In Vivo Safety and Efficacy of Thiosemicarbazones in Experimental Mice Infected with Toxoplasma gondii Oocysts
Abstract
1. Introduction
2. Materials and Methods
2.1. Cell Culture Media, Biochemicals, Thiosemicarbazones
2.2. Host Cells and Parasites
2.3. Assessment of Viability of Murine Splenocytes After Treatment with C3 and C4 In Vitro
2.4. Assessment of C3 and C4 Interference in Early Zebrafish Embryo Development
2.5. C3 and C4 Treatments of CD1 Mice Orally Infected with TgShSp1 Oocysts
2.6. Determination of the Parasite Load in Brain, Eyes and Heart Tissues by Real-Time PCR
2.7. Assessment of Susceptibility of Murine Splenocytes to C3 and C4 In Vivo: Measurement of Viability and Proliferation of Splenocytes from Infected and Naîve Mice
3. Results
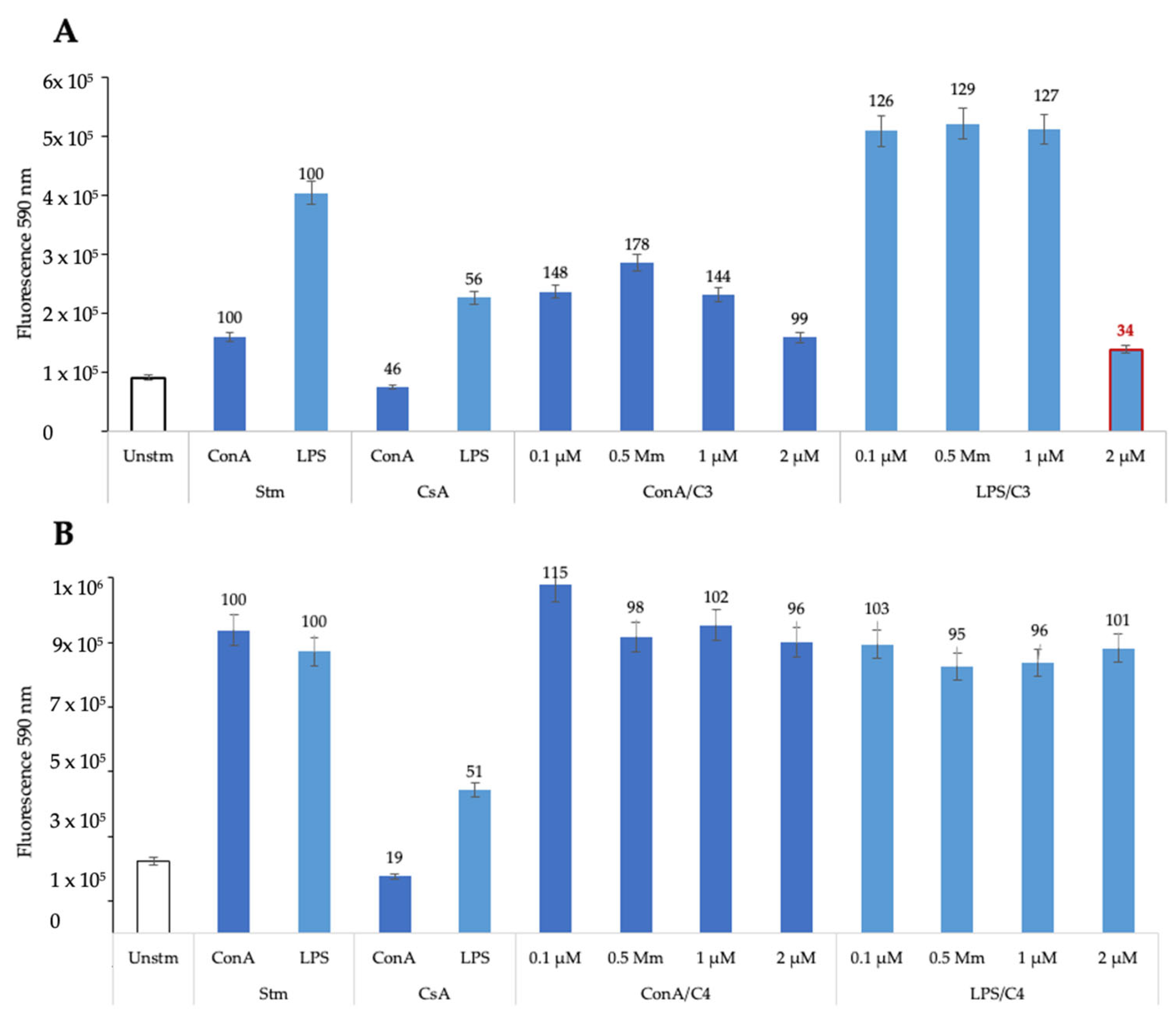
3.1. Treatments with C3 and C4 Do Not Affect the Viability of In Vitro Cultured Murine Splenocytes
3.2. Effects of C3 and C4 on Early Zebrafish (Danio rerio) Embryo Development
3.3. Efficacy of C3 and C4 Treatment in CD1 Mice Infected with T. gondii Oocysts
3.4. Assessment of Viability and Proliferative Capacity of Murine Splenocytes from T. gondii-Infected Mice Treated with C3 and C4 In Vivo
3.5. Assessment of Susceptibility of Murine Splenocytes to C3 and C4 In Vivo Treatments in Non-Infected Mice: Measurement of Viability and Proliferation
4. Discussion
Supplementary Materials
Author Contributions
Funding
Institutional Review Board Statement
Informed Consent Statement
Data Availability Statement
Acknowledgments
Conflicts of Interest
References
- Almeria, S.; Dubey, J.P. Foodborne Transmission of Toxoplasma gondii Infection in the Last Decade. An Overview. Res. Vet. Sci. 2021, 135, 371–385. [Google Scholar] [CrossRef]
- Dubey, J. Toxoplasmosis of Animals and Humans, 3rd ed.; CRC Press: Boca Raton, FL, USA, 2021. [Google Scholar]
- Attias, M.; Teixeira, D.E.; Benchimol, M.; Vommaro, R.C.; Crepaldi, P.H.; De Souza, W. The Life-Cycle of Toxoplasma gondii Reviewed Using Animations. Parasites Vectors 2020, 13, 588. [Google Scholar] [CrossRef] [PubMed]
- Sanchez, S.G.; Besteiro, S. The Pathogenicity and Virulence of Toxoplasma gondii. Virulence 2021, 12, 3095–3114. [Google Scholar] [CrossRef] [PubMed]
- Robert-Gangneux, F. It Is Not Only the Cat That Did It: How to Prevent and Treat Congenital Toxoplasmosis. J. Infect. 2014, 68 (Suppl. 1), S125–S133. [Google Scholar] [CrossRef] [PubMed]
- Dubey, J. Outbreaks of Clinical Toxoplasmosis in Humans: Five Decades of Personal Experience, Perspectives and Lessons Learned. Parasites Vectors 2021, 14, 263. [Google Scholar] [CrossRef]
- Montoya, J.G.; Liesenfeld, O. Toxoplasmosis. Lancet 2004, 363, 1965–1976. [Google Scholar] [CrossRef]
