Next Article in Journal
Spirulina-Incorporated Biopolymer Films for Antioxidant Food Packaging
Previous Article in Journal
Numerical Investigation of Spin Ratio Optimization for a Single-Rotor Sail and Aerodynamic Performance Evaluation of Multi-Rotor Sail Systems Based on Wake Interaction Characteristics
Previous Article in Special Issue
Effect of Aluminum Salt Precursor on the Crystalline Structure of Alumina Nanoparticles (Al2O3) Synthesized by Green Chemistry Using Cymbopogon citratus Extract
 
 
Font Type:
Arial Georgia Verdana
Font Size:
Aa Aa Aa
Line Spacing:
Column Width:
Background:
Article

A Proposal for the Incorporation of Temperature into the Langmuir Model in Adsorption Isotherms

by
Ana Paula Souza de Sousa
1,
Haianny Beatriz Saraiva Lima
1,
Deibson Silva da Costa
2,
Emerson Cardoso Rodrigues
3,
Caroline Borges Agustini
4,
Liliana Amaral Féris
4 and
Diego Cardoso Estumano
5,*
1
Graduate Program in Chemical Engineering, Federal University of Pará, Belém 66075-110, PA, Brazil
2
Faculty of Materials Engineering, Federal University of Pará, Ananindeua 67130-660, PA, Brazil
3
Faculty of Chemical Engineering, Institute of Technology, Federal University of Pará, Belém 66075-110, PA, Brazil
4
Graduate Program in Chemical Engineering, Federal University of Rio Grande do Sul, Porto Alegre 90035-007, RS, Brazil
5
Simulation and Computational Biology Laboratory, High Performance Computing Center, Federal University of Pará, Belém 66075-110, PA, Brazil
*
Author to whom correspondence should be addressed.
Processes 2025, 13(12), 4036; https://doi.org/10.3390/pr13124036 (registering DOI)
Submission received: 7 November 2025 / Revised: 27 November 2025 / Accepted: 9 December 2025 / Published: 13 December 2025
(This article belongs to the Special Issue Synthesis and Applications of Nanomaterials)

Abstract

Adsorption is a frequently used technique for pollutant removal due to its efficiency and versatility. Mathematical modeling of these processes enables understanding of adsorbent and adsorbate interactions and prediction of system dynamics, especially when experimental data are limited. Among adsorption isotherm models, the Langmuir model is one of the most applied; however, its formulation does not explicitly consider temperature variation, limiting predictive capability in practical applications. This article proposes an adaptation of the Langmuir model by incorporating temperature dependence, enabling inference of isotherms at temperatures without experimental data. The model was first validated using data from the literature at different temperatures, considering the adsorption of amoxicillin, phosphate, methylene blue, and caffeine. Subsequently, it was applied to experimental data of copper ion adsorption by 5A zeolite obtained in this work, allowing estimation of Qmax and KL. Based on these estimates, hypotheses regarding their temperature dependence were formulated, and isotherms at 55 °C, 65 °C, and 75 °C were inferred and compared with experimental data. Finally, the model was applied to infer isotherms from 25 °C to 95 °C, demonstrating its ability to represent experimental dynamics and predict adsorption at temperatures without available data, contributing to the analysis and optimization of adsorption processes.

Graphical Abstract

1. Introduction

The removal of different types of organic and inorganic compounds, such as heavy metals and pharmaceuticals present in industrial and domestic effluents, represents a major environmental challenge due to the high toxicity of these compounds and their adverse impacts on both the environment and public health. From this perspective, there is a continuous pursuit of effective technologies for the removal of these contaminants. Among the different existing techniques, adsorption stands out as a viable method employed for the removal of various types of compounds, in which adsorbent solids retain molecules on their surface through molecular interactions, enabling the separation of components [1,2,3,4].
In adsorption isotherms, knowledge of the mechanisms governing the interaction between adsorbent and adsorbate, such as monolayer formation, surface heterogeneity of the adsorbent, and the strength of interaction forces, is essential to understanding system performance and to determining ideal conditions for the process. In this context, the use of isotherm models becomes fundamental to describe these mechanisms, as they allow the interpretation of the process using experimental data [5,6]. Several studies have applied such models to estimate parameters in different systems; however, isotherms obtained at different temperatures are usually fitted independently, without explicitly considering temperature dependence in the equations [7,8,9,10].
Din et al. (2024) [7] and Gyawali et al. (2023) [8] applied parameter estimation of isotherm models to experimental data of arsenic adsorption with biochar and pomelo peel, respectively. Hung et al. (2023) [9] and Rasheed et al. (2024) [10] investigated the adsorption dynamics of metal ions (Co2+, Sr2+, and Cs2+) and cobalt with Fe3O4 nanoparticles and quartz rock, respectively, by means of parameter estimation of the Langmuir, Freundlich, and Temkin models.
However, the isotherm models employed do not include temperature as a parameter in their equations, which prevents the prediction of isotherms at different temperatures based on the available data. A predictive model allows optimization of processes under different operational conditions [11,12]. In adsorption processes, estimating isotherms at different temperatures can contribute to greater efficiency in pollutant removal, facilitating the adaptation of effluent treatment systems to different environmental and industrial scenarios.
In this context, this study proposes an adaptation of the Langmuir isotherm model by incorporating a temperature term into the equation. This proposal consists of the formulation of hypotheses derived from isolated estimations of model parameters using experimental data from different adsorption dynamics, encompassing the stages of calibration, model validation, and inference of isotherms over a wide temperature range.

2. Methodology

The present study was developed through the following two main stages: the proposal and calibration of the model using experimental data from the literature (Table 1), followed by the application and validation of the model using experimental data of copper ion adsorption by zeolite 5A obtained in this work.
The first stage consisted of the use of four sets of experimental data from the literature, whose isotherms, obtained at different temperatures, showed an increase in the amount adsorbed as a function of increasing temperature. These are presented in Table 1.
Subsequently, the parameters of the Langmuir model were estimated using the experimental isotherm data of each system (Table 1), considering the steps outlined in Figure 1.
For each system, the classical Langmuir model was considered, for which an initial estimate of the constant KL was used, based on the order of magnitude of the original estimations. The maximum adsorption capacity (Qmax) was estimated for each temperature, restricted to a range between the highest experimentally adsorbed amount in each isotherm and up to 50% above this experimental limit. From these estimations, a sensitivity analysis of the model parameters was carried out, and the hypotheses that Qmax depends linearly on temperature while KL is considered constant with respect to temperature were proposed. Subsequently, linear regression was applied between the estimated values of Qmax and the respective temperatures (in Kelvin) to obtain the coefficients of the proposed adaptation.
Thus, the parameters KL, a, and b obtained were used as initial estimates in a new simulation via Markov Chain Monte Carlo (MCMC). In this stage, the calibration was conducted considering all the isotherms of each system simultaneously, since the incorporation of temperature into the model made it possible to perform the joint estimation of the parameters KL, a, and b.

