The Psychological Impact of Dealing with Death and the Risk of Dying Among Nurses Working in ICU and NICU: Specificities in Mediating and Moderating Variables
Abstract
1. Introduction
2. Materials and Methods
2.1. Design and Participants
2.2. Measures
2.3. Analytical Plan
3. Results
3.1. Research Question One (RQ1)—Preliminary Differences in Study Variables
3.2. Research Question Two (RQ2)—Main Effects
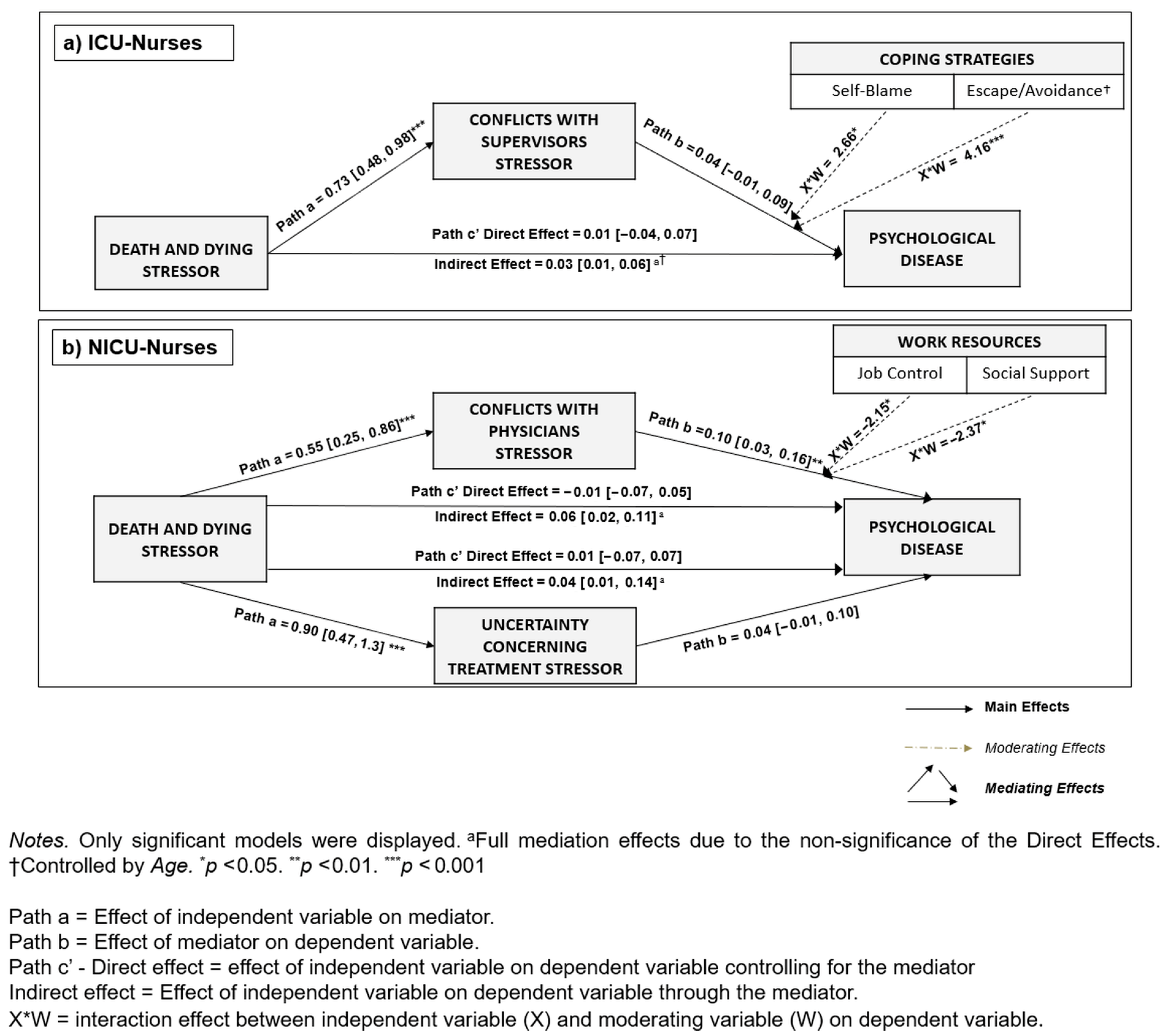
3.3. Research Question Three (RQ3)—Mediating Effects
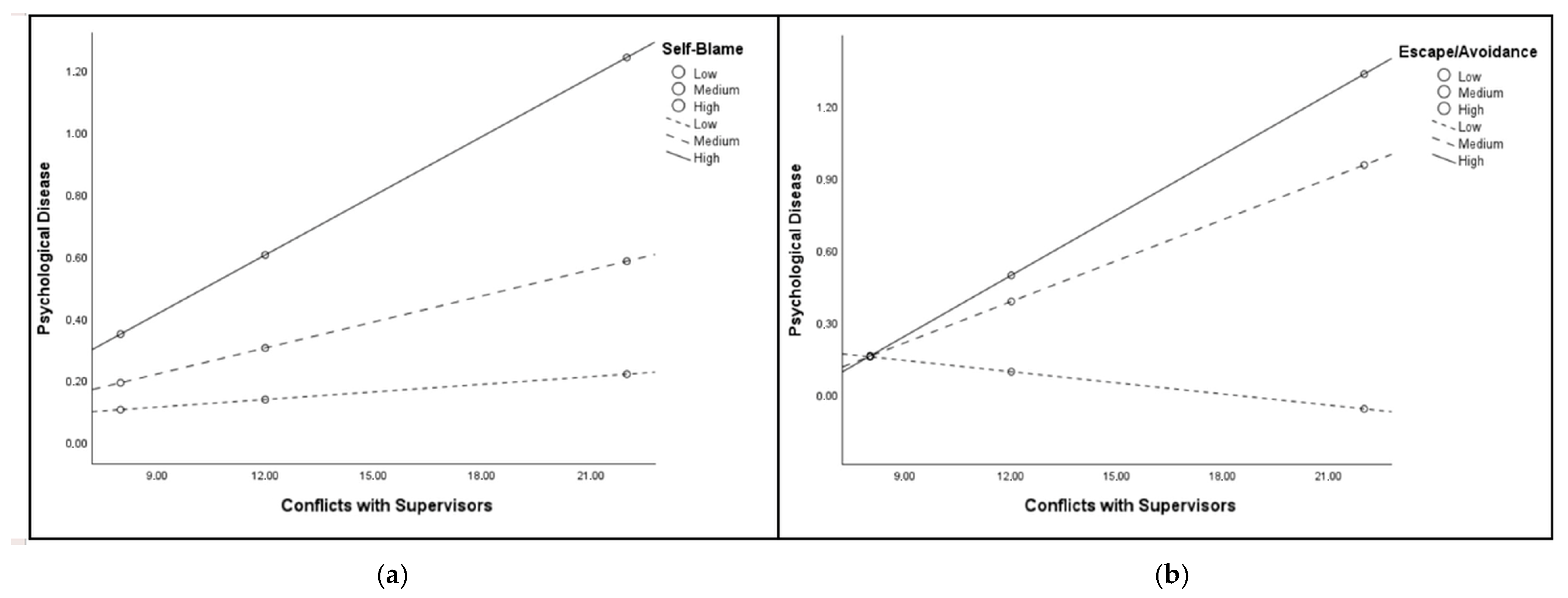
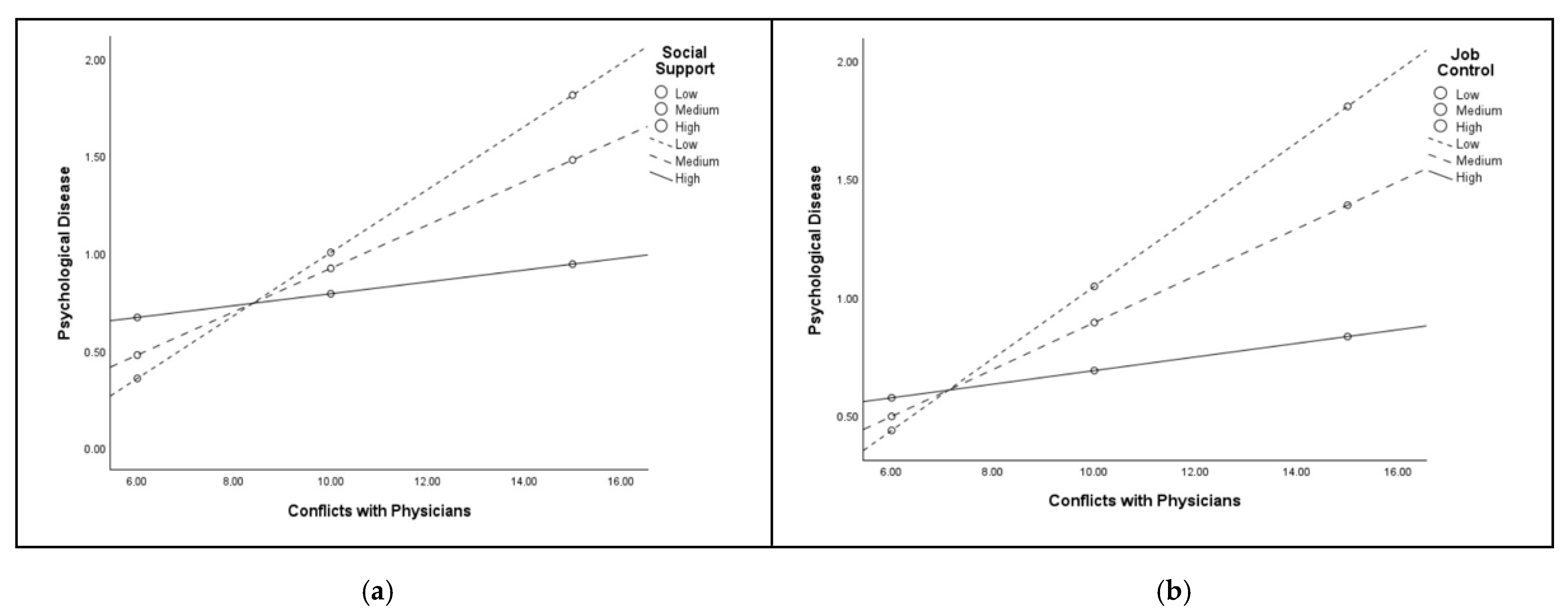
3.4. Research Question Four (RQ4)—Moderating Effects
4. Discussion
Limitations
5. Conclusions
Supplementary Materials
Author Contributions
Funding
Institutional Review Board Statement
Informed Consent Statement
Data Availability Statement
Acknowledgments
Conflicts of Interest
Abbreviations
| DRIVE | Demands-Resources and Individual Effects Model |
| ICU | Intensive Care Unit |
| NICU | Neonatal Intensive Care Unit |
References
- Della Bella, V.; Fiorini, J.; Gioiello, G.; Zaghini, F.; Sili, A. Towards a new conceptual model for nurses’ organizational well-being: An integrative review. J. Nurs. Manag. 2022, 30, 2833–2844. [Google Scholar] [CrossRef]
- Xiao, Q.; Cooke, F.L.; Chen, L. Nurses’ well-being and implications for human resource management: A systematic literature review. Int. J. Manag. Rev. 2022, 24, 599–624. [Google Scholar] [CrossRef]
- Zhang, P.; Li, S.; Li, Y.; Zhang, B.; Liang, F.; Li, J.; Zhang, H. Survey of role stress among specialty nurses working in tertiary general hospitals across China: A cross-sectional descriptive study. BMC Psychiatry 2024, 24, 589. [Google Scholar] [CrossRef]
- Azadi, M.; Azimian, J.; Mafi, M.; Rashvand, F. Evaluation of Nurses’ Workload in the Intensive Care Unit, Neonatal Intensive Care Unit and Coronary Care Unit: An Analytical Study. J. Clin. Diagn. Res. 2020, 14, LC5–LC7. [Google Scholar] [CrossRef]
- Mealer, M.L.; Shelton, A.; Berg, B.; Rothbaum, B.; Moss, M. Increased prevalence of post-traumatic stress disorder symptoms in critical care nurses. Am. J. Respir. Crit. Care Med. 2007, 175, 693–697. [Google Scholar] [CrossRef]
- Preto, V.A.; Pedrão, L.J. Stress among nurses who work at the intensive care unit. Rev. Esc. Enferm. USP 2009, 43, 841–848. [Google Scholar] [CrossRef] [PubMed]
- Vahedian-Azimi, A.; Hajiesmaeili, M.; Kangasniemi, M.; Fornés-Vives, J.; Hunsucker, R.L.; Rahimibashar, F.; Pourhoseingholi, M.A.; Farrokhvar, L.; Miller, A.C. Effects of stress on critical care nurses: A national cross-sectional study. J. Intensive Care Med. 2019, 34, 311–322. [Google Scholar] [CrossRef] [PubMed]
- Van Mol, M.M.; Kompanje, E.J.; Benoit, D.D.; Bakker, J.; Nijkamp, M.D. The prevalence of compassion fatigue and burnout among healthcare professionals in intensive care units: A systematic review. PLoS ONE 2015, 10, e0136955. [Google Scholar] [CrossRef]
- Kynoch, K.; Chang, A.; Coyer, F.; McArdle, A. The effectiveness of interventions to meet family needs of critically ill patients in an adult intensive care unit: A systematic review update. JBI Database Syst. Rev. Implement Rep. 2016, 14, 181–234. [Google Scholar] [CrossRef]