- Shapiro, K.; Bahia-Oliveira, L.; Dixon, B.; Dumètre, A.; de Wit, L.A.; VanWormer, E.; Villena, I. Environmental Transmission of Toxoplasma gondii: Oocysts in Water, Soil and Food. Food Waterborne Parasitol. 2019, 15, e00049. [Google Scholar] [CrossRef]
- Blaizot, R.; Nabet, C.; Laghoe, L.; Faivre, B.; Escotte-Binet, S.; Djossou, F.; Mosnier, E.; Henaff, F.; Blanchet, D.; Mercier, A.; et al. Outbreak of Amazonian Toxoplasmosis: A One Health Investigation in a Remote Amerindian Community. Front. Cell. Infect. Microbiol. 2020, 10, 537244. [Google Scholar] [CrossRef]
- Lindsay, D.S.; Dubey, J.P. Neosporosis, Toxoplasmosis, and Sarcocystosis in Ruminants: An Update. Vet. Clin. N. Am. Food Anim. Pract. 2020, 36, 205–222. [Google Scholar] [CrossRef]
- Gual, I.; Giannitti, F.; Hecker, Y.P.; Shivers, J.; Entrocassi, A.C.; Morrell, E.L.; Pardini, L.; Fiorentino, M.A.; Rodríguez Fermepin, M.; Unzaga, J.M.; et al. First Case Report of Toxoplasma gondii-Induced Abortions and Stillbirths in Sheep in Argentina. Vet. Parasitol. Reg. Stud. Rep. 2018, 12, 39–42. [Google Scholar] [CrossRef]
- Montazeri, M.; Mehrzadi, S.; Sharif, M.; Sarvi, S.; Shahdin, S.; Daryani, A. Activities of Anti-Toxoplasma Drugs and Compounds against Tissue Cysts in the Last Three Decades (1987 to 2017), a Systematic Review. Parasitol. Res. 2018, 117, 3045–3057. [Google Scholar] [CrossRef]
- Dunay, I.R.; Gajurel, K.; Dhakal, R.; Liesenfeld, O.; Montoya, J.G. Treatment of Toxoplasmosis: Historical Perspective, Animal Models, and Current Clinical Practice. Clin. Microbiol. Rev. 2018, 31, e00057-17. [Google Scholar] [CrossRef] [PubMed]
- Smith, N.C.; Goulart, C.; Hayward, J.A.; Kupz, A.; Miller, C.M.; van Dooren, G.G. Control of Human Toxoplasmosis. Int. J. Parasitol. 2021, 51, 95–121. [Google Scholar] [CrossRef] [PubMed]
- Alday, P.H.; Doggett, J.S. Drugs in Development for Toxoplasmosis: Advances, Challenges, and Current Status. Drug Des. Dev. Ther. 2017, 11, 273–293. [Google Scholar] [CrossRef] [PubMed]
- Shammaa, A.M.; Powell, T.G.; Benmerzouga, I. Adverse Outcomes Associated with the Treatment of Toxoplasma Infections. Sci. Rep. 2021, 11, 1035. [Google Scholar] [CrossRef]
- Beraldo, H.; Gambino, D. The Wide Pharmacological Versatility of Semicarbazones, Thiosemicarbazones and Their Metal Complexes. Mini-Rev. Med. Chem. 2004, 4, 31–39. [Google Scholar]
- Scaccaglia, M.; Rega, M.; Vescovi, M.; Pinelli, S.; Tegoni, M.; Bacci, C.; Pelosi, G.; Bisceglie, F. Gallium(III)-Pyridoxal Thiosemicarbazone Derivatives as Nontoxic Agents against Gram-Negative Bacteria. Metallomics 2022, 14, mfac070. [Google Scholar] [CrossRef]
- Khan, T.; Raza, S.; Lawrence, A.J. Medicinal Utility of Thiosemicarbazones with Special Reference to Mixed Ligand and Mixed Metal Complexes: A Review. Russ. J. Coord. Chem. Koord. Khimiya 2022, 48, 877–895. [Google Scholar] [CrossRef]
