Effects on Quality of Application of Two Antagonistic Yeasts on Plums (Prunus salicina) During Postharvest Cold Storage
Abstract
1. Introduction
2. Materials and Methods
2.1. Biological Material
2.2. Yeast Inoculation and Cold Storage of Plums
2.3. Lab Analysis
2.3.1. Weight Loss
2.3.2. Microbiological Analysis: Determination of Decay Incidence, Microbial Analysis, and Inocula Monitoring
2.3.3. Physicochemical Analysis
Colour Measurement
Firmness
Total Soluble Solids, pH, and Titratable Acidity
2.4. Data Analysis
3. Results and Discussion
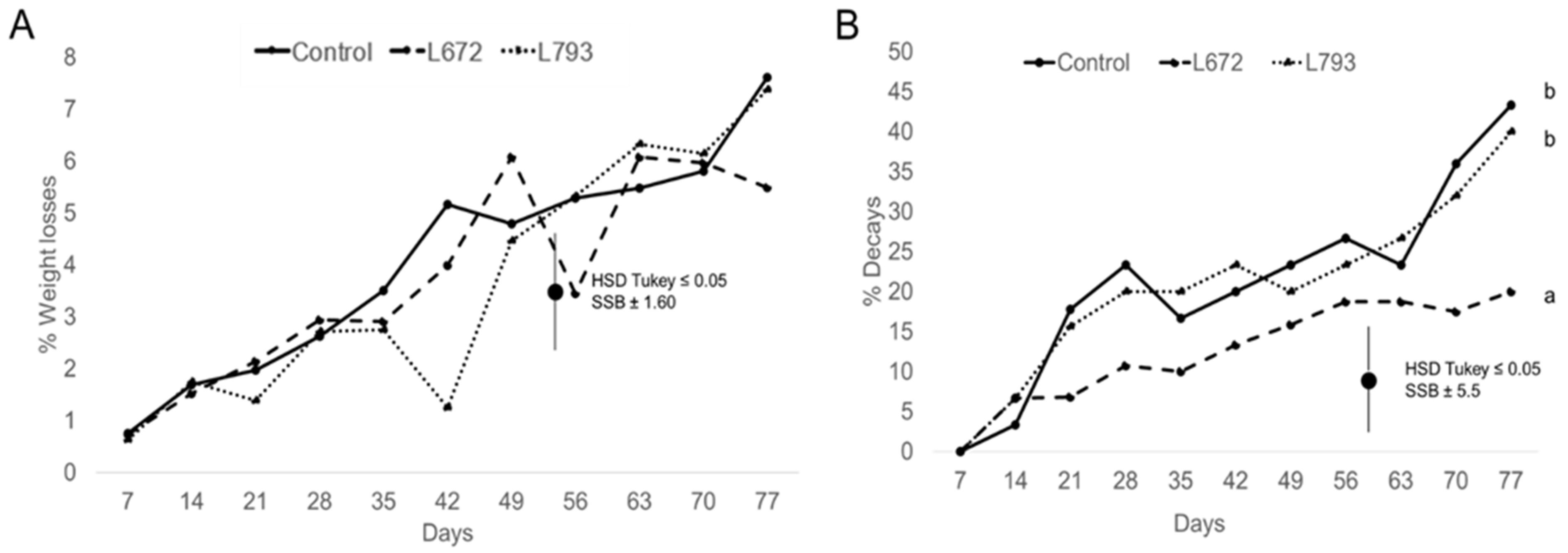
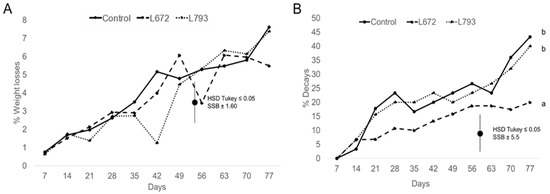
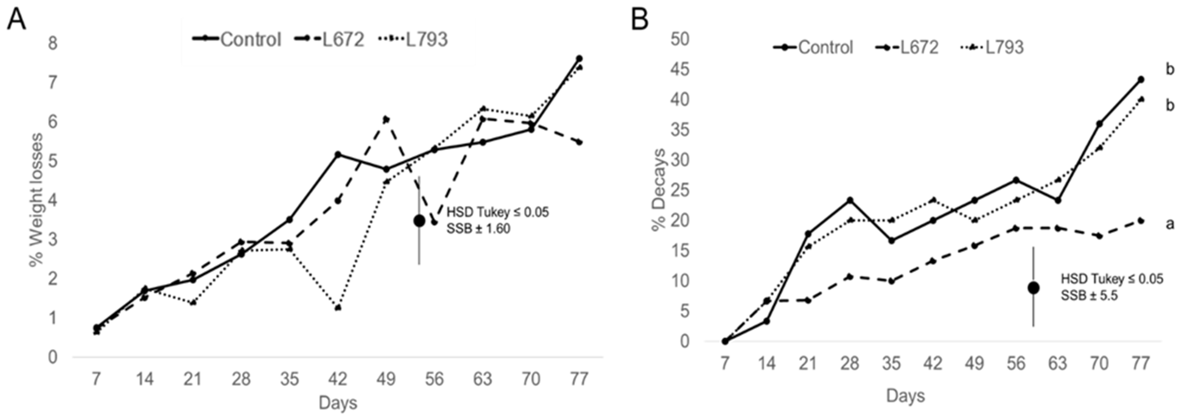
3.1. Microbiological Analysis Results
3.2. Physicochemical Analysis Results
3.3. Overall Impact on Plums Quality
4. Conclusions
Author Contributions
Funding
Institutional Review Board Statement
Informed Consent Statement
Data Availability Statement
Conflicts of Interest
References
- Topp, B.L.; Russel, D.M.; Neumüller, M.; Dalbo, M.A.; Liu, W. Plum. In Fruit Breeding; Badenes, M.L., Byrne, D.H., Eds.; Springer: Berlin/Heidelberg, Germany, 2012; pp. 571–621. [Google Scholar] [CrossRef]
- FAO FAOSTAT. Crops and Livestock Products. Food and Agriculture Organisation of the United Nations. 2023. Available online: https://www.fao.org/faostat/es/#data/QCL (accessed on 4 April 2025).
- Igwe, E.O.; Charlton, K.E. A systematic review on the health effects of plums (Prunus domestica and Prunus salicina). Phytother. Res. 2016, 30, 701–731. [Google Scholar] [CrossRef]
- Usenik, V. The influence of the production system on the composition of phytochemicals in Prunus domestica L. fruit. J. Food Compos. Anal. 2021, 95, 103701. [Google Scholar] [CrossRef]
- Usenik, V.; Štampar, F.; Veberič, R. Anthocyanins and fruit colour in plums (Prunus domestica L.) during ripening. Food Chem. 2009, 114, 529–534. [Google Scholar] [CrossRef]
- Venter, A.; Joubert, E.; De Beer, D. Nutraceutical value of yellow-and red-fleshed South African plums (Prunus salicina Lindl.): Evaluation of total antioxidant capacity and phenolic composition. Molecules 2014, 19, 3084–3109. [Google Scholar] [CrossRef] [PubMed]
- Vangdal, E.; Flatland, S.; Nordbø, R. Fruit quality changes during marketing of new plum cultivars (Prunus domestica L.). Hortic. Sci. 2007, 34, 91–95. [Google Scholar] [CrossRef]
- Børve, J.; Vangdal, E. Fungal pathogens causing fruit decay on plum (Prunus domestica L.) in Norway. In VIII International Symposium on Plum and Prune Genetics, Breeding and Pomology; International Society for Horticultural Science: Leuven, Belgium, 2007; pp. 367–369. [Google Scholar] [CrossRef]
- El-Kereamy, A.; El-Sharkawy, I.; Ramamoorthy, R.; Taheri, A.; Errampalli, D.; Kumar, P.; Jayasankar, S. Prunus domestica pathogenesis-related protein-5 activates the defense response pathway and enhances the resistance to fungal infection. PLoS ONE 2011, 6, e17973. [Google Scholar] [CrossRef]
