Bioprotective Lactic Acid Bacteria and Lactic Acid as a Sustainable Strategy to Combat Escherichia coli O157:H7 in Meat
Abstract
1. Introduction
2. Materials and Methods
2.1. Bacterial Strains and Culture Conditions
2.2. Experimental Systems: Ground Meat and Meat Discs
2.3. Meat Inoculation and Sampling
2.3.1. Ground Meat Assays
2.3.2. Disc Meat Assays
2.4. Bacterial Counts and pH Measurement
2.5. Color
2.6. Adhesion Assays on Meat Discs
Preparation of Inoculated Meat Discs for Scanning Electron Microscopy (SEM)
2.7. Statistical Analysis
3. Results
3.1. Performance of LAB and Escherichia coli O157:H7 in Meat Experimental Systems
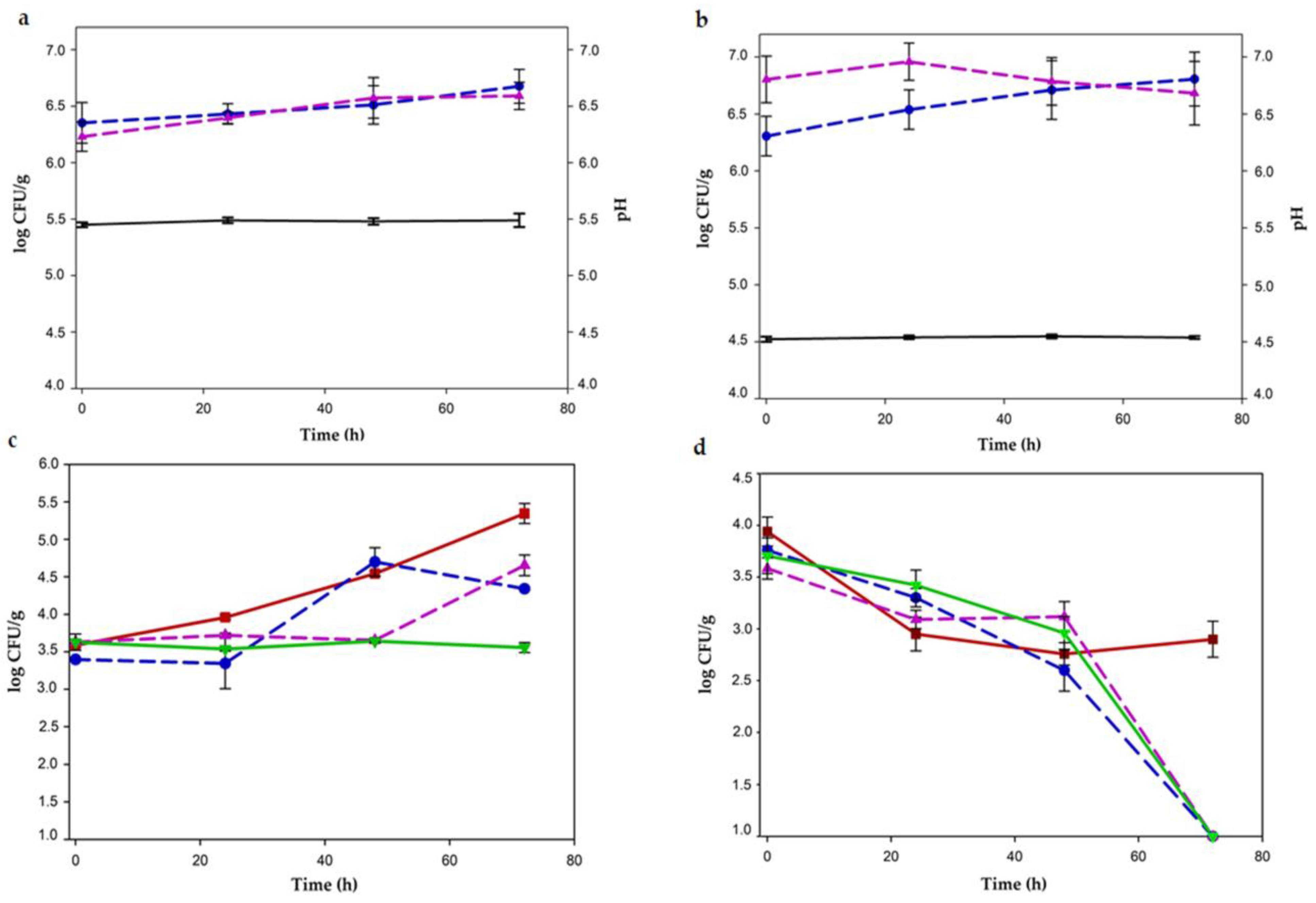
3.1.1. Ground Meat (GM)
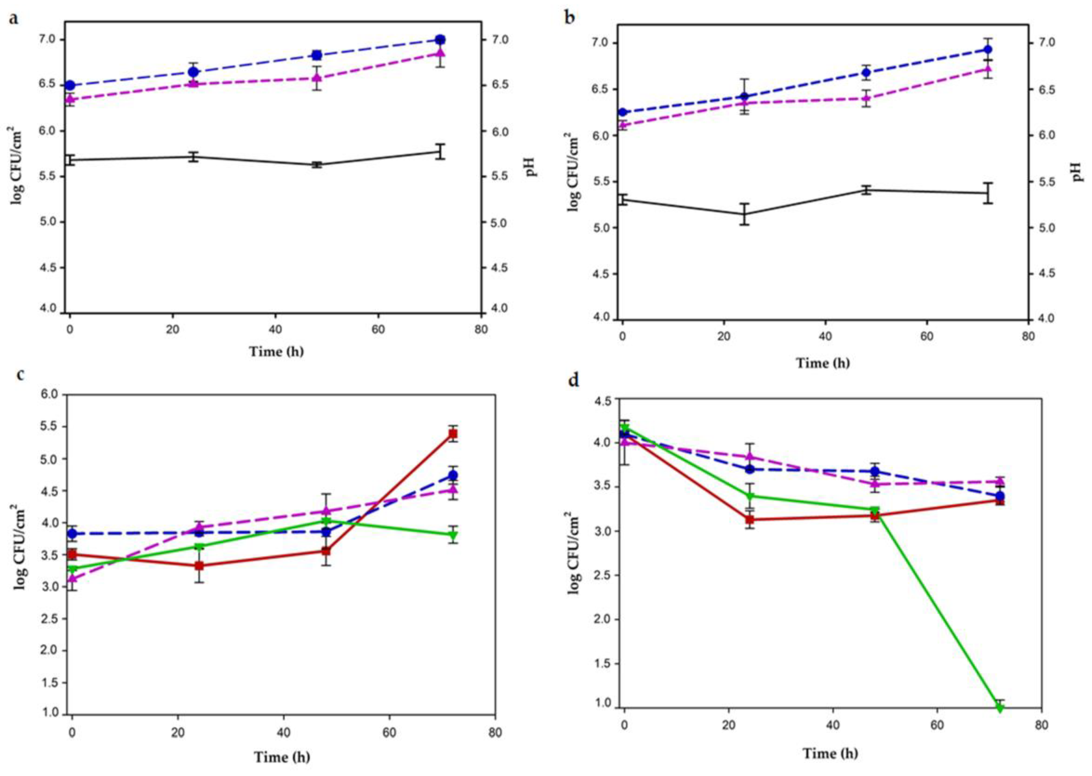
3.1.2. Meat Discs
3.2. Color Evaluation
3.2.1. Ground Meat
3.2.2. Vacuum-Sealed Meat Discs
3.3. Adhesion of EHEC and LAB Strains on Meat
Adhesion of Bacterial Strains on Meat Discs by Scanning Electron Microscopy
4. Discussion
5. Conclusions
Author Contributions
Funding
Data Availability Statement
Acknowledgments
Conflicts of Interest
References
- Welinder-Olsson, C.; Kaijser, B. Enterohemorrhagic Escherichia coli (EHEC). Scand. J. Infect. Dis. 2005, 37, 405–416. [Google Scholar] [CrossRef]
- Orihuel, A.; Terán, L.; Renaut, J.; Vignolo, G.M.; De Almeida, A.M.; Saavedra, M.L.; Fadda, S. Differential Proteomic Analysis of Lactic Acid Bacteria—Escherichia coli O157:H7 Interaction and Its Contribution to Bioprotection Strategies in Meat. Front. Microbiol. 2018, 9, 1083. [Google Scholar] [CrossRef]
- Nguyen, Y.; Sperandio, V. Enterohemorrhagic, E. coli (EHEC) pathogenesis. Front. Cell. Infect. Microbiol. 2012, 2, 90. [Google Scholar] [CrossRef]
- Brusa, V.; Costa, M.; Padola, N.L.; Etcheverría, A.; Sampedro, F.; Fernandez, P.S.; Leotta, G.A.; Signorini, M.L. Quantitative risk assessment of haemolytic uremic syndrome associated with beef consumption in Argentina. PLoS ONE 2020, 15, e0242317. [Google Scholar] [CrossRef]
- Kim, J.-S.; Lee, M.-S.; Kim, J.H. Recent Updates on Outbreaks of Shiga Toxin-Producing Escherichia coli and Its Potential Reservoirs. Front. Cell. Infect. Microbiol. 2020, 10, 273. [Google Scholar] [CrossRef]
- Torres, A.G.; Amaral, M.M.; Bentancor, L.; Galli, L.; Goldstein, J.; Krüger, A.; Rojas-Lopez, M. Recent Advances in Shiga Toxin-Producing Escherichia coli Research in Latin America. Microorganisms 2018, 6, 100. [Google Scholar] [CrossRef]
