You are currently on the new version of our website. Access the old version .
ProcessesProcesses
  • Article
  • Open Access

5 November 2025

Sustainable Production of Propionic Acid from Xylose and Glycerol by Acidipropionibacterium acidipropionici DSM 4900: A Biorefinery Approach

,
,
,
,
and
1
School of Chemistry, Federal University of Rio de Janeiro, Av. Athos da Silveira Ramos, 149, Ilha do Fundão 21941-972, RJ, Brazil
2
Department of Chemical and Petroleum Engineering, Federal Fluminense University, R. Passos da Pátria 156, Niterói 24210-140, RJ, Brazil
*
Authors to whom correspondence should be addressed.
This article belongs to the Special Issue Bioreactor Design and Optimization Process

Abstract

Propionic acid (PA) is a valuable chemical with wide industrial applications, and its sustainable production via microbial fermentation has gained increasing attention. This study aimed to develop and improve a bioprocess for PA production using Acidipropionibacterium acidipropionici DSM 4900 and renewable carbon sources, namely xylose and glycerol. Shake-flask and bioreactor experiments were conducted to evaluate the effects of substrate ratios and operational strategies on process performance. Among the tested conditions, the fed-batch bioreactor using glycerol as the main substrate showed the best results, reaching a final PA concentration of 24.5 g/L, productivity of 0.18 g/(L·h), yield of 0.57 g/g, and bioconversion efficiency of 71%. These findings highlight the potential of optimizing substrate composition and feeding strategies to enhance microbial catalysis and process efficiency. This work advances current knowledge by revealing the synergy between xylose and glycerol co-utilization and demonstrating that integrated process design, combining redox-balanced substrates with fed-batch operation, can overcome end-product inhibition and enhance carbon flux toward propionic acid synthesis. Overall, this study demonstrates the feasibility of using low-cost, renewable feedstocks for PA production, contributing to the development of sustainable and circular biorefinery platforms in line with green chemistry and process intensification principles.

1. Introduction

The conversion of agricultural waste into high-value bioproducts has become a key strategy for promoting a circular economy in various countries, aiming to reduce environmental impacts and foster sustainable practices [1,2]. However, replacing traditional chemical processes with biotechnological methods that utilize renewable resources presents a significant challenge for industry. Achieving this transition requires substantial structural adjustments to align industrial operations with sustainability principles across environmental, social, and economic dimensions [3,4,5].
The microbial production of propionic acid is primarily driven by the Wood-Werkman cycle, a distinctive metabolic route in Acidipropionibacterium acidipropionici that channels carbon from substrates such as glucose, xylose and glycerol into propionic acid through a series of reductive carboxylation and transcarboxylation steps. This anaerobic bacterium employs glucose as a carbon source, fermenting it to pyruvate, which is subsequently transformed into propionic acid through the Wood-Werkman cycle and the acrylate pathway (via lactate) [6]. Xylose, a five-carbon sugar, can be assimilated by A. acidipropionici as a carbon source via a catabolic pathway involving xylose isomerase and xylulokinase, which convert xylose into xylulose-5-phosphate. This intermediate enters the pentose phosphate pathway and subsequently the central carbon metabolism (glycolysis) [7].
Glycerol represents an alternative substrate that A. acidipropionici can ferment. Its conversion into pyruvate yields more reducing equivalents than glucose, thereby favoring the production of propionic acid. Additionally, glucose and its derivatives are converted to pyruvate, which generates ATP and NADH [6,8].
So, all three carbon sources mentioned (xylose, glycerol and glucose) are metabolized into pyruvate, yielding ATP and NADH. It is essential to note that, although propionic acid primarily exists as the propionate anion in fermentation conditions (which have a near-neutral pH), the term “propionic acid” is used throughout this work, following the common practice in the biotechnology literature [9,10,11]. The Wood–Werkman cycle converts pyruvate to propionate via a reductive TCA branch and a methylmalonyl/succinyl rearrangement. The core, net reaction of the cycle is as follows: pyruvate + 2 NADH→propionate + 2 NAD+ + H2O. Pyruvate carboxylase is not part of the cycle; it acts anaplerotically to replenish oxaloacetate during growth. CO2 release does not occur within the cycle; when observed, CO2 derives from upstream oxidative steps (e.g., pyruvate dehydrogenase) outside the Wood–Werkman loop [10,12].
This pathway enhances carbon utilization and improves yields in fermentative routes. From a kinetic standpoint, the system is influenced by substrate uptake rates, intracellular redox balance (NADH/NAD+), and end-product inhibition—particularly by propionate and acetate—which can impair microbial growth and productivity [13]. Understanding these metabolic and kinetic limitations is crucial for the rational design of fermentation strategies, such as fed-batch operation, which can improve bioconversion efficiency and support process intensification within the framework of a sustainable biorefinery [8,14].
To better grasp the advantages of the Wood-Werkman (WW) pathway, researchers have compared its theoretical carbon yields and ATP balances with those of other known fermentation routes for propionate, specifically the acrylate and succinate pathways (see Supplementary Material, Table S1) [10,15,16,17]. In the context of lactate, the WW cycle channels approximately 66.7% of the input carbon into propionate, adhering to the classic stoichiometry of 3 lactate molecules producing 2 propionate, 1 acetate, CO2, and H2O. This process yields around 0.78 mol of ATP per mol of lactate (approximately 7/9) [15,16]. In contrast, the acrylate pathway typically generates approximately 0.5 mol of ATP per mol of lactate, with carbon partitioning that can vary depending on the co-products [17]. When glucose is used, the WW pathway can produce roughly 4 mol of ATP per mol of glucose while maintaining a 2:1 ratio of propionate to acetate. In comparison, the succinate pathway yields about 3.0 to 3.25 mol of ATP per mol of glucose, which depends on the activity of pyruvate formate lyase and the resulting product ratios [10]. These comparisons highlight the greater energetic and carbon efficiency of the WW pathway compared to other fermentative routes, making it a compelling subject for further research and potential applications in metabolic engineering and biotechnology.
Among various bioproducts of interest, PA stands out due to its high industrial relevance. Nonetheless, the biotechnological production of PA faces challenges, especially regarding the low productivity of microbial strains employed in fermentation [9,18,19]. To enable sustainable large-scale production, it is essential to adopt bioprocesses that integrate robust microbial platforms and renewable substrates, ensuring both technical feasibility and economic viability [9,20,21,22,23].
Propionic acid (C3H6O2) is a short-chain fatty acid naturally synthesized by Propionibacterium species [19,21]. It has wide-ranging industrial applications, particularly in the pharmaceutical, food, and chemical industries, due to its antimicrobial, anti-inflammatory, and preservative properties [10,12,14,24]. This multifunctional profile underscores the growing interest in its sustainable biotechnological production.
Current global production is estimated at ~400–480 kton per year [25,26], with the petrochemical route, mainly via ethylene hydroformylation to propionaldehyde, followed by oxidation, remaining dominant due to its high productivity and maturity, despite its reliance on fossil feedstocks [27]. For fermentation-based processes, advances in strain improvement, high-cell-density cultivation, cell recycling, and in situ product recovery have enabled fermentation processes to achieve propionic acid titers close to levels considered industrially viable—in the range of 30–75 g·L−1, with productivities ≤ 1 g·L−1·h [10,16]. Recent developments demonstrate the potential for biotechnological routes to match economic and performance requirements, positioning them as promising alternatives or complements to petrochemical production [21].
In recent years, PA biosynthesis has been extensively investigated within the context of the circular economy, with an emphasis on alternative substrates such as glycerol, glucose, lactate, and organic residues, to enhance process sustainability [18,22,28,29]. Process efficiency depends on the stoichiometric and redox balance between substrates and products (see Supplementary Material, Table S2). The originality of this work lies in the systematic investigation of Acidipropionibacterium acidipropionici DSM 4900 using xylose-glycerol co-fermentation as a redox-complementary system. By integrating statistical design of experiments with controlled bioreactor operation, this study provides new insights into the coupling between carbon sources and propionic acid pathway efficiency. The proposed approach aims not only to improve process performance but also to establish a scalable strategy for sustainable propionic acid production from low-cost, renewable substrates.