2.1. Proposed Adaptation of the Langmuir Model

The Langmuir model is based on principles involving the presence of a fixed number of adsorption sites, where the energy of the sites is uniform and the adsorbed molecules do not interact with each other, so each site has the same capacity to attract adsorbate molecules; adsorption occurs in a single layer, meaning that only one layer of adsorbed molecules can form on the adsorbent surface; and finally, each site accommodates only one molecule, with no interaction between already adsorbed molecules [17].
When a solution comes into contact with the adsorbent and the system reaches equilibrium, this state is characterized by the equality of the adsorption and desorption rates of molecules or ions on the adsorbent surface. This suggests that if the adsorption rate is directly proportional to the adsorbate concentration in the fluid and to the fraction of the adsorbent surface area that remains vacant, the adsorption and desorption rates can be defined [18,19,20], as follows:
A d s o r p t i o n   r a t e   =   K 1 C e   1     θ  
D e s o r p t i o n   r a t e = K 2 θ  
where K1 is the adsorption constant, K2 is the desorption constant, Ce is the adsorbate concentration in the fluid, and θ is the fraction of the surface occupied.
Assuming that all sites on the adsorbent surface have the same energy, the parameter K1 assumes a uniform value, and assuming that adsorption occurs in a monolayer, the adsorption rate is directly proportional to 1 − θ, indicating that adsorption will be complete when θ = 1. Once the system is at equilibrium, the two rates can be equated according to Equation (3).
K 1 C e   ( 1 θ ) = K 2 θ  
Isolating θ and considering KL as the ratio between K1 and K2, Equation (4) is obtained.
θ = K L   C e 1 + K L C e
Since θ represents the fraction of the surface occupied by the adsorbate, qe is the amount of adsorbate retained at equilibrium per unit mass of adsorbent, and Qmax is the maximum adsorption capacity (when all sites are occupied), the following relationship can be established:
θ = q e Q m a x  
Finally, expressing the process in terms of the amount of solute adsorbed (qe) per unit mass of adsorbent and considering that q and θ are proportional, the Langmuir equation is obtained, as follows:
q e = Q m a x K L C e 1 + K L C e  
In Equation (6), qe represents the amount of solute adsorbed per gram of adsorbent at equilibrium (mg/g), Qmax is the maximum adsorption capacity of the adsorbent (mg/g), KL represents the adsorbate/adsorbent interaction constant (L/mg), and Ce is the equilibrium concentration of the adsorbate (mg/L).
In the Langmuir model, temperature is not included as a parameter in the equation, which hinders the prediction of isotherms at temperatures not experimentally studied. Therefore, considering the experimental data of the isotherms and based on the sensitivity analysis of the parameters KL and Qmax, hypotheses were formulated within the temperature range in which experimental data were obtained: the parameter KL was considered constant, that is, independent of temperature, and the maximum adsorption capacity was expressed as a linear equation as a function of temperature (Equation (7)).
Q m a x = a T + b
where a is the angular coefficient (mg/g.K) and b (mg/g) is the linear coefficient, determined by linear regression of the estimated Qmax data as a function of temperature in Kelvin (K).
Sensitivity analysis is essential to evaluate how parameter variations influence the model response. In this context, sensitivity coefficients with large magnitudes indicate that small variations in the parameters lead to large changes in the response. On the other hand, coefficients with low magnitude suggest that the response variable is not significantly affected by parameter variations [21]. The sensitivity coefficient was calculated according to Equation (8), as follows:
X i j = P j q i e x p P j
where X i j represents the reduced sensitivity coefficient, P j is the parameter, and q i e x p is the observable state variable.
As part of the formulation of the proposed model, hypotheses of a linear dependence of the parameter Qmax on temperature and of a constant KL throughout the thermal range were adopted based on the trends observed in the individual estimates obtained for each isotherm of each studied system, including both the literature datasets and the experimental data obtained in this work. These trends indicated systematic variations for Qmax and no apparent trend for KL. These hypotheses are later evaluated and confirmed in the Results and Discussion section, where the parameter sensitivity and the experimental dynamics reinforce their adequacy.

2.2. Bayesian Techniques—Markov Chain Monte Carlo (MCMC)

The Langmuir model is defined by two parameters, PT = [KL, Qmax]. Among these, the constant KL cannot be determined directly through experimental observation, and if the system does not reach equilibrium or saturation, the value of Qmax will also not be experimentally obtained. Similarly, in the adaptation proposed in this work, the parameters PT = [KL a b], inherent to the formulation that incorporates the dependence of Qmax on temperature, also cannot be determined directly by experimentation, and must be estimated using appropriate methods.
Due to the difficulty of direct observation of the parameters, the Bayesian technique Markov Chain Monte Carlo (MCMC) was chosen, as it is an approach capable of integrating prior information about the problem and because of the effectiveness of Bayes’ theorem in updating the model with such information, resulting in a more accurate solution [22]. In Bayes’ theorem, presented in Equation (9), π P q e x p is the posterior probability distribution, and the information from the experimental data is inserted into the likelihood function π q e x p P , while π (P) represents the prior probability distribution of the parameters [22,23,24,25].
π P q e x p   α   π q e x p P   π ( P )
It is assumed that the likelihood follows a Gaussian distribution for the experimental data, under the assumption that the measurements are independent, as expressed in Equation (10). Thus, σ T 2 represents the variance associated with measurement uncertainty; q s i m is the solution of the forward model calculated with the parameters to be estimated; q e x p is the measured value; and P is the value of the parameters of interest.
π q e x p | P = 1 2 π σ T 2 n o b s 2 e x p q e x p q s i m P T q e x p q s i m P 2 σ T 2
In the application of the MCMC method, the Metropolis–Hastings algorithm proposed by Metropolis et al. (1953) [26] and Hastings (1970) [27] was used. This algorithm is based on the acceptance–rejection method and adheres to the following steps [28,29,30]:
  • The number of states of the Markov chain (n) is chosen, indicating the number of simulations;
  • The chain iteration counter is initialized (i = 0) and an initial value P(0) is chosen;
  • A candidate value P* is generated from the distribution P(P*|P(i)), obtained according to Equation (11), as follows:
P * = P ( i ) 1 + w ε
where w is the search step and ε is a random variable resulting from a Gaussian distribution N(0,1).
4.
The acceptance probability α(P(i)|P*) of the candidate value is obtained using Hastings’ equation (Equation (12)), as follows:
α P * P ( i ) = min 1 , π P * q s i m   p P ( i ) P * π P ( i ) q s i m   p P * P ( i )
where π P * q s i m is the posterior probability distribution.
5.
An auxiliary random sample is generated from a uniform distribution u~U(0,1).
6.
If u ≤ α (P(i)|P*), the new value is accepted and one sets P(i+1) = P*. Otherwise, P* is rejected and one sets P(i+1) = P(i).
7.
The counter is incremented (i to I + 1) and the procedure returns to step 3.
Figure 2 presents a flowchart illustrating the operation of the Metropolis–Hastings algorithm used in this study for the parameter estimation of the adapted Langmuir model.
The quality of the simulated data relative to the experimental data was assessed using classical statistical metrics, such as the coefficient of determination (R2) and the root mean square error (RMSE), as described in Equations (13) and (14). Accordingly, R2 values close to 1 indicate a good agreement of the model in relation to the experimental data, while lower RMSE values reflect smaller residual dispersion and, therefore, better fit.
R 2 = 1 S S E S S T = 1 i = 1 n o b s q e x p q s i m i = 1 n o b s q e x p q e x p ¯ 2
R M S E = 1 n o b s i = 1 n o b s q e x p q s i m 2
In Equations (13) and (14), SSE represents the sum of squared errors, SST is the total sum of squares, q e x p is the observed data up to the number of sample observations ( n o b s ), q s i m is the estimated data, and q e x p is the mean of the observed data.