- Boletin de Vigilancia. Available online: https://www.argentina.gob.ar/sites/default/files/biv_481_edicion_ampliada.pdf (accessed on 3 October 2022).
- Eymann, A.; Coccia, P.; Raddavero, C.; Lafi, G.; Ferraris, V.; Ramírez, J.; Ferraris, J. Prevalence and clinical course of typical hemolytic uremic syndrome among sibling. Arch. Argent. Pediatr. 2016, 114, 553–556. [Google Scholar] [CrossRef]
- Meichtri, L.; Miliwebsky, E.; Gioffré, A.; Chinen, I.; Baschkier, A.; Chillemi, G.; Guth, B.E.C.; Masana, M.O.; Cataldi, A.; Rodrıíguez, H.R.; et al. Shiga toxin-producing Escherichia coli in healthy young beef steers from Argentina: Prevalence and virulence properties. Int. J. Food Microbiol. 2004, 96, 189–198. [Google Scholar] [CrossRef]
- Pawar, D.M.; Rossman, M.L.; Chen, J. Role of curli fimbriae in mediating the cells of enterohaemorrhagic Escherichia coli to attach to abiotic surfaces. J. Appl. Microbiol. 2005, 99, 418–425. [Google Scholar] [CrossRef]
- Goulter, R.M.; Gentle, I.R.; Dykes, G.A. Issues in determining factors influencing bacterial attachment: A review using the attachment of Escherichia coli to abiotic surfaces as an example. Lett. Appl. Microbiol. 2009, 49, 1–7. [Google Scholar] [CrossRef]
- Chagnot, C.; Agus, A.; Rénier, S.; Peyrin, F.; Talon, R.; Astruc, T.; Desvaux, M. In Vitro Colonization of the Muscle Extracellular Matrix Components by Escherichia coli O157:H7: The Influence of Growth Medium, Temperature and pH on Initial Adhesion and Induction of Biofilm Formation by Collagens I and III. PLoS ONE 2013, 8, e59386. [Google Scholar] [CrossRef]
- Giaouris, E.; Heir, E.; Desvaux, M.; Hébraud, M.; Møretrø, T.; Langsrud, S.; Doulgeraki, A.; Nychas, G.-J.; Kačániová, M.; Czaczyk, K.; et al. Intra- and inter-species interactions within biofilms of important foodborne bacterial pathogens. Front. Microbiol. 2015, 6, 841. [Google Scholar] [CrossRef]
- Chaillou, S.; Christieans, S.; Rivollier, M.; Lucquin, I.; Champomier-Vergès, M.C.; Zagorec, M. Quantification and efficiency of Lactobacillus sakei strain mixtures used as protective cultures in ground beef. Meat Sci. 2014, 97, 332–338. [Google Scholar] [CrossRef]
- Canto, A.C.; Costa-Lima, B.R.; Suman, S.P.; Monteiro, M.L.G.; Viana, F.M.; Salim, A.P.; Nair, M.N.; Silva, T.J.P.; Conte-Junior, C.A. Color attributes and oxidative stability of longissimus lumborum and psoas major muscles from Nellore bulls. Meat Sci. 2016, 121, 19–26. [Google Scholar] [CrossRef]