2. Materials and Methods

This research integrated theoretical modeling and experimental validation, employing Acidipropionibacterium acidipropionici DSM 4900, sourced from the Leibniz Institute DSMZ culture collection (Braunschweig, Germany). Stock cultures were maintained at −80 °C in a cryopreservation medium composed of 20 g/L glucose, 10 g/L yeast extract, 5 g/L soybean tryptone broth, and 0.05 g/L manganese (II) sulfate, supplemented with 20% (v/v) glycerol.
For pre-culture, the strain was cultivated in 500 mL Erlenmeyer flasks containing a medium composed of 30 g/L carbon source, 10 g/L corn steep liquor (CSL), 5 g/L soybean tryptone broth, 0.05 g/L manganese (II) sulfate, and 0.1 M potassium phosphate buffer (pH 6.0). Cultures were incubated at 37 °C and 70 rpm for 72 h. Cells were harvested by centrifugation (Sorvall Lynx 4000, Thermo Scientific, Waltham, MA, USA) at 10,000 rpm for 10 min, and the biomass was resuspended in the fermentation medium. Figure 1 schematically illustrates the methodology used.
Figure 1. Schematic diagram to produce propionic acid.
Propionic acid production was evaluated in 500 mL Erlenmeyer flasks containing 300 mL of fermentation media 1, 2, 3, and 4, selected based on works reported in the literature (See Supplementary Material, Table S3) [30,31,32,33]. The initial inoculum concentration was 10 g/L. Cultures were incubated at 37 °C and 70 rpm under semi-anaerobic conditions using an orbital shaker (Eppendorf™, Innova, New Brunswick Scientific Co., Inc., Edison, NJ, USA). Cell growth was monitored by measuring optical density at 600 nm (OD600) using a 96-well microplate spectrophotometer (BioTek Epoch 2, BioTek Instruments, Inc., Winooski, VT, USA), and the values were converted to dry cell weight (DCW).
Statistical analysis of the selected medium was performed to identify the optimal concentrations of the carbon source (10–100 g/L) and CSL (2–20 g/L). The experimental design followed a Central Composite Design (CCD) within the framework of Design of Experiments (DOE), using propionic acid concentration as the response variable and a significance level of 5%. Statistical analyses were performed using Statistica software, version 13.0 (StatSoft Inc., Tulsa, OK, USA). The experimental matrix, including the levels of the tested variables, is presented in Table 1. All fermentations were conducted in 500 mL Erlenmeyer flasks containing a working volume of 300 mL, inoculated with 10% (v/v) of the pre-culture, and incubated at 37 °C and 70 rpm.
Table 1. Experimental matrix of the Central Composite Design (CCD) used for the optimization of propionic acid production, showing values of carbon source and CSL concentrations.
The fed-batch fermentations, performed either in simple continuous feeding or pulse-feeding mode, were carried out in a 1 L stirred-tank reactor (STR, BioFlo®120, Eppendorf, AG, Hamburg, Germany) with a working volume of 800 mL, under oxygen-limited conditions, without air sparging, since Acidipropionibacterium acidipropionici DSM 4900 is a facultative anaerobe bacterium. The pH was maintained between 5.5 and 6.5 by automatic addition of 4.5 M NaOH and 1.0 M HCl. The impeller speed of the STR was set at 70 rpm, to prevent cell sedimentation and ensure adequate mixing, and the temperature was maintained at 37 °C (Figure 2). Fermentations were conducted using the medium containing 40 g/L of a xylose–glycerol mixture (4:1 ratio), 10 g/L CSL, 5 g/L (NH4)2SO4, and 4 g/L KH2PO4. For fermentation using glycerol as substrate, a fed-batch strategy was employed under the same operational conditions and after 48 h of operation, 10 g/L was added to sustain substrate availability and mitigate product inhibition. Samples were collected and analyzed at time intervals ranging from 2 to 10 h.
Figure 2. Mechanically stirred bioreactor (STR) for propionic fermentation by A. acidipropionici in single and pulse-fed batches.
Sugar and organic acid concentrations were determined by HPLC using Waters Alliance 2690 (Waters Corporation, Milford, MA, USA) and Shimadzu (Shimadzu Corporation, Kyoto, Japan) equipment, respectively. Separation was performed on an Aminex HPX-87H column (300 × 7.8 mm, Bio-Rad Laboratories, Hercules, CA, USA) with 5 mmol/L H2SO4 mobile phase (0.6 mL/min) at 60 °C. Quantification used refractive index detectors (for sugars) and UV detectors (for organic acids).