- Lief, L.; Berlin, D.A.; Maciejewski, R.C.; Westman, L.; Su, A.; Cooper, Z.R.; Ouyang, D.J.; Epping, G.; Derry, H.; Russell, D.; et al. Dying patient and family contributions to nurse distress in the ICU. Ann. Am. Thorac. Soc. 2018, 15, 1459–1464. [Google Scholar] [CrossRef] [PubMed]
- Rodriguez-Ruiz, E.; Latour, J.M.; van Mol, M.M. Promoting an inclusive and humanised environment in the intensive care unit: Shift happens. Intensive Crit. Care Nurs. 2025, 86, 103856. [Google Scholar] [CrossRef]
- Abu Safieh, A.M.; Malak, M.Z.; Abu-Sharour, L.M.; Shehadeh, A. Job-related stress, quality of work life, and quality of nursing care among critical care nurses. J. Workplace Behav. Health 2024, 40, 195–212. [Google Scholar] [CrossRef]
- Saedpanah, D.; Salehi, S.; Moghaddam, L.F. The effect of emotion regulation training on occupational stress of critical care nurses. J. Clin. Diagn. Res. 2016, 10, VC01. [Google Scholar] [CrossRef]
- Lucchini, A.; de Souza Nogueira, L.; Bambi, S. The ongoing challenge: ICU and beyond-managing nursing workload. Intensive Crit. Care Nurs. 2025, 87, 103917. [Google Scholar] [CrossRef]
- Mohamedkheir, R.A.; Amara, Z.M.; Balla, S.A.; Mohamed, H.A. Occupational stress among nurses working in intensive care units in Public Hospitals of Khartoum State, Sudan 2016. Am. J. Health Res. 2016, 4, 166–171. [Google Scholar] [CrossRef]
- Chatzigianni, D.; Tsounis, A.; Markopoulos, N.; Sarafis, P. Occupational stress experienced by nurses working in a Greek Regional Hospital: A cross-sectional study. Iran. J. Nurs. Res. 2018, 23, 450–457. [Google Scholar] [CrossRef]
- Zhao, T.; Yan, H.; Wang, H.; Guo, M. The chain mediating role of negative emotions at work and meaning in life between interpersonal conflict at work and depressive symptoms among nurses: A multicenter cross-sectional study. BMC Nurs. 2024, 23, 598. [Google Scholar] [CrossRef]
- Mulcahy, M.; Tuqiri, K.; Hoban, K.E.; Levett-Jones, T. Dear Diary—Shining a light on the work of 200 nurses. Collegian 2024, 31, 28–33. [Google Scholar] [CrossRef]
- Bloomer, M.J.; Ranse, K.; Adams, L.; Brooks, L.; Coventry, A. “Time and life is fragile”: An integrative review of nurses’ experiences after patient death in adult critical care. Austr. Crit. Care 2023, 36, 872–888. [Google Scholar] [CrossRef]
- Hafifah, I.; Wisesrith, W.; Ua-Kit, N. Factors associated with good death for end-of-life patients in the intensive care unit based on nurses’ perspectives: A systematic review. Intensive Crit. Care Nurs. 2025, 87, 103930. [Google Scholar] [CrossRef] [PubMed]
- Ozga, D.; Woźniak, K.; Gurowiec, P.J. Difficulties perceived by ICU nurses providing end-of-life care: A qualitative study. Glob. Adv. Health Med. 2020, 9, 2164956120916176. [Google Scholar] [CrossRef]
- Shorter, M.; Stayt, L.C. Critical care nurses’ experiences of grief in an adult intensive care unit. J. Adv. Nurs. 2010, 66, 159–167. [Google Scholar] [CrossRef]
- Todaro-Franceschi, V. Critical care nurses’ perceptions of preparedness and ability to care for the dying and their professional quality of life. Dimens. Crit. Care Nurs. 2013, 32, 184–190. [Google Scholar] [CrossRef]
- Velarde-García, J.F.; Pulido-Mendoza, R.; Moro-Tejedor, M.N.; Cachón-Pérez, J.M.; Palacios-Cena, D. Nursing and end-of-life care in the intensive care unit: A qualitative systematic review. J. Hosp. Palliat. Nurs. 2016, 18, 115–123. [Google Scholar] [CrossRef]
