Next Article in Journal
Determining the Drawing Force in a Wire Drawing Process Considering an Arbitrary Hardening Law
Next Article in Special Issue
Bergenin from Bergenia Species Produces a Protective Response against Myocardial Infarction in Rats
Previous Article in Journal
Study on Wellbore Stability Evaluation Method of New Drilled Well in Old Reservoir
Previous Article in Special Issue
RETRACTED: Gastroprophylactic Effects of p-Cymene in Ethanol-Induced Gastric Ulcer in Rats
 
 
Font Type:
Arial Georgia Verdana
Font Size:
Aa Aa Aa
Line Spacing:
Column Width:
Background:
Article

Oxidation during Fresh Plant Processing: A Race against Time

by
Didier Barmaverain
,
Samuel Hasler
,
Christoph Kalbermatten
*,
Matthias Plath
and
Roger Kalbermatten
Department of Research and Development, Ceres Heilmittel AG, 8593 Kesswil, Switzerland
*
Author to whom correspondence should be addressed.
Processes 2022, 10(7), 1335; https://doi.org/10.3390/pr10071335
Submission received: 20 June 2022 / Revised: 4 July 2022 / Accepted: 6 July 2022 / Published: 8 July 2022
(This article belongs to the Special Issue Bioactive Compounds from Natural Plants)

Abstract

:
Oxidation is a major concern in the food and cosmetics industry; however, little information is available in the literature about its effect during the production of herbal medicines. The impact of oxidation on herbal mother tincture (MT) manufacturing was investigated by performing an oxidative stress test, in which cryogenically ground fresh plants (Echinacea purpurea, Mentha piperita, Ginkgo biloba, and Hypericum perforatum) were exposed to air in a time-controlled manner before extraction. The effect of oxidation on the resulting extracts was evaluated using UV–Vis spectroscopy and potassium permanganate antioxidant assay. Furthermore, a tyrosinase enzymatic assay was performed on MTs to evaluate the behavior of the absorbance spectra of phenolic compounds during oxidation. Additionally, several commercially available herbal mother tinctures were examined for oxidative changes. The exposure of the fresh plant material to air for 30 min decreased the antioxidant activity in all four tested plants by 10% to 44%. This decrease occurred along with an intensity diminution and flattening of the typical UV–Vis absorption spectra of the MTs. The results have shown that the impact of oxidation during MT manufacturing is a serious issue and could be monitored by means of simple UV–Vis spectra recording.

Graphical Abstract

1. Introduction

The role of oxidation in the food and cosmetic industries, with regard to the quality of final products and their stability over time, is a well documented area of study in the literature [1,2,3]. Countless investigations into plant polyphenols and the deleterious effect of their oxidation on the final quality of processed products have been carried out, including studies on the browning problem in the food industry [4,5,6]. However, there has not been enough research conducted with the aim of evaluating the impact of oxidation during the manufacture of herbal remedies in phytopharmaceutical companies. During the preparation of herbal mother tinctures (MTs) in particular, where plants are processed fresh, being able to ensure the good preservation and conservation of the active components of the plants is of vital importance for the characteristics of the final remedy [4]. Currently, quality control analysis seems to lack methods to assess the possible oxidative impact of manufacturing processes on MTs. Phenolic compounds (PCs) are some of the most oxidation-sensitive active plant metabolites and their content can be affected by exposure to air and excessive heating during the cutting and grinding process in common industrial blenders [4,5]. One of the main contributors to the oxidative reaction is the enzyme tyrosinase, also known in plants as polyphenol oxidase (PPO). This enzyme is a multicopper glycoprotein that is capable of reacting with phenolic compounds in the presence of oxygen as soon as the integrity of the plant cell is compromised during the size reduction process. Once the cell is disrupted, the phenols stored in the vacuole can interact with the PPO stored in the plastids and catalyze the oxidation of the hydroxyl groups typical of PCs (Figure 1a) [6]. The resulting oxidized products, called benzoquinones, are unstable species that undergo further reactions with nucleophilic substances such as phenols, amino acids, or proteins, producing complex polymers, known as melanins, which are responsible for the browning effect [7]. Phenolic compounds are well known for their ability to exert an important antioxidant radical scavenging activity in the human body. Recent studies have shown that the free radical scavenging capacity is enabled by the presence of hydroxyl groups linked to the benzene ring of PCs. This structure is able to donate hydrogen free radicals (H) and capture and stabilize free radical species by the delocalization of the unpaired electron within the aromatic conjugated system (Figure 1b) [8]. Phenolic compounds are distributed widely in the plant kingdom and their antioxidant activity plays an important role in the biological activity of several MTs. If phenolics undergo oxidation during the processing of fresh plants, the loss of the hydroxyl group (as shown in Figure 1a) should result in a decrease in their antioxidant activity, as this structure is crucial for the radical scavenging effect.
The aim of this research is to use a simple analytical method that can be included in a routine assay for the rapid assessment of the oxidative status of an MT. To do this, we chose to simulate an oxidative process during the processing of fresh plants and evaluate its impact on the final MT by means of antioxidant assay and UV–Vis spectra recording. Several methods can be used in vitro to assess the antioxidant activity of plant extracts; among these, one of the most well known in the literature is the use of the DPPH free radical scavenging assay [9]. Due to its availability in our laboratory, lower toxicity, and similar tested efficacy in assessing free radical scavenging activity, we chose to perform the antioxidant test using potassium permanganate (KMnO4) instead of DPPH [10]. Furthermore, the promising results found in the literature for the UV–Vis spectra investigation of phenolic compound oxidation based on the use of mushroom tyrosinase [11,12,13] encouraged us to include this additional enzymatic oxidation test in our experimental workflow.

2. Materials and Methods

2.1. Chemicals

Potassium permanganate (≥99%) was purchased from Sigma-Aldrich (Darmstadt, Germany). Potassium hydroxide (extra pure), potassium dihydrogen phosphate (≥99.5%), and dipotassium hydrogen phosphate (≥99.5%) were purchased from Scharlau (Barcelona, Spain). Distilled water was prepared using a Millipore Q water purification system (Millipore, Billerica, Massachusetts). Liquid nitrogen was purchased from Pangas (Dagmersellen, Switzerland) and mushroom tyrosinase (>1000 Ui) was obtained from Sigma-Aldrich (Darmstadt, Germany).

