Cytokine Profile at Diagnosis Affecting Trough Concentration of Infliximab in Pediatric Crohn’s Disease
Abstract
1. Introduction
2. Materials and Methods
2.1. Patients and Study Design
2.2. Measurement of Cytokine Concentrations
2.3. Measurement of Infliximab Trough Concentrations and Anti-IFX Antibodies
2.4. Statistical Analysis
3. Results
3.1. Patient Characteristics at Diagnosis
3.2. Differences in Cytokines According to Disease Severity and Phenotypes
3.3. Comparison of Clinical Characteristics of Patients Who Achieved ER and Those Who Did Not
3.4. Differences in Cytokines According to Remission in Patients Treated with Infliximab
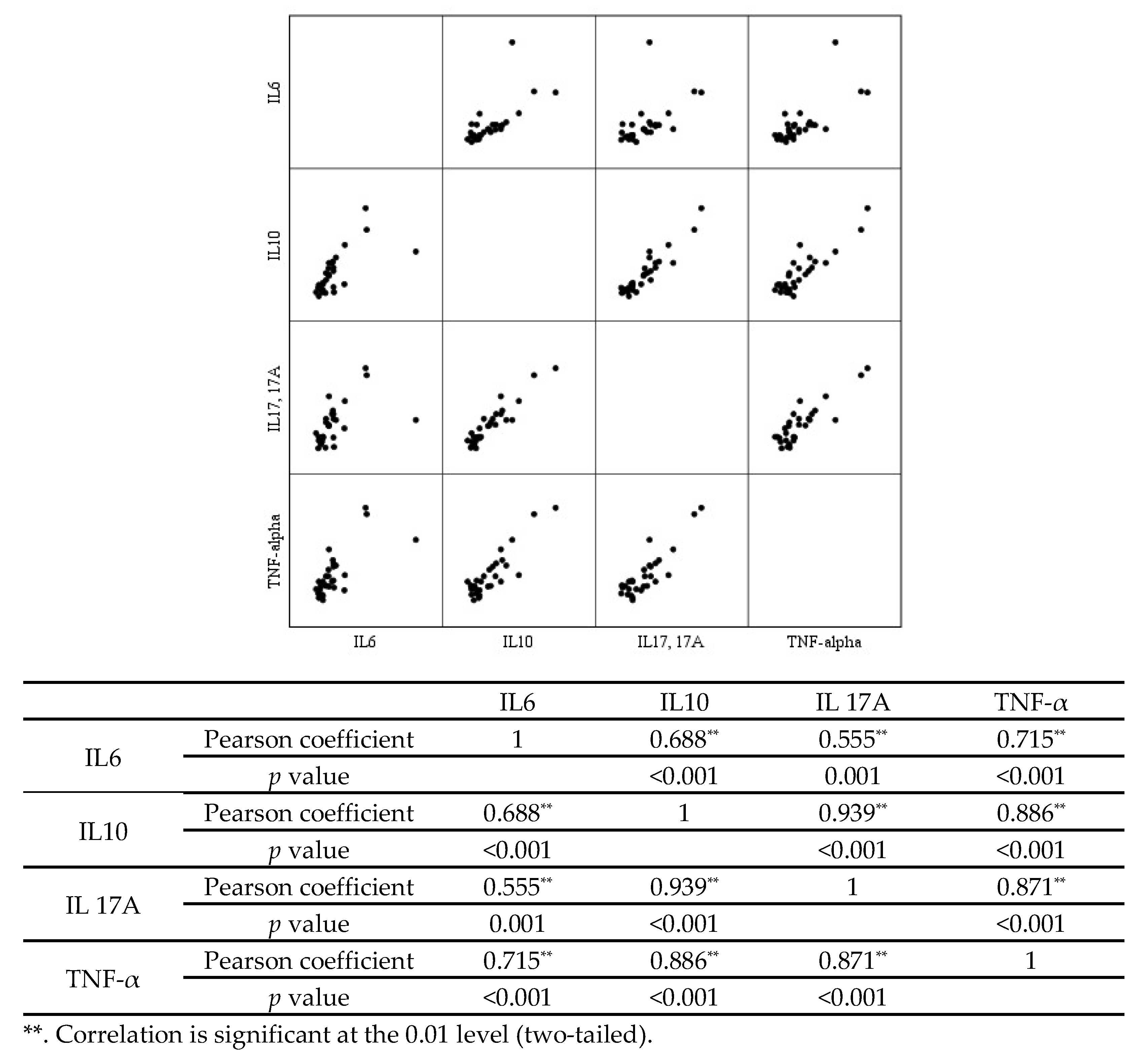
3.5. Relationships between Each Cytokine
3.6. Relationship between Cytokine and Infliximab Trough Concentration and Anti-IFX Antibody Formation
4. Discussion
5. Conclusions
Supplementary Materials
Author Contributions
Funding
Institutional Review Board Statement
Informed Consent Statement
Data Availability Statement
Conflicts of Interest
Abbreviations
| CD | Crohn’s disease |
| IBD | Inflammatory bowel disease |
| Th | T helper cell |
| Treg | T regulatory cell |
| TNF-α | Tumor necrosis factor-alpha |
| IFX | Infliximab |
| IL | Interleukin |
| CR | Clinical remission |
| PCDAI | Pediatric Crohn’s disease activity index |
| BR | Biochemical remission |
| CRP | C-reactive protein |
| ER | Endoscopic remission |
| SES-CD | Simple endoscopic score for Crohn’s disease (SES-CD) |
| ROC | Receiver operating characteristic |
| ESR | Erythrocyte sedimentation rate |
| EEN | Exclusive enteral nutrition |
References
- Wilks, S. Morbid appearances in the intestine of Miss Bankes. Med. Times Gaz. 1859, 2, 264–265. [Google Scholar]
- Choy, M.C.; Visvanathan, K.; De Cruz, P. An overview of the innate and adaptive immune system in inflammatory bowel disease. Inflamm. Bowel Dis. 2017, 23, 2–13. [Google Scholar] [CrossRef] [PubMed]
- Breese, E.; Braegger, C.; Corrigan, C.; Walker-Smith, J.; MacDonald, T. Interleukin-2-and interferon-gamma-secreting T cells in normal and diseased human intestinal mucosa. Immunology 1993, 78, 127. [Google Scholar] [PubMed]
- Hölttä, V.; Klemetti, P.; Sipponen, T.; Westerholm-Ormio, M.; Kociubinski, G.; Salo, H.; Räsänen, L.; Kolho, K.-L.; Färkkilä, M.; Savilahti, E. IL-23/IL-17 immunity as a hallmark of Crohn’s disease. Inflamm. Bowel Dis. 2008, 14, 1175–1184. [Google Scholar] [CrossRef]
- Chang, J.T. Pathophysiology of inflammatory bowel diseases. N. Engl. J. Med. 2020, 383, 2652–2664. [Google Scholar] [CrossRef]