- Almeida, F.D.; Moraes, M.S.; Cunha, M.L. Taking care of the newborn dying and their families: Nurses’ experiences of neonatal intensive care. Rev. Esc. Enferm. USP 2016, 50, 122–129. [Google Scholar] [CrossRef]
- Köktürk Dalcalı, B.; Can, Ş.; Durgun, H. Emotional responses of neonatal intensive care nurses to neonatal death. Omega-J. Death Dying 2022, 85, 497–513. [Google Scholar] [CrossRef] [PubMed]
- Gibson, K.; Hofmeyer, A.; Warland, J. Nurses providing end-of-life care for infants and their families in the NICU: A review of the literature. Adv. Neonatal. Care 2018, 18, 471–479. [Google Scholar] [CrossRef] [PubMed]
- Mark, G.; Smith, A.P. Occupational stress, job characteristics, coping, and the mental health of nurses. Br. J. Health Psychol. 2012, 17, 505–521. [Google Scholar] [CrossRef] [PubMed]
- Vallone, F.; Smith, A.P.; Zurlo, M.C. Work-related stress and wellbeing among nurses: Testing a multi-dimensional model. Jpn. J. Nurs. Sci. 2020, 17, e12360. [Google Scholar] [CrossRef] [PubMed]
- Zurlo, M.C.; Vallone, F.; Smith, A.P. Effects of individual differences and job characteristics on the psychological health of Italian nurses. Eur. J. Psychol. 2018, 14, 159. [Google Scholar] [CrossRef]
- Vallone, F.; Cattaneo Della Volta, M.F.; Zurlo, M.C. Stress dimensions, patterns of coping, and psychopathological risk among nurses: A person-centred approach. BMC Nurs. 2024, 23, 569. [Google Scholar] [CrossRef] [PubMed]
- Vallone, F.; Zurlo, M.C. Stress, interpersonal and inter-role conflicts, and psychological health conditions among nurses: Vicious and virtuous circles within and beyond the wards. BMC Psychol. 2024, 12, 197. [Google Scholar] [CrossRef]
- Zurlo, M.C.; Vallone, F.; Smith, A.P. Work–family conflict and psychophysical health conditions of nurses: Gender differences and moderating variables. Jpn. J. Nurs. Sci. 2020, 17, e12324. [Google Scholar] [CrossRef]
- French, S.E.; Lenton, R.; Walters, V.; Eyles, J. An empirical evaluation of an expanded nursing stress scale. J. Nurs. Meas. 2000, 8, 161–178. [Google Scholar] [CrossRef]
- Karasek, R.; Brisson, C.; Kawakami, N.; Houtman, I.; Bongers, P.; Amick, B. The Job Content Questionnaire (JCQ): An instrument for internationally comparative assessments of psychosocial job characteristics. J. Occup. Health Psychol. 1998, 3, 322. [Google Scholar] [CrossRef] [PubMed]
- Siegrist, J. Adverse health effects of high-effort/low-reward conditions. J. Occup. Health Psychol. 1996, 1, 27–41. [Google Scholar] [CrossRef]
- Zurlo, M.C.; Pes, D.; Siegrist, J. Validity and reliability of the effort-reward imbalance questionnaire in a sample of 673 Italian teachers. Int. Arch. Occup. Environ. Health 2010, 83, 665–674. [Google Scholar] [CrossRef] [PubMed]
- Vitaliano, P.P.; Russo, J.; Carr, J.E.; Maiuro, R.D.; Becker, J. The ways of coping checklist: Revision and psychometric properties. Multivar. Behav. Res. 1985, 20, 3–26. [Google Scholar] [CrossRef]
- Derogatis, L.R. Symptom Checklist 90–R: Administration, Scoring, and Procedures Manual; National Computer System: Minneapolis, MN, USA, 1994. [Google Scholar]
