Assessing the Clinical Relevance of Soluble PD-1 and PD-L1: A Multi-Cohort Study Across Diverse Tumor Types and Prognostic Implications
Abstract
1. Introduction
2. Materials and Methods
2.1. Patient Selection and Ethics Statement
2.2. ELISA
2.3. Statistical Analysis
3. Results
3.1. Study Population Overview
3.2. Diagnostic Significance of sPD-1 and sPD-L1
3.3. Gynecological Cancers
3.3.1. Breast Cancer
3.3.2. Ovarian Cancer
3.4. Immunogenic Tumors
Renal Cancer
3.5. Rare Tumors
Bone Tumors
3.6. Gastrointestinal Cancer
3.6.1. Gastric Cancer
3.6.2. Colorectal Cancer (CRC)
3.6.3. Prognostic Significance of sPD-1 and sPD-L1
3.7. Correlation Analysis
4. Discussion
5. Study Limitations
6. Conclusions
Supplementary Materials
Author Contributions
Funding
Institutional Review Board Statement
Informed Consent Statement
Data Availability Statement
Conflicts of Interest
References
- Wojtukiewicz, M.Z.; Rek, M.M.; Karpowicz, K.; Górska, M.; Polityńska, B.; Wojtukiewicz, A.M.; Moniuszko, M.; Radziwon, P.; Tucker, S.C.; Honn, K.V. Inhibitors of immune checkpoints—PD-1, PD-L1, CTLA-4—New opportunities for cancer patients and a new challenge for internists and general practitioners. Cancer Metastasis Rev. 2021, 40, 949–982. [Google Scholar] [CrossRef] [PubMed]
- Festino, L.; Botti, G.; Lorigan, P.; Masucci, G.V.; Hipp, J.D.; Horak, C.E.; Melero, I.; Ascierto, P.A. Cancer Treatment with Anti-PD-1/PD-L1 Agents: Is PD-L1 Expression a Biomarker for Patient Selection? Drugs 2016, 76, 925–945. [Google Scholar] [CrossRef]
- Zheng, D.; Hou, X.; Yu, J.; He, X. Combinatorial Strategies with PD-1/PD-L1 Immune Checkpoint Blockade for Breast Cancer Therapy: Mechanisms and Clinical Outcomes. Front. Pharmacol. 2022, 13, 928369. [Google Scholar] [CrossRef]
- Xin Yu, J.; Hubbard-Lucey, V.M.; Tang, J. Immuno-oncology drug development goes global. Nat. Rev. Drug Discov. 2019, 18, 899–900. [Google Scholar] [CrossRef]
- Sharpe, A.H.; Wherry, E.J.; Ahmed, R.; Freeman, G.J. The function of programmed cell death 1 and its ligands in regulating autoimmunity and infection. Nat. Immunol. 2007, 8, 239–245. [Google Scholar] [CrossRef] [PubMed]
- Ji, M.; Liu, Y.; Li, Q.; Li, X.D.; Zhao, W.Q.; Zhang, H.; Zhang, X.; Jiang, J.T.; Wu, C.P. PD-1/PD-L1 pathway in non-small-cell lung cancer and its relation with EGFR mutation. J. Transl. Med. 2015, 13, 5. [Google Scholar] [CrossRef] [PubMed]
- Abiko, K.; Matsumura, N.; Hamanishi, J.; Horikawa, N.; Murakami, R.; Yamaguchi, K.; Yoshioka, Y.; Baba, T.; Konishi, I.; Mandai, M. IFN-γ from lymphocytes induces PD-L1 expression and promotes progression of ovarian cancer. Br. J. Cancer 2015, 112, 1501–1509. [Google Scholar] [CrossRef] [PubMed]
- Falcinelli, M.; Al-Hity, G.; Baron, S.; Mampay, M.; Allen, M.C.; Samuels, M.; Jones, W.; Cilibrasi, C.; Flaherty, R.L.; Giamas, G.; et al. Propranolol reduces IFN-gamma driven PD-L1 immunosuppression and improves anti-tumour immunity in ovarian cancer. Brain Behav. Immun. 2023, 110, 1–12. [Google Scholar] [CrossRef] [PubMed]
- Han, Y.; Liu, D.; Li, L. PD-1/PD-L1 pathway: Current researches in cancer. Am. J. Cancer Res. 2020, 10, 727–742. [Google Scholar] [PubMed]
