Abstract
This paper presents the notion of primal weak structures as a generalized mathematical framework obtained by relaxing the axioms of classical topological spaces. We formally define primal weak structures and provide a detailed investigation of their fundamental properties. Particular attention is given to the operator , whose essential characteristics and related properties are analyzed to obtain a comprehensive characterization of primal weak structures. Furthermore, we introduce new constructions denoted by , , , and , and demonstrate that they generate generalized primal topological spaces. These results establish a unifying connection between primal weak structures and existing generalized topological frameworks. In addition, several separation axioms are proposed to distinguish between different classes of primal weak structure spaces. Overall, primal weak structures constitute a flexible and robust class of mathematical models with strong connections to classical topology and significant potential for future applications. The operators and constructions developed in this work provide a solid foundation for further research in this area.
Keywords:
primal topology; weak structure; primal weak structure; (w, ?)-open set; relative primal weak structure; Kuratowski’s closure operator MSC:
54A05; 54C10; 54A10
1. Introduction
The idea of generalization in topological theory has been developed progressively over time. In 2002, Császár [1] introduced the concept of a generalized open set in topological space by relaxing some of the axioms of classical topological spaces. The notion of generalized topological space (for short ) was discussed in detail in [2], where its basic definitions and main properties were clearly outlined. In addition, the study in [3] introduced the separation axioms and explained their importance within the structure of topological spaces. Moreover, the research article [4] presented further detailed and supplementary information related to the concept of generalized topological spaces, adding more depth to the existing literature.
The topic of generalized connectedness was thoroughly studied in [5], laying the foundation for further exploration. This was followed by several studies focusing on various topological concepts within this newly investigated generalized space. For instance, the notion of generalized open sets was introduced in Reference [6], while the concept of -modification was discussed in Reference [7]. Furthermore, Reference [8] presented the separation axioms in a more complex and refined form.
On the other hand, the concept of continuity has received considerable attention from researchers. In particular, the notion of almost continuity was introduced in Reference [9], reflecting ongoing efforts to refine and expand classical ideas within a broader generalized framework.
Additionally, Reference [10] contained another generalization of the continuous function, expanding the concept further. Meanwhile, Reference [11] introduced a stronger form of this function, offering a more robust framework for its analysis.
Then, Császár presented a more general mathematical structure in 2011 when presenting [12] the concept of “weak structures” s. Moreover, Al-Omari and Noiri [13] introduced the concept of a -closed set on a . Navaneethakrishnan [14] expanded the field of weak structure research by defining several subsets of X and investigating their properties in relation to a weak structure. Subsequently, Thamaraiselvi [15] presented the notion of “m-structures” and demonstrated how an m-structure induced a finer topology. Additionally, Güldürdek [16] introduced the concept of “p-staks” within the context of weak structures.
In another direction of research within pure mathematics, several mathematical tools were introduced to address complex problems. Acharjee et al. [17] presented the dual structure of a grill [18], which was subsequently termed the “primal” structure. The associated topology, known as the “primal topology”, was defined on this structure. Furthermore, various operators with many desirable properties were developed over this space; for detailed discussions, see [19].
In the context of soft structures, Al-shami et al. [20] introduced soft primal structures, highlighted their properties, and demonstrated their applications within soft set theory, which offers a flexible approach to handle uncertainties in mathematical modeling. Related developments included soft weak structures introduced by Zakari, Ghareeb, and Omran [21].
Al-Omari and Alqahtani [22] introduced primal structures with closure operators and discussed their main properties and applications, which extended the theoretical framework of primal spaces in topology.
Özkoç and Köstel [23] introduced new operators in primal topological spaces, showing that one satisfied the Kuratowski closure axioms and generated a finer topology than the existing -topology.
Al-Omari and Alghamdi [24] explored regularity and normality in primal spaces, and presented new classes of primal Hausdorff, regular, and normal spaces, thereby extending the theoretical understanding of primal structures in topological settings.
Alghamdi [25] investigated different notions of compactness in primal topological spaces, including -compactness, strongly -compactness, and super -compactness, provided theoretical results and illustrative examples, and contributed to the study of primal structures.