2.3. Application of the Model to Copper Ion Adsorption by Zeolite 5A

In this section, the same numerical methodology is applied to the process of copper ion adsorption by zeolite 5A, now using experimental data obtained in this study, complementing the previous stage in which data from the literature were employed. The isotherms were conducted at temperatures of 25 °C, 35 °C, 45 °C, 55 °C, 65 °C, 75 °C, 85 °C, and 95 °C. To obtain these experimental data, the adsorbent material was first produced, followed by the performance of experimental adsorption isotherm tests.
In the preparation of the adsorbent, zeolite 5A was obtained by ion exchange of zeolite 4A with a calcium chloride solution (2.6 N) for 8 h at a temperature of 100 °C, under constant stirring at 700 RPM. For the isotherm tests, the adsorbent was calcined in a muffle furnace at 400 °C for 2 h to release the sites and remove moisture.
The copper ion solution was prepared from a copper sulfate solution with a concentration of 2.5 g/L, with pH adjusted to 5 to prevent Cu2+ precipitation and to promote its interaction with the negatively charged sites of the adsorbent [31,32]. The solution was conditioned to obtain different concentrations ranging between 150 ppm and 2500 ppm, corresponding to the adsorption isotherm points, and for each adsorption test, standard solutions were prepared in the same concentration range. The batch experiments were carried out in 250 mL Erlenmeyer flasks containing 0.1 g of zeolite 5A and 100 mL of the copper sulfate solution, kept on a shaker table (at 150 RPM) for 2 h. After equilibrium was reached, the samples were filtered and analyzed by UV-Vis spectrophotometry, with copper absorbance readings taken at a wavelength of 800 nm.
Subsequently, the experimental data were used to estimate the model parameters following the same steps described previously (Figure 1), with the addition of validation and later prediction of isotherms at different temperatures, using the following steps:
(a)
Step 1: Five experimental isotherms of copper ion adsorption (25 °C, 35 °C, 45 °C, 85 °C, and 95 °C) were selected for model calibration. Based on the estimated values of Qmax at these temperatures, a linear regression was performed to estimate the coefficients a and b. The parameter KL was considered constant according to the previously performed sensitivity analysis.
(a)
Step 2: Using the parameter estimates obtained in Step 1, isotherms at 55 °C, 65 °C, and 75 °C were simulated to evaluate the agreement between the simulated data from the calibrated model and the experimental data, noting that the simulated data did not include the experimental data in the inference process, being used only for later comparison.
(a)
Step 3: The proposed model was used for the prediction of isotherms in the temperature range from 25 °C to 95 °C.

3. Results and Discussion

In this section, the results obtained from the calibration, validation, and application of the proposed model are presented. Four sets of experimental data were fitted to the Langmuir model, enabling the individual estimation of the parameters Qmax and KL at different temperatures. Then, the hypotheses of KL being constant and Qmax being a linear function of temperature were adopted. Taking these assumptions into account, an adaptation to the Langmuir model was proposed, explicitly incorporating temperature, which allowed the joint calibration of all isotherms of each system. Subsequently, this methodology was applied to the experimental data of copper ion adsorption by zeolite 5A, obtained at different temperatures in this work, integrating validation with data not used in calibration, as well as predictions for the studied temperature range, demonstrating the applicability of the model to simulate isotherms under untested conditions.
In the application of the parameter estimation method, a variance of 1% of the maximum experimental measurement (qexp) was considered for the experimental uncertainty, related to the amount of adsorbate adsorbed in the isotherms. The number of states of the Markov chain (N) was set to 10,000, and the search step (w) used was 0.003, ensuring the stabilization of the chains.
Thus, for parameter estimation by the MCMC method using the Metropolis–Hastings algorithm, based on the acceptance/rejection method, a uniform prior probability distribution was employed. The lower bound was established at zero, since physically, all parameters must be positive, and for the upper bound, a value considered sufficiently high was chosen, where it is expected that the probability of the value lies within this interval.
The choice of a uniform prior probability distribution (Equation (15)) is justified by the lack of prior knowledge about the parameters, allowing all values to have an equal probability of being chosen.
P r i o r = U n i f o r m   0,10 P r e f
The definition of the posterior probability distribution was carried out after verifying the convergence of the chains for the determination of the burn-in states. Thus, a burn-in period corresponding to 90% of the number of Markov chain states was considered, so that only the final 10% were used in the analysis of the posterior probability distributions. Moreover, the credibility interval, used to provide an estimate of the uncertainty in the adjusted parameters, indicating the probability that the true value of the parameters lies within this interval, was set at 95%. Table 2 presents the elements employed for the application of MCMC in parameter estimation.
The four datasets from the literature were initially fitted to the classical Langmuir model (Equation (6)) individually for each temperature. For each system (Table 1), an initial estimate of the KL constant was adopted, based on the order of magnitude of the estimates originally reported in the respective studies. The maximum adsorption capacity (Qmax) at each temperature for each system was estimated using the Markov Chain Monte Carlo (MCMC) method, considering that this parameter is restricted to an interval between the value corresponding to the highest experimentally observed adsorbed amount in each isotherm and, at most, 50% above this value. This choice is justified because, in some systems, the experimental isotherms did not reach the saturation region, making it impossible to directly identify Qmax. Thus, defining an upper limit 50% above the highest experimental value ensures that the MCMC explores a physically plausible region, preventing estimates that are incompatible with the observed dynamics. This value proved to be sufficiently broad to allow variability in the estimates without compromising physical plausibility or the stability of the Markov chains.
In addition, a sensitivity analysis of the parameters Qmax and KL was performed for each isotherm of each system. The graphs corresponding to the sensitivity coefficients (Equation (8)) are presented in the Supplementary Materials (Figure S1), allowing assessment of the influence of each model parameter.
In general, it was observed that Qmax presented a high magnitude in relation to the experimental data, evidencing a significant influence on the isotherm dynamics. On the other hand, the model constant (KL) exhibited a low magnitude, indicating little influence on the response, which justifies the hypothesis of being considered constant. This behavior was consistent across all datasets, supporting the hypothesis that KL can be considered constant within the evaluated temperature range.
From the individual fittings of the isotherms and the sensitivity analyses, it was possible to establish the hypotheses adopted in the proposed model. For the parameter Qmax, the estimated values exhibited a monotonic and linear increase with temperature across all evaluated systems, including both the literature datasets and the experimental results obtained in this work. The linear regressions presented coefficients of determination confirming that this relationship is sufficient to represent the system dynamics within the studied temperature range.
Regarding the parameter KL, its reduced sensitivity was low in all analyzed systems, as evidenced by the low magnitude of its reduced sensitivity coefficient, indicating minimal influence on the isotherm dynamics across the evaluated temperatures. Thus, no variation was observed that would justify formulating an explicit temperature dependence for this parameter. Therefore, the assumption of a constant KL emerged directly from the experimental dynamics, providing consistency to the calibration process.
Table 3 presents the Qmax and KL values estimated through MCMC for each system, while the equilibrium curve fittings obtained for the evaluated systems of amoxicillin, phosphate, methylene blue, and caffeine adsorption are shown in the Supplementary Materials (Figure S2). According to the studies used in the model proposal, and as reported by Wu et al. (2022) [33], Liu et al. (2024) [31], Hung et al. (2023) [9], and Rasheed et al. (2024) [10], the adsorption capacity (Qmax) estimated by the Langmuir model showed relevant variations as a function of temperature. This dynamic reinforces the importance of strategies that explicitly incorporate temperature into model equations, as a means to improve the descriptive and predictive capability of the model under different operational conditions.
From the sensitivity analysis, in the first stage, it was established in the estimation process that the parameter KL should remain constant for all isotherms at different temperatures. Furthermore, it was verified that the Qmax values estimated in this study were consistent with those reported experimentally in the original articles. For example, at higher temperatures, Jurado Davila et al. (2023) [14] observed about 2.3 mg/g (R2 = 0.97) for phosphate, Cheng et al. (2020) [15] reported 95.24 mg/g (R2 = 0.96) for methylene blue, and Oliveira et al. (2024) [16] indicated approximately 20.26 mg/g (R2 = 0.98) for caffeine. This occurred partly due to the range defined for the estimates (between the experimental value and up to 50% above it), which provided flexibility to the model to accommodate variations arising from the stochastic nature of the MCMC process.
It is worth noting that the coefficients of determination (R2) obtained in the individual fittings of each isotherm were, in some cases, lower than the values reported in the original studies. This difference was expected, since the present work imposed restrictions on the Qmax values to ensure physical consistency among the isotherms and reduce the risk of inconsistencies, whereas in the original fittings, the models had complete freedom to fit exclusively to the experimental data. For instance, for the phosphate system, the R2 values were 0.99 and 0.97 (25 and 45 °C), while in this study, they were close, ranging between 0.98 and 0.96. For methylene blue, the original values were 0.95 and 0.94 (30 and 35 °C), whereas the estimates obtained here presented lower values, such as 0.75 and 0.88, reflecting the greater dispersion in the experimental data of this system. In the case of caffeine, R2 reached up to 0.988 (40 °C), while in this work, it ranged between 0.96 and 0.93.
After the initial estimates, based on the Qmax values estimated (Table 3), linear regression as a function of temperature (in Kelvin) was performed for each dataset (Qmax = aT + b), as presented in the Supplementary Materials (Figure S3), which shows the relationship between the individually estimated Qmax values and the line obtained by regression. The model proposed in this article was calibrated for each system, obtaining the coefficients a and b by regression, which are presented in Table 4.
The regressions showed coefficients of determination (R2) ranging between 0.89 and 0.99, which indicates a good degree of fit to the experimental data. Even in cases where R2 values were slightly lower (0.89 for methylene blue adsorption and 0.94 for caffeine adsorption), the linear function was considered adequate to represent the trend of Qmax variation as a function of temperature, maintaining physical consistency and coherence among the isotherms. In the study of Cheng et al. (2020) [15] (methylene blue adsorption), for example, the fittings reported in the original article already presented relatively modest R2 values for each temperature (0.95 for 30 °C, 0.94 for 35 °C, and 0.96 for 40 °C), indicating that the experimental data already showed greater dispersion, which naturally influences the results of the joint regression of these data performed in this study.
Considering the adopted hypotheses and the coefficients a, b, and KL previously obtained, the calibration step was performed for each dataset, aiming to infer prior knowledge of the process dynamics. In this step, the parameters were used as initial estimates in a new simulation using MCMC with the Metropolis–Hastings algorithm, allowing the posterior distributions to be obtained and the estimated values to be refined based on the simultaneous fitting of the isotherms at different temperatures. The simulated curves, presented in the Supplementary Materials (Figure S4), were then generated from this calibration, considering the dependence of Qmax on temperature and KL as constant.
According to the comparison between the simulated and experimental curves (Figure S4), the results indicated a good fit of the adapted model to the isotherms, even with the adopted hypotheses. This reinforces the capability of the model to describe the system dynamics with a reduced number of parameters. The consideration of Qmax as a linear function of temperature and KL as constant enabled the simultaneous calibration of all evaluated isotherms, unlike the conventional approach, in which each isotherm is fitted individually. This strategy reduces the risk of inconsistencies and enhances the predictive capability of the model, since the influence of temperature is explicitly incorporated into the equation.
Furthermore, although the coefficients of determination (R2) and the root mean square error (RMSE) obtained in the joint calibration step showed slightly lower and higher values, respectively, compared to the individual fittings, this is expected due to the constraints imposed on the model. While the isolated estimation of each isotherm provides greater freedom for the parameters to adjust to the experimental data, the adapted model introduces restrictions grounded in physically consistent hypotheses, promoting a more coherent representation of the overall system dynamics. These results demonstrate that the proposed methodology is potentially applicable to other adsorption systems that exhibit thermally dependent dynamics.
It is important to highlight that the differences between the R2 values obtained in the individual fittings and those obtained in the joint fittings arise directly from the constraints introduced by the adapted model. In the individual fittings, the parameters have full freedom to be estimated and to adjust the simulation to the experimental data, which tends to result in higher R2 values. In contrast, in the joint fitting, the parameters a and b, which describe the linear dependence of Qmax (T), are shared across all temperatures, reducing the model’s degrees of freedom and consequently lowering the overall R2. This reduction does not indicate inadequacy of the model, but is instead the natural consequence of imposing such restrictions and ensuring physical coherence among all evaluated isotherms, enabling the model to simultaneously represent the adsorptive dynamics of the system and provide predictive capability across the entire temperature range studied.