- Yu, P.; Deng, J.; Cai, J.; Zhang, Z.; Zhang, J.; Hamid Khan, M.; Liang, H.; Yang, F. Anticancer and Biological Properties of a Zn-2,6-Diacetylpyridine Bis(Thiosemicarbazone) Complex. Metallomics 2019, 11, 1372–1386. [Google Scholar] [CrossRef]
- Nartop, D.; Hasanoğlu Özkan, E.; Öğütcü, H.; Kurnaz Yetim, N.; Özdemir, İ. Novel α-N-Heterocyclic Thiosemicarbazone Complexes: Synthesis, Characterization, and Antimicrobial of Properties Investigation. RSC Adv. 2024, 14, 29308–29318. [Google Scholar] [CrossRef]
- Garbuz, O.; Ceban, E.; Istrati, D.; Railean, N.; Toderas, I.; Gulea, A. Thiosemicarbazone-Based Compounds: Cancer Cell Inhibitors with Antioxidant Properties. Molecules 2025, 30, 2077. [Google Scholar] [CrossRef]
- Almeida, C.M.; Pedro, P.H.; Nascimento, É.C.M.; Martins, J.B.L.; Chagas, M.A.S.; Fujimori, M.; De Marchi, P.G.F.; França, E.L.; Honorio-França, A.C.; Gatto, C.C. Organometallic Gold (III) and Platinum (II) Complexes with Thiosemicarbazone: Structural Behavior, Anticancer Activity, and Molecular Docking. Appl. Organomet. Chem. 2022, 36, e6761. [Google Scholar] [CrossRef]
- Krchniakova, M.; Paukovcekova, S.; Chlapek, P.; Neradil, J.; Skoda, J.; Veselska, R. Thiosemicarbazones and Selected Tyrosine Kinase Inhibitors Synergize in Pediatric Solid Tumors: NDRG1 Upregulation and Impaired Prosurvival Signaling in Neuroblastoma Cells. Front. Pharmacol. 2022, 13, 976955. [Google Scholar] [CrossRef] [PubMed]
- Zavaroni, A.; Rigamonti, L.; Bisceglie, F.; Carcelli, M.; Pelosi, G.; Gentilomi, G.A.; Rogolino, D.; Bonvicini, F. Antimicrobial Activity of Copper(II), Nickel(II) and Zinc(II) Complexes with Semicarbazone and Thiosemicarbazone Ligands Derived from Substituted Salicylaldehydes. Molecules 2025, 30, 2329. [Google Scholar] [CrossRef] [PubMed]
- Ansari, M.; Montazeri, M.; Daryani, A.; Farshadfar, K.; Emami, S. Synthesis and in Vitro Anti-Toxoplasma gondii Activity of a New Series of Aryloxyacetophenone Thiosemicarbazones. Mol. Divers. 2020, 24, 1223–1234. [Google Scholar] [CrossRef]
- Bekier, A.; Węglińska, L.; Paneth, A.; Paneth, P.; Dzitko, K. 4-Arylthiosemicarbazide Derivatives as a New Class of Tyrosinase Inhibitors and Anti-Toxoplasma gondii Agents. J. Enzyme Inhib. Med. Chem. 2021, 36, 1145–1164. [Google Scholar] [CrossRef]
- de Aquino, T.M.; Liesen, A.P.; da Silva, R.E.A.; Lima, V.T.; Carvalho, C.S.; de Faria, A.R.; de Araújo, J.M.; de Lima, J.G.; Alves, A.J.; de Melo, E.J.T.; et al. Synthesis, Anti-Toxoplasma gondii and Antimicrobial Activities of Benzaldehyde 4-Phenyl-3-Thiosemicarbazones and 2-[(Phenylmethylene)Hydrazono]-4-Oxo-3-Phenyl-5-Thiazolidineacetic Acids. Bioorg. Med. Chem. 2008, 16, 446–456. [Google Scholar] [CrossRef]