In 2023, Al-Saadi and Al-Malki [26] introduced the concept of generalized topology in the context of primal sets, thoroughly investigated its properties, and provided new examples and results. Below, we present several notions that are pertinent to our study.
Al-Saadi and Al-Malki [27] introduced new categories of open sets in generalized primal topological (for short ) spaces, explored their interrelationships, and defined -continuity using these structures. Moreover, in [28] the authors proposed notions of strong -continuity and weakly -closed functions in spaces, analyzed conditions where they coincided with standard -continuity, and investigated their preservation of -connectedness properties.
In this article, we present a definition of the primal weak structure in the sense of Császár and provide a detailed description of the operator , which possesses distinctive properties. Subsequently, we examine several topological properties within the context of our defined space. Furthermore, we aim to address the following questions:
- Question 1: Under what conditions can the primal weak structure coincide with the primal weak structure induced by an operator satisfying Kuratowski’s closure axioms?
- Question 2: Is it possible to further develop this structure to generate a generalized primal topological space?
- Question 3: Do the primal collection have any effect on the separation axioms of a primal weak structure space compared to their behavior in the classical weak structure setting?
This work addresses a gap in the existing literature by systematically studying the interplay between weak structures and primal collections, which has not been previously explored. We emphasize a fundamentally new structural phenomenon in PWS spaces, where the presence of the primal collection modifies classical closure and separation behaviors, producing outcomes not observed in standard weak structures. This addition demonstrates the novelty of our approach and its potential to expand the understanding of generalized topological constructions.
The following provides an outline of the paper’s structure.
In Section 2, we provide a formal definition of the primal weak structure, present illustrative examples, and discuss its basic properties. This section establishes the foundational understanding of the space and highlights its key characteristics in relation to classical topology.
Section 3 is devoted to the introduction and study of the operator . We examine its fundamental properties, illustrate its interaction with the primal weak structure, and discuss how it can be used to derive further mathematical constructions.
Section 4 is devoted to the introduction of several new mathematical structures based on the operator definitions given in Section 3. These structures are further developed into more advanced forms, and the interconnections among them are thoroughly examined.
In Section 5, we formulate the separation axioms within the primal weak structure space and analyze their interrelations. We also highlight certain results that distinguish this space from classical topological spaces. Finally, Section 6 summarizes the key achievements of this article and provides detailed answers to the questions posed in the Introduction.
Preliminaries
This subsection is devoted to a systematic review of the core concepts and essential results that underpin the developments presented in this article. Throughout, the power set of a non-empty set X, that is, the collection of all its subsets, will be denoted by .
Initially, we introduce the notion of weak structure, a concept originally formulated by Császár [12] to extend the classical theory of topology.
Definition 1.
Let X be a non-empty set, and let . The family is called a weak structure (or for short ) on X if . The elements of are referred to as -open sets, and their complements in X are termed -closed sets.
Definition 2.
Given a on X and a subset , the union of all -open sets of X that are contained in A is denoted by , while the intersection of every -closed set of X that contains A is denoted by .
Theorem 1.
Consider as a defined on a non-empty set X, and . Then, the following statements are satisfied:
- (i)
- If , then it follows that ; also .
- (ii)
- The inclusion holds, and similarly, .
- (iii)
- The operators and are idempotent, that is,
Proposition 1.
Consider as a on X, and let . Then, the following statements hold:
- (i)
- An element x belongs to if and only if there exists such that .
- (ii)
- An element x belongs to if and only if, for every containing x, we have .
- (iii)
- A subset A is said to be -open (respectively, -closed) if (respectively, ).
In a different strand of research within topology, a novel construct known as the primal collection was introduced in [17], which has played a significant role in broadening the notion of topological spaces. We proceed to present this concept in detail.
Definition 3.
Let X be a non-empty set. A subfamily is said to be a primal collection over X if, for every two subsets , the following conditions are fulfilled:
- (i)
- The entire set X is excluded from , i.e., .
- (ii)
- If B belongs to and , then A must also belong to .
