L-Cysteine Treatment Delays Leaf Senescence in Chinese Flowering Cabbage by Regulating ROS Metabolism and Stimulating Endogenous H2S Production
Abstract
1. Introduction
2. Materials and Methods
2.1. Plant Material and Treatment
2.2. Determination of Chlorophyll Contents and Chlorophyll Fluorescence
2.3. Determination of Nutritional Quality Parameters
2.4. Determination of Parameters Associated with Oxidative Stress and Antioxidant Defense
2.5. Determination of Components in AsA-GSH Cycle
2.6. Determination of Antioxidant Enzyme Activity
2.7. Determination of Endogenous H2S Content and L-Cysteine Desulfhydrase (LCD) Activity
2.8. RNA Extraction and Real-Time Quantitative PCR (RT-qPCR)
2.9. Statistics Analysis
3. Results
3.1. Impact of L-Cysteine Treatment on Color Changes and Chlorophyll Degradation
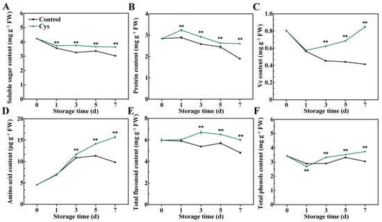
3.2. Impact of L-Cysteine Treatment on Nutritional Quality
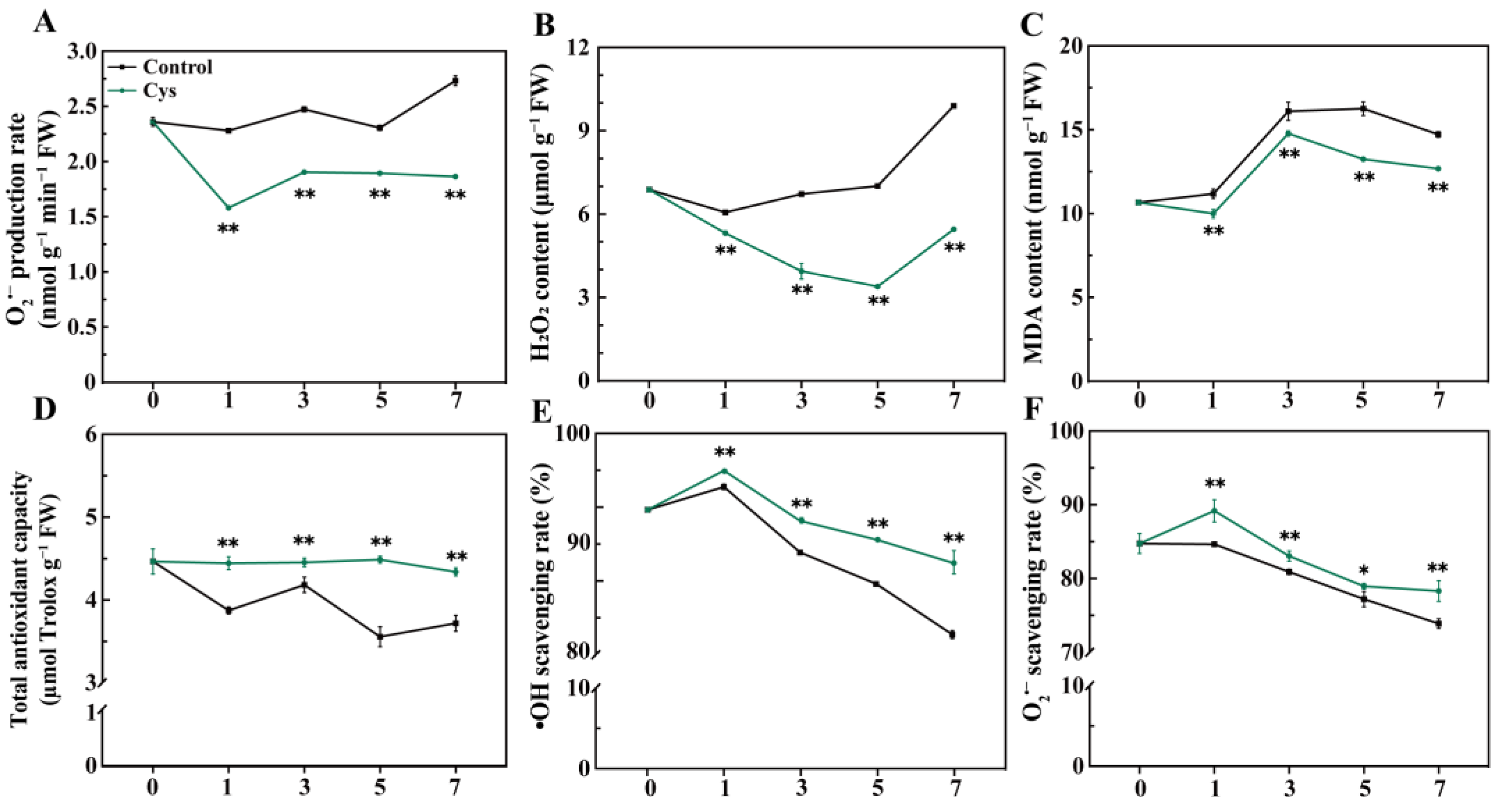
3.3. Effect of L-Cysteine Treatment on ROS Metabolism During Cabbage Leaf Senescence
3.4. Effect of L-Cysteine Treatment on the Modulation of AsA-GSH Cycle-Associated Antioxidant Levels
3.5. Effect of L-Cysteine Treatment on the Activity and the Expression of AsA-GSH Pathway-Related Enzymes
3.6. Effects of L-Cysteine Treatment on the Activities and Gene Expression of POD, SOD, and CAT
3.7. Effect of L-Cys Treatment on the Endogenous H2S Levels, LCD Activity, and Gene Expression of BrLCD, BrCYS-C1, BrCYS-D1
3.8. Correlation Analysis of Chlorophyll Degradation, Nutritional Quality, ROS Metabolism, and H2S Metabolism
4. Discussion
5. Conclusions
Supplementary Materials
Author Contributions
Funding
Institutional Review Board Statement
Informed Consent Statement
Data Availability Statement
Conflicts of Interest
References
- Li, F.J.; Huang, H.; Ding, X.C.; Liu, J.; He, M.Y.; Shan, Y.X.; Qu, H.X.; Jiang, Y.M. Effect of CPPU on postharvest attributes of Chinese flowering cabbage during storage. Postharvest Biol. Technol. 2021, 174, 111438. [Google Scholar] [CrossRef]
- Tan, X.L.; Zhao, Y.T.; Shan, W.; Kuang, J.F.; Lu, W.J.; Su, X.G.; Tao, N.G.; Lakshmanan, P.; Chen, J.Y. Melatonin delays leaf senescence of postharvest Chinese flowering cabbage through ROS homeostasis. Food Res. Int. 2020, 138, 109790. [Google Scholar] [CrossRef] [PubMed]
- Wang, C.M.; Zeng, Z.X.; Liu, Z.L.; Zhu, J.H.; Su, X.G.; Huang, R.M.; Wei, W.; Shan, W.; Kuang, J.F.; Lu, W.J.; et al. BrARR10 contributes to 6-BA-delayed leaf senescence in Chinese flowering cabbage by activating genes related to CTK, GA and ABA metabolism. Postharvest Biol. Technol. 2024, 216, 113084. [Google Scholar] [CrossRef]