- Schoniger, S.; Jasani, B. The PD-1/PD-L1 Pathway: A Perspective on Comparative Immuno-Oncology. Animals 2022, 12, 2661. [Google Scholar] [CrossRef]
- Liu, S.; Zhu, Y.; Zhang, C.; Meng, X.; Sun, B.; Zhang, G.; Fan, Y.; Kang, X. The Clinical Significance of Soluble Programmed Cell Death-Ligand 1 (sPD-L1) in Patients with Gliomas. Front. Oncol. 2020, 10, 9. [Google Scholar] [CrossRef] [PubMed]
- Jovanovic, D.; Roksandic Milenkovic, M.; Kotur Stevuljevic, J.; Markovic, J.; Ceriman, V.; Kontic, M.; Skodric Trifunovic, V. Membrane PD-L1 expression and soluble PD-L1 plasma levels in idiopathic pulmonary fibrosis-a pilot study. J. Thorac. Dis. 2018, 10, 6660–6669. [Google Scholar] [CrossRef] [PubMed]
- Okuyama, M.; Mezawa, H.; Kawai, T.; Urashima, M. Elevated Soluble PD-L1 in Pregnant Women’s Serum Suppresses the Immune Reaction. Front. Immunol. 2019, 10, 86. [Google Scholar] [CrossRef] [PubMed]
- Khan, M.; Zhao, Z.; Arooj, S.; Fu, Y.; Liao, G. Soluble PD-1: Predictive, Prognostic, and Therapeutic Value for Cancer Immunotherapy. Front. Immunol. 2020, 11, 587460. [Google Scholar] [CrossRef] [PubMed]
- Bailly, C.; Thuru, X.; Quesnel, B. Soluble Programmed Death Ligand-1 (sPD-L1): A Pool of Circulating Proteins Implicated in Health and Diseases. Cancers 2021, 13, 3034. [Google Scholar] [CrossRef] [PubMed]
- Orme, J.J.; Jazieh, K.A.; Xie, T.; Harrington, S.; Liu, X.; Ball, M.; Madden, B.; Charlesworth, M.C.; Azam, T.U.; Lucien, F.; et al. ADAM10 and ADAM17 cleave PD-L1 to mediate PD-(L)1 inhibitor resistance. Oncoimmunology 2020, 9, 1744980. [Google Scholar] [CrossRef]
- Abu Hejleh, T.; Furqan, M.; Ballas, Z.; Clamon, G. The clinical significance of soluble PD-1 and PD-L1 in lung cancer. Crit. Rev. Oncol./Hematol. 2019, 143, 148–152. [Google Scholar] [CrossRef]
- Niu, M.; Liu, Y.; Yi, M.; Jiao, D.; Wu, K. Biological Characteristics and Clinical Significance of Soluble PD-1/PD-L1 and Exosomal PD-L1 in Cancer. Front. Immunol. 2022, 13, 827921. [Google Scholar] [CrossRef] [PubMed]
- Ahmad, C.; Alfonso, L.; Hong, Z.; Jeffrey, E.; Sally, A.; Arash, M.; Albitar, M. Expression of alternatively spliced PD-L1 RNA with skipping of transmembrane domain. J. Clin. Oncol. 2024, 42, e14596. [Google Scholar] [CrossRef]
- Kashiwada, T.; Takano, R.; Ando, F.; Kuroda, S.; Miyabe, Y.; Ryuji, O.; Miyanaga, A.; Asatsuma-Okumura, T.; Hashiguchi, M.; Kanazawa, Y.; et al. Lysosomal degradation of PD-L1 is associated with immune-related adverse events during anti-PD-L1 immunotherapy in NSCLC patients. Front. Pharmacol. 2024, 15, 1384733. [Google Scholar] [CrossRef]
- Larrinaga, G.; Solano-Iturri, J.D.; Errarte, P.; Unda, M.; Loizaga-Iriarte, A.; Perez-Fernandez, A.; Echevarria, E.; Asumendi, A.; Manini, C.; Angulo, J.C.; et al. Soluble PD-L1 Is an Independent Prognostic Factor in Clear Cell Renal Cell Carcinoma. Cancers 2021, 13, 667. [Google Scholar] [CrossRef] [PubMed]
- Cinque, A.; Capasso, A.; Vago, R.; Lee, M.W.; Floris, M.; Trevisani, F. The Role of Circulating Biomarkers in the Oncological Management of Metastatic Renal Cell Carcinoma: Where Do We Stand Now? Biomedicines 2021, 10, 90. [Google Scholar] [CrossRef] [PubMed]