- Hauschildt, M.; Steinkellner, S.; Weber, R.W. Grey mould populations in northern German sweet cherry and plum orchards: Selection of fungicide-resistant Botrytis cinerea strains over sensitive B. pseudocinerea by fungicide treatments. Eur. J. Plant Pathol. 2020, 157, 615–623. [Google Scholar] [CrossRef]
- Louw, J.P.; Korsten, L. Postharvest decay of nectarine and plum caused by Penicillium spp. Eur. J. Plant Pathol. 2016, 146, 779–791. [Google Scholar] [CrossRef]
- Kuruppu, M.; Ling, K.L.; Ding, P.; Ahmad, K.; Ali, A.; Siddiqui, Y. Decoding the fruit microbiome: A climate smart strategy to manage postharvest decays. Hortic. Plant J. 2024, 10, 1061–1072. [Google Scholar] [CrossRef]
- Parfitt, J.; Barthel, M.; Macnaughton, S. Food waste within food supply chains: Quantification and potential for change to 2050. Philos. Trans. R. Soc. B Biol. Sci. 2010, 365, 3065–3081. [Google Scholar] [CrossRef]
- Sneha, K.B.; Indra, N.; Vanitha, S.; Saranya, S.; Ramalakshmi, A. Exploring the non-chemical alternatives for the management of post-harvest fungal diseases of major tropical fruits-mango, banana and papaya. Physiol. Mol. Plant Pathol. 2024, 134, 102460. [Google Scholar] [CrossRef]
- Minas, I.S.; Crisosto, G.M.; Holcroft, D.; Vasilakakis, M.; Crisosto, C.H. Postharvest handling of plums (Prunus salicina Lindl.) at 10 C to save energy and preserve fruit quality using an innovative application system of 1-MCP. Postharvest Biol. Technol. 2013, 76, 1–9. [Google Scholar] [CrossRef]
- Singh, S.P.; Singh, Z.; Swinny, E.E. Postharvest nitric oxide fumigation delays fruit ripening and alleviates chilling injury during cold storage of Japanese plums (Prunus salicina Lindell). Postharvest Biol. Technol. 2009, 53, 101–108. [Google Scholar] [CrossRef]
- Panahirad, S.; Naghshiband-Hassani, R.; Bergin, S.; Katam, R.; Mahna, N. Improvement of postharvest quality of plum (Prunus domestica L.) using polysaccharide-based edible coatings. Plants 2020, 9, 1148. [Google Scholar] [CrossRef] [PubMed]
- Kalaj, Y.R.; Geyer, M.; Herppich, W.B. Non-destructive evaluation of edible coatings effects on keeping quality of European plums (Prunus domestica L.) by laser light backscattering imaging. Erwerbs-Obstbau 2018, 60, 311–320. [Google Scholar] [CrossRef]
- Thakur, R.; Pristijono, P.; Golding, J.B.; Stathopoulos, C.E.; Scarlett, C.J.; Bowyer, M.; Singh, S.P.; Vuong, Q.V. Development and application of rice starch based edible coating to improve the postharvest storage potential and quality of plum fruit (Prunus salicina). Sci. Hortic. 2018, 237, 59–66. [Google Scholar] [CrossRef]
- Valero, D.; Díaz-Mula, H.M.; Zapata, P.J.; Guillén, F.; Martínez-Romero, D.; Castillo, S.; Serrano, M. Effects of alginate edible coating on preserving fruit quality in four plum cultivars during postharvest storage. Postharvest Biol. Technol. 2013, 77, 1–6. [Google Scholar] [CrossRef]