- Dzitko, K.; Paneth, A.; Plech, T.; Pawełczyk, J.; Staczek, P.; Stefańska, J.; Paneth, P. 1,4-Disubstituted Thiosemicarbazide Derivatives Are Potent Inhibitors of Toxoplasma Gondii Proliferation. Molecules 2014, 19, 9926–9943. [Google Scholar] [CrossRef]
- Gomes, M.A.G.B.; Carvalho, L.P.; Rocha, B.S.; Oliveira, R.R.; De Melo, E.J.T.; Maria, E.J. Evaluating Anti-Toxoplasma gondii Activity of New Serie of Phenylsemicarbazone and Phenylthiosemicarbazones in Vitro. Med. Chem. Res. 2013, 22, 3574–3580. [Google Scholar] [CrossRef]
- Tenório, R.P.; Carvalho, C.S.; Pessanha, C.S.; De Lima, J.G.; De Faria, A.R.; Alves, A.J.; De Melo, E.J.T.; Góes, A.J.S. Synthesis of Thiosemicarbazone and 4-Thiazolidinone Derivatives and Their in Vitro Anti-Toxoplasma Gondii Activity. Bioorg. Med. Chem. Lett. 2005, 15, 2575–2578. [Google Scholar] [CrossRef]
- Węglińska, L.; Bekier, A.; Trotsko, N.; Kaproń, B.; Plech, T.; Dzitko, K.; Paneth, A. Inhibition of Toxoplasma gondii by 1,2,4-Triazole-Based Compounds: Marked Improvement in Selectivity Relative to the Standard Therapy Pyrimethamine and Sulfadiazine. J. Enzyme Inhib. Med. Chem. 2022, 37, 2621–2634. [Google Scholar] [CrossRef]
- Paneth, A.; Weglinska, L.; Bekier, A.; Stefaniszyn, E.; Wujec, M.; Trotsko, N.; Dzitko, K. Systematic Identification of Thiosemicarbazides for Inhibition of Toxoplasma gondii Growth In Vitro. Molecules 2019, 24, 614. [Google Scholar] [CrossRef]
- Faa, G.; Gerosa, C.; Fanni, D.; Lachowicz, J.I.; Nurchi, V.M. Gold-Old Drug with New Potentials. Curr. Med. Chem. 2017, 25, 75–84. [Google Scholar] [CrossRef]
- Liu, Y.; Lu, Y.; Xu, Z.; Ma, X.; Chen, X.; Liu, W. Repurposing of the Gold Drug Auranofin and a Review of Its Derivatives as Antibacterial Therapeutics. Drug Discov. Today 2022, 27, 1961–1973. [Google Scholar] [CrossRef]
- Andrade, R.M.; Chaparro, J.D.; Capparelli, E.; Reed, S.L. Auranofin Is Highly Efficacious against Toxoplasma gondii In Vitro and in an In Vivo Experimental Model of Acute Toxoplasmosis. PLoS Negl. Trop. Dis. 2014, 8, e2973. [Google Scholar] [CrossRef]
- Nonato Rabelo, R.A.; Rodrigues de Assis, D.R.; Almeida Oliveira, A.; Nascimento Barbosa, C.L.; das Dores Pereira, R.; Wagner de Almeida Vitor, R.; Bento Régis, W.C.; Martins Teixeira, M.; Beraldo, H.; Simão Machado, F. Potent Anti-Toxoplasma gondii Activity of 4-Chlorophenylthioacetone-Derived Thiosemicarbazones: Involvement of CCR2 and CCR5 Receptors and 5-Lipoxygenase in the Mode of Action. Med. Drug Discov. 2023, 18, 100157. [Google Scholar] [CrossRef]