- Wakita, N.; Hinata, N.; Bando, Y.; Hara, T.; Terakawa, T.; Furukawa, J.; Nakano, Y.; Fujisawa, M. Prognostic Value of Serum Soluble PD-L1 in Metastatic Renal Cell Carcinoma Patients Treated with Nivolumab. Anticancer Res. 2023, 43, 841–847. [Google Scholar] [CrossRef] [PubMed]
- Fanale, D.; Brando, C.; Corsini, L.R.; Cutaia, S.; Di Donna, M.C.; Randazzo, U.; Filorizzo, C.; Lisanti, C.; Magrin, L.; Gurrera, V.; et al. Low plasma PD-L1 levels, early tumor onset and absence of peritoneal carcinomatosis improve prognosis of women with advanced high-grade serous ovarian cancer. BMC Cancer 2023, 23, 437. [Google Scholar] [CrossRef] [PubMed]
- Swiderska, J.; Kozlowski, M.; Nowak, K.; Rychlicka, M.; Branecka-Wozniak, D.; Kwiatkowski, S.; Pius-Sadowska, E.; Machalinski, B.; Cymbaluk-Ploska, A. Clinical Relevance of Soluble Forms of Immune Checkpoint Molecules sPD-1, sPD-L1, and sCTLA-4 in the Diagnosis and Prognosis of Ovarian Cancer. Diagnostics 2022, 12, 189. [Google Scholar] [CrossRef] [PubMed]
- Buderath, P.; Schwich, E.; Jensen, C.; Horn, P.A.; Kimmig, R.; Kasimir-Bauer, S.; Rebmann, V. Soluble Programmed Death Receptor Ligands sPD-L1 and sPD-L2 as Liquid Biopsy Markers for Prognosis and Platinum Response in Epithelial Ovarian Cancer. Front. Oncol. 2019, 9, 1015. [Google Scholar] [CrossRef] [PubMed]
- Gershtein, E.S.; Utkin, D.O.; Goryacheva, I.O.; Khulamkhanova, M.M.; Petrikova, N.A.; Vinogradov, I.I.; Alferov, A.A.; Stilidi, I.S.; Kushlinskii, N.E. Soluble forms of immune checkpoint receptor PD-1 and its ligand PD-L1 in plasma of patients with ovarian neoplasms. Alʹm. Klin. Med. 2018, 46, 690–698. [Google Scholar] [CrossRef]
- Han, B.; Dong, L.; Zhou, J.; Yang, Y.; Guo, J.; Xuan, Q.; Gao, K.; Xu, Z.; Lei, W.; Wang, J.; et al. The clinical implication of soluble PD-L1 (sPD-L1) in patients with breast cancer and its biological function in regulating the function of T lymphocyte. Cancer Immunol. Immunother. CII 2021, 70, 2893–2909. [Google Scholar] [CrossRef]
- Ying, H.; Zhang, X.; Duan, Y.; Lao, M.; Xu, J.; Yang, H.; Liang, T.; Bai, X. Non-cytomembrane PD-L1: An atypical target for cancer. Pharmacol. Res. 2021, 170, 105741. [Google Scholar] [CrossRef]
- Mehan, A.; Anthony, M.L.; Paul, P.; Syed, A.; Chowdhury, N.; Rao, S.; Hussain, N.; Ravi, B. Expression of Programmed Cell Death-1 (PD-1) and Its Ligand (PD-L1) in Breast Cancers and Its Association with Clinicopathological Parameters. J. Lab. Physicians 2022, 14, 27–31. [Google Scholar] [CrossRef]
- Saastad, S.A.; Skjervold, A.H.; Ytterhus, B.; Engstrom, M.J.; Bofin, A.M. PD-L1 protein expression in breast cancer. J. Clin. Pathol. 2024, 77, 730–736. [Google Scholar] [CrossRef]
- Kawakami, H.; Sunakawa, Y.; Inoue, E.; Matoba, R.; Noda, K.; Sato, T.; Suminaka, C.; Yamaki, M.; Sakamoto, Y.; Kawabata, R.; et al. Soluble programmed cell death ligand 1 predicts prognosis for gastric cancer patients treated with nivolumab: Blood-based biomarker analysis for the DELIVER trial. Eur. J. Cancer 2023, 184, 10–20. [Google Scholar] [CrossRef] [PubMed]
- Shao, W.; Xu, Y.; Lin, S.; Gao, J.; Gao, J.; Wang, H. The potential of soluble programmed death-ligand 1 (sPD-L1) as a diagnosis marker for colorectal cancer. Front. Oncol. 2022, 12, 988567. [Google Scholar] [CrossRef] [PubMed]