- Chen, Z.; Zhu, C. Combined effects of aqueous chlorine dioxide and ultrasonic treatments on postharvest storage quality of plum fruit (Prunus salicina L.). Postharvest Biol Technol. 2011, 61, 117–123. [Google Scholar] [CrossRef]
- Khan, A.S.; Singh, Z.; Abbasi, N.A.; Swinny, E.E. Pre-or post-harvest applications of putrescine and low temperature storage affect fruit ripening and quality of ‘Angelino’ plum. J. Sci. Food Agric. 2008, 88, 1686–1695. [Google Scholar] [CrossRef]
- Liu, W.T.; Chu, C.L.; Zhou, T. Thymol and acetic acid vapors reduce postharvest brown rot of apricots and plums. HortScience 2002, 37, 151–156. [Google Scholar] [CrossRef]
- Grzegorczyk, M.; Żarowska, B.; Restuccia, C.; Cirvilleri, G. Postharvest biocontrol ability of killer yeasts against Monilinia fructigena and Monilinia fructicola on stone fruit. Food Microbiol. 2017, 61, 93–101. [Google Scholar] [CrossRef]
- Mandal, G.; Singh, D.; Sharma, R.R. Effect of hot water treatment and biocontrol agent (Debaryomyces hansenii) on shelf-life of peach. Indian J. Hortic. 2007, 64, 25–28. [Google Scholar]
- Karabulut, O.A.; Baykal, N. Biological control of postharvest diseases of peaches and nectarines by yeasts. J. Phytopathol. 2003, 151, 130–134. [Google Scholar] [CrossRef]
- Zhang, J.; Xie, J.; Zhou, Y.; Deng, L.; Yao, S.; Zeng, K. Inhibitory effect of Pichia membranaefaciens and Kloeckera apiculata against Monilinia fructicola and their biocontrol ability of brown rot in postharvest plum. Biol. Control 2017, 114, 51–58. [Google Scholar] [CrossRef]
- Mari, M.; Martini, C.; Guidarelli, M.; Neri, F. Postharvest biocontrol of Monilinia laxa, Monilinia fructicola and Monilinia fructigena on stone fruit by two Aureobasidium pullulans strains. Biol. Control 2012, 60, 132–140. [Google Scholar] [CrossRef]
- Zhang, D.; Spadaro, D.; Garibaldi, A.; Gullino, M.L. Efficacy of the antagonist Aureobasidium pullulans PL5 against postharvest pathogens of peach, apple and plum and its modes of action. Biol. Control 2010, 54, 172–180. [Google Scholar] [CrossRef]
- Zou, X.; Wei, Y.; Jiang, S.; Cao, Z.; Xu, F.; Wang, H.; Zhan, P.; Shao, X. Volatile organic compounds and rapid proliferation of Candida pseudolambica W16 are modes of action against gray mold in peach fruit. Postharvest Biol. Technol. 2022, 183, 111751. [Google Scholar] [CrossRef]
- Ruiz-Moyano, S.; Hernández, A.; Galvan, A.I.; Córdoba, M.G.; Casquete, R.; Serradilla, M.J.; Martín, A. Selection and application of antifungal VOCs-producing yeasts as biocontrol agents of grey mould in fruits. Food Microbiol. 2020, 92, 103556. [Google Scholar] [CrossRef]
- Tejero, P.; Martín, A.; Rodríguez, A.; Galván, A.I.; Ruiz-Moyano, S.; Hernández, A. In Vitro Biological Control of Aspergillus flavus by Hanseniaspora opuntiae L479 and Hanseniaspora uvarum L793, Producers of Antifungal Volatile Organic Compounds. Toxins 2021, 13, 663. [Google Scholar] [CrossRef]