- Ben Said, L.; Gaudreau, H.; Dallaire, L.; Tessier, M.; Fliss, I. Bioprotective Culture: A New Generation of Food Additives for the Preservation of Food Quality and Safety. Ind. Biotechnol. 2019, 15, 138–147. [Google Scholar] [CrossRef]
- Jordan, K.; Dalmasso, M.; Zentek, J.; Mader, A.; Bruggeman, G.; Wallace, J.; De Medici, D.; Fiore, A.; Prukner-Radovcic, E.; Lukac, M.; et al. Microbes versus microbes: Control of pathogens in the food chain. J. Sci. Food Agric. 2014, 94, 3079–3089. [Google Scholar] [CrossRef]
- Hernández-Aquino, S.; Miranda-Romero, L.A.; Fujikawa, H.; de Jesús Maldonado-Simán, E.; Alarcón-Zuñiga, B. Antibacterial Activity of Lactic Acid Bacteria to Improve Shelf Life of Raw Meat. Biocontrol Sci. 2019, 24, 185–192. [Google Scholar] [CrossRef]
- Ruby, J.R.; Ingham, S.C. Evaluation of Potential for Inhibition of Growth of Escherichia coli O157:H7 and Multidrug-Resistant Salmonella Serovars in Raw Beef by Addition of a Presumptive Lactobacillus sakei Ground Beef Isolate. J. Food Prot. 2009, 72, 251–259. [Google Scholar] [CrossRef]
- Smith, L.; Mann, J.E.; Harris, K.; Miller, M.F.; Brashears, M.M. Reduction of Escherichia coli O157:H7 and Salmonella in Ground Beef Using Lactic Acid Bacteria and the Impact on Sensory Properties. J. Food Prot. 2005, 68, 1587–1592. [Google Scholar] [CrossRef]
- Castellano, P.; Belfiore, C.; Fadda, S.; Vignolo, G. A review of bacteriocinogenic lactic acid bacteria used as bioprotective cultures in fresh meat produced in Argentina. Meat Sci. 2008, 79, 483–499. [Google Scholar] [CrossRef]
- Kirsch, K.R.; Tolen, T.N.; Hudson, J.C.; Castillo, A.; Griffin, D.; Taylor, T.M. Effectiveness of a Commercial Lactic Acid Bacteria Intervention Applied to Inhibit Shiga Toxin-Producing Escherichia coli on Refrigerated Vacuum-Aged Beef. Int. J. Food Sci. 2017, 2017, 8070515. [Google Scholar] [CrossRef] [PubMed]
- Woraprayote, W.; Malila, Y.; Sorapukdee, S.; Swetwiwathana, A.; Benjakul, S.; Visessanguan, W. Bacteriocins from lactic acid bacteria and their applications in meat and meat products. Meat Sci. 2016, 120, 118–132. [Google Scholar] [CrossRef] [PubMed]
- Garriga, M.; Rubio, R.; Aymerich, T.; Ruas-Madiedo, P. Potentially probiotic and bioprotective lactic acid bacteria starter cultures antagonise the Listeria monocytogenes adhesion to HT29 colonocyte-like cells. Benef. Microbes 2015, 6, 337–343. [Google Scholar] [CrossRef] [PubMed]