Application of the Model to Copper Ion Adsorption by Zeolite 5A

The same approach was applied to the experimental data obtained in the present work for copper ion adsorption by zeolite 5A. Initially, the Langmuir model parameters were estimated individually for each temperature, as is commonly addressed in the literature. Table 5 presents the estimates of the model parameters (Qmax and KL), obtained individually, at temperatures of 25 °C, 45 °C, 55 °C, 65 °C, 75 °C, 85 °C, and 95 °C.
According to Table 5, the Langmuir model exhibited good agreement with the experimental data, as most of the determination coefficients (R2) assumed values above 0.9, indicating that the model represents more than 90% of the variability observed in the copper ion sorption isotherms under the established conditions. In parallel, the relatively low values of the root mean square error (RMSE), ranging between approximately 7.8 and 36.1 mg/g, reinforce the quality of the individual fittings. These results indicate that the average differences between the values predicted by the model and the experimental data were small, showing that the estimates of Qmax and KL properly represented the system dynamics at all analyzed temperatures.
In addition, from the data in Table 5, an increase in the maximum sorption capacity was observed with an increasing temperature, indicating an endothermic process, which can be attributed to the greater kinetic energy of the molecules as temperature rises, facilitating the interaction between copper ions and the sorption sites [7,8].
The KL constant represents the interaction between adsorbate and adsorbent, but it did not show a clear trend with respect to temperature, suggesting that the affinity between the ions and the sorption sites is not directly influenced by this parameter. Thus, due to the analysis of the dynamics and the sensitivity analysis of KL and Qmax at the five temperatures (25 °C, 35 °C, 45 °C, 85 °C, and 95 °C), as shown in the Supplementary Materials (Figure S5), the premises for the predictive model of isotherms at temperatures not experimentally tested could be adopted.
According to the sensitivity coefficients (Figure S5), in general, it was observed that Qmax presented a high magnitude, evidencing a significant influence on the dynamics of the isotherms. On the other hand, the model constant (KL) showed a low magnitude, indicating a minor influence on the response, which supports the same hypotheses previously adopted. Since the maximum adsorption capacity (Qmax) exhibits a linear dynamic with respect to temperature, the premise that the parameter is established by a linear equation (Equation (7)) to describe this dependence is justified.
Based on the definition of the hypotheses, a linear regression was applied to the Qmax data, once again estimated through MCMC (Table 6), respecting the previously adopted limits in which the parameter could not be lower than the experimental value observed for each isotherm nor greater than 50% above this value. Simultaneously, the KL parameter was also estimated, using a value of the same order of magnitude as that obtained in the individual fittings of each isotherm as an initial guess (Table 5).
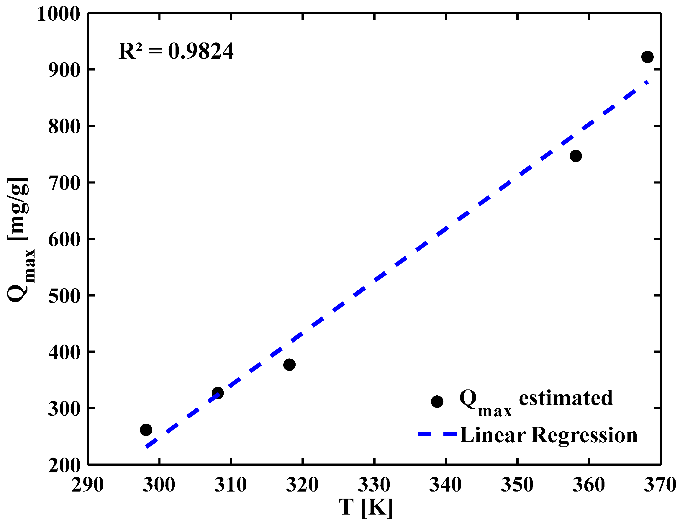
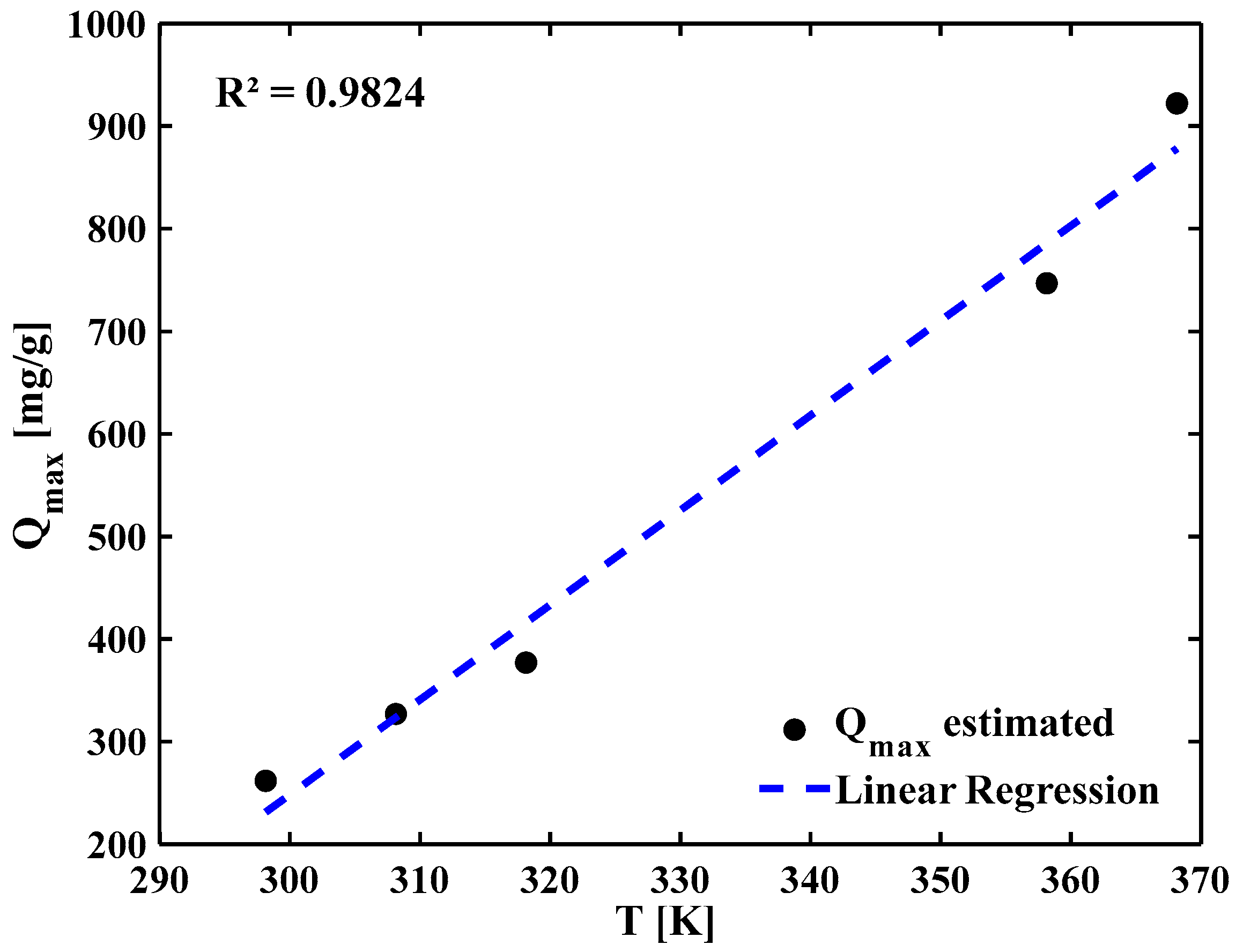
The regression was performed as a function of temperature (Figure 3), expressed in Kelvin (K), to obtain the angular (a) and linear (b) coefficients of Equation (7), which assumed the values of 9.15 mg/g.K and −2.54 × 103 mg/g, respectively, with KL estimated at 0.006 L/mg. The determination coefficient (R2) obtained was 0.98, indicating that the linear regression adequately describes the dynamics of the adsorption capacity as a function of temperature. Thus, the determination of the coefficients made it possible to estimate Qmax at different temperatures.
Considering the previously established hypotheses, a new joint estimation of the parameters a, b, and KL was carried out through the Markov Chain Monte Carlo (MCMC) method. At this stage, the parameter values obtained in the previous steps were used as initial estimates. Figure 4a–e present the simultaneous fitting of the Langmuir model to the experimental isotherm data at 25 °C, 35 °C, 45 °C, 85 °C, and 95 °C, which were used for model calibration, adopting Qmax as a linear function of temperature and KL as constant.
From the curves estimated individually and those obtained considering the model assumptions, a reduction in the determination coefficients (R2) of the predicted curves with respect to the formulated hypotheses (Table 6) was observed, in comparison with the results estimated individually (Table 5). However, when Qmax was treated as a random variable without restrictions for estimation, the model tended to supply a better fit to the experimental data. From a physical standpoint, this may indicate an invalid result, since the hypothesis that Qmax depends on temperature was confirmed by the experimental data. By supplying this additional information to the model (incorporated into the prior probability distribution), the reliability of the response variable was increased, better reflecting the reality of the studied system.
In the model validation stage, assuming that Qmax varies linearly with temperature (Equation (7)), isotherms at intermediate temperatures of 55 °C, 65 °C, and 75 °C, which were not included in the fitting stage, were predicted to evaluate the predictive capability of the model. Figure 5 presents the experimental and simulated isotherms at the intermediate temperatures generated from the predictive model.
According to the validation estimates, the model proved effective in predicting isotherms, enabling the extension of predictions to temperatures not experimentally assessed. Figure 6 shows the adsorption equilibrium curves across the temperature range of 25 °C to 95 °C, including conditions not experimentally performed, in which the amount of adsorbate (copper) adsorbed per gram of zeolite (mg/g) is expressed as a function of temperature (°C) and equilibrium concentration (mg/L).
As shown in Figure 6, the proposed model allowed the estimation of adsorption capacity throughout the entire evaluated temperature range (25–95 °C), including intermediate isotherms not experimentally obtained. This approach enhances the understanding of system dynamics under different thermal conditions without the need to perform additional experiments for each temperature, which has practical implications, especially in industrial contexts, where it is often desirable to know adsorbent performance under varying operating conditions.
Thus, the prediction provided by this model enables a continuous analysis of the process over a wide temperature range, enabling the practical application of the model under different conditions, supporting the planning and optimization of processes in which thermal control is a critical factor.
The linear relationship proposed for Qmax (T) proved to be adequate within the temperature range studied, showing strong consistency with the individually generated experimental values for the different systems evaluated. This formulation reflects an empirical behavior consistently observed in the analyzed data, allowing the isotherms to be integrated into a single model representative of the adsorptive dynamics within the evaluated temperature interval. However, because this linearity does not derive from a fundamental relationship based on mass and energy balances, extending this trend to temperatures substantially different from those investigated is avoided, as additional effects related to adsorption energy and adsorbent behavior may become relevant outside the experimental range. Thus, the conclusions obtained with the model are valid for the temperature interval in which this trend was verified for the systems studied.
In parallel, the assumption of a constant KL proved adequate within the temperature range studied, since the values individually estimated for the different systems exhibited low sensitivity, remaining within the same order of magnitude and showing no clear trend of variation with temperature. Thus, within the considered interval, no significant variation in KL was observed that would allow for the development of a mathematical formulation incorporating temperature into this parameter. This behavior allowed KL to be adopted as constant in the formulation of the proposed model, ensuring mathematical coherence without introducing unnecessary degrees of freedom.
However, because this constancy does not arise from a thermodynamic relationship but rather from a pattern observed in the experimental systems evaluated, its application to temperatures markedly different from those investigated should be approached with caution, making predictions within the studied temperature range more appropriate. Therefore, the validity of this hypothesis is restricted to the temperature range studied and to the systems for which this trend was experimentally verified.