- Cabañas, C.M.; Hernández, A.; Serradilla, M.J.; Moraga, C.; Martín, A.; Córdoba, M.D.G.; Ruiz-Moyano, S. Improvement of shelf-life of cherry (Prunus avium L.) by combined application of modified-atmosphere packaging and antagonistic yeast for long-distance export. J. Sci. Food Agric. 2023, 130, 4592–4602. [Google Scholar] [CrossRef]
- De Paiva, E.; Serradilla, M.J.; Ruiz-Moyano, S.; Córdoba, M.G.; Villalobos, M.C.; Casquete, R.; Hernández, A. Combined effect of antagonistic yeast and modified atmosphere to control Penicillium expansum infection in sweet cherries cv. Ambrunés. Int. J. Food Microbiol. 2017, 241, 276–282. [Google Scholar] [CrossRef]
- Ruiz-Moyano, S.; Martín, A.; Villalobos, M.C.; Calle, A.; Serradilla, M.J.; Córdoba, M.G.; Hernández, A. Yeasts isolated from figs (Ficus carica L.) as biocontrol agents of postharvest fruit diseases. Food Microbiol. 2016, 57, 45–53. [Google Scholar] [CrossRef] [PubMed]
- Ruiz-Moyano, S.; Esperilla, A.; Hernández, A.; Benito, M.J.; Casquete, R.; Martín-Vertedor, D.; Pérez-Nevado, F. Application of ISSR-PCR as a rapid method for clustering and typing of yeasts isolated from table olives. LWT 2019, 109, 250–254. [Google Scholar] [CrossRef]
- Fodor, M.; Jókai, Z.; Matkovits, A.; Benes, E. Assessment of Maturity of Plum Samples Using Fourier Transform Near-Infrared Technique Combined with Chemometric Methods. Foods 2023, 12, 3059. [Google Scholar] [CrossRef] [PubMed]
- Valero, D.; Martínez-Romero, D.; Valverde, J.M.; Guillen, F.; Serrano, M. Quality improvement and extension of shelf life by 1-methylcyclopropene in plum as affected by ripening stage at harvest. Innov. Food Sci. Emerg. Technol. 2003, 4, 339–348. [Google Scholar] [CrossRef]
- Zhao, L.; Zhou, Y.; Liang, L.; Godana, E.A.; Zhang, X.; Yang, X.; Wu, M.; Song, Y.; Zhang, H. Changes in quality and microbiome composition of strawberry fruits following postharvest application of Debaryomyces hansenii, a yeast biocontrol agent. Postharvest Biol. Technol. 2023, 202, 112379. [Google Scholar] [CrossRef]
- Iñiguez-Moreno, M.; Ragazzo-Sánchez, J.A.; Barros-Castillo, J.C.; Sandoval-Contreras, T.; Calderón-Santoyo, M. Sodium alginate coatings added with Meyerozyma caribbica: Postharvest biocontrol of Colletotrichum gloeosporioides in avocado (Persea americana Mill. cv. Hass). Postharvest Biol. Technol. 2020, 163, 111123. [Google Scholar] [CrossRef]
- Xu, Y.; Huan, C.; Jiang, T.; Zheng, X.; Brecht, J.K. Effects of 1methylcyclopropene treatment on quality and anthocyanin biosynthesis in plum (Prunus salicina cv. Taoxingli) fruit during storage at a non-chilling temperature. Postharvest Biol. Technol. 2020, 169, 111291. [Google Scholar] [CrossRef]
- Rocha-Pimienta, J.; Llera-Oyola, J.; Bote, M.E.; Ayuso-Yuste, M.C.; Bernalte, M.J.; Velardo, B.; Delgado-Adamez, J. Influence of storage period and shelf-life on the incidence of chilling injury and microbial load in “Angeleno” and “Larry Ann” plums. Emir. J. Food Agric. 2020, 32, 376–383. [Google Scholar] [CrossRef]