- Orihuel, A.; Terán, L.; Renaut, J.; Planchon, S.; Valacco, M.P.; Masias, E.; Minahk, C.; Vignolo, G.; Moreno, S.; De Almeida, A.M.; et al. Physiological and proteomic response of Escherichia coli O157:H7 to a bioprotective lactic acid bacterium in a meat environment. Food Res. Int. 2019, 125, 108622. [Google Scholar] [CrossRef] [PubMed]
- Orihuel, A.; Bonacina, J.; Vildoza, M.J.; Bru, E.; Vignolo, G.; Saavedra, L.; Fadda, S. Biocontrol of Listeria monocytogenes in a meat model using a combination of a bacteriocinogenic strain with curing additives. Food Res. Int. 2018, 107, 289–296. [Google Scholar] [CrossRef] [PubMed]
- Vignolo, G.M.; de Ruiz Holgado, A.P.; Oliver, G. Acid Production and Proteolytic Activity of Lactobacillus Strains Isolated from Dry Sausages. J. Food Prot. 1988, 51, 481–484. [Google Scholar] [CrossRef] [PubMed]
- Farías, M.E.; Farías, R.N.; de Ruiz Holgado, A.; Sesma, F. Purification and N-terminal amino acid sequence of Enterocin CRL 35, a ‘pediocin-like’ bacteriocin produced by Enterococcus faecium CRL 35. Lett. Appl. Microbiol. 1996, 22, 417–419. [Google Scholar] [CrossRef]
- Fadda, S.; López, C.; Vignolo, G. Role of lactic acid bacteria during meat conditioning and fermentation: Peptides generated as sensorial and hygienic biomarkers. Meat Sci. 2010, 86, 66–79. [Google Scholar] [CrossRef]
- Best, A.; La Ragione, R.M.; Cooley, W.A.; O’Connor, C.D.; Velge, P.; Woodward, M.J. Interaction with avian cells and colonisation of specific pathogen free chicks by Shiga-toxin negative Escherichia coli O157:H7 (NCTC 12900). Veter. Microbiol. 2003, 93, 207–222. [Google Scholar] [CrossRef]
- Beristain-Bauza, S.D.C.; Mani-López, E.; Palou, E.; López-Malo, A. Antimicrobial activity of whey protein films supplemented with Lactobacillus sakei cell-free supernatant on fresh beef. Food Microbiol. 2017, 62, 207–211. [Google Scholar] [CrossRef]
- Marín, M.L.; Benito, Y.; Pin, C.; Fernández, M.F.; García, M.L.; Selgas, M.D.; Casas, C. Lactic acid bacteria: Hydrophobicity and strength of attachment to meat surfaces. Lett. Appl. Microbiol. 1997, 24, 14–18. [Google Scholar] [CrossRef] [PubMed]
- Hoyle, A.R.; Brooks, J.C.; Thompson, L.D.; Palmore, W.; Stephens, T.P.; Brashears, M.M. Spoilage and Safety Characteristics of Ground Beef Treated with Lactic Acid Bacteria. J. Food Prot. 2009, 72, 2278–2283. [Google Scholar] [CrossRef] [PubMed]