- (iii)
- If the intersection lies in , then at least one of A or B necessarily belongs to .
Let be a topological space and let be a primal on X. When these conditions are met, the triple is referred to as a primal topological space.
Corollary 1.
A subfamily qualifies as a primal structure over X if and only if, for all , the following statements hold:
- (i)
- .
- (ii)
- If and , then .
- (iii)
- If both A and B fail to belong to , then their intersection also lies outside .
Császár [2] also introduced the concept of generalized topological structures, significantly broadening the classical framework.
Definition 4.
Let X be a non-empty set and a collection of subsets of X. The structure is termed a generalized topological space (or for short ) provided that the following axioms hold:
- (i)
- The empty set ∅ is an element of .
- (ii)
- For any indexed family , the union belongs to .
More recently, a new structure was investigated that integrates the features of generalized topological spaces with those of the primal collection. This hybrid framework, introduced as a triple in Reference [26], is formulated as follows.
Definition 5.
Let X be a non-empty set, let be a generalized topology on X, and let be a primal on X. The triple is said to determine a generalized primal topological space (or for short ) space.
2. Primal Weak Structure
In this part, we will define the weak structure in the sense of the primal sets, identify some of the operators, study their properties, and study the relationship between them. Moreover, we provide some examples and results.
Definition 6.
Consider and as primal and weak structures defined on X, respectively.
The primal weak structure space ( space) is a pair together with a primal defined over that is symbolized via The member of a space is mentioned as -open and its complement is mentioned as -closed.
Example 1.
Let X be an infinite set and fix a point . Define
Then, is a weak structure on X. For each , define
Then, is a space for every . Hence, this construction yields an infinite family of distinct primal weak structure spaces.
Example 2.
Let and define the weak structure
For each , define the primal
Then, is a space for every . Thus, by varying the primal, we obtain infinitely many spaces on the same weak structure.
Example 3.
Let be a topological space and let . For each closed set , define
Then, is a space. Since a topological space generally admits infinitely many closed sets, this construction generates an infinite family of primal weak structure spaces.
Example 4.
Let X be an infinite set and define
For each infinite subset , define the primal
Then, is a space. By varying B over all infinite subsets of X, we obtain an uncountable family of primal weak structure spaces.
The above examples show that primal weak structure spaces form a very rich class. Even for a fixed weak structure, infinitely many non-equivalent spaces can be obtained by varying the primal, which highlights the essential role of the primal in this framework.
Remark 1.
Consider and as primal and weak structures defined on X, respectively. Hence, the following holds:
- (i)
- A primal weak structure is named a strong primal weak structure iff
- (ii)
- Every primal topological space and primal generalized space is a primal weak structure.
- (iii)
- Unlike the topological space, the intersection of any two s gives a and the same is true for the union.
- (iv)
- If a set A is -open, then it coincides with its interior, i.e., . Similarly, A is considered -closed if it coincides with its closure, i.e., . This clarifies that the openness or closedness of A is determined by equality with its corresponding interior or closure operator.
Proof.
Let be a primal topological space. Since every topology contains ∅ and is closed under arbitrary unions, it satisfies the axioms of a weak structure; hence is a primal weak structure space. The same argument applies to a primal generalized space, as a generalized topology also fulfills the weak structure conditions. □
Definition 7.
Consider as a space with Hence, the following holds:
- (i)
- A is named -dense when
- (ii)
- A is named -nowhere dense when
Example 5.
Consider as a space such that
Let
Then, A is -dense, whereas B is -nowhere dense.
Theorem 2.
Let be a space. Then, the collection of all -nowhere dense sets forms a space.
Proof.
Let be the collection of all -nowhere dense sets. Clearly, and . For any family , by the axioms of a space, we have
so . Hence, itself forms a space. □
3. Operators in Primal Weak Structure Spaces
In this section, we introduce key operators on spaces and explore their fundamental properties, which play a central role in studying the behavior of sets with respect to the weak structure and the primal.
Definition 8.
Consider as a space. Define an operator by
where and .
Note that consists of all points such that for every neighborhood U of x in the weak structure , the complement of A together with the complement of U belongs to the primal collection . In other words, x “respects” A with respect to all its weak neighborhoods and the primal collection.