- Sipiczki, M. Metschnikowia strains isolated from botrytized grapes antagonize fungal and bacterial growth by iron depletion. Appl. Environ. Microbiol. 2006, 72, 6716–6724. [Google Scholar] [CrossRef]
- Sipiczki, M. Metschnikowia pulcherrima and related pulcherrimin-producing yeasts: Fuzzy species boundaries and complex antimicrobial antagonism. Microorganisms 2020, 8, 1029. [Google Scholar] [CrossRef]
- Bautista-Ortín, A.B.; Romero-Cascales, I.; Fernández-Fernández, J.I.; López-Roca, J.M.; Gómez-Plaza, E. Influence of the yeast strain on Monastrell wine colour. Innov. Food Sci. Emerg. Technol. 2007, 8, 322–328. [Google Scholar] [CrossRef]
- Escott, C.; Del Fresno, J.M.; Loira, I.; Morata, A.; Tesfaye, W.; del Carmen González, M.; Suárez-Lepe, J.A. Formation of polymeric pigments in red wines through sequential fermentation of flavanol-enriched musts with non-Saccharomyces yeasts. Food Chem. 2018, 239, 975–983. [Google Scholar] [CrossRef] [PubMed]
- Morata, A.; Loira, I.; Escott, C.; del Fresno, J.M.; Bañuelos, M.A.; Suárez-Lepe, J.A. Applications of Metschnikowia pulcherrima in wine biotechnology. Fermentation 2019, 5, 63. [Google Scholar] [CrossRef]
- Tian, Y.Q.; Li, W.; Jiang, Z.T.; Jing, M.M.; Shao, Y.Z. The preservation effect of Metschnikowia pulcherrima yeast on anthracnose of postharvest mango fruits and the possible mechanism. Food Sci. Biotechnol. 2018, 27, 95–105. [Google Scholar] [CrossRef]
- Díaz-Mula, H.M.; Martínez-Romero, D.; Castillo, S.; Serrano, M.; Valero, D. Modified atmosphere packaging of yellow and purple plum cultivars. 1. Effect on organoleptic quality. Postharvest Biol. Technol. 2011, 61, 103–109. [Google Scholar] [CrossRef]
- Martínez-Esplá, A.; Serrano, M.; Martínez-Romero, D.; Valero, D.; Zapata, P.J. Oxalic acid preharvest treatment increases antioxidant systems and improves plum quality at harvest and during postharvest storage. J. Sci. Food Agric. 2019, 99, 235–243. [Google Scholar] [CrossRef]
- Liu, K.; Yuan, C.; Chen, Y.; Li, H.; Liu, J. Combined effects of ascorbic acid and chitosan on the quality maintenance and shelf life of plums. Sci. Hortic. 2014, 176, 45–53. [Google Scholar] [CrossRef]
- Avcı, V.; Islam, A.; Ozturk, B.; Aglar, E. Effects of Aloe vera gel and modified atmosphere packaging treatments on quality properties and bioactive compounds of plum (Prunus salicina L.) fruit throughout cold storage and shelflife. Erwerbs-Obstbau 2023, 65, 71–82. [Google Scholar] [CrossRef]
- Fawole, O.A.; Riva, S.C.; Opara, U.L. Efficacy of edible coatings in alleviating shrivel and maintaining quality of Japanese plum (Prunus salicina Lindl.) during export and shelf life conditions. Agronomy 2020, 10, 1023. [Google Scholar] [CrossRef]