2.2. Herbal Material

The fresh aerial parts of Echinacea purpurea (L.) Moench (flowers, stems, and leaves) and Mentha piperita (L.) (stems and leaves) used for the preparation of the MTs in the oxidation stress test were obtained from Ekkharthof (Lengwil, Switzerland). Fresh leaves of Ginkgo biloba (L.) were harvested in Uttwil (Switzerland). The fresh aerial parts of Hypericum perforatum (L.) were harvested at the beginning of flowering in Heiden (Switzerland).

2.3. MTs Samples

Samples of Echinacea purpurea, Mentha piperita, Salvia officinalis, Ginkgo biloba, and Hypericum perforatum MTs were obtained from Ceres Heilmittel AG (Kesswil, Switzerland) and local pharmacies and stored at room temperature (23 ± 2 °C). The different tinctures were conventionally named with a code consisting of a capital letter “C” for tinctures from Ceres Heilmittel AG and preceded by a number (n) for mother tinctures obtained from local pharmacies. The letter was followed by two numbers indicating the year of production (e.g., “C18g”, “1MT18g”, “2MT18g”, and”3MT18g” indicate Ginkgo mother tinctures produced in 2018 by Ceres and other manufacturers; each of the digits 1–3 denotes a different manufacturer). An additional lowercase letter is added at the end of the code to distinguish which plant the mother tincture refers to (“e” = Echinacea purpurea; “g” = Ginkgo biloba; “h” = Hypericum perforatum; “p” = Mentha piperita; “s” = Salvia officinalis). All MTs were prepared according to the German Homeopathic Pharmacopeia (GHP) method 3a [14] (except for Echinacea MT coded as 5MTe, where the formulation also contains plant roots).

2.4. Standard GHP Method for MT Control (Dry Residue, Relative Density)

The dry residue of each MT sample was determined using the Moisture Analyzer DBS 60-3 (Kern). First, 2 g of undiluted MT was placed in DBS 60-3 and evaporated at 105 °C. The remaining weight was recorded and expressed as the percentage of drying loss. The relative density of each MT was evaluated by submitting 2 mL for analysis using the densitometer DMA 4100 M (Anton Paar). Both methods were performed following the directions of the GHP [15].

2.5. Extract Preparation (Oxidation Stress Test)

The fresh aerial parts of the selected medicinal plants were processed immediately after harvesting by adapting the 3a method described for the GHP. The plants were cut and cryo-ground manually for 2.5 min with liquid nitrogen. The cryogenic grinding procedure was selected due to the capacity of nitrogen to guarantee an inert environment as it displaces oxygen and also reduces enzymatic processes to a minimum, due to its low temperature [16]. The reference extract “oxidation free” (CRYO) was prepared by adding the hydro-alcoholic solution to the ground material immediately after grinding. A second extract “oxidized sample” (CRYO_30) was instead prepared by adding the solvent to the ground material only after 30 min, during which the ground plant was left in contact with air to oxidize. For each extract, 15 g of ground material was weighted after grinding and macerated with ethanol 86% (w/w) in a 50 mL falcon plastic tube, where it was protected from light under an airtight seal. The amount of ethanol 86% (m/m) to be added was calculated using Equation (1), with m being the mass of the fresh herbal material and T being the water percentage loss after the drying of the starting material.
Ethanol 86% (w/w) = (2 × m × T)/100
After 15 days at room temperature, the macerated samples were centrifuged at 4000 rpm for 20 min (Heraeus Megafuge) and the upper phase was recovered and filtered through a 12–25 µm filter (Black Ribbon) into a 20 mL volumetric flask. The oxidation stress test was performed on plant samples recovered from the Ceres Heilmittel AG production department (Kesswil, Switzerland) in the summer 2021 (Echinacea purpurea, Ginkgo biloba, Hypericum perforatum and Mentha piperita). Salvia officinalis was transformed in Nax, Switzerland, instead of Kesswil, and for this reason was not included in the oxidation stress test.

2.6. UV–Visible Spectrophotometry

Spectroscopic analysis was conducted using a Specord 200 plus spectrophotometer Analytik Jena (Thuringia, Germany) and 3 mL quartz cuvette. Absorption spectra of 1:250 aqueous dilutions of the MTs were recorded in the range of 200–500 nm. Measurements and the recording of values of maximum and minimum peaks were performed using the AspectUV software 2020 (version 1.4.4), Analytik Jena AG, Jena, Germany. The raw data were exported and processed in Microsoft Excel 2022 (version 16.62), Microsoft, Redmond, WA, USA.

2.7. Tyrosinase Oxidation Assay

The tyrosinase oxidation assay was conducted by adapting the enzymatic assay described by Tono et al. 1987 [11] and Oda et al. 1989 [17], with few modifications. In a 3 mL quartz cuvette, 2 mL of 50 mM phosphate buffer solution (pH 6.8) was mixed with 0.25 mL of the MT (diluted 1:25 v/v with the previous buffer) and 0.25 mL of the tyrosinase solution (8.3 U/mL for Echinacea, Salvia and Mentha and 16.2 U/mL for Hypericum and Ginkgo). Repeated scans (recorded every minute) of the UV−Vis absorption spectra over the 200−500 nm range were taken over 60 min and subsequently at the time points of 90 min, 120 min, and 180 min. The reaction sample was measured against a blank containing all the same reagents except for a 60% w/w ethanol dilution (1:25 v/v), which was used instead of the MT dilution. The first spectrum was recorded immediately after the addition of the tyrosinase solution.

2.8. Potassium Permanganate (KMnO4) Antioxidant Assay

Antioxidant activity, expressed as the gallic acid equivalent (GAE), was measured by adapting the potassium permanganate radical scavenging assay described by Amponsah et al. 2016 [10]. A potassium dihydrogen orthophosphate (KH2PO4) buffer solution was prepared by dissolving 8.7 g of KH2PO4 in 400 mL of distilled water and adjusting it with 1 M potassium hydroxide (KOH) to pH 9. To conduct the test, 3 mL of KMnO4 (80 mg/L) was added to 1 mL of a 1:250 v/v aqueous dilution of the MT sample. After 30 min at 22 ± 2 °C, in the absence of light, absorbance was measured against the buffer solution at 525 nm. A sample containing 1 mL of distilled water + 3 mL of the KMnO4 solution was used as a blank. Distilled water was used to prepare 1:250 dilutions of MT to avoid ethanol interference reacting with the KMnO4. The scavenging effect was expressed as GAE using the calibration curve (r2 = 0.995; y = 1.3955x + 1.7649) prepared with gallic acid in the range of 0–48 µg/mL. Results were corrected, respectively, to the blank solvent and normalized on a dry residue. Each test was conducted in triplicate and the results were expressed as GAE per dry residue ± standard deviation (mg/mL).