4. Conclusions

The adaptation of the Langmuir isotherm model with the inclusion of temperature as a variable, developed through the computational methodology presented in this work, was initially formulated based on isotherms involving different adsorbent–adsorbate systems and subsequently applied to experimental data obtained from copper ion adsorption by zeolite 5A. This approach enabled the prediction of isotherms within a temperature range of 25 °C to 95 °C.
The assumptions formulated and the methodology employed to calibrate and validate the model were fundamental for the prediction stage. In this way, the predictive model contributed to the understanding of the adsorption process dynamics as a function of temperature, which is particularly important in scenarios where experimental data are limited. Thus, it is not only possible to assess the adequacy of an experiment to a model, but also to simulate conditions and optimize adsorption processes, highlighting the potential applicability of the methodology to different cases of isotherms under operating conditions for which no experimental data are available.

Supplementary Materials

The following supporting information can be downloaded at: https://www.mdpi.com/article/10.3390/pr13124036/s1, Figure S1: Sensitivity analysis of the parameters Qmax and KL with respect to the adsorbed amount qe for the systems: amoxicillin (S1.1), phosphate (S1.2), methylene blue (S1.3), and caffeine (S1.4); Figure S2: Langmuir model fittings to the experimental adsorption data for the evaluated systems: amoxicillin (S2.1), phosphate (S2.2), methylene blue (S2.3), and caffeine (S2.4); Figure S3: Linear regressions of the individually estimated Qmax values as a function of temperature (in Kelvin) for each experimental dataset: amoxicillin (a), phosphate (b), methylene blue (c), and caffeine (d); Figure S4: Simulated curves generated from the calibration of the Langmuir model for the evaluated systems: amoxicillin (S4.1), phosphate (S4.2), methylene blue (S4.3), and caffeine (S4.4), considering Qmax as a linear function of temperature and KL as constant. Figure S5: Sensitivity analysis of the parameters KL and Qmax at temperatures of 25 °C (a), 35 °C (b), 45 °C (c), 85 °C (d), and 95 °C (e).

Author Contributions

Conceptualization, A.P.S.d.S. and H.B.S.L.; methodology, A.P.S.d.S., D.C.E., H.B.S.L., and E.C.R.; software, D.C.E.; validation, A.P.S.d.S., H.B.S.L., and D.C.E.; formal analysis, D.S.d.C., C.B.A., and L.A.F.; investigation, L.A.F. and D.C.E.; data curation, A.P.S.d.S., L.A.F., and D.C.E.; writing—original draft preparation, A.P.S.d.S.; writing—review and editing, L.A.F., D.S.d.C., C.B.A., and E.C.R.; visualization, A.P.S.d.S. and H.B.S.L. All authors have read and agreed to the published version of the manuscript.

Funding

This research was funded by Fundação Amazônia de Amparo a Estudos e Pesquisas (FAPESPA) and the Pró-Reitoria de Pesquisa e Pós-Graduação of the Universidade Federal do Pará (PROPESP/UFPA), through the project entitled “Adsorption of Gases in Fixed Bed: Use of Adsorbents Produced from Mining Waste in a Semi-Pilot Scale System”, grant agreement No. 13/2022.

Data Availability Statement

The data presented in this study are available from the corresponding author upon reasonable request. Part of the material is temporarily restricted.

Acknowledgments

Thank FAPESPA and PROPESP (UFPA) for financial supporting research through financing the project entitled “Adsorção De Gases Em Leito Fixo: Uso De adsorventes Produzidos A Partir De Resíduos De Mineração Em Sistema Com escala Semi Piloto” agreement N°13/2022. Thank CNPq for financially supporting research through financing the project entitled “Adsorção de multicomponentes em colunas de Leito fixo: experimental, modelagem, scale-up” agreement MCTI/FNDCT N° 44/2024—UNIVERSAL and N° 18/2024—Bolsas de Produtividade em Pesquisa.

Conflicts of Interest

The authors declare no conflicts of interest.