3. Results and Discussion

3.1. Evaluation of Substrates for Propionic Acid Production

Experiments were carried out using synthetic media containing xylose, glucose, and glycerol as carbon sources, as detailed in Table 2. Analytical parameters included substrate consumption, biomass formation, PA production, and process performance indicators such as YP/S (product yield per substrate), YX/S (biomass yield per substrate), and QPA (volumetric productivity per substrate). These assays were essential for identifying optimal strategies for PA biosynthesis and for evaluating the efficiency of carbon source utilization.
Table 2. Propionic acid production in synthetic media using xylose, glucose, and glycerol as carbon sources.
Xylose, abundantly present in the hemicellulosic fraction of lignocellulosic biomass [31,34], was selected as the primary carbon source to establish a basis for future applications involving renewable feedstocks. The concentration of xylose in the experiments ranged from 10.5 to 27.8 g/L, consistent with values reported in the literature [30,31].
The co-fermentation of xylose, glucose [7,35], and glycerol [11,36,37] is well-documented in the literature. In this study, A. acidipropionici was cultivated using different ratios of these substrates, allowing comparative analysis with previously published data and providing insights into substrate synergies and potential metabolic advantages due to the ability of A. acidipropionici to efficiently to metabolize glycerol and generate NADH is a critical factor to sustain the anaerobic fermentative process, where the regeneration of NAD+ is vital for the continuity of energy metabolism. The co-fermentation of glycerol and xylose presents a remarkable metabolic synergy.
PA production is a reductive process that consumes NADH. Therefore, an adequate and balanced supply of NADH is critical to maximizing PA yield and productivity. If there is an excess of NADH generated from glycerol, it can be used for reduction reactions in the PA pathway or for the formation of other reduced products that serve as electron sinks, such as propanol. On the other hand, if the xylose pathway also contributes NADH, this may alleviate the pressure on glycerol metabolism to provide all the necessary reducing power, or it may allow greater flux through the PA pathway, which is dependent on NADH. So, in a co-fermentation scenario, the ratio of glycerol to xylose can be adjusted to modulate the intracellular NADH/NAD+ balance. An increase in the proportion of glycerol can lead to a greater supply of NADH, which can be beneficial for producing PA, which is a more reduced product. This strategy allows the microorganism to maintain an optimal redox state, avoiding both NADH limitation and excessive NADH accumulation, which can inhibit key enzymes [38]. Optimizing this redox balance is a critical aspect of bioprocess engineering to achieve high concentrations, productivity and yields of propionic acid, as demonstrated in this work with the fed-batch bioreactor process using glycerol as the primary substrate.
The experiments were conducted to comparatively evaluate different carbon sources—glucose, xylose, and glycerol—as substrates for A. acidipropionici, with a particular focus on the benefits of co-fermentation. As shown in Table 2, the highest performance in terms of PA concentration, volumetric productivity, and fermentation efficiency was observed using xylose and glycerol (medium 3), reaching a maximum PA concentration of 7 g/L and a productivity of 0.11 g/L/h. Unlike fed-batch or high-cell-density strategies designed to maximize titers and productivity [33,35], the goal here was to establish a controlled baseline comparison, thereby identifying potential synergies between substrates relevant for renewable feedstocks.
Glucose fermentation (Medium 1) resulted in the lowest PA concentration (4.9 g/L), despite nearly complete substrate consumption (PSR ≈ 99%). This finding aligns with previous reports, which show that while glucose supports rapid growth and high biomass yields, it tends to divert carbon flux toward cell mass and by-products rather than PA accumulation [32,33]. For instance, Zhang et al. [32] reported PA concentrations above 20 g/L under optimized fed-batch conditions with glucose, but at the expense of significant acetic acid formation, confirming that glucose alone is not the most selective substrate for PA biosynthesis.
Xylose fermentation (Medium 2) yielded a higher PA concentration (5.9 g/L) and a more balanced distribution between biomass and product yields. This outcome is consistent with earlier studies demonstrating the feasibility of xylose-based PA production [7,30,39]. Liu et al. [31] achieved 12.2 g/L PA from hemicellulosic hydrolysates, while Wei et al. [7] engineered P. freudenreichii to efficiently metabolize xylose, reaching 16.3 g/L PA. Although the titers obtained here are lower, the relative improvement compared to glucose emphasizes that xylose metabolism favors redox conditions more conducive to PA synthesis.
Co-fermentation of xylose and glycerol (Medium 3) provided the highest PA concentration (7.0 g/L), clearly demonstrating the synergistic effect of combining substrates. Glycerol, as a highly reduced substrate, likely improved intracellular NADH availability, driving carbon flux toward propionic acid. Similar synergistic effects have been reported in the literature; Dishisha et al. [36] showed that combining glycerol with glucose improved PA yields compared to single-substrate fermentations, while Dishisha et al. [35] demonstrated that glycerol/glucose mixtures under high-cell-density conditions nearly doubled PA concentrations (up to ~35 g/L) compared to glucose alone. In comparison, our results confirm that even under unoptimized conditions, co-fermentation outperforms single-substrate strategies, underscoring the importance of substrate synergy.
Xylose at a higher concentration (Medium 4) produced 6.1 g/L of PA, which is close to the co-fermentation result but with lower volumetric productivity. This confirms that increasing substrate concentration does not replicate the metabolic advantages conferred by glycerol supplementation. Similar observations have been made in studies using hydrolysates: Ammar et al. [11] reported that while sorghum bagasse hydrolysate supported PA production, titers and yields were significantly enhanced when co-substrates such as glycerol were added.
Overall, the PA concentrations achieved in this study (4.9–7.0 g/L) are lower than those reported in optimized systems, which range from 12 to 18 g/L in xylose-based fed-batch fermentations [7,31] and 20–40 g/L in glycerol/glucose high-cell-density strategies [33,35]. However, the direct comparative framework employed here demonstrates clear differences between substrates and highlights the superiority of co-fermentation. This approach provides a valuable foundation for designing future strategies that combine xylose (as a lignocellulosic sugar) with glycerol (an abundant by-product of biodiesel production), thereby enhancing both the efficiency and sustainability of PA production.

3.2. Central Composite Design (CCD) for Fermentation Medium Composition Analysis