- Yue, L.Q.; Kang, Y.Y.; Li, Y.S.; Kang, D.J.; Zhong, M.; Chai, X.R.; Guo, J.X.; Yang, X. 1-Methylcyclopropene promotes glucosinolate biosynthesis through BrWRKY12 mediated jasmonic acid biosynthesis in postharvest flowering Chinese cabbage. Postharvest Biol. Technol. 2023, 203, 112415. [Google Scholar] [CrossRef]
- Gogo, E.O.; Opiyo, A.M.; Hassenberg, K.; Ulrichs, C.; Huyskens-Keil, S. Postharvest UV-C treatment for extending shelf life and improving nutritional quality of African indigenous leafy vegetables. Postharvest Biol. Technol. 2017, 129, 107–117. [Google Scholar] [CrossRef]
- Mou, Z.L.; Wang, C.X.; Wei, W.; Zhao, Y.T.; Wang, L.; Ji, S.J.; Shan, W.; Kuang, J.F.; Lu, W.J.; Chen, Y.L.; et al. Modified atmosphere packaging delays postharvest leaf senescence of Chinese flowering cabbage via suppressing chloroplast dismantling and alleviating mitochondrial oxidative damage. Food Packag. Shelf Life 2023, 39, 101136. [Google Scholar] [CrossRef]
- Wang, P.T.; Liu, W.C.; Han, C.; Wang, S.T.; Bai, M.Y.; Song, C.P. Reactive oxygen species: Multidimensional regulators of plant adaptation to abiotic stress and development. J. Integr. Plant Biol. 2024, 66, 330–367. [Google Scholar] [CrossRef]
- Dumont, S.; Rivoal, J. Consequences of oxidative stress on plant glycolytic and respiratory metabolism. Front. Plant Sci. 2019, 10, 166. [Google Scholar] [CrossRef]
- Song, L.L.; Yu, H.T.; Yu, Z.F. Methylcyclopropene treatment retards the yellowing in pak choi (Brassica rapa subsp. Chinensis) through modulating the programmed cell death during storage at 20 °C. Sci. Hortic. 2023, 312, 111885. [Google Scholar] [CrossRef]
- Xu, Y.M.; Cai, Z.J.; Ba, L.J.; Qin, Y.H.; Su, X.G.; Luo, D.L.; Shan, W.; Kuang, J.F.; Lu, W.J.; Li, L.L.; et al. Maintenance of postharvest quality and reactive oxygen species homeostasis of pitaya fruit by essential oil p-anisaldehyde treatment. Foods 2021, 10, 2434. [Google Scholar] [CrossRef]
- Xiao, X.M.; Si, J.; Wei, W.; Yang, Y.Y.; Shan, W.; Kuang, J.F.; Lu, W.J.; Chen, J.Y.; Chen, J.W. Banana ERF transcription factor MaERF110 is involved in ethylene-induced chilling tolerance by regulating ROS accumulation. Postharvest Biol. Technol. 2023, 197, 112218. [Google Scholar] [CrossRef]
- Álvarez, C.; Ángeles Bermúdez, M.; Romero, L.C.; Gotor, C.; García, I. Cysteine homeostasis plays an essential role in plant immunity. New Phytol. 2012, 193, 165–177. [Google Scholar] [CrossRef] [PubMed]
- Bata Gouda, M.H.; Zhang, C.J.; Peng, S.J.; Kong, X.X.; Chen, Y.R.; Li, H.; Li, X.R.; Luo, H.B.; Yu, L.J. Combination of sodium alginate-based coating with l-cysteine and citric acid extends the shelf-life of fresh-cut lotus root slices by inhibiting browning and microbial growth. Postharvest Biol. Technol. 2021, 175, 111502. [Google Scholar] [CrossRef]