References

  1. Hong, Y.; Lee, I.; Lee, W.; Kim, H. Mass-Balance-Model-Based evaluation of sewage treatment plant contribution to residual pharmaceuticals in environmental waters. Chemosphere 2019, 225, 378–387. [Google Scholar] [CrossRef] [PubMed]
  2. Sousa, G.C. Contaminação por Metais Pesados: A Ameaça dos Poluentes ao Oceano e à Saúde Humana. Jornal da USP. São Paulo. 2023. Available online: https://jornal.usp.br/atualidades/contaminacao-por-metais-pesados-a-ameaca-dos-poluentes-aos-oceanos-e-a-saude-humana/ (accessed on 9 July 2025).
  3. Saleh, T.A. Surface Science of Adsorbents and Nanoadsorbents: Properties and Applications in Environmental Remediation; Academic Press: Cambridge, MA, USA, 2022. [Google Scholar]
  4. Smart, L.E.; Moore, E.A. Solid State Chemistry: An Introduction, 5th ed.; CRC Press: Boca Raton, FL, USA, 2020. [Google Scholar]
  5. Worch, E. Adsorption Technology in Water Treatment: Fundamentals, Processes, and Modeling, 2nd ed.; Walter de Gruyter GmbH: Berlin, Germany, 2021; 376p. [Google Scholar]
  6. Sing, K.S.W. Reporting physisorption data for gas/solid systems with special reference to the determination of surface area and porosity (IUPAC Recommendations 1984). Pure Appl. Chem. 1985, 57, 603–619. [Google Scholar] [CrossRef]
  7. Din, S.U.; Khaqan, U.; Imran, M.; Al-Ahmary, K.M.; Alshdoukhi, I.F.; Carabineiro, S.A.; Bakheet, A.M. Enhancing arsenic reoval using Cu-infused biochar: Unravelliing the influence of pH, temperature and kinectics. Chem. Eng. Res. Des. 2024, 203, 368–377. [Google Scholar] [CrossRef]
  8. Gyawali, D.; Rijal, S.; Basnet, P.; Ghimire, K.N.; Pokhrel, M.R.; Paudyal, H. Effective biosorption of As (V) from polluted water using Fe (III)-modified Pomelo (Citrus maxima) peel: A batch, column, and thermodynamic study. Heliyon 2023, 9, e13465. [Google Scholar] [CrossRef]
  9. Hung, D.Q.; Dinh, L.X.; Van Tung, N.; Huong, L.T.M.; Lien, N.T.; Minh, P.T.; Le, T.-H. The adsorption kinetic and isotherm studies of metal ions (Co2+, Sr2+, Cs+) on Fe3O4 nanoparticle of radioactive importance. Results Chem. 2023, 6, 101095. [Google Scholar] [CrossRef]
  10. Rasheed, F.A.; Sillanpää, M.; Moradi, M. Cobalt Adsorption by Ca (OH)2 Modified Quartz Rock Particles Adsorbent: Equilibrium Isotherm, Kinetics, and Thermodynamic Studies. Desalination Water Treat. 2024, 319, 100477. [Google Scholar] [CrossRef]
  11. Ma, K. Integrated hybrid modeling and SHAP (SHapley Additive exPlanations) to predict and explain the adsorption properties of thermoplastic polyurethane (TPU) porous materials. RSC Adv. 2024, 14, 10348–10357. [Google Scholar] [CrossRef]
  12. Cao, X.; Luo, W.; Liu, H. A prediction model for CO2/CO adsorption performance on binary alloys based on machine learning. RSC Adv. 2024, 14, 12235–12246. [Google Scholar] [CrossRef]
  13. Yeo, J.Y.J.; Khaerudini, D.S.; Soetaredjo, F.E.; Waworuntu, G.L.; Ismadji, S.; Sunarso, J.; Liu, S. Isotherm data for adsorption of amoxicillin, ampicillin, and doripenem onto bentonite. Data Brief 2023, 48, 109159. [Google Scholar] [CrossRef]
  14. Jurado-Davila, I.V.; Schneider, I.A.H.; Estumano, D.; Féris, L.A. Phosphate removal using dolomite modified with ultrasound: Mathematical and experimental analysis. J. Environ. Sci. Health Part A 2023, 58, 469–482. [Google Scholar] [CrossRef]
  15. Cheng, G.; Li, Y.; Sun, L.; Luo, S.; Kyzas, G.Z.; Fu, J. Residue char derived from microwave-assisted pyrolysis of sludge as adsorbent for the removal of methylene blue from aqueous solutions. Processes 2020, 8, 979. [Google Scholar] [CrossRef]
  16. Oliveira, J.T.; Nunes, K.G.P.; Estumano, D.C.; Féris, L.A. Applying the Bayesian technique, statistical analysis, and the maximum adsorption capacity in a deterministic way for caffeine removal by adsorption: Kinetic and isotherm modeling. Ind. Eng. Chem. Res. 2024, 63, 1530–1545. [Google Scholar] [CrossRef]
  17. Langmuir, I. The dissociation of hydrogen into atoms. III. The mechanism of the reaction. J. Am. Chem. Soc. 1916, 38, 1145–1156. [Google Scholar] [CrossRef]
  18. Sohn, S.; Kim, D. Modification of Langmuir isotherm in solution systems—Definition and utilization of concentration dependent factor. Chemosphere 2005, 58, 115–123. [Google Scholar] [CrossRef]
  19. Nascimento, R.F.D.; Lima, A.C.A.D.; Vidal, C.B.; Melo, D.D.Q.; Raulino, G.S.C. Adsorção: Aspectos Teóricos e Aplicações Ambientais, 2nd ed.; Imprensa Universitária: Mozambique, Southern Africa, 2020; pp. 14–24. [Google Scholar]
  20. Tien, C. Introduction to Adsorption: Basics, Analysis and Applications; Elsevier: Amsterdam, The Netherlands, 2019. [Google Scholar]
  21. Orlande, H.R.B.; Colaço, M.J.; Cotta, C.P.; Guimarães, G.; Borges, V. Problemas inversos em transferência de calor. São Carlos SBMAC (Soc. Bras. Matemática Apl. Comput.) 2011, 51, 113. [Google Scholar]
  22. Ito, K.; Jin, B. Inverse Problems: Tikhonov Theory and Algorithms; World Scientific: Singapore, 2015; Volume 22. [Google Scholar]
  23. Ferreira, J.R.; Sena, A.P.; Coutinho, J.P.d.S.; Estumano, D.C.; Macêdo, E.N. Fluid dynamics characterization of stirred-tank reactors via approximate Bayesian computational (ABC) for parameter estimation and model selection. Numer. Heat Transf. Part A Appl. 2023, 85, 2579–2596. [Google Scholar] [CrossRef]
  24. Tavares, R.; Santana, C.D.; Rodrigues, C.H.M.; Rodrigues, E.C.; Viegas, B.M.; Estumano, D.C. Parameter Estimation in Mass Balance Model Applied in Fixed Bed Adsorption Using the Markov Chain Monte Carlo Method. J. Heat Mass Transf. Res. 2022, 9, 219–232. [Google Scholar] [CrossRef]
  25. Cardoso, A.C.; Dias, C.S.; de Moura, C.H.R.; Ferreira, J.L.; Rodrigues, E.C.; Macêdo, E.N.; Estumano, D.C.; Viegas, B.M. Use of Bayesian Methods in the Process of Uranium Bioleaching by Acidithiobacillus ferrooxidans. Appl. Sci. 2023, 14, 109. [Google Scholar] [CrossRef]
  26. Metropolis, N.; Rosenbluth, A.W.; Rosenbluth, M.N.; Teller, A.H.; Teller, E. Equation of State Calculations by Fast Computing Machines. J. Chem. Phys. 1953, 21, 1087–1092. [Google Scholar] [CrossRef]
  27. Hastings, W. Monte Carlo Sampling Methods using Markov Chains and their Applications. Biometrika 1970, 57, 97–109. [Google Scholar] [CrossRef]