- Plevy, S.E.; Landers, C.J.; Prehn, J.; Carramanzana, N.M.; Deem, R.L.; Shealy, D.; Targan, S.R. A role for TNF-alpha and mucosal T helper-1 cytokines in the pathogenesis of Crohn’s disease. J. Immunol. 1997, 159, 6276–6282. [Google Scholar]
- Papamichael, K.; Gils, A.; Rutgeerts, P.; Levesque, B.G.; Vermeire, S.; Sandborn, W.J.; Vande Casteele, N. Role for therapeutic drug monitoring during induction therapy with TNF antagonists in IBD: Evolution in the definition and management of primary nonresponse. Inflamm. Bowel Dis. 2015, 21, 182–197. [Google Scholar] [CrossRef]
- Gisbert, J.P.; Panés, J. Loss of response and requirement of infliximab dose intensification in Crohn’s disease: A review. Off. J. Am. Coll. Gastroenterol.|ACG 2009, 104, 760–767. [Google Scholar] [CrossRef]
- Sartor, R.B. Mechanisms of disease: Pathogenesis of Crohn’s disease and ulcerative colitis. Nat. Clin. Pract. Gastroenterol. Hepatol. 2006, 3, 390–407. [Google Scholar] [CrossRef]
- Jones, S.A.; Horiuchi, S.; Topley, N.; Yamamoto, N.; Fuller, G.M. The soluble interleukin 6 receptor: Mechanisms of production and implications in disease. FASEB J. 2001, 15, 43–58. [Google Scholar] [CrossRef]
- Becker, C.; Wirtz, S.; Blessing, M.; Pirhonen, J.; Strand, D.; Bechthold, O.; Frick, J.; Galle, P.R.; Autenrieth, I.; Neurath, M.F. Constitutive p40 promoter activation and IL-23 production in the terminal ileum mediated by dendritic cells. J. Clin. Investig. 2003, 112, 693–706. [Google Scholar] [CrossRef] [PubMed]
- Ivanov, I.I.; Atarashi, K.; Manel, N.; Brodie, E.L.; Shima, T.; Karaoz, U.; Wei, D.; Goldfarb, K.C.; Santee, C.A.; Lynch, S.V. Induction of intestinal Th17 cells by segmented filamentous bacteria. Cell 2009, 139, 485–498. [Google Scholar] [CrossRef]
- Neurath, M.F. Cytokines in inflammatory bowel disease. Nat. Rev. Immunol. 2014, 14, 329–342. [Google Scholar] [CrossRef] [PubMed]
- Lindsay, J.; Hodgson, H. The immunoregulatory cytokine interleukin-10—A therapy for Crohn’s disease? Aliment. Pharmacol. Ther. 2001, 15, 1709–1716. [Google Scholar] [CrossRef] [PubMed]
- Glocker, E.-O.; Kotlarz, D.; Boztug, K.; Gertz, E.M.; Schäffer, A.A.; Noyan, F.; Perro, M.; Diestelhorst, J.; Allroth, A.; Murugan, D. Inflammatory bowel disease and mutations affecting the interleukin-10 receptor. N. Engl. J. Med. 2009, 361, 2033–2045. [Google Scholar] [CrossRef] [PubMed]
- Begue, B.; Verdier, J.; Rieux-Laucat, F.; Goulet, O.; Morali, A.; Canioni, D.; Hugot, J.-P.; Daussy, C.; Verkarre, V.; Pigneur, B. Defective IL10 signaling defining a subgroup of patients with inflammatory bowel disease. Off. J. Am. Coll. Gastroenterol.|ACG 2011, 106, 1544–1555. [Google Scholar] [CrossRef]