Propionic acid production was investigated using xylose, glycerol, and CSL as substrates, following a Central Composite Design (CCD) (Table 1). The experimental matrix was designed to determine the optimal concentrations and ratios of these components. Fermentation media were prepared with varying proportions of xylose and glycerol (4:1 ratio), CSL (2–20 g/L), 5 g/L ammonium sulfate, and 4 g/L KH2PO4. The CCD evaluated xylose and glycerol concentrations ranging from 10 to 100 g/L, with cultivations conducted in shake flasks at 37 °C and 70 rpm.
Multiple factors influence propionic acid yield and productivity, including microbial strain, substrate selection, pH, and temperature. Additionally, cultivation conditions, inoculum size, bioreactor configuration, and operational scale significantly impact fermentation efficiency. The CCD approach was employed to evaluate the effects of carbon-to-nitrogen ratios, with particular emphasis on CSL as a nitrogen source. A total of 11 experiments were conducted to analyze substrate interactions.
Corn steep liquor (CSL) was used as the primary source of nitrogen and micronutrients in the culture medium. CSL is a by-product of the corn wet-milling industry that contains proteins, amino acids, sugars, organic acids, vitamins, and minerals, providing a rich and balanced nutrient profile [40].
These aspects make CSL not only a cost-effective alternative but also a sustainable option, as it valorizes an industrial by-product that would otherwise require disposal. In the case of A. acidipropionici, CSL plays a strategic role by supporting robust cell growth while maintaining favorable conditions for propionic acid synthesis. Therefore, its inclusion in the medium composition enhances both the economic feasibility and the environmental sustainability of the fermentation process.
Statistical analysis of the experimental data was performed using ANOVA (Table 3). The significance of the model was determined using Fisher’s F-test, with p-values greater than 0.05 indicating non-significant terms. The linear (L) and quadratic (Q) effects of CSL concentration (p = 0.00178 and p = 0.00843, respectively) exhibited the strongest influence on propionic acid production, followed by the linear effect of xylose and glycerol concentration (p = 0.03158). The interaction between these factors (1 L × 2 L) was also statistically significant, highlighting their interdependent roles in microbial metabolism. The model’s coefficient of determination (R2 = 0.78) indicated that the tested parameters explained 78% of the observed variability and refers to the model’s adjusted R2, which accounts for the number of terms in the response surface and is therefore a more reliable indicator of goodness of fit in multifactorial experimental designs.
Table 3. ANOVA analysis to evaluate fermentation medium composition in propionic acid production.
The ANOVA results revealed a significant lack of fit (p = 0.01421), which can be attributed to the inherent variability of microbial fermentation systems and the possible presence of nonlinear interactions not fully captured by the model. Nevertheless, the model exhibited satisfactory statistical performance, with an adjusted R2 value of 0.78, indicating consistent explanatory strength. The random distribution of residuals without systematic deviations further supports the model’s adequacy in describing the main effects of the studied variables. Thus, despite the biological variability typical of fermentation processes, the proposed response surface model was considered reliable for process optimization and for identifying relevant factor interactions within the tested experimental range.
The Pareto chart (Figure 3) was used to determine the magnitude and significance of the factors. Among the evaluated factors, three main effects—CSL concentration (L and Q) and xylose + glycerol concentration (L)—along with their interaction term, were statistically significant (p ≤ 0.05). The estimated effects were +23.62, +10.82, −5.49, and −4.5, respectively. The positive coefficients for CSL suggest that increasing its concentration enhances propionic acid yield. In contrast, the negative coefficient for xylose and glycerol implies that lower concentrations of these carbon sources improve production efficiency.
Figure 3. Pareto chart for the Central Composite Design (CCD).
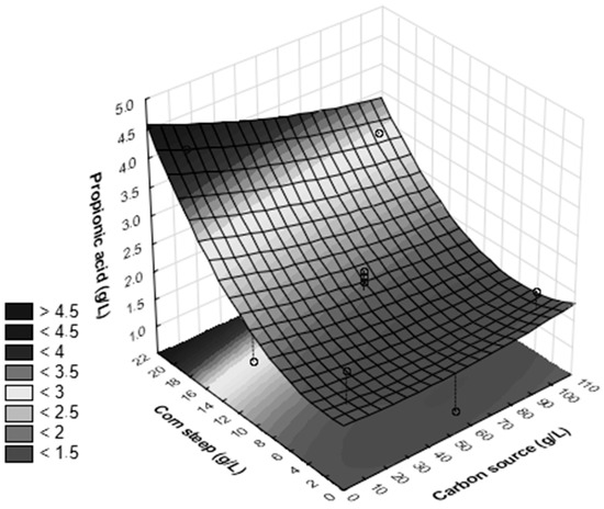
Response surface methodology (Figure 4) was employed to determine the optimal substrate concentrations for maximizing propionic acid yield. The analysis indicated that the highest production levels occurred near the upper tested limit of CSL (20 g/L) and the lower limit of the combined carbon sources xylose and glycerol (10 g/L). However, the optimal concentrations were established through desirability function analysis, which identified 11 g/L of CSL and a 55 g/L xylose + glycerol ratio in a 4:1 ratio as the conditions to ensure a balanced carbon-to-nitrogen ratio and maximize overall process performance.
Figure 4. Response surface to evaluate the effect of CSL and carbon source on propionic acid production. Carbon source: xylose+glycerol (4:1 ratio, g/L). ○: experiments evaluated in the CCD.
Previous studies have demonstrated that Propionibacterium efficiently utilizes complex nitrogen sources such as peptone, yeast extract, and CSL to enhance propionic acid biosynthesis [9]. CSL, a by-product of the corn wet-milling industry with a low cost, is rich in peptides, amino acids, vitamins, organic acids, and minerals [6,41]. According to Zhou et al. [40], CSL represents a “green biological resource” with broad applicability in fermentation processes due to its nutrient density and its ability to substitute more expensive supplements such as yeast extract [41]. For example, Ranaei et al. [21] reported that CSL supplementation (10 g/L) increased propionic acid titers by ~25% compared to media with yeast extract alone, while Ammar and Philippidis [9] highlighted improvements in yields from 0.38 to 0.47 g/g when CSL was used instead of costly nitrogen sources [6,42]. Typical CSL concentrations ranging from 5 to 10 g/L have been reported to maintain robust growth and enhance productivity up to 1.2 g/L·h in fed-batch systems, surpassing the 0.8–0.9 g/L·h often obtained with yeast extract [6,21,41].
From a process perspective, CSL supplementation has consistently improved propionic acid titers, yields, and productivity, while significantly reducing fermentation medium costs compared to conventional nitrogen sources [6,41,43]. Tavares et al. [44] demonstrated that Propionibacterium freudenreichii ATCC 6207, cultivated on whey permeate supplemented with CSL, achieved titers of 32 g/L and yields of 0.46 g/g. In contrast, processes without CSL supplementation typically reported <25 g/L and yield around 0.35 g/g. Similarly, Teles et al. [43] observed that agro-industrial effluents enriched with CSL supported concentrations above 40 g/L, demonstrating its effectiveness under non-synthetic conditions. Beyond metabolic performance, Zhou et al. [40] emphasized that CSL reduces production costs by up to 40% compared to yeast extract-based formulations. Together, these results establish CSL as both a metabolic enhancer and a strategic, sustainable supplement for large-scale propionic acid production.