- Gohari, G.; Molaei, S.; Kheiry, A.; Ghafouri, M.; Razavi, F.; Lorenzo, J.M.; Juárez-Maldonado, A. Exogenous application of proline and l-cysteine alleviates internal browning and maintains eating quality of cold stored flat ‘Maleki’ peach fruits. Horticulturae 2021, 7, 469. [Google Scholar] [CrossRef]
- Al Ubeed, H.M.S.; Wills, R.B.H.; Bowyer, M.C.; Golding, J.B. Inhibition of postharvest senescence of green leafy vegetables by exogenous D-Cysteine and L-Cysteine as precursors of hydrogen sulphide. J. Hortic. Sci. Biotechnol. 2019, 94, 620–626. [Google Scholar] [CrossRef]
- Zhang, X.Y.; Liu, J.R.; Su, L.Q.; Zhang, S.; Shi, J.Y.; Wang, Q.G.; Peng, Y. Pre-cut L-cysteine treatment inhibited the browning of fresh-cut apples by regulating enzyme activities and amino acid levels. Postharvest Biol. Technol. 2023, 205, 112528. [Google Scholar] [CrossRef]
- Banin Sogvar, O.; Razavi, F.; Rabiei, V.; Gohari, G. Postharvest application of L-cysteine to prevent enzymatic browning of “Stanley” plum fruit during cold storage. J. Food Process. Preserv. 2020, 44, e14788. [Google Scholar] [CrossRef]
- Huo, J.Q.; Huang, D.J.; Zhang, J.; Fang, H.; Wang, B.; Wang, C.L.; Liao, W.B. Hydrogen sulfide: A gaseous molecule in postharvest freshness. Front. Plant Sci. 2018, 9, 1172. [Google Scholar] [CrossRef]
- Jiang, W.W.; Zhu, D.; Zhao, L.G.; Liu, Y.; Wang, C.P.; Farid, M.S.; Gu, Y.Y.; Li, J.; Li, T.H.; Sun, Y.N.; et al. L-cysteine treatment delayed the quality deterioration of fresh-cut button mushrooms by regulating oxygen metabolism, inhibiting water loss, and stimulating endogenous H2S production. J. Agric. Food Chem. 2023, 71, 974–984. [Google Scholar] [CrossRef]
- Jardine, D.; Antolovich, M.; Prenzler, P.D.; Robards, K. Liquid chromatography−mass spectrometry (LC-MS) investigation of the thiobarbituric acid reactive substances (TBARS) reaction. J. Agric. Food Chem. 2002, 50, 1720–1724. [Google Scholar] [CrossRef]
- Rana, S.; Rayhan, N.M.A.; Emon, S.H.; Islam, T.; Rathry, K.; Hasan, M.; Islam Mansur, M.; Srijon, B.C.; Islam, M.S.; Ray, A.; et al. Antioxidant activity of Schiff base ligands using the DPPH scavenging assay: An Updated Review. RSC Adv. 2024, 14, 33094–33123. [Google Scholar] [CrossRef] [PubMed]
- Kertulis-Tartar, G.M.; Rathinasabapathi, B.; Ma, L.Q. Characterization of glutathione reductase and catalase in the fronds of two Pteris ferns upon arsenic exposure. Plant Physiol. Biochem. 2009, 47, 960–965. [Google Scholar] [CrossRef] [PubMed]
- Hu, H.L.; Liu, D.; Li, P.X.; Shen, W.B. Hydrogen sulfide delays leaf yellowing of stored water spinach (Ipomoea aquatica) during dark-induced senescence by delaying chlorophyll breakdown, maintaining energy status and increasing antioxidative capacity. Postharvest Biol. Technol. 2015, 108, 8–20. [Google Scholar] [CrossRef]