2.9. Statistical Analysis

Significant differences in the MTs analyzed using the KMnO4 scavenging activity were highlighted using a one-way analysis of variance, followed by a Tukey HSD pairwise test using R programming (version 4.1.0), Microsoft, Redmond, WA, USA, for statistical analysis. These tests are often used to compare significant differences (p-value ≤ 0.05) between multiple data groups. The respective quantitative results were expressed as the mean ± standard deviation of at least three replicates for each experiment and calculated using Microsoft Office Excel 2022 (version 16.62), Microsoft, Redmond, WA, USA.

3. Results

3.1. Standard GHP Method for MTs Control (Dry Residue, Relative Density)

The dry residue percentage of the analyzed MTs, representing the total amount of extracted substances and the respective relative density, is represented in Table 1. All investigated MTs were in accordance with the specifications of the GHP.

3.2. UV–Visible Spectrophotometry

3.2.1. Spectral Characteristic for Each MT

The MTs of Echinacea, Salvia (Figure 2A,B) and Mentha (Figure 3B) show an absorption spectrum characterized by the presence of two maxima at 322 ± 4 nm and 286 ± 2 nm (exception for Echinacea, presenting only the maximum at 322 ± 4 nm) and one minimum at 261 ± 5 nm. The MT of Ginkgo (Figure 2D) and Hypericum (Figure 2C) show similar absorption patterns to one another, with a maximum present at around 335 ± 1 nm and a minimum at around 311 ± 3 nm (less pronounced in Ginkgo MT).

3.2.2. Oxidation Stress Test

The results of the air exposure test (shown in Figure 3) show that the MTs obtained from the ground material of Echinacea purpurea and Mentha piperita exposed for 30 min to air oxidation exhibit an evident absorbance decrease compared to their respective CRYO oxidation free extract. The amount of dry residue was also reduced massively, as can be observed in Table 1, even if the starting material and the ratio of plant material and extractant used in the preparation of the MTs was identical. The absorbance pattern also showed a flattening of the curve, which is characterized by a diminution of the maximum/minimum ratio (see Table 1). The Hypericum MT shows a slight decrease in absorbance intensity and a pronounced flattening of its typical spectrum. In the case of Ginkgo biloba (Figure 3D), the exposure of the ground material to air oxidation for 30 min does not bring about a consistent change in the typical absorption pattern.

3.2.3. Analysis of Commercial Batches

The MTs from Ceres Heilmittel AG have a generally higher absorbance compared with that of other commercial samples (Figure 2), and they show a less pronounced flattening shape, which is characterized by a higher ratio between maximum and minimum (see Table 1). An exception can be observed in the MTs of Ginkgo (Figure 2D), in which these differences are not evident and a high variability between samples is present.

3.2.4. Tyrosinase Oxidation Test

The incubation of tyrosinase with tinctures of Echinacea purpurea (C18e), Mentha piperita (C18p), Salvia officinalis (C18s), Hypericum perforatum (C17h), and Ginkgo biloba (C18g) resulted in a time-dependent flattening of the typical absorbance shape (Figure 4). After the addition of the tyrosinase solution, the maximum absorbance at 322 ± 4 nm showed a decrease, while the minimum absorbance at 261 ± 5 nm showed an increase (Figure 4A–C). The ratio between maximum and minimum decreased proportionally to the reaction time and appeared to occur rapidly within the first 20 min (Figure 5). In the case of the Hypericum (Figure 4D), a flattening of the curve was observable and expressed by a general increase in absorbance after and before the maximum at 336–334 nm. The tyrosinase oxidation assay conducted on Ginkgo showed no relevant difference in the absorbance shape after 180 min of reaction at the tested concentration of the enzyme (Figure 4E). In all the tinctures, except Ginkgo, a time-dependent increase in absorbance during oxidation was observable in the wavelength area >360 nm.