Example 6.
Consider as a space with
- (i)
- In the case where , it follows that
- (ii)
- When , we observe that
- (iii)
- Given that , the result is thatLet , the set of natural numbers, and consider a weak structure Define a primal collection Let . In the classical weak structure w, the operator gives since every weak neighborhood of 1 intersects A. However, for the primal weak structure space , the primal condition restricts inclusion: because if it does not contain 1.Note that (iv) illustrates that a property holding in a may fail in the classical weak structure.
Theorem 3.
Consider as a space. The following holds for two subsets of
- (i)
- is -closed, which means
- (ii)
- whenever,
- (iii)
- (iv)
Proof.
(i) Clearly, . To show the reverse inclusion, let . By definition of the -closure, for every , we have . Thus, there exists . By the definition of , we have for every . Since , and is closed under supersets, it follows that x also satisfies the condition defining . Hence, , which shows that . Therefore, is -closed.
(ii) Suppose that . Let . Then, there exists some satisfying
However, since , it follows from Corollary 1 that Therefore, .
(iii) Suppose that x belongs to Thus, for all
Since it follows that
By the primal definition, this implies
Therefore, which implies
(iv) Since
it follows that
Conversely, suppose that This implies that Hence, there exist such that
Let , then . Therefore,
By the primal definition,
Consequently,
□
Remark 2.
The converse inclusions stated in parts (i) and (ii) of Theorem 3 are not generally valid. The subsequent example serves to demonstrate this limitation explicitly.
Example 7.
Let
Then, forms a space. Consider the infinite sets
We have Thus,
- (i)
- ; however, .
- (ii)
- .
This infinite example shows explicitly that the converse inclusions of Theorem 3 are generally invalid.
Proposition 2.
Given a structure that defines a space, assume that the complement is -open. Under this condition, the inclusion holds. In addition, it follows that .
Proof.
Assume that A is -open, and let . Suppose, for contradiction, that , which means . By the definition of , for every , the union belongs to . Since is -open and contains x, we have . Then, , which contradicts the assumption that while . Hence, , showing that . Moreover, since is -closed, Theorem 3 (i) guarantees that its complement is -open, and applying Theorem 3 (ii) yields . □
Remark 3.
The converse inclusion of Proposition 2 does not hold; the next example illustrates that.
Example 8.
Consider the set equipped with
Then, forms a space.
Now, take the set . In this case, it follows that . However, the complement is not -open, showing that the condition in Proposition 2 is not necessary for the inclusion to hold.
We investigate the conditions or additional assumptions under which the converse of the inclusion stated in Theorem 3 (iii) holds true. In particular, we analyze how these conditions affect the structural properties of the space and the behavior of the operator , providing insight into the interplay between the operator and the underlying primal weak structure.
Proposition 3.
Consider a structure that forms a space. For any subsets , whenever A is -open, the following inclusion holds:
Proof.
Consider an element x belongs to the intersection . This membership implies that By the definition of , for every neighborhood U in , the set lies in . Simultaneously, since A is -open, it belongs to . Combining these facts, the union
also belongs to for all . Consequently, □
Definition 9.
Consider a structure forming a space. For any subset , an operator is introduced by the relation
Additionally, the collection
constitutes a primal weak structure induced by the operator ; here, w denotes the weak structure on X.
Proposition 4.
Consider as a space. Thus, the operator that is defined in Definition 9 satisfies Kuratowski’s closure operator axioms, which means the following:
- (i)
- (ii)
- (iii)
- (iv)
Proof.
We first note that, by Theorem 3 (i), is -closed, which will be used in verifying the closure axioms.
- (i)
- By definition, the closure of the empty set contains no points, so .
- (ii)
- By the definition of and Theorem 3 (i), every point of A is contained in some weak neighborhood intersecting A, hence .
- (iii)
- For any , every weak neighborhood of x intersects . Thus, it intersects A or B, which implies , proving equality.
- (iv)
- Let . Then, every weak neighborhood of x intersects , and by Theorem 3 (i) this ensures . Hence, .