- He, Y.; Zhang, X.; Zhu, M.; He, W.; Hua, H.; Ye, F.; Zhou, X.; Chen, N.; Li, Y.; Zhong, W.; et al. Soluble PD-L1: A potential dynamic predictive biomarker for immunotherapy in patients with proficient mismatch repair colorectal cancer. J. Transl. Med. 2023, 21, 25. [Google Scholar] [CrossRef] [PubMed]
- Dank, M.; Muhl, D.; Herold, M.; Hornyak, L.; Szasz, A.M.; Herold, Z. Does Elevated Pre-Treatment Plasma PD-L1 Level Indicate an Increased Tumor Burden and Worse Prognosis in Metastatic Colorectal Cancer? J. Clin. Med. 2022, 11, 4815. [Google Scholar] [CrossRef]
- Tominaga, T.; Akiyoshi, T.; Yamamoto, N.; Taguchi, S.; Mori, S.; Nagasaki, T.; Fukunaga, Y.; Ueno, M. Clinical significance of soluble programmed cell death-1 and soluble programmed cell death-ligand 1 in patients with locally advanced rectal cancer treated with neoadjuvant chemoradiotherapy. PLoS ONE 2019, 14, e0212978. [Google Scholar] [CrossRef] [PubMed]
- Leite, K.R.; Reis, S.T.; Junior, J.P.; Zerati, M.; Gomes Dde, O.; Camara-Lopes, L.H.; Srougi, M. PD-L1 expression in renal cell carcinoma clear cell type is related to unfavorable prognosis. Diagn. Pathol. 2015, 10, 189. [Google Scholar] [CrossRef] [PubMed]
- Li, J.; Wang, P.; Xu, Y. Prognostic value of programmed cell death ligand 1 expression in patients with head and neck cancer: A systematic review and meta-analysis. PLoS ONE 2017, 12, e0179536. [Google Scholar] [CrossRef]
- Krafft, U.; Olah, C.; Reis, H.; Kesch, C.; Darr, C.; Grunwald, V.; Tschirdewahn, S.; Hadaschik, B.; Horvath, O.; Kenessey, I.; et al. High Serum PD-L1 Levels Are Associated with Poor Survival in Urothelial Cancer Patients Treated with Chemotherapy and Immune Checkpoint Inhibitor Therapy. Cancers 2021, 13, 2548. [Google Scholar] [CrossRef]
- Kushlinskii, N.E.; Alferov, A.A.; Boulytcheva, I.V.; Timofeev, Y.S.; Korotkova, E.A.; Khvan, O.T.; Kuzmin, Y.B.; Kuznetsov, I.N.; Bondarev, A.V.; Shchupak, M.Y.; et al. Comparative analysis of the levels of soluble forms of receptor and ligand of the immunity control point PD-1/PD-L1 in the blood serum of patients with typical bone osteosarcoma and chondrosarcoma. Klin. Lab. Diagn. 2020, 65, 669–675. [Google Scholar] [CrossRef]
- Kushlinskii, N.E.; Alferov, A.A.; Timofeev, Y.S.; Gershtein, E.S.; Bulycheva, I.V.; Bondarev, A.V.; Shchupak, M.Y.; Sokolov, N.Y.; Polikarpova, S.B.; Efimova, M.M.; et al. Key Immune Checkpoint PD-1/PD-L1 Signaling Pathway Components in the Blood Serum from Patients with Bone Tumors. Bull. Exp. Biol. Med. 2020, 170, 64–68. [Google Scholar] [CrossRef] [PubMed]
- Kim, J.H.; Cho, H.W.; Park, E.Y.; Han, K.H.; Kim, E.T.; Lee, J.K.; Park, S.Y.; Armbrust, R.; Fotopoulou, C.; Lim, M.C. Prognostic value of CA125 kinetics, half-life, and nadir in the treatment of epithelial ovarian cancer: A systematic review and meta-analysis. Int. J. Gynecol. Cancer 2023, 33, 1913–1920. [Google Scholar] [CrossRef] [PubMed]
- Jia, J.; Zhang, P.; Gou, M.; Yang, F.; Qian, N.; Dai, G. The Role of Serum CEA and CA19-9 in Efficacy Evaluations and Progression-Free Survival Predictions for Patients Treated with Cetuximab Combined with FOLFOX4 or FOLFIRI as a First-Line Treatment for Advanced Colorectal Cancer. Dis. Markers 2019, 2019, 6812045. [Google Scholar] [CrossRef] [PubMed]
