Suárez, S.; Lorenzo Galbán, J.; Fernandez-Sanchez, S.; Garcia-Marti, M.; Astray, G. Food Authenticity Models for Mytilus galloprovincialis (Mediterranean Mussel): Exploratory Study. Foods 2025, 14, 4195. https://doi.org/10.3390/foods14244195
Fernández Suárez S, Lorenzo Galbán J, Fernandez-Sanchez S, Garcia-Marti M, Astray G. Food Authenticity Models for Mytilus galloprovincialis (Mediterranean Mussel): Exploratory Study. Foods. 2025; 14(24):4195. https://doi.org/10.3390/foods14244195
Chicago/Turabian StyleFernández Suárez, Sandra, Javier Lorenzo Galbán, Sabela Fernandez-Sanchez, Maria Garcia-Marti, and Gonzalo Astray. 2025. "Food Authenticity Models for Mytilus galloprovincialis (Mediterranean Mussel): Exploratory Study" Foods 14, no. 24: 4195. https://doi.org/10.3390/foods14244195
APA StyleFernández Suárez, S., Lorenzo Galbán, J., Fernandez-Sanchez, S., Garcia-Marti, M., & Astray, G. (2025). Food Authenticity Models for Mytilus galloprovincialis (Mediterranean Mussel): Exploratory Study. Foods, 14(24), 4195. https://doi.org/10.3390/foods14244195