3.3. Propionic Acid Production by A. acidipropionici in Bioreactor

The bioreactor trial was designed to evaluate whether the optimized conditions previously obtained in shake flask experiments could be successfully translated into a controlled environment. In this setup, no gas sparging was applied, and agitation was limited to 70 rpm, thereby establishing microaerophilic conditions. This approach was selected to reflect the physiological requirements of A. acidipropionici better. Moreover, controlling pH within the optimal range of 6.0–7.0 was essential to support both metabolic activity and cell viability, as growth is strongly inhibited at pH values below 5.0 [10].
Guided by these considerations and based on the knowledge gained from the shake flask trials, the batch fermentation in the bioreactor was carried out under pH control (5.5~6.5). As a result, A. acidipropionici completely consumed xylose and glycerol, leading to the production of 13.2 g/L of propionic acid and 15.8 g/L of biomass after 69 h, as illustrated in Figure 5. These results confirm that the conditions optimized at the flask level were crucial for defining the operational strategy in the bioreactor and demonstrate the feasibility of applying controlled, oxygen-limited fermentation to sustain both growth and acid production.
Figure 5. Propionic acid production by A. acidipropionici in a mechanically agitated bioreactor using xylose + glycerol as substrate at 37 °C and 70 rpm, starting with 11 g/L cell concentration.
Although the optimization analysis suggested an optimal substrate concentration of 55 g/L, an initial concentration of 41 g/L (33 g/L xylose and 8 g/L glycerol) was chosen in these initial validation trials. This more cautious approach aimed to minimize potential substrate inhibition effects at high cell densities, allowing the establishment of baseline kinetics for future optimizations.
The kinetics of cell growth, propionic acid production, and byproduct formation are depicted in Figure 5 and summarized in Table 4. The fermentation was initiated with a high biomass concentration (11 g/L) and conducted over 69 h at 37 °C and pH 6.0. This elevated initial cell density proved essential for maximizing overall process performance. Complete consumption of xylose and glycerol was achieved, accompanied by the progressive accumulation of organic acids. Notably, propionic acid synthesis persisted even after cell growth had plateaued, suggesting sustained metabolic activity under non-proliferative conditions. The biomass increased from 10 to 16 g/L during the process, resulting in a calculated cell yield factor (YX/TS) of 0.158 g biomass per gram of total substrate consumed.
Table 4. Experimental data of propionic acid and byproduct production by A. acidipropionici using xylose and glycerol as substrates in a mechanically agitated bioreactor.
Glycerol played a multifaceted role in the process. In addition to exhibiting a high theoretical conversion yield to propionic acid (up to 0.8 g/g), it contributed to maintaining intracellular redox balance, minimizing the formation of undesired byproducts, and acting as a compatible solute. This osmoprotective function is particularly relevant in mitigating the osmotic and metabolic stress induced by xylose, which is known to exert inhibitory effects on certain bacterial pathways [8,39,45]. These findings underscore the synergistic benefit of using glycerol-xylose co-substrate systems for efficient propionic acid production.
Table 4 highlights the performance of A. acidipropionici in the co-fermentation of xylose and glycerol under controlled bioreactor conditions, demonstrating both the potential and limitations of this metabolic system. The relatively high efficiency obtained here can be attributed to the synergistic effect of combining glycerol. This highly reduced substrate favors NADH regeneration, along with xylose, which together promote nearly complete substrate utilization (98.2%) and improve redox balance [8,36]. Importantly, PA formation persisted even after biomass accumulation plateaued, suggesting sustained metabolic activity under non-proliferative conditions, in agreement with previous observations of extended acid production in Propionibacterium cultures under oxygen-limited environments [33,35]. Nonetheless, the concurrent formation of acetic acid (3.9 g/L) and succinic acid (2.1 g/L) reflects carbon flux diversion into secondary pathways, a limitation widely recognized in the literature for mixed-substrate fermentations. [9,14].
Studies with Propionibacterium acidipropionici ATCC 4875 have confirmed its ability to metabolize glucose, xylose, and arabinose, producing PA in the range of 13.3 to 13.8 g/L [31], in agreement with the results of this study. The DSMZ 4900 strain, in turn, produced 8.72 g/L of PA with a productivity of 0.17 g/(L·h) in a medium containing glycerol and specific nutrients [45]. In contrast, the present work achieved higher values, possibly due to co-fermentation with xylose and the use of CSL as a nitrogen-rich additive. Additionally, the use of sweet sorghum bagasse (SSB) hydrolysate resulted in higher PA yield and productivity compared to pure glucose, while maintaining similar levels of acetic acid [9].
In the bioreaction using glycerol as the sole carbon source, a high substrate conversion of approximately 90% was observed, as shown in Figure 6a and detailed in Table 5. However, the resulting product yield was lower than anticipated. This limitation is primarily attributed to the high initial biomass concentration (10 g/L), which likely directed a substantial fraction of glycerol toward non-growth-associated maintenance energy rather than biosynthetic pathways for product formation. Moreover, glycerol catabolism via the glycerol kinase pathway entails a higher ATP demand, further contributing to the low yield factor.
Figure 6. Kinetic profile of propionic acid production by A. acidipropionici in the presence of glycerol in a bioreactor at 70 rpm, 37 °C and pH 6: (a) Batch fermentation; (b) Fed-batch fermentation with pulsed glycerol feeding strategy.
Table 5. Propionic acid and byproduct production by A. acidipropionici using glycerol in batch and fed-batch bioreactor modes.
It is worth noting that propionic acid production by A. acidipropionici proceeds via a heterofermentative metabolic route, in which propionic acid is the main product. However, secondary metabolites such as acetic and succinic acids are also generated through branches of the Wood–Werkman cycle. These byproducts are intrinsically linked to the redox balance of the system, which depends on the reducibility of the carbon sources and the intracellular electron flow. Although the formation of these acids is essential to maintain metabolic homeostasis, their accumulation has a direct impact on downstream processing and overall process efficiency.
Acetic and succinic acids increase the complexity and energy demand of product recovery due to their physicochemical similarity to propionic acid—particularly in terms of pKa and volatility. Their co-presence reduces the selectivity of separation techniques such as liquid–liquid extraction, electrodialysis, and distillation, ultimately lowering recovery efficiency and increasing operational costs [46,47,48]. In addition, excessive acetic acid levels can compromise product quality depending on end-use specifications [49].
Several mitigation strategies can be adopted to minimize co-product formation and facilitate downstream separation: (i) Metabolic Regulation: Optimization of key process parameters—such as pH, redox balance, and the carbon-to-nitrogen ratio—can redirect carbon flux toward propionate formation. Studies have shown that maintaining mildly acidic conditions (pH 5.5–6.5) and implementing controlled substrate feeding suppress acetic acid accumulation while improving propionate selectivity [16,21]; (ii) Process Intensification: The use of fed-batch and continuous bioreactor strategies reduces substrate accumulation and product inhibition, thereby lowering succinic acid formation and increasing propionic acid productivity [46]; (iii) Strain Improvement: Adaptive laboratory evolution and targeted metabolic engineering to downregulate acetate and succinate pathways have successfully enhanced carbon flux toward propionate, improving both yield and downstream recovery [7,29,50]; (iv) Targeted Recovery Approaches: Integration of in situ product removal (ISPR) techniques, such as electrodialysis, adsorption, or reactive extraction, can alleviate product inhibition and increase fermentation efficiency [36,45,46,48]; (v) Cell Immobilization: Cell immobilization on polymeric or 3D-printed matrices enables cell reuse, stabilizes metabolic performance, and mitigates both substrate and product inhibition, offering a promising route toward process intensification [51,52,53,54].
Overall, while acetic and succinic acid formation is an inherent feature of heterofermentative propionic acid metabolism, rational process design combined with metabolic and biocatalyst optimization can significantly mitigate their impact, leading to a more efficient and scalable production process. In this context, substrates with higher degrees of reduction—such as glycerol—affect the distribution of fermentation products by altering the redox balance. Although Figure 6 focuses on glycerol consumption and propionic acid formation, the concomitant production of byproducts was also quantified and reported, providing a comprehensive understanding of metabolic outcomes under each experimental condition.
These results reinforce the advantages of employing glycerol in combination with sugars such as xylose or glucose. Also demonstrate that, although the xylose-glycerol system enhances process efficiency compared to single substrates, additional intensification strategies (fed-batch feeding, cell immobilization, or in situ product removal)—remain essential to achieve industrially relevant titers and selectivity [32,34].
To mitigate substrate inhibition and enhance performance, a modified fed-batch fermentation strategy utilizing pulsed glycerol addition was implemented, as illustrated in Figure 6b. This approach enabled better control of substrate availability throughout the process, minimizing inhibitory effects and enhancing overall metabolic efficiency.
Process parameters significantly influence propionic acid production from glycerol, particularly the initial glycerol concentration, which also affects the formation of secondary metabolites, such as succinic and acetic acids [33]. Studies with Propionibacterium acidipropionici have demonstrated that higher glycerol concentrations not only increase propionic acid production but also promote the formation of byproducts [35,45]. For example, when glycerol concentration increased from 20 g/L to 80 g/L, the levels of succinic and acetic acids rose significantly from 2.31 g/L and 1.20 g/L to 6.71 g/L and 5.20 g/L, respectively [55].
Control of glycerol feeding strategy plays a decisive role in improving process selectivity. In fed-batch fermentations with controlled glycerol feeding rates, it is possible to limit substrate overload and favor propionic acid production over unwanted by-products. At a constant feeding rate of 0.01 L/h, propionic acid reached 44.62 g/L, while succinic and acetic acids remained low at 3.52 g/L and 2.42 g/L, respectively [55]. These results highlight the importance of controlling substrate concentration to optimize fermentation efficiency. Such strategies enable better tuning of metabolic fluxes toward the propionic acid pathway while minimizing overflow into alternative reductive or oxidative branches.
At the metabolic level, glycerol conversion by P. acidipropionici follows the dicarboxylic acid pathway, yielding propionic, succinic and acetic acids as its final products. This pathway is regulated by factors such as substrate availability, pH, and nutrient levels. Maintaining moderate glycerol concentrations and optimizing cultivation conditions enhances process selectivity, minimizing by-product formation [9,45,55]. The interplay between substrate concentration and environmental parameters determines not only the extent but also the profile of metabolite accumulation.
Kinetic analysis, as shown in Figure 6b, revealed that propionic acid production continued even after bacterial growth had ceased, with no significant accumulation of other organic acids. This behavior was attributed to high cell density, which diluted the initially added glycerol. Such conditions may promote a metabolic shift toward maintenance-associated product formation, particularly under nutrient-depleted but redox-favorable conditions. When comparing the two operational modes tested, fed-batch fermentation with pulse feeding proved to be more effective, yielding a 2.6-fold increase in final propionic acid concentration, along with enhanced volumetric productivity and overall fermentation efficiency, as detailed in Table 5. This demonstrates the robustness of the process under dynamic feeding regimes, supporting the scalability of the strategy.
The use of glycerol also offers distinct advantages over traditional carbon sources such as glucose and xylose. Its higher degree of reduction (4.7), equivalent to that of propionic acid, favors the formation of more reduced metabolites, such as propionic acid, and reduces the production of unwanted by-products, such as acetic acid, thereby enabling higher conversion efficiency [21,50,56]. Yields of up to 0.8 g of propionic acid per gram of glycerol have been reported, surpassing the theoretical yields from xylose (0.49 g/g) and glucose (0.62 g/g) [35,45,56]. Additionally, glycerol’s redox balance favors propionic acid as the primary product, while glucose and xylose promote higher formation of acetate and succinate [6,8].
The compatibility of glycerol with cellular osmoregulation also contributes to maintaining metabolic activity under stress conditions, which may further support process stability and yield.
Product inhibition remains a critical challenge, mainly due to acid accumulation and medium acidification, with pH values dropping to 3–4 by the end of the process [42]. Such low pH conditions can inhibit substrate consumption and cellular activity, even in acidophilic strains like P. acidipropionici. External pH changes impact intracellular pH and disrupt essential cellular processes, including protein function, metabolism, membrane potential, and substrate transport [41]. Additionally, metabolic rates decrease significantly under acidic conditions, affecting oxygen utilization and glucose consumption. To address these limitations, fermentations in instrumented bioreactors should be conducted with strict pH control to minimize inhibition [42].
Maintaining the pH within the optimal range (typically 6.0–6.8) is essential for ensuring enzymatic activity, maintaining redox balance, and promoting efficient energy metabolism, especially in long-duration or high-cell-density fermentations.

