Next Article in Journal
A Quantum Algorithm for the Classification of Patterns of Boolean Functions
Previous Article in Journal
Robustness Measurement of Comprehensive Evaluation Model Based on the Intraclass Correlation Coefficient
 
 
Font Type:
Arial Georgia Verdana
Font Size:
Aa Aa Aa
Line Spacing:
Column Width:
Background:
Article

A Bayesian Hierarchical Approach to Quasi-Replicate Dataset Modelling

by
Hassan M. Aljohani
1,* and
Robert G. Aykroyd
2
1
Department of Mathematics and Statistics, College of Science, Taif University, P.O. Box 11099, Taif 21944, Saudi Arabia
2
Department of Statistics, School of Mathematics, University of Leeds, Leeds LS2 9JT, UK
*
Author to whom correspondence should be addressed.
Mathematics 2025, 13(11), 1751; https://doi.org/10.3390/math13111751
Submission received: 20 January 2025 / Revised: 4 May 2025 / Accepted: 14 May 2025 / Published: 25 May 2025
(This article belongs to the Section D1: Probability and Statistics)

Abstract

It is very common for multiple experiments to be conducted under non-identical but similar conditions, perhaps because of implementation errors, natural variability in experimental material, or gradual drifting of experimental conditions. In the extremes of modelling, each dataset could be analysed independently or the differences ignored entirely and the datasets treated as replicates. In this paper, an alternative approach is proposed in which a common parametric family is assumed across all datasets, but which then links parameters in the separate datasets through prior models. It is assumed that knowledge exists about the relationship between the model parameters. For example, there may be some parameters which are expected to be equal, some which can be ordered, and others which follow more complex relationships. The proposed modelling approach is motivated by and illustrated using a collection of 18 autoradiography line-source experiments, which are then used to determine details of a blur function used in the analysis of electron microscope autoradiography images. Appropriate prior models are considered which contain prior parameters controlling the level of agreement with the assumption; at one extreme the analyses are independent, while at the other they are treated as replicates. The results show how the parameter estimates and goodness-of-fit depend on the level of agreement; in addition, a hyper-prior is placed on these parameters to for allow automatic analysis. Parameter estimation is performed using Markov chain Monte Carlo methods. As well as presenting a novel analysis of autoradiography data, the proposed method also provides a general framework for dealing with a wide variety of practical data analysis problems, showing potential for widespread use across the experimental sciences.

1. Introduction

With the increasing access to diverse data, it is common to create collections that are more appropriately described as observational rather than the result of designed experiments. This means that it is harder to maintain the consistency of known important factors, let alone the myriad of unknown influences. In a designed experiment, such factors are either explicitly part of blocking or stratification, or are balanced by randomisation. If no such action is possible, then repeated experiments may have many of the properties of replicates, but may also exhibit inconsistencies from one repeat to the next. For example, it may be unethical to maintain consistency across medical studies (for example, see [1] or [2]). Clearly, one approach is never to combine the repeats but to instead keep them very separate and make conclusions about each situation independently. With less vigilance, all might be combined with the hope that the inconsistencies will only add to the overall noise without creating bias.
Despite the wide use of either fully independent analyses or naive pooling of datasets, there remains a methodological gap in approaches that can rigorously accommodate partial or structured agreement across quasi-replicate datasets. Current models rarely offer a flexible mechanism to express known or hypothesized relationships such as parameter equality, ordering, or bounded variation across repeated experiments. In this paper, we address this gap by introducing a Bayesian hierarchical framework that explicitly encodes these structured relationships through carefully designed priors. While hierarchical models are well established, our contribution lies in the use of flexible domain-informed priors to help bridge the spectrum between full replication and complete independence, thereby providing a principled middle ground that is often lacking in practice.
In this paper, a modelling approach is adopted within a hierarchical Bayesian framework (for example, see [3,4]) to incorporate suspected differences between repeats. In addition to allowing for inferential differences between repeats, this analysis can help to identify the effects of these difference, thereby leading to additional insights.
The primary objectives of this study are as follows: (i) to develop a hierarchical Bayesian framework for modeling quasi-replicate datasets with structured parameter relationships; (ii) to demonstrate the proposed framework on real experimental data, specifically a set of electron microscope autoradiography studies; and (iii) to evaluate how different assumptions about inter-dataset relationships influence inference and model fit.
The proposed framework offers several key benefits: first, it allows analysts to incorporate domain knowledge about expected parameter similarities or differences; second, it supports partial pooling through prior specifications; finally, it provides a coherent probabilistic foundation for dealing with complex and non-identically-distributed experimental data, making it applicable across the wide range of scientific fields where quasi-replication is common.