- Prunas, A.; Sarno, I.; Preti, E.; Madeddu, F. SCL-90-R. Symptom Checklist 90-R; Giunti OS: Florence, Italy, 2010. [Google Scholar]
- Curran, P.J.; West, S.G.; Finch, J.F. The robustness of test statistics to nonnormality and specification error in confirmatory factor analysis. Psychol. Methods 1996, 1, 16. [Google Scholar] [CrossRef]
- Hair, J.; Black, W.C.; Babin, B.J.; Anderson, R.E. Multivariate Data Analysis, 7th ed.; Pearson Educational International: London, UK, 2010. [Google Scholar]
- Ryu, E. Effects of skewness and kurtosis on normal-theory based maximum likelihood test statistic in multilevel structural equation modeling. Behav. Res. Methods 2011, 43, 1066–1074. [Google Scholar] [CrossRef]
- West, S.G.; Finch, J.F.; Curran, P.J. Structural equation models with nonnormal variables: Problems and remedies. In Structural Equation Modeling: Concepts, Issues, and Applications; Hoyle, R.H., Ed.; Sage: Thousand Oaks, CA, USA, 1995. [Google Scholar]
- Hayes, A.F. Introduction to Mediation, Moderation, and Conditional Process Analysis: A Regression-Based Approach, 3rd ed.; The Guilford Press: New York, NY, USA, 2017. [Google Scholar]
- Allison, P.D. Multiple Regression: A Primer; Pine Forge Press: Newbury Park, CA, USA, 1999. [Google Scholar]
- Belsley, D.A.; Kuh, E.; Welsch, R.E. Regression Diagnostics: Identifying Influential Data and Sources of Collinearity; John Wiley & Sons: Hoboken, NJ, USA, 2005. [Google Scholar]
- Kim, J.H. Multicollinearity and misleading statistical results. Korean J Anesthesiol. 2019, 72, 558–569. [Google Scholar] [CrossRef] [PubMed]
- Boniol, M.; McIsaac, M.; Xu, L.; Wuliji, T.; Diallo, K.; Campbell, J. Gender Equity in the Health Workforce: Analysis of 104 Countries; Workingpaper 1; World Health Organization: Geneva, Switzerland, 2019. [Google Scholar]
- Cudé, G.; Winfrey, K. The hidden barrier: Gender bias: Fact or fiction? Nurs. Women’s Health 2007, 11, 254–265. [Google Scholar] [CrossRef] [PubMed]
- Chen, G.; Ogata, Y.; Sasaki, M. Factors associated with burnout among internationally educated nurses: A scoping review. Int. Nurs. Rev. 2025, 72, e13073. [Google Scholar] [CrossRef]
- Turner, M.; Chur-Hansen, A.; Winefield, H. The neonatal nurses’ view of their role in emotional support of parents and its complexities. J. Clin. Nurs. 2014, 23, 3156–3165. [Google Scholar] [CrossRef]
- Yang, M.H.; Mcilfatrick, S. Intensive care nurses’ experiences of caring for dying patients: A phenomenological study. Int. J. Palliat. Nurs. 2001, 7, 435–441. [Google Scholar] [CrossRef]
- Liu, S.; Duan, X.; Han, P.; Shao, H.; Jiang, J.; Zeng, L. Occupational benefit perception of acute and critical care nurses: A qualitative meta-synthesis. Front. Public. Health 2022, 10, 976146. [Google Scholar] [CrossRef]
- Teutsch, D.; Frick, E.; Kubitza, J. What motivates critical care nurses to stay in their job?–Structural aspects for empowering intrinsic motivation in permissive professional contexts: A scoping review. Intensive Crit. Care Nurs. 2025, 88, 103929. [Google Scholar] [CrossRef]
- Zhang, Y.; Lei, S.; Yang, F. Incidence of effort-reward imbalance among nurses: A systematic review and meta-analysis. Front. Psychol. 2024, 15, 1425445. [Google Scholar] [CrossRef]