- Li, Z.G. Analysis of some enzymes activities of hydrogen sulfide metabolism in plants. In Methods in Enzymology; Elsevier: Amsterdam, The Netherlands, 2015; Volume 555, pp. 253–269. ISBN 978-0-12-801511-7. [Google Scholar]
- Zhou, X.R.; Xiao, Y.J.; Meng, X.H.; Liu, B.J. Full inhibition of Whangkeumbae pear polyphenol oxidase enzymatic browning reaction by L-cysteine. Food Chem. 2018, 266, 1–8. [Google Scholar] [CrossRef]
- Rogers, H.; Munné-Bosch, S. Production and scavenging of reactive oxygen species and redox signaling during leaf and flower senescence: Similar but different. Plant Physiol. 2016, 171, 1560–1568. [Google Scholar] [CrossRef]
- Zhang, X.L.; Zhang, Z.Q.; Li, J.; Wu, L.J.; Guo, J.Y.; Ouyang, L.Q.; Xia, Y.Y.; Huang, X.M.; Pang, X.Q. Correlation of leaf senescence and gene expression/activities of chlorophyll degradation enzymes in harvested Chinese flowering cabbage (Brassica rapa var. parachinensis). J. Plant Physiol. 2011, 168, 2081–2087. [Google Scholar] [CrossRef]
- Kuang, L.F.; Kang, Y.Y.; Wang, H.; Huang, R.M.; Lei, B.F.; Zhong, M.; Yang, X. The roles of Salvia miltiorrhiza-derived carbon dots involving in maintaining quality by delaying senescence of postharvest flowering Chinese cabbage. Food Chem. 2023, 404, 134704. [Google Scholar] [CrossRef]
- Wu, X.T.; Guo, X.N.; Zhu, K.X. Inhibition of L-cysteine on the browning of fresh wet noodles. Foods 2021, 10, 1156. [Google Scholar] [CrossRef]
- Pace, B.; Capotorto, I.; Ventura, M.; Cefola, M. Evaluation of L-cysteine as anti-browning agent in fresh-cut lettuce processing: L-cysteine preserves fresh-cut lettuce quality. J. Food Process. Preserv. 2015, 39, 985–993. [Google Scholar] [CrossRef]
- Wang, X.; Rehmani, M.S.; Chen, Q.Q.; Yan, J.L.; Zhao, P.Y.; Li, C.; Zhai, Z.K.; Zhou, N.; Yang, B.; Jiang, Y.Q. Rapeseed NAM transcription factor positively regulates leaf senescence via controlling senescence-associated gene expression. Plant Sci. 2022, 323, 111373. [Google Scholar] [CrossRef]
- Nasibi, F.; Farahmand, H.; Kamyab, A.; Alipour, S. Effects of arginine, cysteine and 5-sulfosalicylic acid on of vase life of tuberose cut flowers. Agric. Commun. 2014, 2, 35–41. [Google Scholar]
- Hasanuzzaman, M.; Bhuyan, M.H.M.B.; Anee, T.I.; Parvin, K.; Nahar, K.; Mahmud, J.A.; Fujita, M. Regulation of ascorbate-glutathione pathway in mitigating oxidative damage in plants under abiotic stress. Antioxidants 2019, 8, 384. [Google Scholar] [CrossRef] [PubMed]
- Venkateswarlu, B.; Shanker, A.K.; Shanker, C.; Maheswari, M. Crop Stress and Its Management: Perspectives and Strategies; Springer: Dordrecht, The Netherlands, 2012; ISBN 978-94-007-2219-4. [Google Scholar]