3.3. Potassium Permanganate: Antioxidant Assay

3.3.1. Oxidation Stress Test

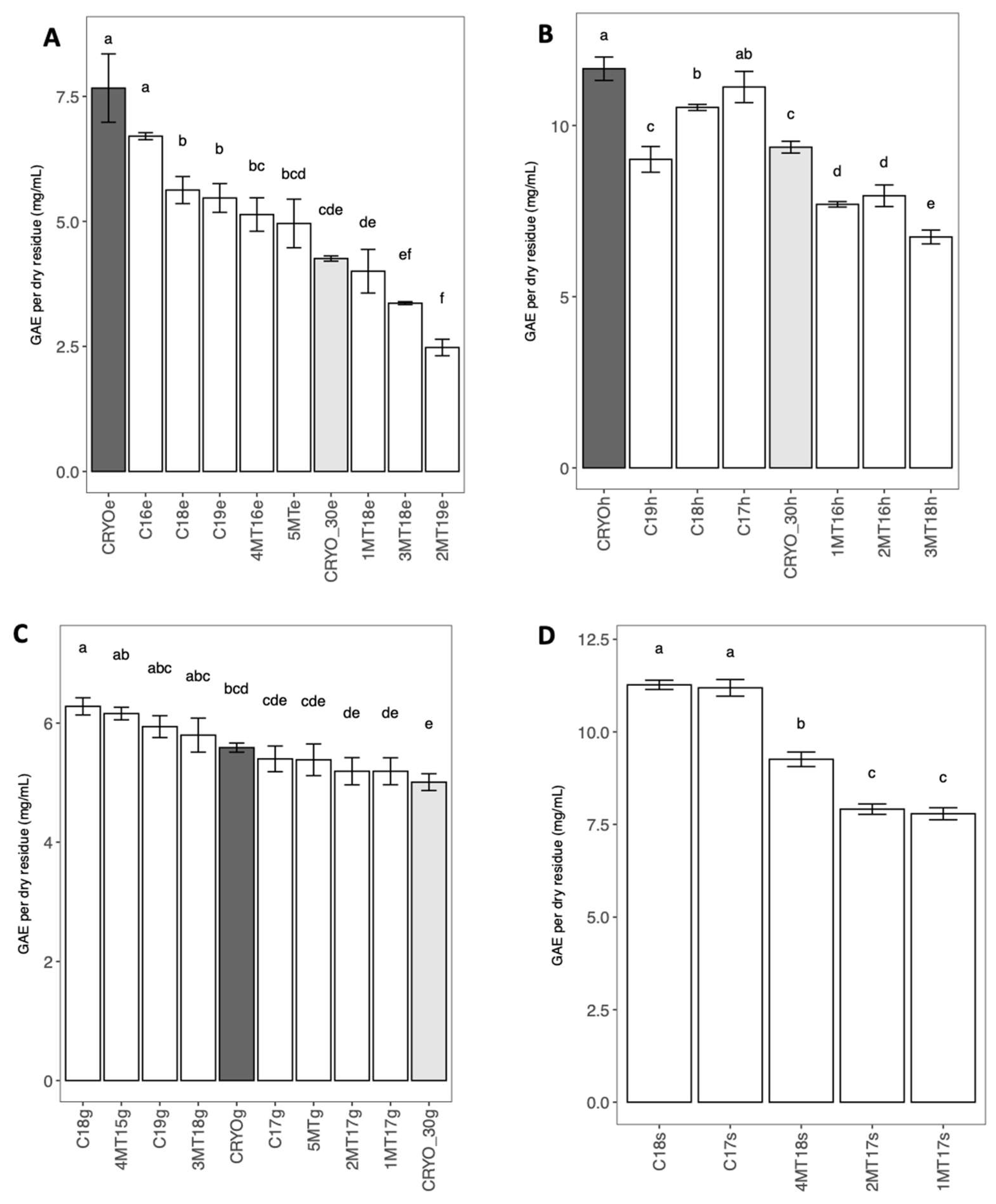
In line with the general pattern of absorbance observed in the UV–Vis spectra (Figure 3), the results of the KMnO4 assay (Figure 6 and Table 1) showed a significative decrease in scavenging activity (when the CRYO_30 sample is compared to the free oxidation reference CRYO), which was relative to the length of exposure to air. The results were normalized to the % dry residue values and are given as GAE per dry residue (to evaluate the antioxidant activity, avoiding the influence of the total amount of substances in the observed differences). Exposing fresh ground material to air for 30 min can lead to a decrease in the antioxidant activity (expressed as GAE) in all the tested plants in the range between 10.41% and 44.19% (see Figure 7) when compared to the respective oxidation free reference (CRYO).

3.3.2. Analysis of Commercial Batches

The comparison of commercial batches (Figure 6) showed that the MTs manufactured by Ceres Heilmittel AG showed a generally higher scavenging activity (expressed as GAE per dry residue) when compared to the other commercially available mother tinctures. The antioxidant activity of the Ceres tinctures was always between that of the CRYO oxidation free reference and the oxidized CRYO_30; instead, some of the commercial batches showed an activity lower than that of the oxidized extract CRYO_30 (Figure 6A,B). The only exception to these results was the Ginkgo biloba MTs (Figure 6C), in which all the commercial batches showed results between those of the CRYO and CRYO_30 extract (exception for C18g). A positive linear correlation (R2 > 0.7) was found between the maximum/minimum ratio and the antioxidant activity expressed as GAE in the potassium permanganate assay (Figure 8). The correlation was present most strongly in the commercial batches of Salvia (R2 = 0.9116), followed by Echinacea (R2 = 0.7351). In the case of Echinacea, the result of the oxidation stress test was also included in the scatterplot diagram.