- Barr, P. Dispositional stress coping styles and mental health in NICU nurses. J. Neonatal. Nurs. 2024, 30, 283–287. [Google Scholar] [CrossRef]
- De Villers, M.J.; DeVon, H.A. Moral distress and avoidance behavior in nurses working in critical care and noncritical care units. Nurs. Ethics. 2013, 20, 589–603. [Google Scholar] [CrossRef] [PubMed]
- Zhang, Z.; Gao, M.; Fang, Z.; Chen, X.; Shen, Q.; Gao, Y. The Coping Strategies and Cumulative Changes in Intensive Care Unit Nurses after Experiencing Professional Grief: A Hermeneutic Phenomenological Study. J. Nurs. Manag. 2024, 2024, 3682609. [Google Scholar] [CrossRef] [PubMed]
- Spector, P.E. Do not cross me: Optimizing the use of cross-sectional designs. J. Bus. Psychol. 2019, 34, 125–137. [Google Scholar] [CrossRef]
- Fuller, C.M.; Simmering, M.J.; Atinc, G.; Atinc, Y.; Babin, B.J. Common methods variance detection in business research. J. Bus. Res. 2016, 69, 3192–3198. [Google Scholar] [CrossRef]
- Indrayan, A.; Mishra, A. The importance of small samples in medical research. J. Postgrad. Med. 2021, 67, 219–223. [Google Scholar] [CrossRef]
- Sawyer, A.T.; Tao, H.; Bailey, A.K. The Impact of a Psychoeducational Group Program on the Mental Well-Being of Unit-Based Nurse Leaders: A Randomized Controlled Trial. Int. J. Environ. Res. Public Health 2023, 20, 6035. [Google Scholar] [CrossRef]
- Manalu, F.L. The Impact of Psychodynamic Theory-Based Resilience Training on Occupational Stress and Resilience Among Nurses. Enrichment 2024, 2, 1–9. [Google Scholar] [CrossRef]
- Tommasi, F.; Tommasi, P.; Panato, M.; Cordioli, D.; Sartori, R. Preventing trauma and grief in emergency and critical care units: A mixed methods study on a psycho-educational defusing intervention. Healthcare 2024, 12, 1800. [Google Scholar] [CrossRef]




| DIMENSIONS | MEASURES | VARIABLES |
|---|---|---|
| Background Information | Single item Questions (5 items) |
|
| Stressors in Nursing | Expanded Nursing Stress Scale ENSS [34] 57 items on 4-point Likert scale (1 = “never stressful”, 2 = “occasionally stressful”, 3 = “frequently stressful”, 4 = “always stressful”; 0 = “does not apply” b) Nine subscales (Death and Dying, Conflict with Physicians, Patients and their Families, Conflicts with Peers, Conflicts with Supervisors, Uncertainty Concerning Treatment, Inadequate Emotional Preparation, Discrimination, Workload) |
|
| Work Resources a | Job Content Questionnaire JCQ [35] 27 items on a 4-point Likert scale (from 0 = “Often” to 3 = “Never”) Three subscales (Job Demands, Social Support, and Job Control). |
|
| Effort-Reward Imbalance Test ERI-Test [36,37] 17 items on a 5-point Likert scale (from 1 = “Disagree” to 5 = “Agree, and I am very distressed”) Two subscales (Effort, Rewards) |
| |
| Coping Strategies | Ways of Coping Checklist-Revised WCCL-R [38] 42 items on a 4-point Likert scale (from 0 = “Never used” to 3 = “Always used”) Five subscales (Problem-focused, Seek-Advice, Self-Blame, Wishful Thinking, Escape/Avoidance) |
|
| Psychological Disease | Symptom Checklist 90-Revised SCL-90-R [39,40] 90 items on a 5-point Likert scale (from 0 = “Not at all” to 4 = “Extremely”) Nine subscales (Depression, Anxiety, Phobic Anxiety, Obsessive Compulsive Symptoms, Somatization, Hostility, Interpersonal Sensitivity, Paranoid Ideation, Psychoticism). |