- Dornbusch, J.; Zacharis, A.; Meinhardt, M.; Erdmann, K.; Wolff, I.; Froehner, M.; Wirth, M.P.; Zastrow, S.; Fuessel, S. Analyses of potential predictive markers and survival data for a response to sunitinib in patients with metastatic renal cell carcinoma. PLoS ONE 2013, 8, e76386. [Google Scholar] [CrossRef] [PubMed]
- Garcia-Donas, J.; Leandro-Garcia, L.J.; Gonzalez Del Alba, A.; Morente, M.; Alemany, I.; Esteban, E.; Arranz, J.A.; Climent, M.A.; Gallardo, E.; Castellano, D.E.; et al. Prospective study assessing hypoxia-related proteins as markers for the outcome of treatment with sunitinib in advanced clear-cell renal cell carcinoma. Ann. Oncol. Off. J. Eur. Soc. Med. Oncol./ESMO 2013, 24, 2409–2414. [Google Scholar] [CrossRef] [PubMed]






| sPD-1, pg/mL Median (IQR) | sPD-L1, pg/mL Median (IQR) | |
|---|---|---|
| Colorectal cancer | 38.92 (29.96–51.99) | 6.78 (4.39–10.07) | 
| Gastric cancer | 11.82 (7.29–19.84) | 24.55 (9.71–73.1) | 
| Renal cancer | 58.78 (44.05–76.99) | 28.02 (12.18–43.79) | 
| Bone tumors | 47.88 (34.81–66.60) | 22.86 (17.55–33.01) | 
| Breast cancer | 7.28 (5.84–9.04) | 49.51 (39.1–81.86) | 
| Ovarian cancer | 48.20 (35.76–62.78) | 42.37 (17.21–83.09) | 
| Characteristic | sPD-1, pg/mL | sPD-L1, pg/mL | ||||
|---|---|---|---|---|---|---|
| Median | IQR | p | Median | IQR | p | |
| Age | ||||||
| ≤49 | 7.46 | 6.15–9.09 | 0.598 | 50.58 | 35.02–82.35 | 0.560 | 
| >49 | 7.19 | 5.50–9.09 | 48.33 | 39.42–60.17 | ||
| Histology | ||||||
| Luminal 1 | 6.81 | 5.28–9.39 | 1 vs. 2 > 0.9999 | 48.24 | 36.82–56.41 | 1 vs. 2 = 0.035 * | 
| HER2+ 2 | 8.42 | 6.28–8.86 | 1 vs. 3 = 0.349 | 96.18 | 65.60–313.10 | 1 vs. 3 = 0.419 | 
| TNBC 3 | 7.89 | 6.47–9.53 | 2 vs. 3 > 0.9999 | 51.53 | 42.66–86.32 | 2 vs. 3 = 0.311 | 
| Stage | ||||||
| II | 7.47 | 6.26–8.68 | 0.943 | 50.25 | 38.31–79.81 | 0.768 | 
| III | 7.17 | 5.80–9.54 | 48.52 | 39.10–81.86 | ||
| Tumor size | ||||||
| T1–T2 | 7.46 | 5.26–8.96 | 0.888 | 49.33 | 39.06–77.37 | 0.924 | 
| T3–T4 | 7.23 | 5.84–9.17 | 50.25 | 38.78–81.86 | ||
| Nodal status | ||||||
| N0 | 6.82 | 5.50–10.20 | 0.757 | 47.88 | 35.28–65.43 | 0.634 | 
| N+ | 7.46 | 5.84–9.04 | 50.63 | 39.10–82.05 | ||
| Grade | ||||||
| G2 | 7.18 | 5.40–9.17 | 0.316 | 49.42 | 37.74–70.70 | 0.305 | 
| G3 | 7.66 | 6.49–8.95 | 56.76 | 41.48–105.90 | ||
| Characteristic | sPD-1, pg/mL | sPD-L1, pg/mL | ||||
|---|---|---|---|---|---|---|
| Median | IQR | p | Median | IQR | p | |
| Age | ||||||
| ≤55 | 44.93 | 35.75–58.00 | 0.122 | 43.33 | 24.69–81.99 | 0.519 | 
| >55 | 51.85 | 37.81–69.50 | 40.62 | 13.45–84.70 | ||
| Histology | ||||||
| Serous 1 | 48.09 | 37.38–64.48 | 1 vs. 2 > 0.9999 | 42.25 | 15.74–87.58 | 1 vs. 2 > 0.9999 | 
| Mucinous 2 | 40.55 | 32.60–58.81 | 1 vs. 3 = 0.349 | 44.88 | 18.95–75.78 | 1 vs. 3 = 0.349 | 
| Endometrioid 3 | 50.14 | 34.88–70.12 | 2 vs. 3 > 0.9999 | 42.01 | 20.74–62.53 | 2 vs. 3 > 0.9999 | 
| Stage | ||||||
| I–II | 47.87 | 35.31–58.69 | 0.204 | 17.88 | 6.87–44.88 | <0.0001 * | 
| III–IV | 48.31 | 37.38–70.04 | 49.77 | 29.10–100.60 | ||
| Tumor size | ||||||
| T1–T2 | 47.87 | 35.08–59.05 | 0.252 | 20.41 | 7.03–46.87 | <0.0001 * | 
| T3–T4 | 48.31 | 37.61–69.50 | 49.77 | 27.65–101.80 | ||
| Nodal status | ||||||