  28. Lima, H.B.S.; Sousa, A.P.S.; Silva, W.B.D.; Costa, D.S.D.; Rodrigues, E.C.; Estumano, D.C. Parameter estimation of breakthrough curve models in the adsorption process of H2S and CO2 using the Markov Chain Monte Carlo Method. Appl. Sci. 2024, 14, 6956. [Google Scholar] [CrossRef]
  29. Dias, C.S.; Franco, M.A.E.; Rodrigues, E.C.; Ferreira, J.L.; Viegas, B.M.; Féris, L.A.; Estumano, D.C.; Macêdo, E.N. Diclofenac sodium adsorption on activated carbon: Experimental, modeling and bayesian statistics. An. Acad. Bras. Cienc. 2024, 96 (Suppl. S1), e20231110. [Google Scholar] [CrossRef]
  30. Jurado-Davila, V.; Reolon, L.S.; Nunes, K.G.P.; Estumano, D.C.; Féris, L.A. Classical and bayesian computational statistics applied to acetylsalicylic acid mitigation in aqueous solutions: Study of batch scale, kinetic modeling, and fixed-bed column adsorption. Ind. Eng. Chem. Res. 2024, 63, 9943–9954. [Google Scholar] [CrossRef]
  31. Liu, C.; Yan, X.; Zhang, H.-X.; Yang, J.-M.; Yoon, K.-B. Silicone-Modified black peanut shell (BPS) biochar adsorbents: Preparation and their adsorptions for copper (II) from water. Heliyon 2024, 10, e35169. [Google Scholar] [CrossRef]
  32. Huang, X.; Lang, L.; Li, J.-S.; Poon, C.S. Synthesis of Na-A zeolite loaded bentonite and its application for removal of Cu (II) from aqueous solutions. J. Water Process Eng. 2023, 56, 104359. [Google Scholar] [CrossRef]
  33. Wu, X.; Song, Y.; Yin, P.; Xu, Q.; Yang, Z.; Xu, Y.; Liu, X.; Sun, W.; Cai, H. Efficient copper ions adsorption property of the composite sepiolite-based polyethyleneimine alginate microspheres in wastewater treatment. Desalination Water Treat. 2022, 262, 200–214. [Google Scholar] [CrossRef]
Figure 1. Steps performed for the Langmuir model adaptation.
Figure 1. Steps performed for the Langmuir model adaptation.
Processes 13 04036 g001
Figure 2. Metropolis–Hastings algorithm flowchart.
Figure 2. Metropolis–Hastings algorithm flowchart.
Processes 13 04036 g002
Figure 3. Linear regression of Qmax data as a function of temperature.
Figure 3. Linear regression of Qmax data as a function of temperature.
Processes 13 04036 g003
Figure 4. Fitting of the isotherms used for model calibration at temperatures of 25 °C (a), 35 °C (b), 45 °C (c), 85 °C (d), and 95 °C (e).
Figure 4. Fitting of the isotherms used for model calibration at temperatures of 25 °C (a), 35 °C (b), 45 °C (c), 85 °C (d), and 95 °C (e).
Processes 13 04036 g004
Figure 5. Estimation of the isotherms used for model validation at temperatures of 55 °C (a), 65 °C (b), and 75 °C (c).
Figure 5. Estimation of the isotherms used for model validation at temperatures of 55 °C (a), 65 °C (b), and 75 °C (c).
Processes 13 04036 g005
Figure 6. Prediction of adsorption isotherms at different temperatures.
Figure 6. Prediction of adsorption isotherms at different temperatures.
Processes 13 04036 g006
Table 1. Experimental data used in the proposal and calibration of the predictive model.
Table 1. Experimental data used in the proposal and calibration of the predictive model.
AdsorbateAdsorbentTemperature (°C)References
Adsorption of AmoxicillinBentonite30, 40 and 50 [13]
Adsorption of Phosphate Dolomite25, 35 and 45[14]
Adsorption of Methylene BlueResidue Char30, 35 and 40[15]
Adsorption of CaffeineActivated Carbon15, 25 and 40[16]
Table 2. Fundamental elements employed in parameter estimation.
Table 2. Fundamental elements employed in parameter estimation.
Parameter Estimation by MCMC
Variance (Uncertainty)1% max (qexp)
States of the Markov chain (N)10,000
Search Step (w)0.003
Credibility Interval
Prior
95%
P r i o r = U n i f o r m   0,10 P r e f
Table 3. Estimates of Qmax and KL obtained through MCMC for each system, with Qmax estimated individually for each temperature and the same KL.
Table 3. Estimates of Qmax and KL obtained through MCMC for each system, with Qmax estimated individually for each temperature and the same KL.
Adsorption of Amoxicillin Adsorption of Phosphate Adsorption of Methylene Blue Adsorption of Caffeine
Temp. (°C)Qmax
(mg/g)
R2RMSETemp. (°C)Qmax
(mg/g)
R2RMSETemp. (°C)Qmax
(mg/g)
R2RMSETemp. (°C)Qmax
(mg/g)
R2RMSE
30 °C34.690.961.1225 °C2.120.990.0730 °C89.260.743.9215 °C13.240.960.82
40 °C57.640.991.0335 °C2.220.980.0935 °C90.830.892.1825 °C19.950.951.42
50 °C78.520.972.3945 °C2.290.960.1340 °C97.250.872.6640 °C24.110.931.77
KL (L/mg) = 0.02KL (L/mg) = 0.14KL (L/mg) = 2.45KL (L/mg) = 0.03
Table 4. Estimates of parameters a, b, and KL obtained through MCMC in the calibration step of the model with simultaneous fitting of the isotherms.
Table 4. Estimates of parameters a, b, and KL obtained through MCMC in the calibration step of the model with simultaneous fitting of the isotherms.
Adsorption of Amoxicillin Adsorption of Phosphate Adsorption of Methylene BlueAdsorption of Caffeine
KL (L/mg) = 0.0182
a (mg/g.K) = 2.2101
b (mg/g) = −633.3110
KL (L/mg) = 0.1440
a (mg/g.K) = 0.0085
b (mg/g) = −0.4208
KL (L/mg) = 2.4718
a (mg/g.K) = 0.7919
b (mg/g) = −151.6459
KL (L/mg) = 0.0313
a (mg/g.K) = 0.4245
b (mg/g) = −108.4988
Temp. (°C)R2RMSETemp. (°C)R2RMSETemp. (°C)R2RMSETemp. (°C)R2RMSE
30 °C0.961.1825 °C0.990.0730 °C0.743.9215 °C0.941.02
40 °C0.981.2035 °C0.980.0935 °C0.832.6925 °C0.921.77
50 °C0.971.2945 °C0.960.1340 °C0.872.7140 °C0.941.71
Table 5. Estimation of Langmuir isotherm parameters at different temperatures.
Table 5. Estimation of Langmuir isotherm parameters at different temperatures.
Parameter25 °C35 °C45 °C55 °C65 °C75 °C85 °C95 °C
Qmax (mg/g)236.99 271.70368.34432.08524.63704.77784.19965.60
KL (L/mg)0.010.0180.0060.0090.0070.0050.0050.005
R20.970.890.940.930.960.940.970.98
RMSE7.8116.0621.9626.7424.1136.6130.1936.09
Table 6. Estimates of Qmax and KL with Qmax of zeolite 5A estimated individually for each temperature.
Table 6. Estimates of Qmax and KL with Qmax of zeolite 5A estimated individually for each temperature.
25 °CQmax (mg/g)262.00
R20.89
RMSE15.74
45 °CQmax (mg/g)326.64
R20.71
RMSE45.06
55 °CQmax (mg/g)376.95
R20.94
RMSE22.31
85 °CQmax (mg/g)746.76
R20.96
RMSE32.49
95 °CQmax (mg/g)921.90
R20.97
RMSE38.17
KL = 0.059
Disclaimer/Publisher’s Note: The statements, opinions and data contained in all publications are solely those of the individual author(s) and contributor(s) and not of MDPI and/or the editor(s). MDPI and/or the editor(s) disclaim responsibility for any injury to people or property resulting from any ideas, methods, instructions or products referred to in the content.