4. Discussion

The UV–Vis absorption spectra of Mentha piperita, and Salvia officinalis seem to principally be related to the presence of hydroxycinnamic acid derivatives such as rosmarinic acid, characterized by a maximum absorbance at 322 ± 4 nm and a minimum at 260 nm [18]. The second maximum present at 286 ± 2 nm could be related to the presence of other phenolic acids and flavonoids. In the work of Olennikov et al. 2010 [19], an equimolar mixture of hesperidin and rosmarinic acid shows a spectrum with a pattern corresponding to the one observed in Mentha in our experiment. Regarding Salvia, this second maximum could be related to the presence of salvianolic acids [20,21]. The spectra of Echinacea correspond to the typical absorption shape of caffeic acid derivatives such as chlorogenic acid (Figure A1) and chicoric acid [22,23], known to be some of the main constituents of this plant. With regard to Ginkgo and Hypericum, their absorption spectra have some similarities and are characterized by the presence of main absorbance regions around 335 ± 1 nm and 260 nm. This area could contribute to the absorbance shape through the presence of certain flavonoids such as hyperoside and rutin (Figure A1), which are known to be the main flavonoids in Hypericum and Ginkgo.
When MTs are subjected to oxidation in the tyrosinase assay (Figure 4), a time-dependent flattening of the absorption pattern is observed that is characterized by a diminution of the maximum–minimum ratio (see Figure 5). Additionally, an increase in absorbance in the region >360 nm can be observed (Figure 4). Tyrosinase has the ability to oxidize the catechol moiety of phenolic compounds in benzoquinones (Figure 1), and it is known from the literature that the o-quinone moiety has a maximum absorbance in the area around 389 nm [13]. Different publications have shown that the oxidation of phenolic compounds such as chlorogenic acid [11], flavonoids [12], and other substances with similar structures such as trans-resveratrol [13] are characterized by an increase in absorbance in the area around 400 nm. It is for this reason that the absorbance observed in the analyzed MTs at the wavelength >360 nm could be a direct indicator of the oxidation process. This increase in absorbance can also be observed in the oxidation test shown in Figure A2, as well as the typical curve flattening (Figure 3). However, in this test we also observed a general decrease in the absorbance intensity and dry residue. o-quinone-oxidized products are known to be highly reactive species that can react with nucleophilic substances such as phenol and protein, producing a mixture of brown products known as melanins. The observed decrease in the dry residue could be directly due to this reaction process forming melanins. These substances can stay attached to the plant matrix and, due to their insolubility in the hydroalcoholic solvent [24], cannot pass through the MT, thus decreasing the total amount of extracted substances and the phenolic compound content.
Phenolic acids and flavonoids are mainly known for their ability to exert an important antioxidant activity in herbal remedies. If oxidation occurs during manufacturing, a decrease in the content of PCs is expected and, as a consequence, a decrease in the antioxidant activity of the extract as well. To evaluate the impact of oxidation during the grinding process, the extracts prepared in the oxidation stress test were submitted to the potassium permanganate antioxidant assay and the obtained results were normalized to those of the dry residue (thus avoiding the possible interference of the substance content in the interpretation of the data). The results (Figure 6) show a decrease in the antioxidant activity that seems to be independent of the total amount of extracted substances reflected by the dry residue (since the results were normalized) but directly related to the degree of oxidation that occurs during manufacturing.
A linear correlation seems to be present when the results of the KMnO4 antioxidant assay are plotted with the values of the maximum–minimum ratio obtained from the oxidation stress test and commercial batches analyses of Echinacea and Salvia (Figure 7). The decrease in the maximum–minimum ratio seems to be related to the decrease in antioxidant activity (Figure 5) and seems to be the result of the oxidation of phenolic compounds, as shown in the UV–Vis spectra in the tyrosinase oxidation assay (Figure 4) and the oxidation stress test (Figure 3). Following these results, the observation of the UV–Vis spectra pattern and its grade of flattening could be used as a simple method, with which to obtain a first rapid evaluation of the oxidation state of an herbal mother tincture.
When the commercially available batches are compared to one another, different grades of flattening, characterized by different maximum–minimum ratios, can be observed between the MTs (Table 1 and Figure 2). The analysis of different commercially available mother tinctures showed a large amount of heterogeneity, whereby it could be shown that the tinctures of Ceres Heilmittel AG seem to exert a higher level of antioxidant activity and present a higher maximum–minimum ratio. Based on the previous hypothesis, these results could be an indication that tinctures of Ceres are less oxidized. In the Ceres manufacturing process, plants are ground in a special mill device characterized by a closed system that is able to guarantee a reduced air contact, as well as by the presence of alcohol, which could inhibit the activity of enzymatic oxidation during the milling process [25]. This workflow could be responsible for the observed differences from other commercial batches, since a common industrial blender can expose plant material to air during grinding before extraction. However, no conclusive statement on the cause of these differences can be made, since there are too many different variables and unknown parameters, while the differences in the raw materials used between industries could be a variable leading to these differences.
Moreover, it is important to underline that not every plant has the same level of sensitivity to the oxidation process. The results show that the MTs obtained in the oxidation stress test over 30 min of air exposure showed a decrease in scavenging activity (expressed as GAE), which is more pronounced in Echinacea (−44.19%) and Mentha (−42.89%), compared to Hypericum (−19.63%) and Ginkgo (−10.41%) (Figure 7). It is interesting to note that Ginkgo seems to be a very stable plant during the manufacturing process when we compare with the results of the previous analysis. The compounds present in its MT seem to be very resistant to the oxidation (tyrosinase oxidation test and oxidation stress test), and, when all the commercial batches are compared, a high variability is present and no major differences can be observed between the different manufacturers.

5. Conclusions

The simulation of an oxidation process (oxidation and tyrosinase assay) mainly leads to: (1) a flattening of the UV–Vis spectra (characterized by a decrease in the maximum–minimum ratio; (2) a general decrease in absorbance; and (3) a decrease in antioxidant activity. A decrease in ratio and subsequent flattening were observed in the oxidation stress test as well as during the tyrosinase oxidation assay. In addition, a positive correlation was found between the decrease in the ratio of maximum to minimum and the normalized antioxidant activity. These results suggest that the interpretation of the UV–Visible spectra flattening could be used as a convenient analytical method, with which to rapidly assess the oxidation status of an MT. In conclusion, this work highlighted that, during the manufacture of a herbal mother tincture, the exposure of the plant material to air during the milling step could cause the oxidation of phenolic compounds and have a major impact on the characteristics of the final product. This impact appears to differ in relation to the plants used as the source of the herbal remedy. Some plants, such as Echinacea purpurea and Mentha piperita, seem to be strongly affected by the oxidation process, whereas plants such as Ginkgo biloba seem to remain very stable and not be seriously affected by the processing step. This article aims to raise awareness, especially in the industry and research on pharmaceuticals, about milled plants’ sensitivity to oxidation during manufacturing processes. We believe that, by directing more attention and research to this problem, in the future, we may be able to improve the quality of remedies available on the market, thus avoiding the loss of important active substances during the production of herbal mother tinctures.

Author Contributions

Conceptualization, R.K., C.K., S.H. and D.B.; investigation, visualization, data curation and formal analysis, D.B.; Resources, S.H.; Supervision, S.H. and C.K.; writing—original draft preparation, D.B.; Writing—Review and Editing, S.H., C.K. and M.P. All authors provided critical feedback and helped shape the research, analysis and manuscript. All authors have read and agreed to the published version of the manuscript.

Funding

The research project was funded by Ceres Heilmittel AG.

Data Availability Statement

All of the data are contained within the article. Additional details are available from the corresponding author, C.K., upon reasonable request.

Acknowledgments

Special thanks to R.K. for providing the theoretical and observational foundation upon which this research project was built.

Conflicts of Interest

D.B., S.H., and M.P. are employees of Ceres Heilmittel AG. C.K. is the CEO of Ceres Heilmittel AG. R.K. is the founder of Ceres Heilmittel AG.