4. Conclusions

Acidipropionibacterium acidipropionici DSMZ 4900 exhibited remarkable metabolic versatility in utilizing different carbon sources, including xylose, glucose, and glycerol, both individually and in co-fermentation systems. The condition corresponding to the optimal xylose: glycerol molar ratio (4:1) promoted enhanced fermentative efficiency, resulting in a significant increase in PA yield and productivity. Furthermore, the implementation of a fed-batch fermentation strategy with controlled glycerol supplementation led to a final PA concentration of 24.5 g/L, highlighting the positive impact of operational parameter optimization on overall process performance.
The use of xylose and glycerol—readily available from lignocellulosic hydrolysates and biodiesel-derived by-products, respectively—underscores the potential of renewable and low-cost feedstocks for microbial PA production. This approach aligns with the biorefinery concept, promoting resource valorization and enhancing process sustainability. Although further optimization and process integration are necessary, the present results provide a promising basis for future scale-up studies, reinforcing the potential of this strategy for developing more sustainable and economically viable biotechnological routes for organic acid production.

Supplementary Materials

The following supporting information can be downloaded at: https://www.mdpi.com/article/10.3390/pr13113556/s1, Table S1—Comparative Yields and ATP Balances of Propionate-Producing Pathways, Table S2—Stoichiometric Analysis and Reducing Power Balance for Propionic Acid (PA) Production from Glucose, Xylose, and Glycerol, Table S3—Fermentation media formulations were adapted from previous reports.

Author Contributions

Conceptualization, N.P.J., I.M.T.S.S. and N.I.B.R.; Methodology, I.M.T.S.S. and R.G.R.B.; Formal Analysis, I.M.T.S.S., R.G.R.B. and F.R.F.; Investigation, I.M.T.S.S., R.G.R.B., N.I.B.R. and N.P.J.; Resources, N.P.J.; Data Curation, I.M.T.S.S. and N.I.B.R.; Writing—original draft, I.M.T.S.S., R.G.R.B., F.R.F., D.M.P. and N.I.B.R.; Supervision, N.I.B.R., D.M.P. and N.P.J.; Project Administration, N.P.J.; Funding Acquisition, N.P.J. All authors have read and agreed to the published version of the manuscript.

Funding

This research received no external funding for publication. The first author declares receipt of a scholarship for the research carried out in the experimental part of the article: Fundação de Amparo à Pesquisa do Estado do Rio de Janeiro—Faperj Rio de Janeiro, through grant No. E-26/201.631/2025.

Data Availability Statement

The original contributions presented in the study are included in the article; further inquiries can be made on request.

Conflicts of Interest

The authors declare that they have no conflicts of interest.

Abbreviations

The following abbreviations are used in this manuscript:
ATPAdenosine triphosphate
CoACoenzyme A
CSLCorn steep liquor
DSMZDeutsche Sammlung von Mikroorganismen und Zellkulturen GmbH
FEFermentation efficiency
HPLCHigh-performance liquid chromatography
NADHNicotinamide adenine dinucleotide
PAPropionic acid
PSUPercentage of substrate utilization
STRStirred tank reactor
SSBSweet sorghum bagasse
UVUltraviolet