- Lim, J.Y.; Yoon, J.W.; Hovde, C.J. A Brief Overview of Escherichia coli O157:H7 and Its Plasmid O157. J. Microbiol. Biotechnol. 2010, 20, 5–14. [Google Scholar] [CrossRef] [PubMed]
- Leistner, L. Basic aspects of food preservation by hurdle technology. Int. J. Food Microbiol. 2000, 55, 181–186. [Google Scholar] [CrossRef] [PubMed]
- Kalchayanand, N.; Arthur, T.M.; Bosilevac, J.M.; Schmidt, J.W.; Shackelford, S.D.; Brown, T.; Wheeler, T.L. Surface pH of Fresh Beef as a Parameter to Validate Effectiveness of Lactic Acid Treatment against Escherichia coli O157:H7 and Salmonella. J. Food Prot. 2018, 81, 1126–1133. [Google Scholar] [CrossRef]
- Rodríguez-Melcón, C.; Alonso-Calleja, C.; Capita, R. Lactic acid concentrations that reduce microbial load yet minimally impact colour and sensory characteristics of beef. Meat Sci. 2017, 129, 169–175. [Google Scholar] [CrossRef]
- Fouladkhah, A.; Geornaras, I.; Yang, H.; Belk, K.E.; Nightingale, K.K.; Woerner, D.R.; Smith, G.C.; Sofos, J.N. Sensitivity of Shiga Toxin–Producing Escherichia coli, Multidrug-Resistant Salmonella, and Antibiotic-Susceptible Salmonella to Lactic Acid on Inoculated Beef Trimmings. J. Food Prot. 2012, 75, 1751–1758. [Google Scholar] [CrossRef]
- Bearson, B.L.; Lee, I.S.; Casey, T.A. Escherichia coli O157: H7 glutamate- and arginine-dependent acid-resistance systems protect against oxidative stress during extreme acid challenge. Microbiology 2009, 155, 805–812. [Google Scholar] [CrossRef]
- Echeverry, A.; Brooks, J.C.; Markus, F.M.; Jesse, A.C.; Guy, H.L.; Mindy, M.B. Validation of Intervention Strategies to Control Escherichia coli O157:H7 and Salmonella Typhimurium DT 104 in Mechanically Tenderized and Brine-Enhanced Beef. J. Food Prot. 2009, 72, 1616–1623. [Google Scholar] [CrossRef]
- Hernández Salueña, B.; Sáenz Gamasa, C.; Diñeiro Rubial, J.M.; Alberdi Odriozola, C. CIELAB color paths during meat shelf life. Meat Sci. 2019, 157, 107889. [Google Scholar] [CrossRef]
- Friedrich, L.; Siró, I.; Dalmadi, I.; Horváth, K.; Ágoston, R.; Balla, C. Influence of various preservatives on the quality of minced beef under modified atmosphere at chilled storage. Meat Sci. 2008, 79, 332–343. [Google Scholar] [CrossRef]
- Mancini, R.A.; Hunt, M.C. Current research in meat color. Meat Sci. 2005, 71, 100–121. [Google Scholar] [CrossRef]
- Suman, S.P.; Joseph, P. Myoglobin Chemistry and Meat Color. Annu. Rev. Food Sci. Technol. 2013, 4, 79–99. [Google Scholar] [CrossRef]