Appendix A. Additional Results on UV–Visible Spectrophotometry

This appendix is an integration of the discussion part of paragraph 4, consisting in two additional UV-Vis spectra. Standard solutions of chlorogenic acid, rutin and hyperoside (Figure A1) were analyzed and compared with the absorbance spectra of the analyzed mother tinctures (Figure 2). Figure A2 shows the absorbance region between 350 and 500 nm of Echinacea mother tinctures obtained in the oxidation stress test. The increase in absorbance in this region could be related to the presence of o-quinones derived from the oxidation process of phenolic compounds [13].
Figure A1. Standard solution of chlorogenic acid, rutin, and hyperoside (1 mg/mL methanol) diluted 1:100 v/v with distilled water and analyzed between 200 and 500 nm.
Figure A1. Standard solution of chlorogenic acid, rutin, and hyperoside (1 mg/mL methanol) diluted 1:100 v/v with distilled water and analyzed between 200 and 500 nm.
Processes 10 01335 g0a1
Figure A2. Spectrophotometric UV–Vis analysis of mother tinctures obtained in the oxidation stress test of Echinacea purpurea. UV–Vis spectra show the comparison between the cryoground “oxidation-free” reference (CRYO) and cryoground + 30 min air-exposed (CRYO_30) extract. The figure is a scale zoom of Figure 3A to underline the increase in absorbance in the wavelength region between 350 and 500 nm typical of the o-quinone moiety.
Figure A2. Spectrophotometric UV–Vis analysis of mother tinctures obtained in the oxidation stress test of Echinacea purpurea. UV–Vis spectra show the comparison between the cryoground “oxidation-free” reference (CRYO) and cryoground + 30 min air-exposed (CRYO_30) extract. The figure is a scale zoom of Figure 3A to underline the increase in absorbance in the wavelength region between 350 and 500 nm typical of the o-quinone moiety.
Processes 10 01335 g0a2