|
| Total Sample (N = 62) | ICU Nurses (n = 35) | NICU Nurses (n = 27) | Adjusted p-Values a | |
|---|---|---|---|---|
| Sex, n (%) | ||||
| Women | 37 (59.7) | 11 (31.4) | 26 (96.3) | |
| Men | 25 (40.3) | 24 (68.6) | 1 (3.7) | 0.000 *** |
| Age in years, Mean ± SD | 42.90 ± 9.9 | 47.71 ± 6.2 | 36.67 ± 10.4 | 0.000 *** |
| Working Seniority in years, Mean ± SD | 16.97 ± 9.5 | 20.94 ± 5.8 | 11.96 ± 10.8 | 0.02 * |
| Type of contract, n (%) | ||||
| Fixed-term contract | 4 (6.5) | 0 (0.0) | 4 (14.8) | |
| Permanent contract | 58 (93.5) | 35 (100.0) | 23 (85.2) | 0.32 |
| Night shifts, n (%) | ||||
| No | 3 (4.8) | 1 (2.9) | 2 (7.4) | |
| Yes | 59 (95.2) | 34 (97.1) | 25 (92.6) | 1.00 |
| Total Sample (N = 62) | ICU Nurses (n = 35) | NICU Nurses (n = 27) | Adjusted p-Values a | Cohen’s d b | ||
|---|---|---|---|---|---|---|
| M ± SD | M ± SD | M ± SD | Effect Size | 95% CI | ||
| Stressors in Nursing | ||||||
| Death and Dying | 14.66 ± 6.04 | 14.34 ± 6.96 | 15.07 ± 4.68 | 1.00 | −0.120 | [−0.622, 0.383] |
| Conflicts with Physicians | 9.56 ± 4.29 | 9.08 ± 4.27 | 10.18 ± 4.31 | 1.00 | −0.256 | [−0.759, 0.249] |
| Patients and Families | 15.79 ± 7.14 | 17.00 ± 7.51 | 14.22 ± 6.43 | 0.91 | 0.393 | [−0.115, 0.898] |
| Conflicts with Peers | 8.82 ± 5.34 | 8.03 ± 5.69 | 9.85 ± 4.75 | 1.00 | −0.344 | [−0.848, 0.164] |
| Conflicts with Supervisors | 14.08 ± 6.18 | 13.20 ± 6.50 | 15.22 ± 5.66 | 1.00 | −0.329 | [−0.833, 0.178] |
| Uncertainty concerning treatment | 18.40 ± 7.67 | 17.25 ± 8.40 | 19.89 ± 6.46 | 1.00 | −0.345 | [−0.849, 0.162] |
| Inadequate emotional preparation | 5.48 ± 2.64 | 5.14 ± 3.07 | 5.93 ± 1.92 | 1.00 | −0.297 | [−0.801, 0.209] |
| Discrimination | 3.79 ± 4.10 | 4.20 ± 4.21 | 3.25 ± 3.96 | 1.00 | 0.229 | [−0.276, 0.732] |
| Workload | 17.43 ± 7.16 | 17.00 ± 7.53 | 18.03 ± 6.77 | 1.00 | −0.148 | [−0.650, 0.356] |
| Work Resources | ||||||
| Job Control | 37.03 ± 6.47 | 39.34 ± 5.29 | 34.03 ± 6.72 | 0.02 * | 0.892 | [0.362, 1.41] |
| Social support | 11.29 ± 2.95 | 11.37 ± 3.37 | 11.18 ± 2.35 | 1.00 | 0.073 | [−0.435, 0.580] |
| Rewards | 40.87 ± 8.84 | 43.85 ± 8.12 | 37.00 ± 8.33 | 0.02 * | 0.834 | [0.308, 1.35] |
| Coping Strategies | ||||||
| Problem-focused | 24.00 ± 6.55 | 25.34 ± 7.47 | 22.25 ± 4.69 | 0.52 | 0.480 | [−0.031, 0.988] |
| Seek Advice | 9.53 ± 4.15 | 8.85 ± 4.14 | 10.40 ± 4.09 | 0.96 | −0.376 | [−0.881, 0.132] |
| Self-blame | 3.80 ± 2.07 | 3.65 ± 2.09 | 4.00 ± 2.06 | 1.00 | −0.165 | [−0.667, 0.339] |
| Wishful Thinking | 9.41 ± 5.59 | 8.48 ± 5.47 | 10.63 ± 5.61 | 0.96 | −0.387 | [−0.893, 0.121] |
| Escape/Avoidance | 9.53 ± 4.37 | 9.05 ± 4.30 | 10.14 ± 4.47 | 1.00 | −0.249 | [−0.752, 0.256] |
| Psychological Disease | ||||||
| Global Severity Index | 0.70 ± 0.73 | 0.48 ± 0.72 | 0.98 ± 0.66 | 0.05 * | −0.719 | [−1.23, −0.198] |
| NICU | 1 | 2 | 3 | 4 | 5 | 6 | 7 | 8 | 9 | 10 | 11 | 12 | 13 | 14 | 15 | 16 | 17 | 18 | |
|---|---|---|---|---|---|---|---|---|---|---|---|---|---|---|---|---|---|---|---|
| ICU | |||||||||||||||||||
| Stressors in Nursing | |||||||||||||||||||
| 1. Death and Dying | 1 | 0.60 ** | 0.59 ** | 0.34 | 0.48 * | 0.65 ** | 0.66 ** | 0.42 * | 0.15 | −0.33 | −0.32 | −0.24 | 0.05 | 0.07 | 0.32 | −0.02 | −0.03 | 0.30 | |