- Chagnot, C.; Venien, A.; Renier, S.; Caccia, N.; Talon, R.; Astruc, T.; Desvaux, M. Colonisation of Meat by Escherichia coli O157:H7: Investigating Bacterial Tropism with Respect to the Different Types of Skeletal Muscles, Subtypes of Myofibres, and Postmortem Time. Front. Microbiol. 2017, 8, 1366. [Google Scholar] [CrossRef]






| Experimental Systems | Ground Meat (GM) | Meat Discs |
|---|---|---|
| Without LA | 1. Control | 1. Control |
| 2. L. plantarum (1 × 106 CFU/g) | 2. L. plantarum (1 × 106 CFU/cm2) | |
| 3. E. mundtii (1 × 106 CFU/g) | 3. E. mundtii (1 × 106 CFU/cm2) | |
| 4. EHEC (1 × 104 CFU/g) | 4. EHEC (1 × 104 CFU/cm2) | |
| 5. EHEC + L. plantarum | 5. EHEC + L. plantarum | |
| 6. EHEC + E. mundtii | 6. EHEC + E. mundtii | |
| 7. EHEC + L. plantarum + E. mundtii | 7. EHEC + L. plantarum + E. mundtii | |
| With 0.6% LA | 8. Control | 8. Control |
| 9. L. plantarum (1 × 106 CFU/g) | 9. L. plantarum (1 × 106CFU/cm2) | |
| 10. E. mundtii (1 × 106 CFU/g) | 10. E. mundtii (1 × 106 CFU/cm2) | |
| 11. EHEC (1 × 104 CFU/g) | 11. EHEC (1 × 104 CFU/cm2) | |
| 12. EHEC + L. plantarum | 12. EHEC + L. plantarum | |
| 13. EHEC + E. mundtii | 13. EHEC + E. mundtii | |
| 14. EHEC + L. plantarum + E. mundtii | 14. EHEC + L. plantarum + E. mundtii |
| Condition | Parameter | 0 h | 24 h | 48 h | 72 h |
|---|---|---|---|---|---|
| Ground meat (GM) control | L* | 37.12 ± 0.54 a,A | 37.12 ± 0.48 a,A | 37.48 ± 0.94 a,A | 39.01 ± 0.53 b,A |
| a* | 15.48 ± 0.22 a,A | 15.48 ± 0.32 a,A | 15.07 ± 0.40 a,A | 14.03± 0.50 b,A | |
| b* | 9.86 ± 0.79 a,A | 9.77 ± 0.54 a,A | 9.08 ± 0.41 ab,A | 8.12 ± 0.75 b,A | |
| GM inoculated with LAB and EHEC | L* | 37.36 ± 0.46 a,A | 37.57 ± 0.15 a,AB | 38.09 ± 0.64 a,A | 39.82 ± 0.26 b,AB |
| a* | 15.66 ± 0.55 a,A | 15.79 ± 0.35 a,AB | 14.25 ± 0.50 b,AB | 12.84 ± 0.66 c,A | |
| b* | 9.26 ± 0.55 a,A | 9.54 ± 0.66 a,A | 9.10 ± 0.79 a,A | 7.64 ± 0.46 b,A | |
| GM inoculated with LAB, EHEC and 0.6% LA | L* | 37.09 ± 0.16 a,A | 37.95 ± 0.20 b,B | 38.01 ± 0.33 b,A | 39.94 ± 0.06 c,B |
| a* | 15.74 ± 0.38 a,A | 14.87 ± 0.29 a,B | 13.87 ± 0.16 b,B | 12.98 ± 0.55 b,A | |
| b* | 9.42 ± 0.19 a,A | 9.25 ± 0.16 a,A | 8.30 ± 0.43 b,A | 7.82 ± 0.62 b,A |
| Condition | Parameter | 0 h | 24 h | 48 h | 72 h |
|---|---|---|---|---|---|
| Control discs | L* | 37.21 ± 0.39 a,A | 37.34 ± 0.49 a,A | 37.60 ± 0.42 a,A | 37.77 ± 0.31 a,A |
