Third-Order Nonlinear Spectrum of GaN under Femtosecond-Pulse Excitation from the Visible to the Near Infrared
Abstract
1. Introduction
2. Materials and Methods
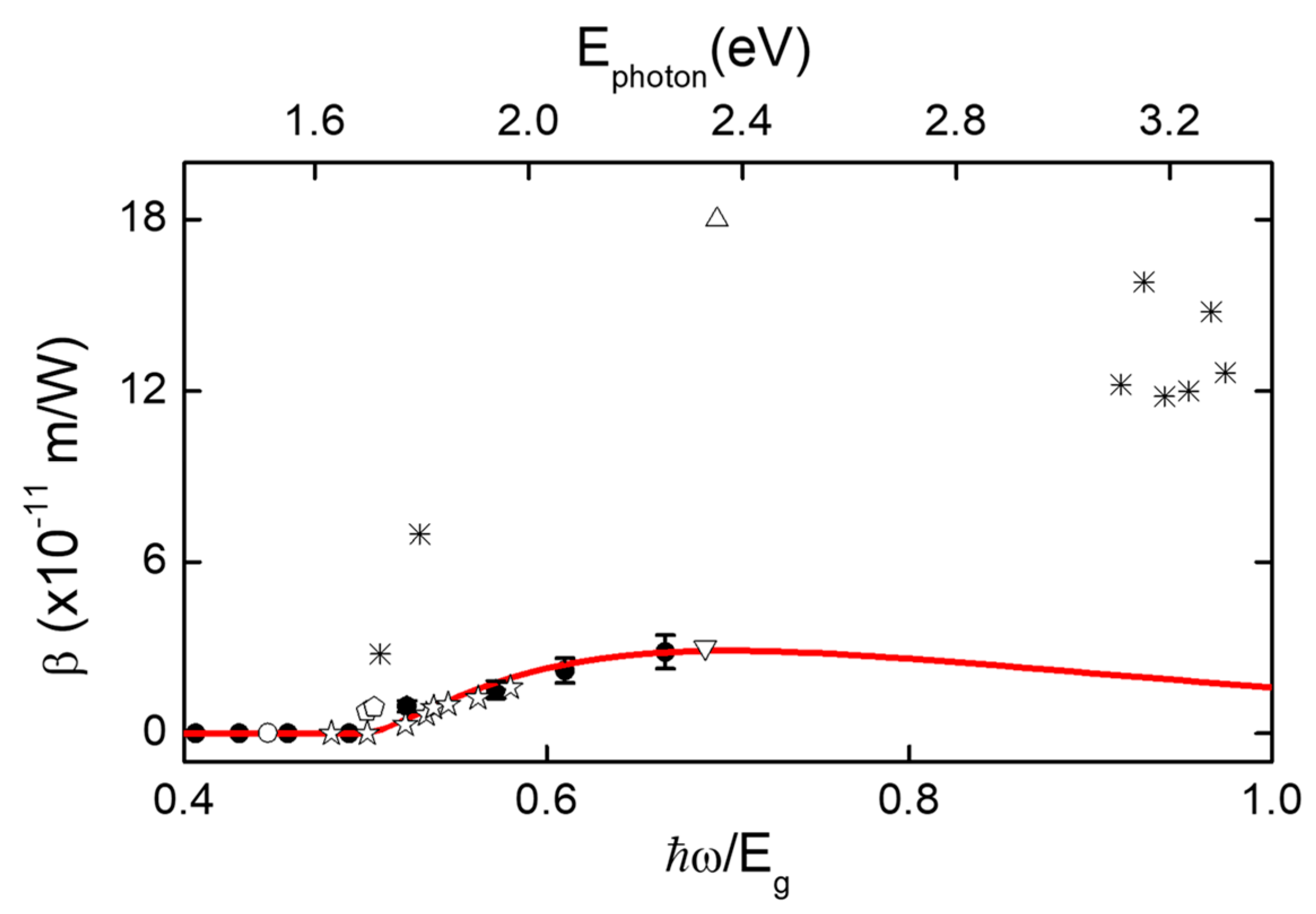
3. Results and Discussion
4. Conclusions
Author Contributions
Funding
Acknowledgments
Conflicts of Interest
References
- Strite, S.; Morkoc, H. GaN, AiN, and InN—A review. J. Vacuum Sci. Technol. B 1992, 10, 1237–1266. [Google Scholar] [CrossRef]
- Yoder, M. Wide bandgap semiconductor materials and devices. IEEE Trans. Electron Devices 1996, 43, 1633–1636. [Google Scholar] [CrossRef]
- Monemar, B. Fundamental energy gap of GaN from photoluminescence excitation spectra. Phys. Rev. B 1974, 10, 676–681. [Google Scholar] [CrossRef]
- Ponce, F.A.; Bour, D.P.; Ponce, F. Nitride-based semiconductors for blue and green light-emitting devices. Nature 1997, 386, 351–359. [Google Scholar] [CrossRef]
- Huang, Y.; Duan, X.; Cui, Y.; Lieber, C.M. Gallium Nitride Nanowire Nanodevices. Nano Lett. 2002, 2, 101–104. [Google Scholar] [CrossRef]
- Morkoc, H.; di Carlo, A.; Cingolani, R. GaN-Based Modulation Doped FETs and UN Detectors. Solid-State Electron. 2002, 46, 157–202. [Google Scholar] [CrossRef]
- Pearton, S.J.; Ren, F. GaN Electronics. Adv. Mater. 2000, 12, 1571–1580. [Google Scholar] [CrossRef]
- Lei, T.; Ludwig, K.F.; Moustakas, T.D. Heteroepitaxy, polymorphism, and faulting in GaN thin films on silicon and sapphire substrates. J. Appl. Phys. 1993, 74, 4430–4437. [Google Scholar] [CrossRef]
- Liliental-Weber, Z.; Maltez, R.; Xie, J.; Morkoç, H.; Maltez, R. Propagation of misfit dislocations from AlN/Si interface into Si. J. Cryst. Growth 2008, 310, 3917–3923. [Google Scholar] [CrossRef]
- Zhou, W.; Min, G.; Song, Z.; Zhang, J.; Liu, Y.; Zhang, J. Enhanced efficiency of light emitting diodes with a nano-patterned gallium nitride surface realized by soft UV nanoimprint lithography. Nanotechnology 2010, 21, 205304. [Google Scholar] [CrossRef]
- Popa, V.; Tiginyanu, I.; Volciuc, O.; Sarua, A.; Kuball, M.; Heard, P. Fabrication of GaN nanowalls and nanowires using surface charge lithography. Mater. Lett. 2008, 62, 4576–4578. [Google Scholar] [CrossRef]
- Lee, M.-K.; Kuo, K.-K. Single-step fabrication of Fresnel microlens array on sapphire substrate of flip-chip gallium nitride light emitting diode by focused ion beam. Appl. Phys. Lett. 2007, 91, 51111. [Google Scholar] [CrossRef]
- Steckl, A.J.; Chyr, I. Focused ion beam micromilling of GaN and related substrate materials (sapphire, SiC, and Si). J. Vac. Sci. Technol. B Microelectron. Nanometer Struct. 1999, 17, 362. [Google Scholar] [CrossRef]