| N0 | 48.09 | 35.65–63.27 | 0.703 | 42.01 | 15.74–80.03 | 0.061 | 
| N+ | 55.01 | 38.64–62.38 | 79.55 | 31.13–115.40 | ||
| Metastasis | ||||||
| M0 | 47.87 | 35.76–61.85 | 0.523 | 42.01 | 15.93–77.09 | 0.123 | 
| M+ | 55.23 | 31.05–78.81 | 81.99 | 23.60–99.35 | ||
| Grade | ||||||
| G1–G2 | 47.87 | 34.16–59.68 | 0.203 | 40.54 | 15.15–19.49 | 0.170 | 
| G3 | 50.33 | 38.53–67.91 | 44.41 | 69.00–100.60 | ||
| Characteristic | sPD-1, pg/mL | sPD-L1, pg/mL | ||||
|---|---|---|---|---|---|---|
| Median | IQR | p | Median | IQR | p | |
| Age | ||||||
| ≤60 | 58.24 | 44.34–80.50 | 0.998 | 34.04 | 13.81–48.09 | 0.006 * | 
| >60 | 61.96 | 41.80–74.84 | 18.08 | 8.45–34.50 | ||
| Gender | ||||||
| male | 60.63 | 45.84–79.86 | 0.258 | 32.55 | 12.18–46.92 | 0.022 * | 
| female | 53.88 | 38.62–74.80 | 17.88 | 8.45–37.08 | ||
| Histology | ||||||
| ccRCC | 55.37 | 40.62–72.64 | <0.0001 * | 26.84 | 12.10–41.16 | 0.386 | 
| nccRCC | 87.01 | 74.39–123.2 | 33.65 | 12.18–50.04 | ||
| Stage | ||||||
| I–II | 56.66 | 41.53–79.86 | 0.456 | 20.91 | 12.18–33.45 | 0.0004 * | 
| III–IV | 62.51 | 48.02–76.36 | 38.37 | 23.82–67.22 | ||
| Tumor size | ||||||
| T1–T2 | 56.15 | 42.4–76.97 | 0.358 | 24.26 | 12.18–33.26 | 0.023 * | 
| T3–T4 | 62.82 | 50.23–77.97 | 37.55 | 17.7–66.53 | ||
| Nodal status | ||||||
| N0 | 57.59 | 43.5–75.87 | 0.372 | 24.26 | 11.58–37.75 | 0.0016 * | 
| N+ | 64.65 | 48.47–86.66 | 42.62 | 32.09–77.17 | ||
| Metastasis | ||||||
| M0 | 58.42 | 41.82–80.34 | 0.775 | 24.87 | 11.01–38.37 | 0.009 * | 
| M+ | 62.82 | 51.18–67.16 | 40.67 | 30.34–54.61 | ||
| Grade | ||||||
| G1–G2 | 56.94 | 42.69–77.97 | 0.841 | 24.70 | 10.72–35.99 | 0.0451 * | 
| G3–G4 | 61.29 | 39.77–72.71 | 32.32 | 18.41–54.68 | ||
| Characteristic | sPD-1, pg/mL | sPD-L1, pg/mL | ||||
|---|---|---|---|---|---|---|
| Median | IQR | p | Median | IQR | p | |
| Age | ||||||
| ≤40 | 57.11 | 37.40–69.89 | 0.0246 * | 23.41 | 16.50–29.09 | 0.823 | 
| >40 | 40.70 | 25.19–57.94 | 18.08 | 17.57–38.12 | ||
| Gender | ||||||
| male | 52.02 | 37.34–67.78 | 0.0165 * | 24.24 | 15.28–33.07 | 0.917 | 
| female | 39.93 | 22.32–62.42 | 21.69 | 18.11–33.20 | ||
| Histology | 1 vs. 2 < 0.0001 * | 1 vs. 2 = 0.044 * | ||||
| Osteosarcoma 1 | 61.39 | 46.43–76.84 | 1 vs. 3 > 0.9999 | 18.96 | 14.16–26.40 | 1 vs. 3 > 0.9999 | 
| Chondrosarcoma 2 | 36.25 | 24.90–54.62 | 1 vs. 4 = 0.359 | 26.63 | 19.72–40.19 | 1 vs. 4 > 0.9999 | 
| Ewing’s sarcoma 3 | 60.86 | 47.88–68.95 | 2 vs. 3 = 0.086 | 25.77 | 18.88–45.32 | 2 vs. 3 > 0.9999 | 
| Chordoma 4 | 49.9 | 38.96–55.60 | 2 vs. 4 > 0.9999 | 18.67 | 12.74–24.53 | 2 vs. 4 = 0.134 | 
| 3 vs. 4 > 0.9999 | 3 vs. 4 > 0.9999 | |||||
| Stage | ||||||
| I 1 | 38.06 | 25.94–65.35 | 1 vs. 2 > 0.9999 | 35.62 | 19.62–47.09 | 1 vs. 2 = 0.237 | 
| II 2 | 47.88 | 35.53–64.15 | 1 vs. 3 > 0.9999 | 21.31 | 16.11–31.61 | 1 vs. 3 = 0.736 | 
| III–IV 3 | 55.47 | 23.99–80.42 | 2 vs. 3 > 0.9999 | 23.58 | 18.87–28.11 | 2 vs. 3 > 0.9999 | 
| Tumor size | ||||||
| T1 1 | 50.38 | 27.05–64.15 | 1 vs. 2 > 0.9999 | 21.11 | 18.13–39.03 | 1 vs. 2 > 0.9999 | 
| T2 2 | 47.88 | 36.25–66.22 | 1 vs. 3 > 0.9999 | 22.58 | 15.01–32.91 | 1 vs. 3 > 0.9999 | 
| T3 3 | 36.95 | 19.56–81.84 | 2 vs. 3 > 0.9999 | 26.24 | 20.19–33.82 | 2 vs. 3 = 0.909 | 