References

  1. Cheynier, V. Polyphenols in foods are more complex than often thought. Am. J. Clin. Nutr. 2005, 81, 223S–229S. [Google Scholar] [CrossRef] [PubMed] [Green Version]
  2. Balboa, E.M.; Soto, M.L.; Nogueira, D.R.; González-López, N.; Conde, E.; Moure, A. Potential of antioxidant extracts produced by aqueous processing of renewable resources for the formulation of cosmetics. Ind. Crops Prod. 2014, 58, 104–110. [Google Scholar] [CrossRef] [Green Version]
  3. Parvez, S.; Kang, M.; Chung, H.S.; Bae, H. Naturally occurring tyrosinase inhibitors: Mechanism and applications in skin health, cosmetics and agriculture industries. Phytother. Res. 2007, 21, 805–816. [Google Scholar] [CrossRef] [PubMed]
  4. WHO Guidelines on Good Herbal Processing Practices for Herbal Medicines [Internet]. WHO Technical Report Series No. 1010, 3, 107; 2018. Available online: https://www.gmp-compliance.org/files/guidemgr/TRS1010annex1.pdf (accessed on 7 January 2022).
  5. Minatel, I.O.; Borges, C.V.; Ferreira, M.I.; Gomez, H.A.G.; Chen, C.Y.O.; Lima, G.P.P. Phenolic Compounds: Functional Properties, Impact of Processing and Bioavailability. In Phenolic Compounds—Biological Activity; Soto-Hernndez, M., Palma-Tenango, M., del Garcia-Mateos, M.R., Eds.; IntechOpen: Rijeka, Croatia, 2017; Available online: http://www.intechopen.com/books/phenolic-compounds-biological-activity/phenolic-compounds-functional-properties-impact-of-processing-and-bioavailability (accessed on 10 March 2022).
  6. Boeckx, T.; Winters, A.L.; Webb, K.J.; Kingston-Smith, A.H. Polyphenol oxidase in leaves; is there any significance to the chloroplastic localization? J. Exp. Bot. 2015, 66, 3571–3579. [Google Scholar] [CrossRef] [PubMed] [Green Version]
  7. Glagoleva, A.Y.; Shoeva, O.Y.; Khlestkina, E.K. Melanin Pigment in Plants: Current Knowledge and Future Perspectives. Front. Plant Sci. 2020, 23, 770. [Google Scholar] [CrossRef] [PubMed]
  8. Ali Al-Mamary, M.; Moussa, Z. Antioxidant Activity: The Presence and Impact of Hydroxyl Groups in Small Molecules of Natural and Synthetic Origin. In Antioxidants—Benefits, Sources, Mechanisms of Action [Internet]; Waisundara, V., Ed.; IntechOpen: London, UK, 2021; Available online: https://www.intechopen.com/books/antioxidants-benefits-sources-mechanisms-of-action/antioxidant-activity-the-presence-and-impact-of-hydroxyl-groups-in-small-molecules-of-natural-and-sy (accessed on 10 March 2022).
  9. Pyrzynska, K.; Pękal, A. Application of free radical diphenylpicrylhydrazyl (DPPH) to estimate the antioxidant capacity of food samples. Anal. Methods 2013, 5, 4288. [Google Scholar] [CrossRef]
  10. Amponsah, I.K.; Orman, E.; Mensah, A.Y.; Mainoo, F.; Armah, F.A.; Sarpong, L.M. Development and validation of a radical scavenging antioxidant assay using potassium permanganate. J. Sci. Innov. Res. 2016, 5, 36–42. [Google Scholar] [CrossRef]
  11. Tono, T.; Fujita, S.; Kawasaki, H.; Li, Z.-F. Assay of Chlorogenic Acid Oxidase by Difference Spectra Spectrophotometry. Agric. Biol. Chem. 1987, 51, 2843–2844. [Google Scholar]
  12. Gąsowska-Bajger, B.; Wojtasek, H. Reactions of Flavonoids with o-Quinones Interfere with the Spectrophotometric Assay of Tyrosinase Activity. J. Agric. Food Chem. 2016, 6, 5417–5427. [Google Scholar] [CrossRef] [PubMed]
  13. Gonzálvez, A.G.; Ureña, Á.G.; Lewis, R.J.; van der Zwan, G. Spectroscopy and Kinetics of Tyrosinase Catalyzed trans—Resveratrol Oxidation. J. Phys. Chem. B 2012, 116, 2553–2560. [Google Scholar] [CrossRef] [PubMed]
  14. Stephen, B. Methods for the Production of Homoeopathic Medicinal Product. In German Homoeopathic Pharmacopoeia; Medpharm GmbH Scientific Publishers: Berlin, Germany, 2003; p. 23. [Google Scholar]
  15. The European Pharmacopoeia Commission. Europäisches Arzneibuch, 9th ed.; Deutscher Apotheker Verlag, Govi-Verlag—Pharmazeutischer Verlag: Stuttgart, Germany, 2017; Volume 9, pp. 33, 399. [Google Scholar]
  16. Junghare, H.; Hamjade, M.; Patil, C.K.; Girase, S.B.; Lele, M.M. A Review on Cryogenic Grinding. Int. J. Curr. Eng. Technol. 2017, 5, 420–423. [Google Scholar]
  17. Oda, Y.; Kato, H.; Isoda, Y.; Takahashi, N.; Yamamoto, T.; Takada, Y. Purification and Properties of Phenoloxidase from Spinach Leaves. Agric. Biol. Chem. 1989, 53, 2053–2061. [Google Scholar]
  18. Hajimehdipoor, H.; Saeidnia, S.; Gohari, A.; Hamedani, M.; Shekarchi, M. Comparative study of rosmarinic acid content in some plants of Labiatae family. Phcog. Mag. 2012, 8, 37. [Google Scholar] [CrossRef] [PubMed] [Green Version]
  19. Olennikov, D.N.; Tankhaeva, L.M. Quantitative determination of phenolic compounds in Mentha piperita leaves. Chem. Nat. Compd. 2010, 46, 22–27. [Google Scholar] [CrossRef]
  20. Ozarowski, M.; Mikolajczak, P.L.; Piasecka, A.; Kachlicki, P.; Kujawski, R.; Bogacz, A. Influence of the Melissa officinalis Leaf Extract on Long-Term Memory in Scopolamine Animal Model with Assessment of Mechanism of Action. Evid. Based Complement. Altern. Med. 2016, 2016, 9729818. [Google Scholar] [CrossRef] [PubMed] [Green Version]
  21. Zimmermann, B.F.; Walch, S.G.; Tinzoh, L.N.; Stühlinger, W.; Lachenmeier, D.W. Rapid UHPLC determination of polyphenols in aqueous infusions of Salvia officinalis L. (sage tea). J. Chromatogr. B 2011, 879, 2459–2464. [Google Scholar] [CrossRef] [PubMed]
  22. Pellati, F.; Benvenuti, S.; Magro, L.; Melegari, M.; Soragni, F. Analysis of phenolic compounds and radical scavenging activity of Echinacea spp. J. Pharm. Biomed. Anal. 2004, 35, 289–301. [Google Scholar] [CrossRef]
  23. Lee, J.; Scagel, C.F. Chicoric acid found in basil (Ocimum basilicum L.) leaves. Food Chem. 2009, 115, 650–656. [Google Scholar] [CrossRef]
  24. Harki, E.; Talou, T.; Dargen, R. Purification, characterisation and analysis of melanin extracted from Tuber mehnosporum Vitt. Food Chem. 1997, 58, 69–735. [Google Scholar] [CrossRef]
  25. Valero, E.; Varon, R.; Garcia-Carmona, F. Inhibition of grape polyphenol oxidase by several natural aliphatic alcohols. J Agric Food Chem. 1990, 38, 1097–1100. [Google Scholar] [CrossRef]
Figure 1. Oxidation of orto-diphenol in orto-quinone catalyzed by polyphenol oxidase (PPO) in the presence of oxygen and subsequent transformation in melanins (a). Suggested mechanism of free radical scavenging effect of o-diphenol against free radical species. X = structure of generic phenolic compound (b).
Figure 1. Oxidation of orto-diphenol in orto-quinone catalyzed by polyphenol oxidase (PPO) in the presence of oxygen and subsequent transformation in melanins (a). Suggested mechanism of free radical scavenging effect of o-diphenol against free radical species. X = structure of generic phenolic compound (b).
Processes 10 01335 g001
Figure 2. Spectrophotometric UV–Vis analysis of analyzed commercial mother tinctures of Echinacea purpurea (A), Salvia officinalis (B), Hypericum perforatum (C), and Ginkgo biloba (D). Names of extracts in the legends are ordered in descending intensity of maximum absorption.