- Roland, I.; Gromovyi, M.; Zeng, Y.; El Kurdi, M.; Sauvage, S.; Brimont, C.; Guillet, T.; Gayral, B.; Semond, F.; Duboz, J.Y.; et al. Phase-matched second harmonic generation with on-chip GaN-on-Si microdisks. Sci. Rep. 2016, 6, 34191. [Google Scholar] [CrossRef] [PubMed]
- Hahn, D.N.; Kiehne, G.T.; Ketterson, J.B.; Wong, G.K.L.; Kung, P.; Saxler, A.; Razeghi, M. Phase-matched optical second-harmonic generation in GaN and AlN slab waveguides. J. Appl. Phys. 1999, 85, 2497–2501. [Google Scholar] [CrossRef]
- Rigler, M.; Troha, T.; Guo, W.; Kirste, R.; Bryan, I.; Collazo, R.; Sitar, Z.; Zgonik, M. Second-Harmonic Generation of Blue Light in GaN Waveguides. Appl. Sci. 2018, 8, 1218. [Google Scholar] [CrossRef]
- Xiong, C.; Pernice, W.; Ryu, K.K.; Schuck, C.; Fong, K.Y.; Palacios, T.; Tang, H.X. Integrated GaN photonic circuits on silicon (100) for second harmonic generation. Opt. Express 2011, 19, 10462–10470. [Google Scholar] [CrossRef] [PubMed]
- Abe, M.; Sato, H.; Shoji, I.; Suda, J.; Yoshimura, M.; Kitaoka, Y.; Mori, Y.; Kondo, T. Accurate measurement of quadratic nonlinear-optical coefficients of gallium nitride. J. Opt. Soc. Am. B 2010, 27, 2026–2034. [Google Scholar] [CrossRef]
- Fujita, T.; Hasegawa, T.; Haraguchi, M.; Okamoto, T.; Fukui, M.; Nakamura, S. Determination of Second-Order Nonlinear Optical Susceptibility of GaN Films on Sapphire. Jpn. J. Appl. Phys. 2000, 39, 2610–2613. [Google Scholar] [CrossRef]
- Sanford, N.A.; Davydov, A.V.; Tsvetkov, D.V.; Dmitriev, A.V.; Keller, S.; Mishra, U.K.; DenBaars, S.P.; Park, S.S.; Han, J.Y.; Molnar, R.J. Measurement of second order susceptibilities of GaN and AlGaN. J. Appl. Phys. 2005, 97, 53512. [Google Scholar] [CrossRef]
- Miragliotta, J.; Wickenden, D.K.; Kistenmacher, T.J.; Bryden, W.A. Linear- and nonlinear-optical properties of GaN thin films. J. Opt. Soc. Am. B 1993, 10, 1447. [Google Scholar] [CrossRef]
- Stassen, E.; Pu, M.; Semenova, E.; Zavarin, E.; Lundin, W.; Yvind, K. High-confinement gallium nitride-on-sapphire waveguides for integrated nonlinear photonics. Opt. Lett. 2019, 44, 1064–1067. [Google Scholar] [CrossRef] [PubMed]
- Munk, D.; Katzman, M.; Westreich, O.; Nun, M.B.; Lior, Y.; Sicron, N.; Paltiel, Y.; Zadok, A. Four-Wave Mixing and Nonlinear Parameter Measurement in a Gallium-Nitride Ridge Waveguide. Opt. Mater. Express 2018, 8, 66–72. [Google Scholar] [CrossRef]
- Martins, R.J.; Siqueira, J.P.; Clavero, I.M.; Margenfeld, C.; Fundling, S.; Vogt, A.; Waag, A.; Voss, T.; Mendonca, C.R. Carrier dynamics and optical nonlinearities in a GaN epitaxial thin film under three-photon absorption. J. Appl. Phys. 2018, 123, 243101. [Google Scholar] [CrossRef]
- Sheik-Bahae, M.; Said, A.; Wei, T.-H.; Hagan, D.; Van Stryland, E.; Hagan, D. Sensitive measurement of optical nonlinearities using a single beam. IEEE J. Quantum Electron. 1990, 26, 760–769. [Google Scholar] [CrossRef]