- Semeraro, M.; Boubaker, G.; Scaccaglia, M.; Müller, J.; Vigneswaran, A.; Hänggeli, K.P.A.; Amdouni, Y.; Kramer, L.H.; Vismarra, A.; Genchi, M.; et al. Transient Adaptation of Toxoplasma gondii to Exposure by Thiosemicarbazone Drugs That Target Ribosomal Proteins Is Associated with the Upregulated Expression of Tachyzoite Transmembrane Proteins and Transporters. Int. J. Mol. Sci. 2024, 25, 9067. [Google Scholar] [CrossRef] [PubMed]
- Boubaker, G.; Bernal, A.; Vigneswaran, A.; Imhof, D.; de Sousa, M.C.F.; Hänggeli, K.P.A.; Haudenschild, N.; Furrer, J.; Păunescu, E.; Desiatkina, O.; et al. In Vitro and in Vivo Activities of a Trithiolato-DiRuthenium Complex Conjugated with Sulfadoxine against the Apicomplexan Parasite Toxoplasma gondii. Int. J. Parasitol. Drugs Drug Resist. 2024, 25, 10544. [Google Scholar] [CrossRef] [PubMed]
- Sánchez-Sánchez, R.; Ferre, I.; Regidor-Cerrillo, J.; Gutiérrez-Expósito, D.; Ferrer, L.M.; Arteche-Villasol, N.; Moreno-Gonzalo, J.; Müller, J.; Aguado-Martínez, A.; Pérez, V.; et al. Virulence in Mice of a Toxoplasma gondii Type II Isolate Does Not Correlate With the Outcome of Experimental Infection in Pregnant Sheep. Front. Cell. Infect. Microbiol. 2019, 9, 436. [Google Scholar] [CrossRef] [PubMed]
- Anghel, N.; Winzer, P.A.; Imhof, D.; Müller, J.; Langa, X.; Rieder, J.; Barrett, L.K.; Vidadala, R.S.R.; Huang, W.; Choi, R.; et al. Comparative Assessment of the Effects of Bumped Kinase Inhibitors on Early Zebrafish Embryo Development and Pregnancy in Mice. Int. J. Antimicrob. Agents 2020, 56, 106099. [Google Scholar] [CrossRef]
- Hänggeli, K.P.A.; Hemphill, A.; Müller, N.; Schimanski, B.; Olias, P.; Müller, J.; Boubaker, G. Single- and Duplex TaqMan-Quantitative PCR for Determining the Copy Numbers of Integrated Selection Markers during Sitespecific Mutagenesis in Toxoplasma gondii by CRISPR-Cas9. PLoS ONE 2022, 17, e271011. [Google Scholar] [CrossRef]
- Costa, J.-M.; Pautas, C.; Ernault, P.; Foulet, F.; Cordonnier, C.; Bretagne, A.S. Real-Time PCR for Diagnosis and Follow-Up of Toxoplasma Reactivation After Allogeneic Stem Cell Transplantation Using Fluorescence Resonance Energy Transfer Hybridization Probes. J. Clin. Microbiol. 2000, 38, 2929–2932. [Google Scholar] [CrossRef]
- Ribeiro, S.K.; Mariano, I.M.; Cunha, A.C.R.; Pajuaba, A.C.A.M.; Mineo, T.W.P.; Mineo, J.R. Treatment Protocols for Gestational and Congenital Toxoplasmosis: A Systematic Review and Meta-Analysis. Microorganisms 2025, 13, 723. [Google Scholar] [CrossRef] [PubMed]
- Dubey, J.P.; Murata, F.H.A.; Cerqueira-Cézar, C.K.; Kwok, O.C.H.; Villena, I. Congenital Toxoplasmosis in Humans: An Update of Worldwide Rate of Congenital Infections. Parasitology 2021, 148, 1406–1416. [Google Scholar] [CrossRef] [PubMed]