□
Remark 4.
The subsequent theorem provides a comprehensive resolution to the inquiry posed in
Question 1,
elucidating the underlying structural nuances and establishing the foundational framework essential for further developments.
Theorem 4.
Consider a structure forming a space. The following assertions hold:
- (i)
- The equality arises in the case where .
- (ii)
- The equality is satisfied when .
Proof.
(i) By definition, the inclusion holds trivially. To establish the reverse inclusion, consider any subset under the assumption that . In this setting, the -derived set reduces to the empty set for all , as no nontrivial condition is satisfied by any element. Consequently, the operator satisfies
implying that each belongs to . This yields the inclusion . Therefore, the equality is obtained.
(ii) Assume that A is -open. By definition, this implies that the complement is -closed. Consequently, the inclusion holds. Applying the operator yields
At the same time, the containment is always valid by construction of the operator. Therefore, equality follows,
which implies that , establishing the inclusion . For the reverse inclusion, consider any . By definition, this means
and hence . The goal is to verify that is -closed. Given an element , the definition of the derived set guarantees the existence of a neighborhood such that the union fails to belong to . Under the assumption , this failure occurs if and only if . This implies that , so x does not belong to . Hence, the inclusion
is established, confirming that is -closed. As a result, the subset A must belong to , and therefore . Combining both directions yields the equality . □
4. New Structures Form a Space
This part introduces novel mathematical constructs based on the operators , , and . These constructs extend weak structures into the more sophisticated framework of the space [26], providing a resolution to Question 2 as follows.
Definition 10.
Consider as a space with . Define the following subsets of X:
- (i)
- .
- (ii)
- .
- (iii)
- .
- (iv)
- .
Theorem 5.
Assume is a space and Each of the structures , and constitutes a space.
Proof.
Clearly, since . Consider an arbitrary family . By definition, for each index ,
It follows that
Consequently, the union belongs to . An analogous argument establishes the corresponding closure properties for the remaining structures. □
Proposition 5.
Within the space and for any subset , the collection constitutes a space on X.
Proof.
Clearly Consider a family . By definition, for each index , the equality
holds. Taking the union over yields
The union belongs to . Therefore, forms a generalized primal topology on X. □
Theorem 6.
Consider as a space. Thus, the following holds:
- (i)
- (ii)
Proof.
(i) For any set , the equality holds. From this, the inclusion implies
Since it follows that
Applying the operator yields
which establishes membership of A in . Moreover, the inclusion
shows that A belongs to . Consequently,
Since one obtains
which confirms that A is an element of .
(ii) The assertion follows by an analogous argument to that in part (i). □
5. Separation Axioms on a Space
We introduce the separation axioms in the context of primal weak structure spaces and examine their interrelations. These axioms are crucial for distinguishing points and sets, forming a core part of the structural analysis of topological spaces. Their study in PWS spaces extends classical results and reveals new topological behaviors.
Definition 11.
Let be a space. A subset is called a -set if where and are -open sets.
Remark 5.
Every -open set is a -set by taking .
Definition 12.
Let be a space. The space is said to satisfy the following separation axioms:
- (i)
- - (resp., ) if for any two distinct points , there exists a -set (resp., open set) containing exactly one of x or y.
- (ii)
- - (resp., ) if for any two distinct points , there exist sets as above such that , , , and .
- (iii)
- - (resp., ) if the separating sets U and V in (ii) are disjoint.
- (iv)
- - if for any two distinct points , there exists a -open set containing precisely one of x or y.
- (v)
- - if for any two distinct points , there exist -open sets such that , , , and .
- (vi)
- - (Hausdorff) if for any two distinct points , there exist disjoint -open sets with and .
Theorem 7.
A space attains the - property exactly when it possesses the - property.
Proof.
Assume that the space has the - property. For any distinct points , there exists a -set U such that and .
Express U as , where and are -open. Then, either and , or and . In both situations, there exists a -open set containing exactly one of x or y. Therefore, satisfies the - condition.
The converse follows directly from Remark 5, since every -open set is a -set. □
Corollary 2.