- Sheik-Bahae, M.; Said, A.A.; Van Stryland, E.W. High-sensitivity, single-beam n_2 measurements. Opt. Lett. 1989, 14, 955. [Google Scholar] [CrossRef] [PubMed]
- Major, A.; Yoshino, F.; Nikolakakos, I.; Smith, P.W.E.; Aitchison, J.S. Dispersion of the nonlinear refractive index in sapphire. Opt. Lett. 2004, 29, 602. [Google Scholar] [CrossRef] [PubMed]
- Milam, D. Review and assessment of measured values of the nonlinear refractive-index coefficient of fused silica. Appl. Opt. 1998, 37, 546–550. [Google Scholar] [CrossRef] [PubMed]
- Sheik-Bahae, M.; Wang, J.; Van Stryland, E. Nondegenerate optical Kerr effect in semiconductors. IEEE J. Quantum Electron. 1994, 30, 249–255. [Google Scholar] [CrossRef]
- Sheik-Bahae, M.; Van Stryland, E.W. Optical Nonlinearities in the Transparency Region of Bulk Semiconductors. In Recent Trends in Thermoelectric Materials Research II; Elsevier BV: Amsterdam, The Netherlands, 1998; Volume 58, pp. 257–318. [Google Scholar]
- Bowman, S.R.; Brown, C.G.; Taczak, B. Optical dispersion and phase matching in gallium nitride and aluminum nitride. Opt. Mater. Express 2018, 8, 1091–1099. [Google Scholar] [CrossRef]
- Van Stryland, E.W.; Woodall, M.A.; Vanherzeele, H.; Soileau, M.J. Energy band-gap dependence of two-photon absorption. Opt. Lett. 1985, 10, 490. [Google Scholar] [CrossRef] [PubMed]
- Vanstryland, E.W.; Vanherzeele, H.; Woodall, M.A.; Soileau, M.J.; Smirl, A.L.; Guha, S.; Boggess, T.F. 2 Photon-Absorption, Nonlinear Refraction, and Optical Limiting in Semiconductors. Opt. Eng. 1985, 24, 613–623. [Google Scholar]
- Sheik-Bahae, M.; Hutchings, D.; Hagan, D.; Van Stryland, E. Dispersion of bound electron nonlinear refraction in solids. IEEE J. Quantum Electron. 1991, 27, 1296–1309. [Google Scholar] [CrossRef]
- Sheikbahae, M.; Hagan, D.J.; Vanstryland, E.W. Dispersion and Band-Gap Scaling of the Electronic Kerr Effect in Solids Associated with 2-Photon Absorption. Phys. Rev. Lett. 1990, 65, 96–99. [Google Scholar] [CrossRef] [PubMed]
- Said, A.; Hagan, D.; Van Stryland, E.; DeSalvo, R.; Sheik-Bahae, M. Infrared to ultraviolet measurements of two-photon absorption and n/sub 2/ in wide bandgap solids. IEEE J. Quantum Electron. 1996, 32, 1324–1333. [Google Scholar]
- Streltsov, A.M.; Moll, K.D.; Gaeta, A.L.; Kung, P.; Walker, D.; Razeghi, M. Pulse autocorrelation measurements based on two- and three-photon conductivity in a GaN photodiode. Appl. Phys. Lett. 1999, 75, 3778–3780. [Google Scholar] [CrossRef]
- Miragliotta, J.; Wickenden, D.K. Transient photocurrent induced in gallium nitride by two-photon absorption. Appl. Phys. Lett. 1996, 69, 2095–2097. [Google Scholar] [CrossRef]