- Zhang, Q.; Guan, W.; Xiong, J.; Lin, H.; Wang, X.; Huang, M.; Tan, J.; Lei, G.; Luo, Q.; Zhao, Q. Combined effects of paper-containing 1-methylcyclopropene with nitrogen-modified atmosphere packaging in the logistics process of e-commerce on fruit quality of plum (Prunus salicina cv.‘Qingcuili’) during shelf life. Int. J. Food Sci. Technol. 2023, 58, 4144–4154. [Google Scholar] [CrossRef]
- Lozano, M.; Vidal-Aragón, M.C.; Hernández, M.T.; Ayuso, M.C.; Bernalte, M.J.; García, J.; Velardo, B. Physicochemical and nutritional properties and volatile constituents of six Japanese plum (Prunus salicina Lindl.) cultivars. Eur. Food Res. Technol. 2009, 228, 403–410. [Google Scholar] [CrossRef]
- Panahirad, S.; Naghshiband-Hassani, R.; Ghanbarzadeh, B.; Zaare-Nahandi, F.; Mahna, N. Shelf life quality of plum fruits (Prunus domestica L.) improves with carboxymethylcellulose-based edible coating. HortScience 2019, 54, 505–510. [Google Scholar] [CrossRef]
- Guo, H.; Qin, X.; Wu, Y.; Yu, W.; Liu, J.; Xi, Y.; Dou, G.; Wang, L.; Xiao, H. Biocontrol of gray mold of cherry tomatoes with the volatile organic monomer from Hanseniaspora uvarum, trans-cinnamaldehyde. Food Bioprocess. Technol. 2019, 12, 1809–1820. [Google Scholar] [CrossRef]
- Liu, H.M.; Guo, J.H.; Cheng, Y.J.; Luo, L.; Liu, P.; Wang, B.Q.; Deng, B.X.; Long, C.A. Control of gray mold of grape by Hanseniaspora uvarum and its effects on postharvest quality parameters. Ann. Microbiol. 2010, 60, 31–35. [Google Scholar] [CrossRef]
- Türkel, S.; Korukluoğlu, M.; Yavuz, M. Biocontrol activity of the local strain of Metschnikowia pulcherrima on different postharvest pathogens. Biotechnol. Res. Int. 2014, 2014, 397167. [Google Scholar] [CrossRef] [PubMed]
- Li, H.; Huang, Z.; Addo, K.A.; Yu, Y. Evaluation of postharvest quality of plum (Prunus salicina L. cv.‘French’) treated with layer-by-layer edible coating during storage. Sci. Hortic. 2022, 304, 111310. [Google Scholar] [CrossRef]
- Diaz-Mula, H.M.; Zapata, P.J.; Guillén, F.; Martínez-Romero, D.; Castillo, S.; Serrano, M.; Valero, D. Changes in hydrophilic and lipophilic antioxidant activity and related bioactive compounds during postharvest storage of yellow and purple plum cultivars. Postharvest Biol. Technol. 2009, 51, 354–363. [Google Scholar] [CrossRef]
- Yuan, Z.; Ge, Z.; Fu, Q.; Wang, F.; Wang, Q.; Shi, X.; Wang, B. Investigation of cold-resistance mechanisms in cryophylactic yeast Metschnikowia pulcherrima based on comparative transcriptome analysis. Front. Microbiol. 2024, 15, 1476087. [Google Scholar] [CrossRef]




| Cold Storage | |||||||||||||
|---|---|---|---|---|---|---|---|---|---|---|---|---|---|
| D0 | D7 | D14 | D21 | D28 | D35 | D42 | D49 | D56 | D63 | D70 | D77 | Mean | |
| Firmness (N/mm) | |||||||||||||
| Control | 11.38 b ± 2.11 | 15.13 a ± 5.18 | 11.21 a ± 1.79 | 9.98 a ± 2.12 | 10.18 a ± 3.34 | 7.19 a,b ± 3.28 | 6.49 a ± 1.87 | 7.05 b ± 1.17 | 5.01 b ± 1.22 | 8.14 a ± 2.09 | 7.70 a ± 1.88 | 5.59 a ± 1.91 | 8.75 a ± 3.71 |