Every space satisfying the - condition satisfies the - condition as well.
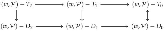
Remark 6.
The following diagram shows the relationship among all the previous notions.
The converse of the relationship in Figure 1 is not always true; the next examples explain that.
Figure 1.
The relationships between all separation axioms on a space.
Example 9.
Let , the set of natural numbers, and consider the primal collection
Define the structure in three distinct ways:
- (i)
- . Then, is - and hence -, but it is not -.
- (ii)
- . Then, is - and -, but it is not -.
- (iii)
- . Then, is - (since there exist -sets corresponding to singletons in ), but it is not -.
This construction generalizes the finite case to an infinite space, illustrating how different choices of affect the separation axioms.
Effect of the Primal on Separation Axioms
In this subsection, we investigate how the primal collection influences classical separation axioms in a space. By focusing on special classes of sets defined via the primal, we uncover new structural behaviors and distinctions between -Hausdorff and -Hausdorff spaces.
In particular, this subsection addresses Question 3, examining the conditions under which the primal weak structure can be further developed to generate a generalized primal topological space and the resulting effects on separation properties.
Definition 13.
Let be a space. A subset is called -open if
Definition 14.
A space is -Hausdorff if for every pair of distinct points , there exist disjoint -open sets U and V such that and .
Remark 7.
A -Hausdorff space need not be -Hausdorff, and vice versa. This shows that the standard separation axioms do not automatically transfer when restricting to -open sets.
Example 10.
Let , the set of natural numbers, and define , with primal collection
Then, for any , we have , so no set other than the empty set is -open. Therefore, this infinite space is -Hausdorff but not -Hausdorff.
Example 11.
Consider , the set of all integers, with and primal collection . In this infinite setting, every -Hausdorff space is automatically -Hausdorff, since for each pair of distinct points , the sets and satisfy .
Definition 15.
A space is called -Hausdorff if for every pair of distinct points , there exist -open sets such that
Remark 8.
From Definition 15, every -Hausdorff space is -Hausdorff, independent of the choice of the primal . Conversely, a -Hausdorff space may not be -Hausdorff unless additional conditions are satisfied on the primal.
Example 12.
Let with and . Then, for any , the singleton sets and are -open and disjoint, so the space is -Hausdorff. However, -Hausdorff fails since 1 cannot be separated from 2 with -open sets.
Theorem 8.
Every -Hausdorff space is -Hausdorff. There exist infinite -Hausdorff spaces that are not -Hausdorff, demonstrating that the primal strongly affects the separation properties.
Proof.
Let be -Hausdorff. For each distinct , there exist disjoint -open sets such that and . Then, , so is -Hausdorff.
To see that the converse fails in general, consider Example 4 with . For and , any -open sets containing them intersect outside , showing -Hausdorff does not hold. □
Theorem 9.
Let be a -Hausdorff space. Suppose that for every countable family of -open sets, the intersection
Then, is -Hausdorff.
Proof.
Consider any distinct points . Since is -Hausdorff, there exist -open sets and such that , , and .
Construct the countable family by iteratively refining neighborhoods of x and y:
where each for all . By the infinite intersection property, we have
This intersection forms disjoint -open sets around x and y, proving that satisfies the -Hausdorff condition. □
Example 13.
Let , the set of natural numbers, and define a structure as follows:
For any distinct , choose and . Then,
demonstrating the -Hausdorff property.
Consider the countable family , where . Then,
This confirms the infinite intersection property of the theorem and ensures that this -Hausdorff space is also -Hausdorff.
Thus, this construction provides a concrete infinite space illustrating the impact of the primal on separation axioms.
Theorem 10.
Let be a space. If the space is -, then for any distinct we have
Proof.
For distinct , there exists a -open set U such that and . Since is -closed and may belong to the primal , it contains y but not x, giving . Hence, the primal collection ensures that the distinction of closures respects . □
Theorem 11.
If is -closed for all and for all distinct , then the space is -.
Proof.
For distinct , pick . Then, is -open, containing x but not y. The primal ensures these open sets are compatible with , so - is satisfied. □
Theorem 12.