References

  1. G, G.; S, K.; R, Y.K.; Bhatia, S.K.; S, A.K.; M, R.; Kumar, G.; Pugazhendhi, A.; Chi, N.T.L.; J, R.B. Valorization of Agricultural Residues: Different Biorefinery Routes. J. Environ. Chem. Eng. 2021, 9, 105435. [Google Scholar] [CrossRef]
  2. Sheer, A.; Fahad Sardar, M.; Younas, F.; Zhu, P.; Noreen, S.; Mehmood, T.; Ur Rahman Farooqi, Z.; Fatima, S.; Guo, W. Trends and Social Aspects in the Management and Conversion of Agricultural Residues into Valuable Resources: A Comprehensive Approach to Counter Environmental Degradation, Food Security, and Climate Change. Bioresour. Technol. 2024, 394, 130258. [Google Scholar] [CrossRef]
  3. Argoti, A.; Orjuela, A.; Narváez, P.C. Challenges and Opportunities in Assessing Sustainability during Chemical Process Design. Curr. Opin. Chem. Eng. 2019, 26, 96–103. [Google Scholar] [CrossRef]
  4. Falcone, P.M.; Hiete, M. Exploring Green and Sustainable Chemistry in the Context of Sustainability Transition: The Role of Visions and Policy. Curr. Opin. Green. Sustain. Chem. 2019, 19, 66–75. [Google Scholar] [CrossRef]
  5. Lozano, F.J.; Lozano, R.; Freire, P.; Jiménez-Gonzalez, C.; Sakao, T.; Ortiz, M.G.; Trianni, A.; Carpenter, A.; Viveros, T. New Perspectives for Green and Sustainable Chemistry and Engineering: Approaches from Sustainable Resource and Energy Use, Management, and Transformation. J. Clean. Prod. 2018, 172, 227–232. [Google Scholar] [CrossRef]
  6. Liu, Y.; Zhang, Y.-G.; Zhang, R.-B.; Zhang, F.; Zhu, J. Glycerol/Glucose Co-Fermentation: One More Proficient Process to Produce Propionic Acid by Propionibacterium Acidipropionici. Curr. Microbiol. 2011, 62, 152–158. [Google Scholar] [CrossRef]
  7. Wei, P.; Lin, M.; Wang, Z.; Fu, H.; Yang, H.; Jiang, W.; Yang, S.-T. Metabolic Engineering of Propionibacterium Freudenreichii Subsp. Shermanii for Xylose Fermentation. Bioresour. Technol. 2016, 219, 91–97. [Google Scholar] [CrossRef]
  8. Wang, Z.; Yang, S.-T. Propionic Acid Production in Glycerol/Glucose Co-Fermentation by Propionibacterium Freudenreichii Subsp. Shermanii. Bioresour. Technol. 2013, 137, 116–123. [Google Scholar] [CrossRef] [PubMed]
  9. Ammar, E.M.; Philippidis, G.P. Fermentative Production of Propionic Acid: Prospects and Limitations of Microorganisms and Substrates. Appl. Microbiol. Biotechnol. 2021, 105, 6199–6213. [Google Scholar] [CrossRef] [PubMed]
  10. Gonzalez-Garcia, R.; McCubbin, T.; Navone, L.; Stowers, C.; Nielsen, L.; Marcellin, E. Microbial Propionic Acid Production. Fermentation 2017, 3, 21. [Google Scholar] [CrossRef]
  11. Ammar, E.M.; Martin, J.; Brabo-Catala, L.; Philippidis, G.P. Propionic Acid Production by Propionibacterium Freudenreichii Using Sweet Sorghum Bagasse Hydrolysate. Appl. Microbiol. Biotechnol. 2020, 104, 9619–9629. [Google Scholar] [CrossRef] [PubMed]
  12. Piwowarek, K.; Lipińska, E.; Hać-Szymańczuk, E.; Kieliszek, M.; Ścibisz, I. Propionibacterium Spp.—Source of Propionic Acid, Vitamin B12, and Other Metabolites Important for the Industry. Appl. Microbiol. Biotechnol. 2018, 102, 515–538. [Google Scholar] [CrossRef] [PubMed]
  13. Boyaval, P.; Corre, C. Production of Propionic Acid; Laboratoire de Recherches de Technologie Laitière: Rennes Cedex, France, 1995; Volume 75. [Google Scholar]
  14. Eş, I.; Khaneghah, A.M.; Hashemi, S.M.B.; Koubaa, M. Current Advances in Biological Production of Propionic Acid. Biotechnol. Lett. 2017, 39, 635–645. [Google Scholar] [CrossRef] [PubMed]
  15. Seeliger, S.; Janssen, P.H.; Schink, B. Energetics and Kinetics of Lactate Fermentation to Acetate and Propionate via Methylmalonyl-CoA or Acrylyl-CoA. FEMS Microbiol. Lett. 2002, 211, 65–70. [Google Scholar] [CrossRef]
  16. Ahmadi, N.; Khosravi-Darani, K.; Mortazavian, A.M. An Overview of Biotechnological Production of Propionic Acid: From Upstream to Downstream Processes. Electron. J. Biotechnol. 2017, 28, 67–75. [Google Scholar] [CrossRef]
  17. Prabhu, R.; Altman, E.; Eiteman, M.A. Lactate and Acrylate Metabolism by Megasphaera Elsdenii under Batch and Steady-State Conditions. Appl. Environ. Microbiol. 2012, 78, 8564–8570. [Google Scholar] [CrossRef]
  18. Chen, Y.; Zhang, X.; Chen, Y. Propionic Acid-Rich Fermentation (PARF) Production from Organic Wastes: A Review. Bioresour. Technol. 2021, 339, 125569. [Google Scholar] [CrossRef]
  19. Collograi, K.C.; da Costa, A.C.; Ienczak, J.L. Fermentation Strategies to Improve Propionic Acid Production with Propionibacterium Ssp.: A Review. Crit. Rev. Biotechnol. 2022, 42, 1157–1179. [Google Scholar] [CrossRef]
  20. Gupta, V.K.; Pandey, A.; Koffas, M.; Mussatto, S.I.; Khare, S. Biobased Biorefineries: Sustainable Bioprocesses and Bioproducts from Biomass/Bioresources Special Issue. Renew. Sustain. Energy Rev. 2022, 167, 112683. [Google Scholar] [CrossRef]
  21. Ranaei, V.; Pilevar, Z.; Mousavi Khaneghah, A.; Hosseini, H. Propionic Acid: Method of Production, Current State and Perspectives. Food Technol. Biotechnol. 2020, 58, 115–127. [Google Scholar] [CrossRef]
  22. Usmani, Z.; Sharma, M.; Awasthi, A.K.; Sivakumar, N.; Lukk, T.; Pecoraro, L.; Thakur, V.K.; Roberts, D.; Newbold, J.; Gupta, V.K. Bioprocessing of Waste Biomass for Sustainable Product Development and Minimizing Environmental Impact. Bioresour. Technol. 2021, 322, 124548. [Google Scholar] [CrossRef]
  23. Yang, H.; Wang, Z.; Lin, M.; Yang, S.-T. Propionic Acid Production from Soy Molasses by Propionibacterium Acidipropionici: Fermentation Kinetics and Economic Analysis. Bioresour. Technol. 2018, 250, 1–9. [Google Scholar] [CrossRef]
  24. Antone, U.; Ciprovica, I.; Zolovs, M.; Scerbaka, R.; Liepins, J. Propionic Acid Fermentation—Study of Substrates, Strains, and Antimicrobial Properties. Fermentation 2022, 9, 26. [Google Scholar] [CrossRef]
  25. Polaris Market Research Global Propionic Acid Market Report and Forecast 2024–2032. Available online: https://www.polarismarketresearch.com/industry-analysis/propionic-acid-market (accessed on 12 August 2025).
  26. Chemanalyst Propionic Acid Market Analysis: Plant Capacity, Production, Operating Efficiency, Demand & Supply, End Use, Grade, Distribution Channel, Regional Demand. Available online: https://www.chemanalyst.com/industry-report/propionic-acid-market-2860 (accessed on 12 August 2025).
  27. Teles, J.H. Sustainable Production of Propionic Acid and Derivatives on Industrial Scale. ChemSusChem 2024, 17, e202301666. [Google Scholar] [CrossRef]
  28. Abdel-Azeem, A.M.; Abo Nouh, F.A.; Gezaf, S.A.; Darwish, A.M.G.; Abdel-Azeem, M.A. Propionic Acid Chemistry and Production. In Valorization of Biomass to Bioproducts; Elsevier: Amsterdam, The Netherland, 2023; pp. 3–15. [Google Scholar]
  29. Liu, H.; Jin, Y.; Zhang, R.; Ning, Y.; Yu, Y.; Xu, P.; Deng, L.; Wang, F. Recent Advances and Perspectives on Production of Value-Added Organic Acids through Metabolic Engineering. Biotechnol. Adv. 2023, 62, 108076. [Google Scholar] [CrossRef] [PubMed]
  30. Carrondo, M.J.T.; Crespo, J.P.S.G.; Moura, M.J. Production of Propionic Acid Using a Xylose UtilizingPropionibacterium. Appl. Biochem. Biotechnol. 1988, 17, 295–312. [Google Scholar] [CrossRef]