| L672 | 15.23 a ± 5.14 | 12.58 a ± 3.36 | 8.86 a ± 2.88 | 9.59 a ± 2.09 | 6.34 b ± 1.78 | 6.44 b ± 2.51 | 5.84 a ± 2.54 | 9.34 a ± 1.79 | 8.48 a ± 1.59 | 8.42 a ± 1.99 | 6.79 a ± 1.32 | 7.91 a ± 2.84 | 8.82 a ± 3.66 |
| L793 | 14.20 a,b ± 1.76 | 14.96 a ± 4.19 | 10.25 a ± 4.05 | 10.46 a ± 2.89 | 9.30 a,b ± 3.94 | 9.90 a ± 2.56 | 6.09 a ± 1.31 | 5.19 c ± 0.95 | 6.82 a ± 1.92 | 7.80 a ± 1.55 | 6.85 a ± 3.10 | 6.11 a ± 3.58 | 8.99 a ± 4.07 |
| p | 0.044 | 0.350 | 0.242 | 0.725 | 0.029 | 0.026 | 0.764 | 0.000 | 0.000 | 0.762 | 0.598 | 0.182 | 0.882 |
| TA (g Malic Acid per 100 g Fresh Weight (FW)) | |||||||||||||
| Control | 2.54 a ± 0.00 | 1.68 a ± 0.38 | 1.84 a ± 0.07 | 1.90 a ± 0.12 | 2.03 a ± 0.06 | 1.63 b ± 0.08 | 1.66 b ± 0.07 | 1.96 b ± 0.02 | 1.45 b ± 0.03 | 1.32 a ± 0.09 | 1.43 a ± 0.05 | 1.27 b ± 0.05 | 1.70 a ± 0.34 |
| L672 | 2.09 b ± 0.10 | 1.85 a ± 0.15 | 1.91 a ± 0.09 | 2.09 a ± 0.03 | 2.09 a ± 0.01 | 1.75 b ± 0.06 | 2.13 a ± 0.08 | 1.73 c ± 0.04 | 1.57 a ± 0.04 | 1.33 a ± 0.03 | 1.33 a,b ± 0.06 | 1.33 a,b ± 0.05 | 1.76 a ± 0.31 |
| L793 | 2.09 b ± 0.06 | 1.98 a ± 0.09 | 1.78 a ± 0.02 | 1.94 a ± 0.17 | 2.13 a ± 0.13 | 2.18 a ± 0.14 | 1.99 a ± 0.12 | 2.09 a ± 0.08 | 1.59 a ± 0.03 | 1.38 a ± 0.04 | 1.22 b ± 0.04 | 1.42 a ± 0.03 | 1.80 a ± 0.33 |
| p | 0.011 | 0.486 | 0.160 | 0.224 | 0.444 | 0.001 | 0.002 | 0.000 | 0.003 | 0.522 | 0.007 | 0.013 | 0.835 |
| TSS (°Brix) | |||||||||||||
| Control | 17.40 a ± 0.14 | 17.63 a ± 0.12 | 16.80 b ± 0.10 | 17.53 a ± 0.29 | 17.37 b ± 0.06 | 17.63 a ± 0.06 | 17.47 a ± 0.15 | 17.47 a ± 0.06 | 18.77 a ± 0.06 | 17.10 b ± 0.20 | 17.20 a ± 0.35 | 15.87 c ± 0.15 | 17.35 a ± 0.67 |
| L672 | 17.25 a ± 0.07 | 16.73 b ± 0.25 | 16.50 c ± 0.10 | 16.87 b ± 0.06 | 17.80 a ± 0.00 | 17.83 a ± 0.12 | 17.53 a ± 0.06 | 17.30 a ± 0.44 | 17.37 c ± 0.23 | 17.80 a ± 0.17 | 17.73 a ± 0.06 | 17.83 a ± 0.21 | 17.38 a ± 0.48 |
| L793 | 17.30 a ± 0.00 | 17.00 a,b ± 0.40 | 17.17 a ± 0.06 | 17.97 a ± 0.06 | 17.87 a ± 0.06 | 16.77 b ± 0.06 | 16.67 b ± 0.21 | 16.97 a ± 0.06 | 17.87 b ± 0.06 | 16.93 b ± 0.06 | 15.90 b ± 0.44 | 17.43 b ± 0.06 | 17.14 a ± 0.60 |
| p | 0.372 | 0.020 | 0.000 | 0.001 | 0.000 | 0.000 | 0.001 | 0.127 | 0.000 | 0.001 | 0.001 | 0.000 | 0.201 |
| Cold Storage | |||||||||||||
|---|---|---|---|---|---|---|---|---|---|---|---|---|---|
| D0 | D7 | D14 | D21 | D28 | D35 | D42 | D49 | D56 | D63 | D70 | D77 | Mean | |
| Ripening Index | |||||||||||||
| Control | 6.86 b ± 0.07 | 10.86 a ± 2.24 | 9.12 a,b ± 0.30 | 9.24 a ± 0.46 | 8.54 a ± 0.26 | 10.81 a ± 0.55 | 10.56 a ± 0.43 | 8.92 b ± 0.11 | 12.94 a ± 0.25 | 12.96 a ± 1.05 | 12.00 b ± 0.31 | 12.55 a ± 0.56 | 10.55 a ± 1.93 |
| L672 | 8.28 a ± 0.36 | 9.07 a ± 0.64 | 8.67 b ± 0.40 | 8.08 a ± 0.13 | 8.53 a ± 0.03 | 10.22 a ± 0.42 | 8.23 b ± 0.29 | 9.98 a ± 0.19 | 11.06 b ± 0.39 | 13.39 a ± 0.20 | 13.39 a ± 0.62 | 13.43 a ± 0.60 | 10.25 a ± 2.10 |