Figure 2. Spectrophotometric UV–Vis analysis of analyzed commercial mother tinctures of Echinacea purpurea (A), Salvia officinalis (B), Hypericum perforatum (C), and Ginkgo biloba (D). Names of extracts in the legends are ordered in descending intensity of maximum absorption.
Processes 10 01335 g002
Figure 3. Spectrophotometric UV–Vis analysis of mother tinctures obtained in the oxidation stress test of Echinacea purpurea (A), Mentha piperita (B), Hypericum perforatum (C), and Ginkgo biloba (D). UV–Vis spectra show the comparison between the cryoground “oxidation-free” reference (CRYO) and cryoground + 30 min air-exposed (CRYO_30) extract. Names of extracts in the legends are ordered in descending intensity of maximum absorption (between 318 and 323 nm).
Figure 3. Spectrophotometric UV–Vis analysis of mother tinctures obtained in the oxidation stress test of Echinacea purpurea (A), Mentha piperita (B), Hypericum perforatum (C), and Ginkgo biloba (D). UV–Vis spectra show the comparison between the cryoground “oxidation-free” reference (CRYO) and cryoground + 30 min air-exposed (CRYO_30) extract. Names of extracts in the legends are ordered in descending intensity of maximum absorption (between 318 and 323 nm).
Processes 10 01335 g003
Figure 4. Spectrophotometric UV–Vis analysis of mother tinctures obtained in the oxidation stress test of Echinacea purpurea (A), Mentha piperita (B), Salvia officinalis (C), Hypericum perforatum (D), and Ginkgo biloba (E). UV–Vis spectra show the comparison between the cryoground “oxidation-free” reference (CRYO) and cryoground + 30 min air exposed (CRYO_30) extract. Names of extracts in the legends are ordered by descending intensity of maximum absorption (between 318 and 323 nm).
Figure 4. Spectrophotometric UV–Vis analysis of mother tinctures obtained in the oxidation stress test of Echinacea purpurea (A), Mentha piperita (B), Salvia officinalis (C), Hypericum perforatum (D), and Ginkgo biloba (E). UV–Vis spectra show the comparison between the cryoground “oxidation-free” reference (CRYO) and cryoground + 30 min air exposed (CRYO_30) extract. Names of extracts in the legends are ordered by descending intensity of maximum absorption (between 318 and 323 nm).
Processes 10 01335 g004
Figure 5. Decrease in max–min ratio over time in the tyrosinase oxidation test.
Figure 5. Decrease in max–min ratio over time in the tyrosinase oxidation test.
Processes 10 01335 g005
Figure 6. Comparison of scavenging effect obtained by means of potassium permanganate assay in the analyzed mother tinctures (Echinacea purpurea (A), Hypericum perforatum (B), Ginkgo biloba (C) and Salvia officinalis (D)) expressed as Gallic Acid equivalent (GAE) per dry residue (mg/mL). Different letters indicate the presence of significant differences between samples (p ≤ 0.05).
Figure 6. Comparison of scavenging effect obtained by means of potassium permanganate assay in the analyzed mother tinctures (Echinacea purpurea (A), Hypericum perforatum (B), Ginkgo biloba (C) and Salvia officinalis (D)) expressed as Gallic Acid equivalent (GAE) per dry residue (mg/mL). Different letters indicate the presence of significant differences between samples (p ≤ 0.05).
Processes 10 01335 g006
Figure 7. Percent decrease in scavenging affect after 30 min of oxidation obtained in the oxidation stress test for each analyzed MT.
Figure 7. Percent decrease in scavenging affect after 30 min of oxidation obtained in the oxidation stress test for each analyzed MT.
Processes 10 01335 g007
Figure 8. Scatterplot showing the linear correlation (R2 > 0.7) present between the two variables y = max/min ratio and x = GAE equivalent per dry residue (evaluated in the KMnO4 assay) recorded in the comparative analysis of commercial mother tinctures.
Figure 8. Scatterplot showing the linear correlation (R2 > 0.7) present between the two variables y = max/min ratio and x = GAE equivalent per dry residue (evaluated in the KMnO4 assay) recorded in the comparative analysis of commercial mother tinctures.
Processes 10 01335 g008
Table 1. Results of MTs laboratory analysis.
Table 1. Results of MTs laboratory analysis.
Analyzed SamplesGAE Dry Res. Normalized (mg/mL) (KMnO4 Assay)Max a/Min b Ratio (UV–Vis Spectra)* Dry Residue** Rel. Density
Echinacea purpurea
CRYOe7.67 ± 0.682.662.67%0.9072
C16e6.70 ± 0.071.712.05%0.9056
C18e5.63 ± 0.271.672.78%0.9086
C19e5.47 ± 0.291.702.45%0.9083
4MT16e5.14 ± 0.331.672.4%0.9128
5MTe4.96 ± 0.491.371.69%0.9065
CRYO_30e4.26 ± 0.051.791.98%0.9055
1MT18e4.00 ± 0.441.181.89%0.9049
3MT18e3.36 ± 0.03nd2.31%0.9077
2MT19e2.48 ± 0.160.902.41%0.9046
Salvia officinalis
C18s11.27 ± 0.131.183.13%0.9073
C17s11.19 ± 0.221.093.50%0.9070
4MT18s9.26 ± 0.201.043.36%0.9111
2MT17s7.91 ± 0.140.832.65%0.8985
1MT17s7.79 ± 0.160.833.67%0.9035
Hypericum perforatum
CRYOh11.66 ± 0.341.043.13%0.9072
C17h11.12 ± 0.461.023.50%0.9109
C18h10.53 ± 0.091.033.36%0.9115
CRYO_30h9.37 ± 0.17nd2.65%0.9057
C19h9.01 ± 0.381.013.67%0.9118
2MT16h7.95 ± 0.32nd2.42%0.9102
1MT16h7.70 ± 0.08nd2.39%0.9102
3MT18h6.74 ± 0.20nd3.17%0.9089
C17h11.12 ± 0.461.023.50%0.9109
C18h10.53 ± 0.091.033.36%0.9115
CRYO_30h9.37 ± 0.17nd2.65%0.9057
Ginkgo biloba
C18g6.28 ± 0.14nd6.91%0.9228
4MT15g6.16 ± 0.11nd4.3%0.9095
C19g5.94 ± 0.18nd5.39%0.9162
3MT18g5.80 ± 0.29nd5.16%0.9183
CRYOg5.59 ± 0.08nd6.02%0.9175
C17g5.40 ± 0.22nd5.34%0.9196
5MTg5.38 ± 0.27nd4.21%0.9120
2MT17g5.19 ± 0.23nd4.17%0.9164
CRYO30g5.01 ± 0.14nd5.92%0.9158
Mentha piperita
CRYOp13.23 ± 0.511.473.18%0.9100
CRYO_30p7.55 ± 0.091.272.25%0.9044
a = Maximum wavelength of 322 ± 4 nm (Hypericum: 327 ± 2 nm); b = minimum wavelength of 261 ± 5 nm (Hypericum: 313 ± 2 nm). * Dry residue GHP specification: Salvia (≥1.2%); Echinacea, Hypericum (≥1.5%); Ginkgo (≥3.5%), Mentha (≥1.4%). ** Relative density GHP specification: Echinacea, Hypericum (0.890–0.915); Ginkgo (0.905–0.925); Salvia, Mentha (0.895–0.915). nd = not detected.
Publisher’s Note: MDPI stays neutral with regard to jurisdictional claims in published maps and institutional affiliations.

Share and Cite

MDPI and ACS Style

Barmaverain, D.; Hasler, S.; Kalbermatten, C.; Plath, M.; Kalbermatten, R. Oxidation during Fresh Plant Processing: A Race against Time. Processes 2022, 10, 1335. https://doi.org/10.3390/pr10071335

AMA Style

Barmaverain D, Hasler S, Kalbermatten C, Plath M, Kalbermatten R. Oxidation during Fresh Plant Processing: A Race against Time. Processes. 2022; 10(7):1335. https://doi.org/10.3390/pr10071335

Chicago/Turabian Style

Barmaverain, Didier, Samuel Hasler, Christoph Kalbermatten, Matthias Plath, and Roger Kalbermatten. 2022. "Oxidation during Fresh Plant Processing: A Race against Time" Processes 10, no. 7: 1335. https://doi.org/10.3390/pr10071335

APA Style

Barmaverain, D., Hasler, S., Kalbermatten, C., Plath, M., & Kalbermatten, R. (2022). Oxidation during Fresh Plant Processing: A Race against Time. Processes, 10(7), 1335. https://doi.org/10.3390/pr10071335

Note that from the first issue of 2016, this journal uses article numbers instead of page numbers. See further details here.

Article Metrics

Back to TopTop