| 2. Conflicts with Physicians | 0.86 ** | 1 | 0.66 ** | 0.76 ** | 0.65 ** | 0.81 ** | 0.56 ** | 0.42 * | 0.60 ** | −0.38 * | −0.26 | −0.43 * | 0.07 | 0.17 | 0.41 * | 0.24 | 0.32 | 0.59 ** | |
| 3. Patients and Families | 0.80 ** | 0.81 ** | 1 | 0.60 ** | 0.64 ** | 0.70 ** | 0.24 | 0.55 ** | 0.61 ** | −0.27 | −0.06 | −0.30 | 0.20 | 0.06 | 0.26 | 0.01 | 0.15 | 0.26 | |
| 4. Conflicts with Peers | 0.66 ** | 0.68 ** | 0.48 ** | 1 | 0.75 ** | 0.70 ** | 0.31 | 0.37 | 0.80 ** | −0.46 * | −0.09 | −0.48 * | 0.34 | 0.33 | 0.42 * | 0.37 | 0.35 | 0.60 ** | |
| 5. Conflicts with Supervisors | 0.72 ** | 0.56 ** | 0.67 ** | 0.40 * | 1 | 0.79 ** | 0.26 | 0.42 * | 0.83 ** | −0.24 | −0.09 | −0.55 ** | 0.22 | 0.23 | 0.33 | 0.33 | 0.22 | 0.36 | |
| 6. Uncertainty concerning treatment | 0.90 ** | 0.89 ** | 0.79 ** | 0.68 ** | 0.53 ** | 1 | 0.52 ** | 0.44 * | 0.66 ** | −0.41 * | −0.13 | −0.40 * | 0.19 | 0.29 | 0.39 * | 0.21 | 0.24 | 0.44 * | |
| 7. Inadequate emotional preparation | 0.76 ** | 0.80 ** | 0.69 ** | 0.73 ** | 0.36 * | 0.78 ** | 1 | −0.05 | 0.10 | −0.37 | −0.40 * | −0.16 | −0.01 | 0.07 | 0.14 | 0.09 | 0.07 | 0.37 | |
| 8. Discrimination | 0.44 ** | 0.45 ** | 0.27 | 0.36 * | 0.38 * | 0.39 * | 0.25 | 1 | 0.26 | 0.09 | 0.28 | −0.25 | −0.34 | 0.46 * | 0.40 * | −0.01 | 0.18 | 0.16 | |
| 9. Workload | 0.78 ** | 0.74 ** | 0.82 ** | 0.68 ** | 0.78 ** | 0.65 ** | 0.64 ** | 0.36 * | 1 | −0.28 | −0.02 | −0.56 ** | 0.26 | 0.16 | 0.31 | 0.41 * | 0.37 | 0.48 * | |
| Work Resources | |||||||||||||||||||
| 10. Job Control | −0.15 | −0.09 | 0.06 | −0.31 | −0.11 | −0.06 | −0.18 | −0.27 | −0.29 | 1 | 0.29 | 0.39 * | −0.08 | −0.13 | −0.43 * | −0.30 | −0.22 | −0.41 * | |
| 11. Social support | 0.02 | 0.03 | −0.06 | −0.10 | 0.13 | −0.10 | −0.14 | −0.12 | 0.06 | 0.29 | 1 | 0.24 | 0.43 * | 0.04 | −0.19 | −0.30 | 0.10 | −0.42 * | |
| 12. Rewards | −0.11 | −0.10 | −0.13 | −0.12 | −0.34 * | −0.08 | −0.09 | −0.34 * | −0.21 | 0.20 | 0.41 * | 1 | −0.14 | −0.15 | −0.54 ** | −0.49 ** | −0.54 ** | −0.65 ** | |
| Coping Strategies | |||||||||||||||||||
| 13. Problem-focused | −0.02 | −0.17 | −0.04 | −0.01 | 0.15 | −0.02 | −0.13 | −0.06 | −0.07 | 0.15 | −0.24 | −0.41 * | 1 | 0.51 ** | 0.31 | 0.07 | 0.04 | 0.11 | |
| 14. Seek Advice | 0.04 | 0.00 | −0.00 | 0.15 | 0.01 | 0.05 | 0.08 | −0.09 | 0.01 | 0.00 | −0.11 | −0.19 | 0.61 ** | 1 | 0.36 | 0.41 * | 0.14 | 0.27 | |
| 15. Self-Blame | 0.22 | 0.23 | 0.19 | 0.16 | 0.21 | 0.30 | 0.17 | 0.11 | 0.18 | −0.17 | −0.18 | −0.32 | 0.17 | 0.28 | 1 | 0.56 ** | 0.52 ** | 0.53 ** | |
| 16. Wishful Thinking | 0.38 * | 0.37 * | 0.26 | 0.35 * | 0.34 * | 0.31 | 0.32 | 0.24 | 0.43 * | −0.36 * | −0.03 | −0.26 | 0.12 | 0.53 ** | 0.49 ** | 1 | 56 ** | 0.46 * | |
| 17. Escape/Avoidance | 0.38 * | 0.39 * | 0.25 | 0.34 * | 0.27 | 0.37 * | 0.47 ** | 0.09 | 0.31 | −0.17 | 0.03 | −0.26 | 0.10 | 0.35 * | 0.72 ** | 0.33 | 1 | 0.33 | |
| Psychological Disease | |||||||||||||||||||
| 18. Global Severity Index | 0.36 * | 0.29 | 0.26 | 0.32 | 0.42 * | 0.28 | 0.27 | 0.33 | 0.43 ** | −0.32 | −0.14 | −0.34 * | 0.19 | 0.40 * | 0.56 ** | 0.55 ** | 0.62 ** | 1 | |
| Independent Variable (X) | Mediator (M) | Dependent Variable (Y) | Path a [95% C.I.] | Path b [95% C.I.] | Path c′ Direct Effect [95% C.I.] | Indirect Effect [95% C.I.] | |