2. Modelling of Quasi-Replicates

2.1. General

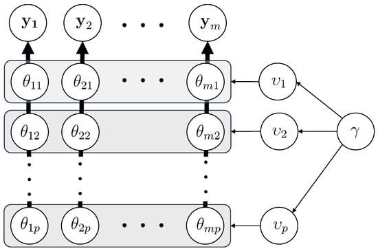
Suppose that an experiment is comprised of M replicated sub-experiments with the aim of investigating the distributions of some variable of interest Y. For each replicate, a separate dataset is recorded; these datasets are then combined to provide the full set of measurement y = { y j : j = 1 , , M } = { y i j : i = 1 , , n j ; j = 1 , , M } , where n j is the sample size for replicate j and there is no assumption that the sizes are constant across replicates. Further, we assume that measurements of q other variables X = { X 1 , , X q } are also recorded for each replicate, leading to additional data denoted x = { x i j : i = 1 , q ; j = 1 , M } . The variation in these values prevents them from being true replicates and causes systematic patterns in the measurements. The modelling of such systematic patterns is a main theme of this paper. For each replicate, the same flexible continuous distribution family f ( y | · ) is considered, which depends on a set of parameters denoted θ = { θ k : k = 1 , , p } , and consequently on the density family f ( x | θ ) . Clearly, it is possible to simply combine the measurements from each replicate and obtain a single set of parameter estimates. On the other hand, an initial analysis might be performed on each replicate with the cautious approach of checking for consistency before combining. The theme of this paper is to consider the situation where some of the experimental conditions are not constant between replicates, either by design or by chance. In particular, in the scenario where lack of consistency is suspected or has already been confirmed but where it is also expected that the relationships between estimated parameters from the replicates will have some structure, we shall refer to the sub-experiments as quasi-replicates. This creates duplicated sets of related parameters, as illustrated in Table 1. It is necessary to discuss collections of the parameters related to a single sub-experiment, that is, a row in Table 1; hence, Θ = { θ j : j = 1 , , M } , where for j = 1 , , M we have θ j = { θ j k : k = 1 , , p } . Similarly, for the equivalent parameters across all sub-experiments, that is, a column in Table 1, we have Θ = { θ k : j = 1 , , M } , where θ k = { θ j k : j = 1 , , M } for k = 1 , , p . Thus, θ j are parameters for a single sub-experiment, whereas θ k are parameters across all sub-experiments. For more details—see Supplementary Materials.