If is -closed for all , then the space is -.
Proof.
For distinct , the complements and are -open and may belong to , separating x and y. Hence, the space is - under the primal constraints. □
Corollary 3.
If the union of -open sets is -open, then the converse of Theorem 11 holds, ensuring a stronger -compatibility.
Example 14.
Let , , and
- (i)
- Each singleton is -closed, hence the space is -.
- (ii)
- For , the set contains n but not m, showing - separation.
- (iii)
- The primal collection ensures that finite intersections of closures respect , highlighting new behaviors in infinite spaces.
Remark 9.
The inclusion of a primal collection modifies the classical separation axioms:
- (i)
- and properties are now sensitive to -closed sets.
- (ii)
- Infinite spaces can be studied via , giving rise to subspaces and hierarchies that preserve separation under primal constraints.
- (iii)
- This framework allows constructing infinite examples where separation holds in ways impossible in ordinary topological spaces without .
Example 15.
Let , the set of natural numbers, and consider a weak structure
Define a primal collection
Let . In the weak structure w, the operator gives since every weak neighborhood of 1 intersects A. In the primal weak structure space , the primal condition restricts inclusion:
because if it does not contain 1.
This example illustrates that a property holding in a PWS may fail in the classical weak structure. Specifically, the primal condition modifies the closure behavior, highlighting the effect of the primal collection .
6. Conclusions
This paper has introduced the concept of a primal weak structure, built upon weak structures defined via primal sets, and has provided a thorough analysis of the associated operators and their fundamental properties. The construction of primal weak structures was further extended to generalized primal topological spaces, and separation axioms within these structures were examined, with relationships between them illustrated and distinctions from classical topological spaces highlighted.
The study has addressed the key questions posed in the Introduction; specifically, the conditions under which a primal weak structure coincides with one induced by an operator satisfying Kuratowski’s closure axioms, the potential for further development into generalized primal topological spaces, and the influence of the primal collection on separation axioms compared to classical weak structures.
As a direction for future research, it would be of interest to explore the interplay between primal weak structures and additional algebraic or topological constraints, such as compactness or connectedness, and to investigate how these conditions affect the behavior of the associated operators. Such investigations may lead to new classes of generalized topological spaces with richer structural and functional properties.
Author Contributions
Methodology, H.A.-S. and H.A.-M.; writing—original draft, H.A.-S. and H.A.-M.; writing—review and editing, H.A.-S. and H.A.-M.; supervision, H.A.-S. All authors have read and agreed to the published version of the manuscript.
Funding
This research received no external funding.
Data Availability Statement
Data sharing is not applicable to this article as no data sets were generated or analyzed during the current study.
Acknowledgments
The authors declare they have not used artificial intelligence (AI) tools in the creation of this article.
Conflicts of Interest
The authors declare no conflicts of interest.
References
- Császár, A. Generalized open sets. Acta Math. Hung. 1997, 75, 65–87. [Google Scholar] [CrossRef]
- Császár, Á. Generalized topology, generalized continuity. Acta Math. Hung. 2002, 96, 351–357. [Google Scholar] [CrossRef]
- Császár, Á. Separation axioms for generalized topologies. Acta Math. Hung. 2004, 104, 63–69. [Google Scholar] [CrossRef]