- IBD Working Group of the European Society for Paediatric Gastroenterology, Hepatology and Nutrition. Inflammatory bowel disease in children and adolescents: Recommendations for diagnosis—The Porto criteria. J. Pediatr. Gastroenterol. Nutr. 2005, 41, 1–7. [Google Scholar] [CrossRef]
- Zubin, G.; Peter, L. Predicting endoscopic Crohn’s disease activity before and after induction therapy in children: A comprehensive assessment of PCDAI, CRP, and fecal calprotectin. Inflamm. Bowel Dis. 2015, 21, 1386–1391. [Google Scholar]
- Moskovitz, D.N.; Daperno, M.; Baert, F.; Gevers, A.; Sostegni, R.; Colombel, J.-F.; D’haens, G.; Rutgeerts, P. Defining and validating cut-offs for the simple endoscopic score for Crohn’s disease. Gastroenterology 2007, 132, A173. [Google Scholar]
- Casteele, N.V.; Ferrante, M.; Van Assche, G.; Ballet, V.; Compernolle, G.; Van Steen, K.; Simoens, S.; Rutgeerts, P.; Gils, A.; Vermeire, S. Trough concentrations of infliximab guide dosing for patients with inflammatory bowel disease. Gastroenterology 2015, 148, 1320–1329.e1323. [Google Scholar] [CrossRef]
- Friedrich, M.; Pohin, M.; Powrie, F. Cytokine networks in the pathophysiology of inflammatory bowel disease. Immunity 2019, 50, 992–1006. [Google Scholar] [CrossRef] [PubMed]
- Kiernan, M.G.; Coffey, J.C.; Sahebally, S.M.; Tibbitts, P.; Lyons, E.M.; O’leary, E.; Owolabi, F.; Dunne, C.P. Systemic molecular mediators of inflammation differentiate between Crohn’s disease and ulcerative colitis, implicating threshold levels of IL-10 and relative ratios of pro-inflammatory cytokines in therapy. J. Crohn’s Colitis 2020, 14, 118–129. [Google Scholar] [CrossRef] [PubMed]
- Stallmach, A.; Giese, T.; Schmidt, C.; Ludwig, B.; Mueller-Molaian, I.; Meuer, S.C. Cytokine/chemokine transcript profiles reflect mucosal inflammation in Crohn’s disease. Int. J. Colorectal Dis. 2004, 19, 308–315. [Google Scholar] [CrossRef] [PubMed]
- Schmitt, H.; Neurath, M.F.; Atreya, R. Role of the IL23/IL17 Pathway in Crohn’s Disease. Front. Immunol. 2021, 12, 1009. [Google Scholar] [CrossRef]
- Hueber, W.; Sands, B.E.; Lewitzky, S.; Vandemeulebroecke, M.; Reinisch, W.; Higgins, P.D.; Wehkamp, J.; Feagan, B.G.; Yao, M.D.; Karczewski, M. Secukinumab, a human anti-IL-17A monoclonal antibody, for moderate to severe Crohn’s disease: Unexpected results of a randomised, double-blind placebo-controlled trial. Gut 2012, 61, 1693–1700. [Google Scholar] [CrossRef]
- Wang, J.; Bhatia, A.; Cleveland, N.K.; Gupta, N.; Dalal, S.; Rubin, D.T.; Sakuraba, A. Rapid onset of inflammatory bowel disease after receiving secukinumab infusion. ACG Case Rep. J. 2018, 5, e56. [Google Scholar] [CrossRef]