- Rehman, S.; Abbas, G.; Shahid, M.; Saqib, M.; Umer Farooq, A.B.; Hussain, M.; Murtaza, B.; Amjad, M.; Naeem, M.A.; Farooq, A. Effect of salinity on cadmium tolerance, ionic homeostasis and oxidative stress responses in conocarpus exposed to cadmium stress: Implications for phytoremediation. Ecotoxicol. Environ. Saf. 2019, 171, 146–153. [Google Scholar] [CrossRef] [PubMed]
- Grzegorzewska, A.K.; Wolak, D.; Hrabia, A. Effect of tamoxifen treatment on catalase (CAT) and superoxide dismutase (SOD) expression and localization in the hen oviduct. Theriogenology 2024, 214, 73–80. [Google Scholar] [CrossRef]
- Wang, C.M.; Yang, Y.Y.; Chen, N.H.; Zeng, Z.X.; Ji, S.J.; Shan, W.; Kuang, J.F.; Lu, W.J.; Su, X.G.; Chen, J.Y.; et al. Physiological and transcription analyses reveal regulatory pathways of 6-benzylaminopurine delaying leaf senescence and maintaining quality in postharvest Chinese flowering cabbage. Food Res. Int. 2022, 157, 111455. [Google Scholar] [CrossRef]
- Ali, S.; Khan, A.S.; Malik, A.U. Postharvest L-cysteine application delayed pericarp browning, suppressed lipid peroxidation and maintained antioxidative activities of litchi fruit. Postharvest Biol. Technol. 2016, 121, 135–142. [Google Scholar] [CrossRef]
- Pandey, V.; Pandey, T. The role of hydrogen sulfide (H2S) in postharvest fruits: A comprehensive analysis. Plant Physiol. Biochem. 2024, 217, 109204. [Google Scholar] [CrossRef]
- Christou, A.; Manganaris, G.A.; Papadopoulos, I.; Fotopoulos, V. Hydrogen Sulfide Induces Systemic Tolerance to Salinity and Non-Ionic Osmotic Stress in Strawberry Plants through Modification of Reactive Species Biosynthesis and Transcriptional Regulation of Multiple Defence Pathways. J. Exp. Bot. 2013, 64, 1953–1966. [Google Scholar] [CrossRef]
- Zhang, H.; Hu, S.L.; Zhang, Z.J.; Hu, L.Y.; Jiang, C.X.; Wei, Z.J.; Liu, J.; Wang, H.L.; Jiang, S.T. Hydrogen Sulfide Acts as a Regulator of Flower Senescence in Plants. Postharvest Biol. Technol. 2011, 60, 251–257. [Google Scholar] [CrossRef]
- Aghdam, M.S.; Mahmoudi, R.; Razavi, F.; Rabiei, V.; Soleimani, A. Hydrogen sulfide treatment confers chilling tolerance in hawthorn fruit during cold storage by triggering endogenous H2S accumulation, enhancing antioxidant enzymes activity and promoting phenols accumulation. Sci. Hortic. 2018, 238, 264–271. [Google Scholar] [CrossRef]
- Ni, Z.J.; Hu, K.D.; Song, C.B.; Ma, R.H.; Li, Z.R.; Zheng, J.L.; Fu, L.H.; Wei, Z.J.; Zhang, H. Hydrogen sulfide alleviates postharvest senescence of grape by modulating the antioxidant defenses. Oxid. Med. Cell. Longev. 2016, 2016, 4715651. [Google Scholar] [CrossRef] [PubMed]
- Liang, W.S. Drought Stress Increases Both Cyanogenesis and β-Cyanoalanine Synthase Activity in Tobacco. Plant Sci. 2003, 165, 1109–1115. [Google Scholar] [CrossRef]