| a* | 15.27 ± 0.81 a,A | 15.06 ± 0.24 a,A | 15.16 ± 0.36 a,A | 15.16 ± 0.66 a,A | |
| b* | 9.79 ± 0.28 a,A | 9.80 ± 0.83 a,A | 9.72 ± 0.67 a,A | 9.51 ± 0.27 a,A | |
| Discs inoculated with LAB and EHEC | L* | 37.12 ± 0.19 a,A | 37.44 ± 0.31 a,A | 37.31 ± 0.31 a,A | 37.45 ± 0.72 a,A |
| a* | 15.05 ± 0.33 a,A | 15.35 ± 0.52 a,A | 15.17 ± 0.10 a,A | 15.25 ± 0.36 a,A | |
| b* | 9.98 ± 0.65 a,A | 9.62 ± 0.43 a,A | 9.16 ± 0.34 a,A | 9.17 ± 0.33 a,A | |
| Inoculated discs and lactic acid | L* | 37.30 ± 0.61 a,A | 37.48 ± 0.27 a,A | 37.17 ± 0.12 a,A | 37.29 ± 0.20 a,A |
| a* | 15.04 ± 0.30 a,A | 15.18 ± 0.51 a,A | 15.02 ± 0.39 a,A | 15.10 ± 0.29 a,A | |
| b* | 9.48 ± 0.59 a,A | 9.29 ± 0.53 a,A | 9.25 ± 0.15 a,A | 9.01 ± 0.37 a,A |
Disclaimer/Publisher’s Note: The statements, opinions and data contained in all publications are solely those of the individual author(s) and contributor(s) and not of MDPI and/or the editor(s). MDPI and/or the editor(s) disclaim responsibility for any injury to people or property resulting from any ideas, methods, instructions or products referred to in the content. |
© 2023 by the authors. Licensee MDPI, Basel, Switzerland. This article is an open access article distributed under the terms and conditions of the Creative Commons Attribution (CC BY) license (https://creativecommons.org/licenses/by/4.0/).
Share and Cite
Baillo, A.A.; Cisneros, L.; Villena, J.; Vignolo, G.; Fadda, S. Bioprotective Lactic Acid Bacteria and Lactic Acid as a Sustainable Strategy to Combat Escherichia coli O157:H7 in Meat. Foods 2023, 12, 231. https://doi.org/10.3390/foods12020231
Baillo AA, Cisneros L, Villena J, Vignolo G, Fadda S. Bioprotective Lactic Acid Bacteria and Lactic Acid as a Sustainable Strategy to Combat Escherichia coli O157:H7 in Meat. Foods. 2023; 12(2):231. https://doi.org/10.3390/foods12020231
Chicago/Turabian StyleBaillo, Ayelen A., Lucia Cisneros, Julio Villena, Graciela Vignolo, and Silvina Fadda. 2023. "Bioprotective Lactic Acid Bacteria and Lactic Acid as a Sustainable Strategy to Combat Escherichia coli O157:H7 in Meat" Foods 12, no. 2: 231. https://doi.org/10.3390/foods12020231
APA StyleBaillo, A. A., Cisneros, L., Villena, J., Vignolo, G., & Fadda, S. (2023). Bioprotective Lactic Acid Bacteria and Lactic Acid as a Sustainable Strategy to Combat Escherichia coli O157:H7 in Meat. Foods, 12(2), 231. https://doi.org/10.3390/foods12020231