- Mills, K.H. IL-17 and IL-17-producing cells in protection versus pathology. Nat. Rev. Immunol. 2022, 1–17. [Google Scholar] [CrossRef]
- Wilson, A.; Choi, B.; Sey, M.; Ponich, T.; Beaton, M.; Kim, R.B. High infliximab trough concentrations are associated with sustained histologic remission in inflammatory bowel disease: A prospective cohort study. BMC Gastroenterol. 2021, 21, 77. [Google Scholar] [CrossRef]
- Kang, B.; Choi, S.Y.; Choi, Y.O.; Lee, S.-Y.; Baek, S.-Y.; Sohn, I.; Choe, B.-H.; Lee, H.J.; Choe, Y.H. Infliximab trough levels are associated with mucosal healing during maintenance treatment with infliximab in paediatric Crohn’s disease. J. Crohn’s Colitis 2019, 13, 189–197. [Google Scholar] [CrossRef]
- Shmais, M.; Regueiro, M.; Hashash, J.G. Proactive versus Reactive Therapeutic Drug Monitoring: Why, When, and How? Inflamm. Intest. Dis. 2022, 7, 50–58. [Google Scholar] [CrossRef]
- Billiet, T.; Cleynen, I.; Ballet, V.; Claes, K.; Princen, F.; Singh, S.; Ferrante, M.; Van Assche, G.; Gils, A.; Vermeire, S. Evolution of cytokines and inflammatory biomarkers during infliximab induction therapy and the impact of inflammatory burden on primary response in patients with Crohn’s disease. Scand. J. Gastroenterol. 2017, 52, 1086–1092. [Google Scholar] [CrossRef] [PubMed]
- Ducourau, E.; Mulleman, D.; Paintaud, G.; Miow Lin, D.C.; Lauféron, F.; Ternant, D.; Watier, H.; Goupille, P. Antibodies toward infliximab are associated with low infliximab concentration at treatment initiation and poor infliximab maintenance in rheumatic diseases. Arthritis Res. Ther. 2011, 13, 1–7. [Google Scholar] [CrossRef] [PubMed]
- Pallagi-Kunstár, É.; Farkas, K.; Szepes, Z.; Nagy, F.; Szűcs, M.; Kui, R.; Gyulai, R.; Bálint, A.; Wittmann, T.; Molnár, T. Utility of serum TNF-α, infliximab trough level, and antibody titers in inflammatory bowel disease. World J. Gastroenterol. WJG 2014, 20, 5031. [Google Scholar] [CrossRef] [PubMed]
- Casteele, N.V.; Khanna, R.; Levesque, B.G.; Stitt, L.; Zou, G.; Singh, S.; Lockton, S.; Hauenstein, S.; Ohrmund, L.; Greenberg, G.R. The relationship between infliximab concentrations, antibodies to infliximab and disease activity in Crohn’s disease. Gut 2015, 64, 1539–1545. [Google Scholar] [CrossRef] [PubMed]
- Moses, J.; Lambert-Jenkins, K.; Momotaz, H.; Sattar, A.; Debanne, S.M.; Splawski, J.; Sferra, T.J. Time to antibody detection and associated factors for presence of anti-drug antibodies in pediatric inflammatory bowel disease patients treated with anti-TNF therapy. Eur. J. Gastroenterol. Hepatol. 2019, 31, 1228–1233. [Google Scholar] [CrossRef] [PubMed]