| Nodal status | ||||||
| N0 | 47.50 | 33.86–65.16 | 0.052 | 22.86 | 17.55–33.81 | 0.724 | 
| N+ | 84.98 | 56.80–98.73 | 29.88 | 18.67–41.09 | ||
| Metastasis | ||||||
| M0 | 47.50 | 30.85–65.16 | 0.166 | 23.96 | 17.55–36.34 | 0.221 | 
| M+ | 56.80 | 45.79–91.81 | 20.49 | 13.16–24.00 | ||
| Grade | ||||||
| G1–G2 | 38.76 | 24.97–60.95 | 0.0097 * | 26.24 | 20.00–40.69 | 0.0074 * | 
| G3 | 54.15 | 38.75–68.80 | 20.32 | 15.10–28.36 | ||
| Characteristic | sPD-1, pg/mL | sPD-L1, pg/mL | ||||
|---|---|---|---|---|---|---|
| Median | IQR | p | Median | IQR | p | |
| Age | ||||||
| ≤60 | 11.82 | 7.74–20.85 | 0.383 | 26.08 | 10.06–71.93 | 0.808 | 
| >60 | 11.84 | 5.71–17.17 | 16.62 | 9.11–75.10 | ||
| Gender | ||||||
| male | 10.63 | 6.31–18.17 | 0.213 | 31.76 | 10.85–81.81 | 0.028 * | 
| female | 13.07 | 7.74–20.51 | 13.55 | 6.47–50.96 | ||
| Histology | ||||||
| Adenocarcinoma | 11.57 | 7.71–20.55 | 0.426 | 17.23 | 7.31–72.27 | 0.049 * | 
| Signet ring cell carcinoma | 11.97 | 5.51–17.15 | 46.45 | 16.20–75.60 | ||
| Stage | ||||||
| I–II | 12.11 | 9.39–24.09 | 0.389 | 10.98 | 6.47–27.61 | 0.0011 * | 
| III–IV | 11.45 | 6.86–18.28 | 36.47 | 13.27–81.81 | ||
| Tumor size | ||||||
| T1–T2 | 15.62 | 10.18–26.00 | 0.028 * | 10.06 | 4.66–15.96 | 0.0003 * | 
| T3–T4 | 10.81 | 6.44–18.13 | 32.87 | 10.92–78.28 | ||
| Nodal status | ||||||
| N0 | 11.60 | 6.04–19.89 | 0.757 | 14.39 | 6.73–50.07 | 0.014 * | 
| N+ | 12.12 | 7.68–20.54 | 32.87 | 11.73–85.85 | ||
| Metastasis | ||||||
| M0 | 11.82 | 6.77–21.07 | 0.496 | 20.65 | 8.79–73.10 | 0.433 | 
| M+ | 11.45 | 8.26–16.94 | 32.87 | 14.50–71.06 | ||
| Grade | ||||||
| G1–G2 | 12.57 | 8.39–23.48 | 0.287 | 10.09 | 4.32–74.26 | 0.026 * | 
| G3 | 11.29 | 6.86–18.60 | 29.31 | 11.37–72.85 | ||
| Characteristic | sPD-1, pg/mL | sPD-L1, pg/mL | ||||
|---|---|---|---|---|---|---|
| Median | IQR | p | Median | IQR | p | |
| Age | ||||||
| ≤62 | 35.56 | 28.64–49.95 | 0.041 * | 6.15 | 3.93–9.05 | 0.808 | 
| >62 | 40.53 | 30.76–55.25 | 7.48 | 4.80–10.44 | ||
| Gender | ||||||
| male | 41.05 | 30.56–53.24 | 0.126 | 7.09 | 4.11–10.45 | 0.082 | 
| female | 35.72 | 28.87–51.89 | 6.64 | 4.13–9.20 | ||
| Localization | ||||||
| Left | 40.22 | 29.61–53.09 | 0.977 | 6.78 | 4.39–10.07 | 0.644 | 
| Right | 36.28 | 30.42–48.93 | 6.42 | 4.14–9.51 | ||
| Stage | ||||||
| I–II | 37.10 | 28.81–53.02 | 0.485 | 6.78 | 4.39–10.07 | 0.896 | 
| III–IV | 40.43 | 30.71–51.94 | 6.68 | 4.09–9.65 | ||
| Tumor size | ||||||
| T1–T2 | 44.47 | 31.01–57.049 | 0.201 | 5.95 | 4.26–8.95 | 0.089 | 
| T3–T4 | 37.11 | 29.79–51.18 | 7.24 | 4.41–10.12 | ||
| Nodal status | ||||||
| N0 | 37.10 | 28.81–53.02 | 0.508 | 6.78 | 4.44–10.11 | 0.478 | 
| N+ | 40.74 | 30.95–51.94 | 6.52 | 3.88–9.48 | ||
| Metastasis | ||||||
| M0 | 39.21 | 29.82–51.95 | 0.678 | 7.00 | 4.23–10.07 | 0.169 | 
| M+ | 37.09 | 30.20–50.86 | 5.55 | 3.79–9.49 | ||
| Grade | ||||||
| G1 | 45.90 | 31.01–59.99 | 0.016 * | 5.08 | 3.44–9.19 | 0.0046 * | 
| G2–G3 | 36.30 | 29.51–49.94 | 7.34 | 4.79–10.19 | ||
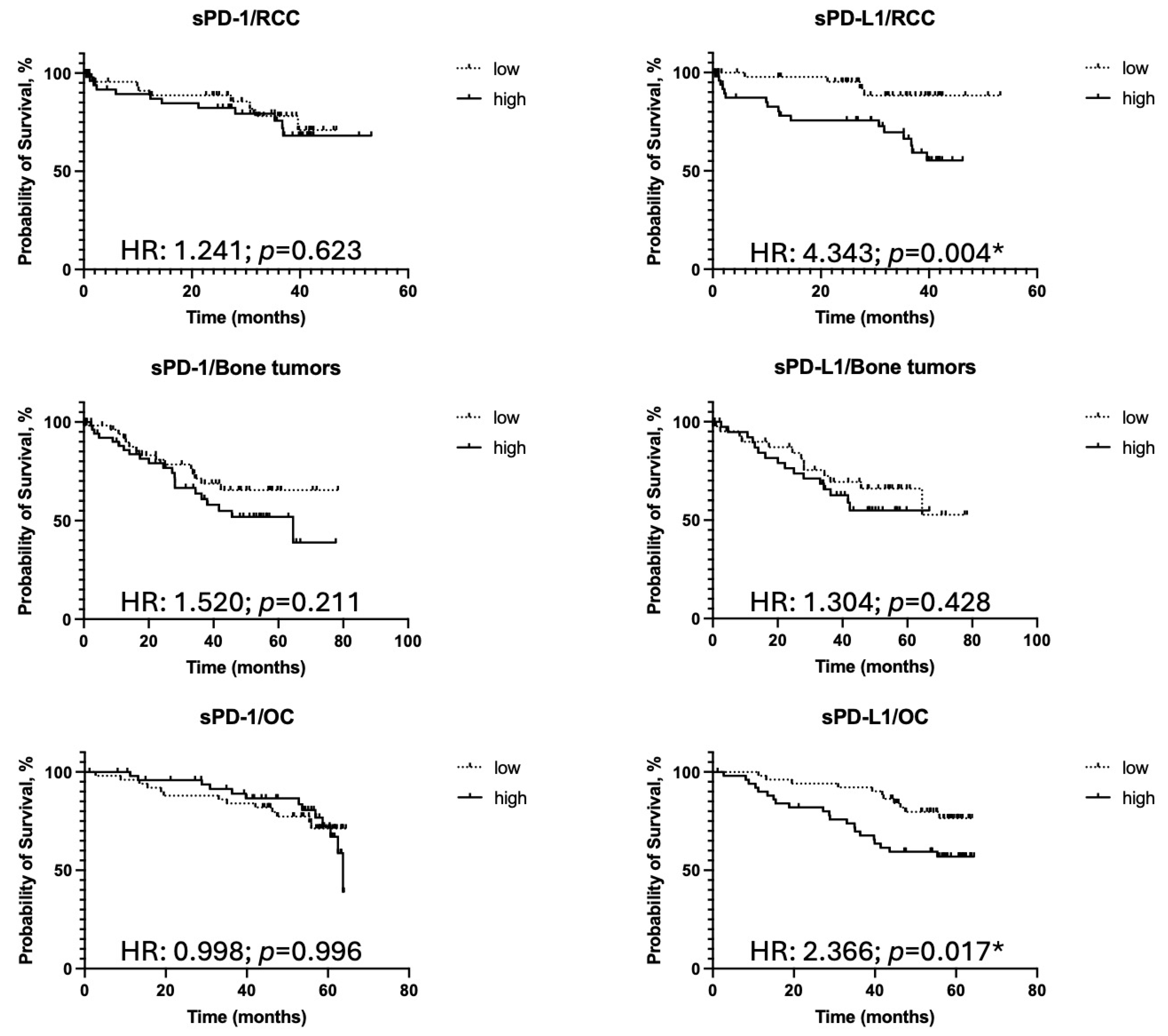
| Metrics | Univariate Analysis | Multivariate Analysis | |||||
|---|---|---|---|---|---|---|---|
| HR | 95% CI | p | HR | 95% CI | p | ||