2.2. Bayesian Modelling

In this paper, a Bayesian approach is taken to modelling the relationships between parameters from the quasi-replicates. We use the definitions of likelihood and prior distribution provided later in this section. For general background to Bayesian modelling, see [3,5,6,7,8], among others. We adopt a Bayesian approach in this paper due to its flexibility in incorporating prior knowledge and robustness in handling uncertainty, especially in settings with limited or noisy data, which is often the case with quasi-replicates. The Bayesian framework allows for formal combination of prior beliefs and observed data through the posterior distribution. Key assumptions include the specification of prior distributions, chosen here to reflect weakly informative beliefs where applicable, and the structure of the likelihood, which assumes conditional independence across quasi-replicates. These choices are further detailed in Table 1.
Furthermore, the Bayesian framework is inherently flexible and can be extended to accommodate missing data by treating unobserved values as additional unknowns within the model. This allows inference to proceed without discarding incomplete observations, provided an appropriate model of missingness is specified. Furthermore, the use of hierarchical priors in our model helps to address unobserved heterogeneity across quasi-replicates by allowing for variation in parameter estimates while still enabling information sharing. More sophisticated forms of heterogeneity, such as latent class structures, could also be integrated within this framework in future work.
The individual likelihood and log-likelihood functions for single dataset j with model parameters θ j are provided by
L j ( y j | θ j ) = i = 1 n j f ( y i j | θ j ) ,
and
l j ( y j | θ j ) = log L j ( y j | θ j ) = i = 1 n j log f ( y i j | θ j ) .
The likelihood of the full dataset with model parameters Θ = { θ j , , j = 1 , , M } , which can also be re-written in terms of the individual dataset likelihood functions, is provided by
L ( y | Θ ) = L ( y | Θ = ( θ 1 , , θ M ) )
= j = 1 M i = 1 n j f ( y i j | θ j ) = j = 1 M L j ( y j | θ j ) ,
that is, by the product of the terms in the right-hand column of Table 1.
The known subjective information about relationships between model parameters, such as the expected similarity, ordering, or bounded variation, is formally encoded through the prior distributions. These priors include parameters that control the degree of agreement between datasets. Importantly, by placing hyper-priors on these parameters, the model can learn the appropriate level of pooling or separation from the data itself, thereby balancing prior knowledge with empirical evidence. This approach improves model flexibility, mitigates the risks of over- or under-pooling, and supports automatic data-driven regularization. It is a common approach to include one or two hierarchical layers into the modelling, after which additional layers would contribute little to the final estimation process but would contribute to the problem complexity and computation overhead.
Let the prior distribution of the model parameters Θ be denoted as π ( Θ | Υ ) , with the prior parameter set Υ = { υ k : k = 1 , , p } and with Υ modelled according to π ( Υ | γ ) . In this paper, we assume that the hyperparameters γ which govern the strength or structure of prior beliefs are fixed (possibly informed by preliminary analysis or domain expertise) rather than treated as random and estimated from the data. This choice simplifies computation and model interpretation, but also limits the model’s ability to adapt to the data in cases where the choice of γ is uncertain or subjective. Alternative versions of the model could incorporate hyper-priors on γ to enable full Bayesian learning and automatic tuning.
In what follows, it is assumed that the prior information about each parameter is independent of all other parameters but that there is some relationship between values of the same parameter which are in different datasets; hence,
π ( Θ | Υ ) = k = 1 p π ( θ k | υ k ) ,
that is, the product of all the terms in the bottom margin of Table 1. As a simplification, the hyper-prior distributions are taken to depend on a common hyperparameter γ as
π ( Υ | γ ) = k = 1 p π ( υ k | γ ) ,
that is, there is a single hyper-prior parameter γ which controls all the hyper-prior distributions, although these distributions may including scaling of the variable to achieve approximate equanimity.
Examples of potential prior models include:
  • No prior information, θ k Unif .
  • Shrinkage to zero, θ k | υ k N ( 0 , υ k 2 ) .
  • Shrinkage to a common mean, θ k | θ ¯ k , υ k N ( θ ¯ k , υ k 2 ) , where θ ¯ k is the mean of θ k with θ k excluded.
  • Smoothing of ordered parameters, θ k | θ k 1 , υ k N ( θ k 1 , υ k 2 ) for k = 2 , , p .
  • Covariate regression, θ k | β k , υ k N ( θ ¯ + β k ( x k x ¯ ) , υ k 2 ) .
Finally, the prior variance parameters are modelled by exponential distributions υ k Exp ( γ ) , which promotes closer relationships between the parameters of the prior parameters. A diagram illustrating the hierarchical structure is provided in Figure 1.
In all of the above, the normal distribution can be replaced by a Laplace distribution, which converts shrinkage and ridge regression to thresholding via LASSO (for an example, see [9]). In Section 2 and Section 5, the Laplace distribution is used throughout.
In the prior model example case (5), the introduced regression parameters β = ( β 1 , β 2 , , β r ) may be subject to further hierarchical modelling using models such as those above with additional variance parameters, resulting in the set of prior variance parameters, referred to as Y = ( υ 1 , υ 2 , , υ p , υ p + 1 , , υ p + r ) . Finally, the prior variance parameters are modelled by exponential distributions υ k Exp ( γ ) , which promotes closer relationships between the prior parameters. When helpful, let the set of all hyper-parameters υ combined with β be denoted as φ = { υ , β } = { φ 1 , φ 2 , , φ K } .
As a full statistical description of the model, the likelihood and priors are brought together to form the posterior distribution, which is the focus for inference:
p ( Θ , Υ | y ) = p ( y | Θ ) × p ( Θ | Υ ) × p ( Υ | γ ) × p ( y ) .
Then, the above form provides
p ( Θ , Υ | y ) i = 1 m j = 1 n i f ( y i , j | Θ j ) × i = 1 m k = 1 p p ( Θ i , k | υ k ) × k = 1 p p ( υ k | γ ) .
In Section 3, Case 3 above is again considered as a general approach to quasi-replicate modelling. In addition, we consider a combination of the above cases as an example of the use of high-level prior information where specific practical knowledge of each parameter is taken into account. In the next section, the background to autoradiographic line-spread data collection and modelling is used as an example, as this forms the motivation for the detailed prior modelling examples and is analysed in Section 5.