- de Sousa, M.C.F.; Imhof, D.; Hänggeli, K.P.A.; Choi, R.; Hulverson, M.A.; Arnold, S.L.M.; Van Voorhis, W.C.; Fan, E.; Roberto, S.S.; Ortega-Mora, L.M.; et al. Efficacy of the Bumped Kinase Inhibitor BKI-1708 against the Cyst-Forming Apicomplexan Parasites Toxoplasma gondii and Neospora caninum in Vitro and in Experimentally Infected Mice. Int. J. Parasitol. Drugs Drug Resist. 2024, 25, 100553. [Google Scholar] [CrossRef]
- Tian, X.; Li, J.; Zamek-Gliszczynski, M.J.; Bridges, A.S.; Zhang, P.; Patel, N.J.; Raub, T.J.; Pollack, G.M.; Brouwer, K.L.R. Roles of P-Glycoprotein, Bcrp, and Mrp2 in Biliary Excretion of Spiramycin in Mice. Antimicrob. Agents Chemother. 2007, 51, 3230–3234. [Google Scholar] [CrossRef]
- Grover, A.; Benet, L.Z. Effects of Drug Transporters on Volume of Distribution. AAPS J. 2009, 11, 250–261. [Google Scholar] [CrossRef]
- Subauste, S.C.; Hubal, A. Animal Models for Toxoplasma gondii Infection. Curr. Protoc. 2023, 3, e871. [Google Scholar] [CrossRef]
- Chiebao, D.P.; Bartley, P.M.; Chianini, F.; Black, L.E.; Burrells, A.; Pena, H.F.J.; Soares, R.M.; Innes, E.A.; Katzer, F. Early Immune Responses and Parasite Tissue Distribution in Mice Experimentally Infected with Oocysts of Either Archetypal or Non-Archetypal Genotypes of Toxoplasma gondii. Parasitology 2021, 148, 464–476. [Google Scholar] [CrossRef]
- Konstantinovic, N.; Guegan, H.; Stäjner, T.; Belaz, S.; Robert-Gangneux, F. Treatment of Toxoplasmosis: Current Options and Future Perspectives. Food Waterborne Parasitol. 2019, 15, e00036. [Google Scholar] [CrossRef]
- Sun, W.; Sanderson, P.E.; Zheng, W. Drug Combination Therapy Increases Successful Drug Repositioning. Drug Discov. Today 2016, 21, 1189–1195. [Google Scholar] [CrossRef]
- Dunay, I.R.; Wing, C.C.; Haynes, R.K.; Sibley, L.D. Artemisone and Artemiside Control Acute and Reactivated Toxoplasmosis in a Murine Model. Antimicrob. Agents Chemother. 2009, 53, 4450–4456. [Google Scholar] [CrossRef] [PubMed]
- Schlange, C.; Müller, J.; Imhof, D.; Hänggeli, K.P.A.; Boubaker, G.; Ortega-Mora, L.-M.; Wong, H.N.; Haynes, R.K.; Van Voorhis, W.C.; Hemphill, A. Single and Combination Treatment of Toxoplasma gondii Infections with a Bumped Kinase Inhibitor and Artemisone in Vitro and with Artemiside in Experimentally Infected Mice. Exp. Parasitol. 2023, 255, 108655. [Google Scholar] [CrossRef] [PubMed]
- Anghel, N.; Imhof, D.; Winzer, P.; Balmer, V.; Ramseier, J.; Haenggeli, K.; Choi, R.; Hulverson, M.A.; Whitman, G.R.; Arnold, S.L.M.; et al. Endochin-like Quinolones (ELQs) and Bumped Kinase Inhibitors (BKIs): Synergistic and Additive Effects of Combined Treatments against Neospora caninum Infection in Vitro and in Vivo. Int. J. Parasitol. Drugs Drug Resist. 2021, 17, 92–106. [Google Scholar] [CrossRef] [PubMed]