| sPD-1 (high/low) | ovarian | 0.998 | (0.463–2.153) | 0.996 | 0.990 | (0.947–1.002) | 0.162 | 
| sPD-L1 (high/low) | 2.366 | (1.179–4.750) | 0.017 * | 1.009 | (1.000–1.018) | 0.038 * | |
| sPD-1 (high/low) | renal | 1.241 | (0.526–2.921) | 0.623 | 0.991 | (0.965–1.010) | 0.417 | 
| sPD-L1 (high/low) | 4.343 | (1.846–10.22) | 0.004 * | 1.005 | (0.988–1.016) | 0.368 | |
| sPD-1 (high/low) | bone | 1.520 | (0.791–2.923) | 0.211 | 1.009 | (0.994–1.022) | 0.224 | 
| sPD-L1 (high/low) | 1.304 | (0.647–2.776) | 0.428 | 1.053 | (1.000–1.004) | 0.010 * | |
| sPD-1 (high/low) | gastric | 1.063 | (0.525–2.152) | 0.864 | 0.987 | (0.945–1.020) | 0.484 | 
| sPD-L1 (high/low) | 1.151 | (0.568–2.335) | 0.691 | 0.995 | (0.985–1.003) | 0.227 | |
| sPD-1 (high/low) | CRC | 0.991 | (0.535–1.836) | 0.978 | 0.995 | (0.974–1.008) | 0.564 | 
| sPD-L1 (high/low) | 0.984 | (0.526–1.840) | 0.960 | 1.037 | (0.958–1.113) | 0.337 | |
| Disclaimer/Publisher’s Note: The statements, opinions and data contained in all publications are solely those of the individual author(s) and contributor(s) and not of MDPI and/or the editor(s). MDPI and/or the editor(s) disclaim responsibility for any injury to people or property resulting from any ideas, methods, instructions or products referred to in the content. | 
© 2025 by the authors. Licensee MDPI, Basel, Switzerland. This article is an open access article distributed under the terms and conditions of the Creative Commons Attribution (CC BY) license (https://creativecommons.org/licenses/by/4.0/).
Share and Cite
Kushlinskii, N.E.; Kovaleva, O.V.; Gratchev, A.N.; Alferov, A.A.; Kuzmin, Y.B.; Sokolov, N.Y.; Tsekatunov, D.A.; Ryzhavskaya, I.B.; Kuznetsov, I.N.; Kushlinskii, D.N.; et al. Assessing the Clinical Relevance of Soluble PD-1 and PD-L1: A Multi-Cohort Study Across Diverse Tumor Types and Prognostic Implications. Biomedicines 2025, 13, 500. https://doi.org/10.3390/biomedicines13020500
Kushlinskii NE, Kovaleva OV, Gratchev AN, Alferov AA, Kuzmin YB, Sokolov NY, Tsekatunov DA, Ryzhavskaya IB, Kuznetsov IN, Kushlinskii DN, et al. Assessing the Clinical Relevance of Soluble PD-1 and PD-L1: A Multi-Cohort Study Across Diverse Tumor Types and Prognostic Implications. Biomedicines. 2025; 13(2):500. https://doi.org/10.3390/biomedicines13020500
Chicago/Turabian StyleKushlinskii, Nikolay E., Olga V. Kovaleva, Alexei N. Gratchev, Alexander A. Alferov, Yurii B. Kuzmin, Nikolai Y. Sokolov, Dmitry A. Tsekatunov, Irina B. Ryzhavskaya, Igor N. Kuznetsov, Dmitry N. Kushlinskii, and et al. 2025. "Assessing the Clinical Relevance of Soluble PD-1 and PD-L1: A Multi-Cohort Study Across Diverse Tumor Types and Prognostic Implications" Biomedicines 13, no. 2: 500. https://doi.org/10.3390/biomedicines13020500
APA StyleKushlinskii, N. E., Kovaleva, O. V., Gratchev, A. N., Alferov, A. A., Kuzmin, Y. B., Sokolov, N. Y., Tsekatunov, D. A., Ryzhavskaya, I. B., Kuznetsov, I. N., Kushlinskii, D. N., Mamedli, Z. Z., & Stilidi, I. S. (2025). Assessing the Clinical Relevance of Soluble PD-1 and PD-L1: A Multi-Cohort Study Across Diverse Tumor Types and Prognostic Implications. Biomedicines, 13(2), 500. https://doi.org/10.3390/biomedicines13020500
 
        



 
       