|---|---|---|---|---|---|---|---|
| ICU Nurses † | Death and Dying | Conflicts with Supervisors | Psychological Disease | 0.73 [0.48, 0.98] *** | 0.04 [−0.01, 0.09] | 0.01 [−0.04, 0.07] | 0.03 [0.01, 0.06] a |
| NICU Nurses | Death and Dying | Conflicts with Physicians | Psychological Disease | 0.55 [0.25, 0.86] *** | 0.10 [0.03, 0.16] ** | −0.01 [−0.07, 0.05] | 0.06 [0.02, 0.11] a |
| Death and Dying | Uncertainty Concerning Treatment | Psychological Disease | 0.90 [0.47, 1.3] *** | 0.04 [−0.01, 0.10] | 0.01 [−0.07, 0.07] | 0.04 [0.01, 0.14] a |
| Interaction Effects X*W | Model Summary | ||||||||||||
|---|---|---|---|---|---|---|---|---|---|---|---|---|---|
| Independent Variable (X) | Moderator (W) | Dependent Variable (Y) | b | se | t | [95% C.I.] | ΔR2 | F | p | R2 | F | p | |
| ICU Nurses | Conflicts with Supervisors | Self-Blame coping | Psychological Disease | 0.02 | 0.01 | 2.66 | [0.01, 0.03] | 0.11 | 7.07 | 0.012 * | 0.52 | 11.29 | 0.000 *** |
| Conflicts with Supervisors | Escape/Avoidance coping † | Psychological Disease | 0.01 | 0.00 | 4.16 | [0.01, 0.02] | 0.19 | 17.33 | 0.000 *** | 0.67 | 15.17 | 0.000 *** | |
| NICU Nurses | Conflicts with Physicians | Job Control | Psychological Disease | −0.01 | 0.00 | −2.15 | [−0.02, −0.01] | 0.10 | 4.66 | 0.041 * | 0.50 | 7.57 | 0.001 *** |
| Conflicts with Physicians | Social Support | Psychological Disease | −0.02 | 0.01 | −2.37 | [−0.04, −0.01] | 0.11 | 5.63 | 0.026 * | 0.55 | 8.98 | 0.000 *** | |
Disclaimer/Publisher’s Note: The statements, opinions and data contained in all publications are solely those of the individual author(s) and contributor(s) and not of MDPI and/or the editor(s). MDPI and/or the editor(s) disclaim responsibility for any injury to people or property resulting from any ideas, methods, instructions or products referred to in the content. |
© 2025 by the authors. Licensee MDPI, Basel, Switzerland. This article is an open access article distributed under the terms and conditions of the Creative Commons Attribution (CC BY) license (https://creativecommons.org/licenses/by/4.0/).
Share and Cite
Vallone, F.; Lambiase, C.V.; Zurlo, M.C. The Psychological Impact of Dealing with Death and the Risk of Dying Among Nurses Working in ICU and NICU: Specificities in Mediating and Moderating Variables. Healthcare 2025, 13, 2265. https://doi.org/10.3390/healthcare13182265
Vallone F, Lambiase CV, Zurlo MC. The Psychological Impact of Dealing with Death and the Risk of Dying Among Nurses Working in ICU and NICU: Specificities in Mediating and Moderating Variables. Healthcare. 2025; 13(18):2265. https://doi.org/10.3390/healthcare13182265
Chicago/Turabian StyleVallone, Federica, Carmine Vincenzo Lambiase, and Maria Clelia Zurlo. 2025. "The Psychological Impact of Dealing with Death and the Risk of Dying Among Nurses Working in ICU and NICU: Specificities in Mediating and Moderating Variables" Healthcare 13, no. 18: 2265. https://doi.org/10.3390/healthcare13182265
APA StyleVallone, F., Lambiase, C. V., & Zurlo, M. C. (2025). The Psychological Impact of Dealing with Death and the Risk of Dying Among Nurses Working in ICU and NICU: Specificities in Mediating and Moderating Variables. Healthcare, 13(18), 2265. https://doi.org/10.3390/healthcare13182265