| L793 | 8.27 a ± 0.25 | 8.87 a ± 0.36 | 9.63 a ± 0.09 | 9.33 a ± 0.89 | 8.42 a ± 0.55 | 7.70 b ± 0.50 | 8.39 b ± 0.58 | 8.13 c ± 0.32 | 11.22 b ± 0.22 | 12.30 a ± 0.31 | 13.00 a,b ± 0.28 | 12.26 a ± 0.24 | 9.84 a ± 1.87 |
| p | 0.0180 | 0.225 | 0.021 | 0.070 | 0.891 | 0.001 | 0.001 | 0.000 | 0.000 | 0.195 | 0.019 | 0.063 | 0.318 |
| pH | |||||||||||||
| Control | 3.56 a ± 0.15 | 3.57 a ± 0.05 | 3.44 a ± 0.06 | 3.53 a ± 0.04 | 3.65 a ± 0.02 | 3.81 a ± 0.08 | 3.94 a ± 0.03 | 3.81 b ± 0.04 | 3.90 a ± 0.03 | 3.87 b ± 0.04 | 3.90 a ± 0.06 | 3.87 b ± 0.03 | 3.74 a ± 0.18 |
| L672 | 3.17 a ± 0.08 | 3.35 a ± 0.35 | 3.42 a ± 0.04 | 3.11 a ± 0.40 | 3.58 b ± 0.02 | 3.78 a ± 0.02 | 3.82 b ± 0.02 | 3.98 a ± 0.05 | 3.79 a ± 0.09 | 4.04 a ± 0.09 | 3.45 a ± 0.66 | 3.95 a ± 0.01 | 3.63 a ± 0.37 |
| L793 | 3.53 a ± 0.06 | 3.29 a ± 0.39 | 3.51 a ± 0.03 | 3.32 a ± 0.33 | 3.61 a,b ± 0.02 | 3.77 a ± 0.04 | 3.83 b ± 0.01 | 3.83 b ± 0.05 | 3.80 a ± 0.05 | 3.89 b ± 0.01 | 3.72 a ± 0.16 | 3.92 a ± 0.01 | 3.67 a ± 0.25 |
| p | 0.056 | 0.537 | 0.116 | 0.295 | 0.014 | 0.575 | 0.001 | 0.008 | 0.135 | 0.022 | 0.416 | 0.003 | 0.241 |
Disclaimer/Publisher’s Note: The statements, opinions and data contained in all publications are solely those of the individual author(s) and contributor(s) and not of MDPI and/or the editor(s). MDPI and/or the editor(s) disclaim responsibility for any injury to people or property resulting from any ideas, methods, instructions or products referred to in the content. |
© 2025 by the authors. Licensee MDPI, Basel, Switzerland. This article is an open access article distributed under the terms and conditions of the Creative Commons Attribution (CC BY) license (https://creativecommons.org/licenses/by/4.0/).
Share and Cite
Tejero, P.; Rodríguez, A.; Martín, A.; Moraga, C.; Aranda, E.; Hernández, A. Effects on Quality of Application of Two Antagonistic Yeasts on Plums (Prunus salicina) During Postharvest Cold Storage. Foods 2025, 14, 3101. https://doi.org/10.3390/foods14173101
Tejero P, Rodríguez A, Martín A, Moraga C, Aranda E, Hernández A. Effects on Quality of Application of Two Antagonistic Yeasts on Plums (Prunus salicina) During Postharvest Cold Storage. Foods. 2025; 14(17):3101. https://doi.org/10.3390/foods14173101
Chicago/Turabian StyleTejero, Paula, Alicia Rodríguez, Alberto Martín, Carlos Moraga, Emilio Aranda, and Alejandro Hernández. 2025. "Effects on Quality of Application of Two Antagonistic Yeasts on Plums (Prunus salicina) During Postharvest Cold Storage" Foods 14, no. 17: 3101. https://doi.org/10.3390/foods14173101
APA StyleTejero, P., Rodríguez, A., Martín, A., Moraga, C., Aranda, E., & Hernández, A. (2025). Effects on Quality of Application of Two Antagonistic Yeasts on Plums (Prunus salicina) During Postharvest Cold Storage. Foods, 14(17), 3101. https://doi.org/10.3390/foods14173101