- Trotta, M.C.; Alfano, R.; Cuomo, G.; Romano, C.; Gravina, A.G.; Romano, M.; Galdiero, M.; Montemurro, M.V.; Giordano, A.; D’Amico, M. Comparison of Timing to Develop Anti-Drug Antibodies to Infliximab and Adalimumab Between Adult and Pediatric Age Groups, Males and Females. J. Pediatr. Pharmacol. Ther. 2022, 27, 63–71. [Google Scholar] [CrossRef] [PubMed]
- Yamamoto, T.; Umegae, S.; Kitagawa, T.; Matsumoto, K. Systemic and local cytokine production in quiescent ulcerative colitis and its relationship to future relapse: A prospective pilot study. Inflamm. Bowel Dis. 2005, 11, 589–596. [Google Scholar] [CrossRef]




| Characteristics | Number of Patients = 30 | |
|---|---|---|
| Age, years | 13.7 (12.2–16.1) | |
| Sex, M/F | 24 (80.0)/6 (20.0) | |
| BMI, kg/m2 | 18.0 (15.9–21.1) | |
| PCDAI a | 30.0 (25.0–35.0) | |
| Family history of IBD (Y) | 6 (20.0) | |
| Hematocrit, % | 37.8 (35.1–41.9) | |
| Albumin, g/dL | 4.1 (3.6–4.3) | |
| ESR, mm/h | 28.0 (18.0–72.3) | |
| CRP, mg/dL | 0.9 (0.3–2.0) | |
| Fecal calprotectin, mg/kg | 1137.0 (1000.0–2543.3) | |
| Paris classification at diagnosis | ||
| Age at diagnosis | A1a | 0 |
| A1b | 23 (76.7) | |
| A2 | 7 (23.3) | |
| Location | L1 | 4 (13.3) |
| L2 | 1 (3.3) | |
| L3 | 25 (83.3) | |
| L4a | 2 (6.6) | |
| L4b | 0 | |
| Behavior | B1 | 25 (83.3) |
| B2 | 4 (13.3) | |
| B3 | 1 (3.3) | |
| B2B3 | 0 | |
| p | 22 (73.3) | |
| Growth | G0 | 17 (56.7) |
| G1 | 13 (43.3) | |
| SES-CD b score | 20.0 (14.3–27.0) | |
| ANCA c-positive (Y) | 15 (50.0) | |
| ASCA d-positive (Y) | 14 (46.7) | |
| History of IBD-related surgeries Fistulotomy or Seton placement (Y) Laparoscopy or Bowel resection (Y) | 17 (56.7) 0 | |
| Characteristics | ER (N = 20) | No ER (N = 10) | p Value |
|---|---|---|---|
| Initial clinical characteristics at diagnosis | |||
| Age, years | 13.7 (12.5–16.7) | 13.3 (12.2–14.6) | 0.169 e |
| Sex, M/F | 16 (80.0)/4 (20.0) | 8 (80.0)/2 (20.0) | 1.000 f |
| BMI, kg/m2 | 18.5 (17.3–21.5) | 16.3 (15.6–19.1) | 0.047 e |
| PCDAI a | 30.0 (25.0–32.5) | 35.0 (30.0–37.5) | 0.380 e |
| Fecal calprotectin, mg/kg | 1189.0 (976.3–2253.8) | 1327.0 (1000.0–2854.0) | 0.302 e |
| Hematocrit, % | 38.2 (36.5–42.3) | 37.3 (32.7–39.5) | 0.098 e |
| Albumin, g/dL | 4.3 (4.1–4.3) | 3.6 (3.4–3.8) | <0.001 e |
| ESR, mm/h | 25.5 (17.5–37.5) | 50.0 (19.5–80.8) | 0.266 e |
| CRP, mg/dL | 0.7 (0.3–1.2) | 1.7 (0.8–2.7) | 0.292 e |
| SES-CD b score | 19.5 (8.8–26.3) | 21.5 (15.8–27.8) | 0.532 e |
| Family history of IBD (Y) | 5 (25.0) | 1 (10.0) | 0.298 f |
| ANCA c-positive (Y) | 8 (40.0) | 7 (70.0) | 0.130 f |
| ASCA d-positive (Y) | 7 (35.0) | 7 (70.0) | 0.222 f |