- Császár, Á. Remarks on quasi topologyies. Acta Math. Hung. 2008, 119, 197–200. [Google Scholar] [CrossRef]
- Császár, A. Extremally disconnected generalized topologies. Ann. Univ. Sci. Budapest 2004, 47, 91–96. [Google Scholar]
- Császár, A. Generalized open sets in generalized topologies. Acta Math. Hung. 2005, 106, 53–66. [Google Scholar] [CrossRef]
- Császár, A. δ- and θ-modifications of generalized topologies. Acta. Math. Hung. 2008, 120, 275–279. [Google Scholar] [CrossRef]
- Ge, X.; Ge, Y. μ-Separations in generalized topological spaces. Appl. Math. J. Chin. Univ. 2010, 25, 243–252. [Google Scholar] [CrossRef]
- Min, W. Almost continuity on generalized topological spaces. Acta Math. Hung. 2009, 125, 121–125. [Google Scholar] [CrossRef]
- Min, W. A note on θ(g, g′)-continuity in generalized topological spaces. Acta Math. Hung. 2009, 125, 387–393. [Google Scholar] [CrossRef]
- Min, W.; Kim, Y. Some strong forms of (g, g′)-continuity on generalized topological spaces. Honam Math. J. 2011, 33, 85–91. [Google Scholar] [CrossRef]
- Császár, Á. Weak structures. Acta Math. Hung. 2011, 131, 193–195. [Google Scholar] [CrossRef]
- Al-Omari, A.; Noiri, T. A unified theory of generalized closed sets in weak structures. Acta Math. Hung. 2012, 135, 174–183. [Google Scholar] [CrossRef]
- Navaneethakrishnan, M.; Thamaraiselvi, S. On weak structures of Császár. Acta Math. Hung. 2012, 137, 224–229. [Google Scholar] [CrossRef]
- Navaneethakrishnan, M.; Thamaraiselvi, S. On some subsets defined with respect to weak structures. Acta Math. Hung. 2013, 139, 11–18. [Google Scholar] [CrossRef]
- Güldxuxrdek, A. Weak structures and p-staks. J. Adv. Stud. Topol. 2012, 3, 69–73. [Google Scholar] [CrossRef]
- Acharjee, S.; Özkoç, M.; Issaka, F.Y. Primal topological spaces. Bol. Soc. Paran. Mat. 2025, 43, 1–9. [Google Scholar] [CrossRef]
- Choquet, G. Sur les notions de filtre et de grille. C. R. Acad. Sci. Paris 1947, 224, 171–173. [Google Scholar]
- Al-Omari, A.; Acharjee, S.; Özkoç, M. A new operator of primal topological spaces. Mathematica 2023, 65, 175–183. [Google Scholar] [CrossRef]
- Al-shami, T.M.; Ameen, Z.A.; Abu-Gdairi, R.; Mhemdi, A. On Primal Soft Topology. Mathematics 2023, 11, 2329. [Google Scholar] [CrossRef]
- Zakari, A.H.; Ghareeb, A.; Omran, S. On soft weak structures. Soft Comput. 2017, 21, 2553–2559. [Google Scholar] [CrossRef]
- Al-Omari, A.; Alqahtani, M.H. Primal Structure with Closure Operators and Their Applications. Mathematics 2023, 11, 4946. [Google Scholar] [CrossRef]
- Özkoç, M.; Köstel, B. On the topology of primal topological spaces. AIMS Math. 2024, 9, 17171–17183. [Google Scholar] [CrossRef]
- Al-Omari, A.; Alghamdi, O. Regularity and Normality on Primal Spaces. AIMS Math. 2024, 9, 7662–7672. [Google Scholar] [CrossRef]
- Alghamdi, O. On the compactness via primal topological spaces. AIMS Math. 2024, 9, 32124–32137. [Google Scholar] [CrossRef]
- Al-Saadi, H.; Al-Malki, H. Generalized primal topological spaces. AIMS Math. 2023, 8, 24162–24175. [Google Scholar] [CrossRef]
- Al-Saadi, H.; Al-Malki, H. Categories of open sets in generalized primal topological spaces. Mathematics 2024, 12, 207. [Google Scholar] [CrossRef]
- Al-Saadi, H.; Al-Malki, H. Strong GP-continuity and weakly GP-closed functions on GPT spaces. King Saud Univ. Sci. 2024, 36, 103259. [Google Scholar] [CrossRef]
Disclaimer/Publisher’s Note: The statements, opinions and data contained in all publications are solely those of the individual author(s) and contributor(s) and not of MDPI and/or the editor(s). MDPI and/or the editor(s) disclaim responsibility for any injury to people or property resulting from any ideas, methods, instructions or products referred to in the content. |
© 2026 by the authors. Licensee MDPI, Basel, Switzerland. This article is an open access article distributed under the terms and conditions of the Creative Commons Attribution (CC BY) license.