- Watanabe, M.; Kusano, M.; Oikawa, A.; Fukushima, A.; Noji, M.; Saito, K. Physiological Roles of the β -Substituted Alanine Synthase Gene Family in Arabidopsis. Plant Physiol. 2008, 146, 310–320. [Google Scholar] [CrossRef] [PubMed]
- Ullah, A.; Tian, P.; Zhang, H.; Yu, X.-Z. Exogenous Thiocyanate Inhibits Sulfurtransferase Pathway and Induces β-Cyanoalanine Synthase Pathway to Enhance Exogenous Cyanide Assimilation in Rice Plants. Chemosphere 2023, 339, 139683. [Google Scholar] [CrossRef]
- Sun, M.; Qiao, H.X.; Yang, T.; Zhao, P.; Zhao, J.H.; Luo, J.M.; Luan, H.Y.; Li, X.; Wu, S.C.; Xiong, A.S. Hydrogen sulfide alleviates cadmium stress in germinating carrot seeds by promoting the accumulation of proline. J. Plant Physiol. 2024, 303, 154357. [Google Scholar] [CrossRef]
- González-Gordo, S.; Palma, J.M.; Corpas, F.J. Appraisal of H2S Metabolism in Arabidopsis Thaliana: In Silico Analysis at the Subcellular Level. Plant Physiol. Biochem. 2020, 155, 579–588. [Google Scholar] [CrossRef]







Disclaimer/Publisher’s Note: The statements, opinions and data contained in all publications are solely those of the individual author(s) and contributor(s) and not of MDPI and/or the editor(s). MDPI and/or the editor(s) disclaim responsibility for any injury to people or property resulting from any ideas, methods, instructions or products referred to in the content. |
© 2024 by the authors. Licensee MDPI, Basel, Switzerland. This article is an open access article distributed under the terms and conditions of the Creative Commons Attribution (CC BY) license (https://creativecommons.org/licenses/by/4.0/).
Share and Cite
Gan, L.; Mou, Z.; Chen, J.; Shan, W.; Kuang, J.; Lu, W.; Zhao, Y.; Wei, W. L-Cysteine Treatment Delays Leaf Senescence in Chinese Flowering Cabbage by Regulating ROS Metabolism and Stimulating Endogenous H2S Production. Foods 2025, 14, 29. https://doi.org/10.3390/foods14010029
Gan L, Mou Z, Chen J, Shan W, Kuang J, Lu W, Zhao Y, Wei W. L-Cysteine Treatment Delays Leaf Senescence in Chinese Flowering Cabbage by Regulating ROS Metabolism and Stimulating Endogenous H2S Production. Foods. 2025; 14(1):29. https://doi.org/10.3390/foods14010029
Chicago/Turabian StyleGan, Linzhi, Zhenliang Mou, Jianye Chen, Wei Shan, Jianfei Kuang, Wangjin Lu, Yating Zhao, and Wei Wei. 2025. "L-Cysteine Treatment Delays Leaf Senescence in Chinese Flowering Cabbage by Regulating ROS Metabolism and Stimulating Endogenous H2S Production" Foods 14, no. 1: 29. https://doi.org/10.3390/foods14010029
APA StyleGan, L., Mou, Z., Chen, J., Shan, W., Kuang, J., Lu, W., Zhao, Y., & Wei, W. (2025). L-Cysteine Treatment Delays Leaf Senescence in Chinese Flowering Cabbage by Regulating ROS Metabolism and Stimulating Endogenous H2S Production. Foods, 14(1), 29. https://doi.org/10.3390/foods14010029