- Chen, H.; Huang, X.; Fu, H.; Lu, Z.; Zhang, X.; Montes, J.A.; Zhao, Y. Characterizations of nonlinear optical properties on GaN crystals in polar, nonpolar, and semipolar orientations. Appl. Phys. Lett. 2017, 110, 181110. [Google Scholar] [CrossRef]
- Sun, C.K.; Liang, J.C.; Wang, J.C.; Kao, F.J.; Keller, S.; Mack, M.P.; Mishra, U.; DenBaars, S.P. Two-Photon Absorption Study of GaN. Appl. Phys. Lett. 2000, 76, 439–441. [Google Scholar] [CrossRef]
- Pacčebutas, V.; Stalnionis, A.; Krotkus, A.; Suski, T.; Perlin, P.; Leszczynski, M. Picosecond Z-scan measurements on bulk GaN crystals. Appl. Phys. Lett. 2001, 78, 4118–4120. [Google Scholar] [CrossRef]
- Fang, Y.; Zhou, F.; Yang, J.; Wu, X.; Xiao, Z.; Li, Z.; Song, Y. Anisotropy of two-photon absorption and free-carrier effect in nonpolar GaN. Appl. Phys. Lett. 2015, 106, 131903. [Google Scholar] [CrossRef]
- Fang, Y.; Xiao, Z.; Wu, X.; Zhou, F.; Yang, J.; Yang, Y.; Song, Y. Optical nonlinearities and ultrafast all-optical switching of m-plane GaN in the near-infrared. Appl. Phys. Lett. 2015, 106, 251903. [Google Scholar] [CrossRef]
- Taheri, B.; Hays, J.; Song, J.J.; Goldenberg, B. Picosecond four-wave-mixing in GaN epilayers at 532 nm. Appl. Phys. Lett. 1996, 68, 587–589. [Google Scholar] [CrossRef]
- Huang, Y.-L.; Sun, C.-K.; Liang, J.-C.; Keller, S.; Mack, M.P.; Mishra, U.K.; DenBaars, S.P. Femtosecond Z-scan measurement of GaN. Appl. Phys. Lett. 1999, 75, 3524–3526. [Google Scholar] [CrossRef]



© 2019 by the authors. Licensee MDPI, Basel, Switzerland. This article is an open access article distributed under the terms and conditions of the Creative Commons Attribution (CC BY) license (http://creativecommons.org/licenses/by/4.0/).
Share and Cite
Almeida, G.F.B.; Santos, S.N.C.; Siqueira, J.P.; Dipold, J.; Voss, T.; Mendonça, C.R. Third-Order Nonlinear Spectrum of GaN under Femtosecond-Pulse Excitation from the Visible to the Near Infrared. Photonics 2019, 6, 69. https://doi.org/10.3390/photonics6020069
Almeida GFB, Santos SNC, Siqueira JP, Dipold J, Voss T, Mendonça CR. Third-Order Nonlinear Spectrum of GaN under Femtosecond-Pulse Excitation from the Visible to the Near Infrared. Photonics. 2019; 6(2):69. https://doi.org/10.3390/photonics6020069
Chicago/Turabian StyleAlmeida, Gustavo F. B., Sabrina N. C. Santos, Jonathas P. Siqueira, Jessica Dipold, Tobias Voss, and Cleber R. Mendonça. 2019. "Third-Order Nonlinear Spectrum of GaN under Femtosecond-Pulse Excitation from the Visible to the Near Infrared" Photonics 6, no. 2: 69. https://doi.org/10.3390/photonics6020069
APA StyleAlmeida, G. F. B., Santos, S. N. C., Siqueira, J. P., Dipold, J., Voss, T., & Mendonça, C. R. (2019). Third-Order Nonlinear Spectrum of GaN under Femtosecond-Pulse Excitation from the Visible to the Near Infrared. Photonics, 6(2), 69. https://doi.org/10.3390/photonics6020069