  31. Liu, Z.; Ma, C.; Gao, C.; Xu, P. Efficient Utilization of Hemicellulose Hydrolysate for Propionic Acid Production Using Propionibacterium Acidipropionici. Bioresour. Technol. 2012, 114, 711–714. [Google Scholar] [CrossRef] [PubMed]
  32. Zhang, Y.; Zhang, K.; Li, X.; Wang, Z.; Wang, Y.; Su, Z. Efficient Production of Propionic Acid in the Fed-Batch Fermentation of Propionibacterium Acidipropionici and Its Metabolic Flux Analysis. Austin J. Nutr. Metab. 2021, 8, 1112. [Google Scholar] [CrossRef]
  33. Stowers, C.C.; Cox, B.M.; Rodriguez, B.A. Development of an Industrializable Fermentation Process for Propionic Acid Production. J. Ind. Microbiol. Biotechnol. 2014, 41, 837–852. [Google Scholar] [CrossRef]
  34. Castro, P.G.M.; Maeda, R.N.; Rocha, V.A.L.; Fernandes, R.P.; Pereira, N. Improving Propionic Acid Production from a Hemicellulosic Hydrolysate of Sorghum Bagasse by Means of Cell Immobilization and Sequential Batch Operation. Biotechnol. Appl. Biochem. 2020, 68, 1120–1127. [Google Scholar] [CrossRef]
  35. Dishisha, T.; Jain, M.; Hatti-Kaul, R. High Cell Density Sequential Batch Fermentation for Enhanced Propionic Acid Production from Glucose and Glycerol/Glucose Mixture Using Acidipropionibacterium acidipropionici. Microb. Cell Fact. 2024, 23, 91. [Google Scholar] [CrossRef]
  36. Dishisha, T.; Ibrahim, M.H.A.; Cavero, V.H.; Alvarez, M.T.; Hatti-Kaul, R. Improved Propionic Acid Production from Glycerol: Combining Cyclic Batch- and Sequential Batch Fermentations with Optimal Nutrient Composition. Bioresour. Technol. 2015, 176, 80–87. [Google Scholar] [CrossRef]
  37. Garlapati, V.K.; Shankar, U.; Budhiraja, A. Bioconversion Technologies of Crude Glycerol to Value Added Industrial Products. Biotechnol. Rep. 2016, 9, 9–14. [Google Scholar] [CrossRef]
  38. Liu, L.; Guan, N.; Zhu, G.; Li, J.; Shin, H.; Du, G.; Chen, J. Pathway Engineering of Propionibacterium Jensenii for Improved Production of Propionic Acid. Sci. Rep. 2016, 6, 19963. [Google Scholar] [CrossRef]
  39. Liu, L.; Zhu, Y.; Li, J.; Wang, M.; Lee, P.; Du, G.; Chen, J. Microbial Production of Propionic Acid from Propionibacteria: Current State, Challenges and Perspectives. Crit. Rev. Biotechnol. 2012, 32, 374–381. [Google Scholar] [CrossRef]
  40. Zhou, K.; Yu, J.; Ma, Y.; Cai, L.; Zheng, L.; Gong, W.; Liu, Q. Corn Steep Liquor: Green Biological Resources for Bioindustry. Appl. Biochem. Biotechnol. 2022, 194, 3280–3295. [Google Scholar] [CrossRef]
  41. Putnam, R.W. Intracellular PH Regulation. In Cell Physiology Sourcebook; Sperelakis, N., Ed.; Academic Press: Oxford, UK, 2012. [Google Scholar]
  42. Santos, I.M.T.S.; de Souza, E.F.; Brenes, R.G.R.; Grieco, M.A.B.; Bojorge Ramirez, N.I.; Pereira, N. Improvement in Ethylene Glycol Bioconversion to Glycolic Acid by Gluconobacter Oxydans Using Central Composite Experimental Design and Bioreactor Fed-Batch Strategies. Fermentation 2024, 10, 320. [Google Scholar] [CrossRef]
  43. Teles, J.C.; Stolle, E.M.; Koloda, S.A.; Barana, A.C. Production of Propionic Acid by Propionibacterium Acidipropionici from Agroindustrial Effluents. Braz. Arch. Biol. Technol. 2019, 62, e19180550. [Google Scholar] [CrossRef]
  44. Tavares, L.A.; de Oliveira Meira, A.C.F.; da Silva, F.L.; Veríssimo, L.A.A.; Piccoli, R.H.; Paiva, L.V.; Mondragón-Bernal, O.L.; Alves, J.G.L.F. Biosynthesis of Propionic Acid from Whey Permeate and Corn Steep Liquor by Propionibacterium Freudenreichii Subsp ATCC 6207 and Partial Purification Using Ion Exchange Cryogels. Braz. J. Chem. Eng. 2025, 42, 455–467. [Google Scholar] [CrossRef]
  45. Cavero-Olguin, V.H.; Dishisha, T.; Hatti-Kaul, R. Membrane-Based Continuous Fermentation with Cell Recycling for Propionic Acid Production from Glycerol by Acidipropionibacterium acidipropionici. Microb. Cell Fact. 2023, 22, 43. [Google Scholar] [CrossRef]
  46. Chen, C.; Zhang, X.; Liu, C.; Wu, Y.; Zheng, G.; Chen, Y. Advances in Downstream Processes and Applications of Biological Carboxylic Acids Derived from Organic Wastes. Bioresour. Technol. 2022, 346, 126609. [Google Scholar] [CrossRef]
  47. Li, X.; Wei, L.; Wang, Z.; Wang, Y.; Su, Z. Efficient Co-production of Propionic Acid and Succinic Acid by Propionibacterium Acidipropionici Using Membrane Separation Coupled Technology. Eng. Life Sci. 2021, 21, 429–437. [Google Scholar] [CrossRef] [PubMed]
  48. Gössi, A.; Burgener, F.; Kohler, D.; Urso, A.; Kolvenbach, B.A.; Riedl, W.; Schuur, B. In-Situ Recovery of Carboxylic Acids from Fermentation Broths through Membrane Supported Reactive Extraction Using Membrane Modules with Improved Stability. Sep. Purif. Technol. 2020, 241, 116694. [Google Scholar] [CrossRef]
  49. Tian, X.; Xu, Y.; Zhu, X.; Wan, J.; Zhao, L. Separation and Purification Processes for Biorefinery. In Innovative Biorefinery Processes for Agri-Food Value Chains; Elsevier: Amsterdam, The Netherland, 2025; pp. 235–262. [Google Scholar] [CrossRef]
  50. Zhang, A.; Yang, S.-T. Propionic Acid Production from Glycerol by Metabolically Engineered Propionibacterium Acidipropionici. Process Biochem. 2009, 44, 1346–1351. [Google Scholar] [CrossRef]
  51. Ge, X.; Yang, L.; Xu, J. Cell Immobilization: Fundamentals, Technologies, and Applications. In Industrial Biotechnology; Wiley: Hoboken, NJ, USA, 2017; pp. 205–235. [Google Scholar] [CrossRef]
  52. Lapponi, M.J.; Méndez, M.B.; Trelles, J.A.; Rivero, C.W. Cell Immobilization Strategies for Biotransformations. Curr. Opin. Green. Sustain. Chem. 2022, 33, 100565. [Google Scholar] [CrossRef]
  53. de Souza, W.F.C.; Almeida, F.L.C.; de Melo, A.M.; Soares, A.S.P.; Forte, M.B.S.; de Castro, R.J.S.; Sato, H.H. Immobilization Techniques on Bioprocesses: Current Applications Regarding Enzymes, Microorganisms, and Essential Oils. Food Bioproc. Tech. 2022, 15, 1449–1476. [Google Scholar] [CrossRef]
  54. Belgrano, F.D.S.; Diegel, O.; Pereira, N.; Hatti-Kaul, R. Cell Immobilization on 3D-Printed Matrices: A Model Study on Propionic Acid Fermentation. Bioresour. Technol. 2018, 249, 777–782. [Google Scholar] [CrossRef]
  55. Zhu, Y.; Li, J.; Tan, M.; Liu, L.; Jiang, L.; Sun, J.; Lee, P.; Du, G.; Chen, J. Optimization and Scale-up of Propionic Acid Production by Propionic Acid-Tolerant Propionibacterium Acidipropionici with Glycerol as the Carbon Source. Bioresour. Technol. 2010, 101, 8902–8906. [Google Scholar] [CrossRef]
  56. Dishisha, T.; Alvarez, M.T.; Hatti-Kaul, R. Batch- and Continuous Propionic Acid Production from Glycerol Using Free and Immobilized Cells of Propionibacterium Acidipropionici. Bioresour. Technol. 2012, 118, 553–562. [Google Scholar] [CrossRef] [PubMed]
Disclaimer/Publisher’s Note: The statements, opinions and data contained in all publications are solely those of the individual author(s) and contributor(s) and not of MDPI and/or the editor(s). MDPI and/or the editor(s) disclaim responsibility for any injury to people or property resulting from any ideas, methods, instructions or products referred to in the content.

Article Metrics

Citations

Article Access Statistics

Multiple requests from the same IP address are counted as one view.