| Treatment | |||
| EEN (Y) Mesalazine (Y) Immunosuppressants (Y) Corticosteroid (Y) | 12 (60.0) 19 (95.0) 20 (100) 1 (5.0) | 8 (80.0) 10 (100) 9 (90.0) 0 | 0.289 f 0.264 f 0.330 f 0.330f |
| Anti-TNF α (Y) Trough concentration Trough concentration <3 ug/mL (Y) | 18 (90.0) 6.1(3.9–8.4) 2 (11.1) | 8 (80.0) 1.6 (1.2–3.7) 4 (50.0) | 0.516 f 0.010 e <0.001 f |
| Clinical characteristics at 4 months after treatment | |||
| PCDAI a | 5.0 (0–5.0) | 5.0 (1.3–10.0) | 0.314 e |
| Fecal calprotectin, mg/kg | 68.5 (45.8–157.3) | 725.5 (395.3–1187.8) | 0.005 e |
| Hematocrit, % | 42.2 (40.3–44.0) | 41.3 (38.2–43.3) | 0.495 e |
| Albumin, g/dL | 4.7 (4.4–4.7) | 4.5 (4.3–4.7) | 0.169 e |
| ESR, mm/h | 2.5 (2.0–4.0) | 9.5 (3.0–19.5) | 0.005 e |
| CRP, mg/dL | 0.05 (0.03–0.06) | 0.07 (0.04–0.10) | 0.058 e |
| SES-CD score | 0.0 (0.0–0.0) | 9.0 (4.5–13.5) | <0.001 e |
| Infliximab Use + CR + BR (N = 20) | Infliximab Use + No CR or BR (N = 6) | p Value | |||
|---|---|---|---|---|---|
| Mean | SD | Mean | SD | ||
| TNF-alpha, pg/mL | 14.6 | 10.7 | 27.9 | 16.0 | 0.027a |
| Interleukin 6, pg/mL | 18.4 | 13.7 | 48.2 | 38.7 | 0.006a |
| Interleukin 10, pg/mL | 93.9 | 76.1 | 202.2 | 132.3 | 0.017a |
| Interleukin 17A, pg/mL | 8.1 | 6.6 | 16.0 | 10.0 | 0.032a |
Publisher’s Note: MDPI stays neutral with regard to jurisdictional claims in published maps and institutional affiliations. |
© 2022 by the authors. Licensee MDPI, Basel, Switzerland. This article is an open access article distributed under the terms and conditions of the Creative Commons Attribution (CC BY) license (https://creativecommons.org/licenses/by/4.0/).
Share and Cite
Kwon, Y.; Kim, E.-S.; Kim, Y.-Z.; Choe, Y.-H.; Kim, M.-J. Cytokine Profile at Diagnosis Affecting Trough Concentration of Infliximab in Pediatric Crohn’s Disease. Biomedicines 2022, 10, 2372. https://doi.org/10.3390/biomedicines10102372
Kwon Y, Kim E-S, Kim Y-Z, Choe Y-H, Kim M-J. Cytokine Profile at Diagnosis Affecting Trough Concentration of Infliximab in Pediatric Crohn’s Disease. Biomedicines. 2022; 10(10):2372. https://doi.org/10.3390/biomedicines10102372
Chicago/Turabian StyleKwon, Yiyoung, Eun-Sil Kim, Yoon-Zi Kim, Yon-Ho Choe, and Mi-Jin Kim. 2022. "Cytokine Profile at Diagnosis Affecting Trough Concentration of Infliximab in Pediatric Crohn’s Disease" Biomedicines 10, no. 10: 2372. https://doi.org/10.3390/biomedicines10102372
APA StyleKwon, Y., Kim, E.-S., Kim, Y.-Z., Choe, Y.-H., & Kim, M.-J. (2022). Cytokine Profile at Diagnosis Affecting Trough Concentration of Infliximab in Pediatric Crohn’s Disease. Biomedicines, 10(10), 2372. https://doi.org/10.3390/biomedicines10102372