- Hall, I.H.; Lackey, C.B.; Kistler, T.D.; Durham, R.W., Jr.; Jouad, E.M.; Khan, M.A.; Thanh, X.D.; Djebbar-Sid, S.; Benali-Baitich, O.; Bouet, G.M. Cytotoxicity of Copper and Cobalt Complexes of Furfural Semicarbazone and Thiosemicarbazone Derivatives in Murine and Human Tumor Cell Lines. Pharmazie 2000, 55, 937–941. [Google Scholar] [CrossRef]
- Lin, Y.; Ong, Y.C.; Keller, S.; Karges, J.; Bouchene, R.; Manoury, E.; Blacque, O.; Müller, J.; Anghel, N.; Hemphill, A.; et al. Synthesis, Characterization and Antiparasitic Activity of Organometallic Derivatives of the Anthelmintic Drug Albendazole. Dalton Trans. 2020, 49, 6616–6626. [Google Scholar] [CrossRef]


Disclaimer/Publisher’s Note: The statements, opinions and data contained in all publications are solely those of the individual author(s) and contributor(s) and not of MDPI and/or the editor(s). MDPI and/or the editor(s) disclaim responsibility for any injury to people or property resulting from any ideas, methods, instructions or products referred to in the content. |
© 2025 by the authors. Licensee MDPI, Basel, Switzerland. This article is an open access article distributed under the terms and conditions of the Creative Commons Attribution (CC BY) license (https://creativecommons.org/licenses/by/4.0/).
Share and Cite
Semeraro, M.; Boubaker, G.; Scaccaglia, M.; Imhof, D.; de Sousa, M.C.F.; Hänggeli, K.P.A.; Löwe, A.; Genchi, M.; Kramer, L.H.; Vismarra, A.; et al. In Vivo Safety and Efficacy of Thiosemicarbazones in Experimental Mice Infected with Toxoplasma gondii Oocysts. Biomedicines 2025, 13, 1879. https://doi.org/10.3390/biomedicines13081879
Semeraro M, Boubaker G, Scaccaglia M, Imhof D, de Sousa MCF, Hänggeli KPA, Löwe A, Genchi M, Kramer LH, Vismarra A, et al. In Vivo Safety and Efficacy of Thiosemicarbazones in Experimental Mice Infected with Toxoplasma gondii Oocysts. Biomedicines. 2025; 13(8):1879. https://doi.org/10.3390/biomedicines13081879
Chicago/Turabian StyleSemeraro, Manuela, Ghalia Boubaker, Mirco Scaccaglia, Dennis Imhof, Maria Cristina Ferreira de Sousa, Kai Pascal Alexander Hänggeli, Anitha Löwe, Marco Genchi, Laura Helen Kramer, Alice Vismarra, and et al. 2025. "In Vivo Safety and Efficacy of Thiosemicarbazones in Experimental Mice Infected with Toxoplasma gondii Oocysts" Biomedicines 13, no. 8: 1879. https://doi.org/10.3390/biomedicines13081879
APA StyleSemeraro, M., Boubaker, G., Scaccaglia, M., Imhof, D., de Sousa, M. C. F., Hänggeli, K. P. A., Löwe, A., Genchi, M., Kramer, L. H., Vismarra, A., Pelosi, G., Bisceglie, F., Ortega-Mora, L. M., Müller, J., & Hemphill, A. (2025). In Vivo Safety and Efficacy of Thiosemicarbazones in Experimental Mice Infected with Toxoplasma gondii Oocysts. Biomedicines, 13(8), 1879. https://doi.org/10.3390/biomedicines13081879