Share and Cite

MDPI and ACS Style

de Sousa, A.P.S.; Lima, H.B.S.; da Costa, D.S.; Rodrigues, E.C.; Agustini, C.B.; Féris, L.A.; Estumano, D.C. A Proposal for the Incorporation of Temperature into the Langmuir Model in Adsorption Isotherms. Processes 2025, 13, 4036. https://doi.org/10.3390/pr13124036

AMA Style

de Sousa APS, Lima HBS, da Costa DS, Rodrigues EC, Agustini CB, Féris LA, Estumano DC. A Proposal for the Incorporation of Temperature into the Langmuir Model in Adsorption Isotherms. Processes. 2025; 13(12):4036. https://doi.org/10.3390/pr13124036

Chicago/Turabian Style

de Sousa, Ana Paula Souza, Haianny Beatriz Saraiva Lima, Deibson Silva da Costa, Emerson Cardoso Rodrigues, Caroline Borges Agustini, Liliana Amaral Féris, and Diego Cardoso Estumano. 2025. "A Proposal for the Incorporation of Temperature into the Langmuir Model in Adsorption Isotherms" Processes 13, no. 12: 4036. https://doi.org/10.3390/pr13124036

APA Style

de Sousa, A. P. S., Lima, H. B. S., da Costa, D. S., Rodrigues, E. C., Agustini, C. B., Féris, L. A., & Estumano, D. C. (2025). A Proposal for the Incorporation of Temperature into the Langmuir Model in Adsorption Isotherms. Processes, 13(12), 4036. https://doi.org/10.3390/pr13124036

Note that from the first issue of 2016, this journal uses article numbers instead of page numbers. See further details here.

Article Metrics

Article metric data becomes available approximately 24 hours after publication online.
Back to TopTop