2.3. Estimation via MCMC

Both the full posterior distribution p ( Θ , Y | y ) and the marginal posterior distribution p ( Θ | y ) with the hyper-prior parameters integrated out are multivariate and highly complex distributions. This is particularly true if we move away from normal distributions and when the prior distributions take on varying forms. Any explicit solution for posterior parameter estimates is impossible, and numerical optimization does not easily allow for more general inference beyond point estimation. Hence, in this paper we use a standard Markov Monte Carlo algorithm to collect correlated samples from the posterior distribution. These samples can then be summarised to perform varied inference. The implemented MCMC algorithm is based on standard single-parameter updates and random walk updates. For details of MCMC methods for Bayesian inference, see [8,10,11,12,13], among others. Proposed parameter values which are outside the parameter space are immediately rejected. Proposal variance is automatically adjusted during the burn-in period to reduce the time taken to declare equilibrium and reduce chain autocorrelation (see for example [14,15]). Run lengths were set to substantially exceed the minimum sample size calculations based on integrated autocorrelation (see for example [16]). Various summary numerical and graphical outputs are then produced, as described in Section 5. All computations were performed in [17], and script files for all results are available from the authors.

3. Modelling I-125 Line-Spread Data

3.1. Background to Autoradiography

Autoradiography, in particular electron microscope autoradiography, is a technique used in cellular and molecular biology for the quantitative study of large molecules such as proteins, hormones, and pesticides. For some recent uses, see for example [18,19,20]. Autoradiography can be used to track the progress of metabolic processes through the localisation of radioactive tracer molecules. In contrast to other radioactive emission imaging methods such as gamma camera imaging, SPECT, and PET (see [21]), the detector system is a simple photographic film which is placed in contact with the study material. The number of radioactive events is usually small and they can sometimes be recorded at some considerable distance from their origin, making the problem a classical linear inverse problem which has exactly the same structure as gamma camera imaging, SPECT, and PET. The key requirement to solving the resulting estimation problem is detailed knowledge of the distribution of the distance between a radioactive event and its origin. To investigate this distribution, which depends on experimental conditions, separate controlled calibration experiments are performed using a radioactive line source; hence, the resulting collection of measurements of distance from the line source to the recorded locations is known as line-source data. Statistical models can be fitted to these datasets, and the resulting model parameters can then be used in other autoradiographic studies. A review of previously used statistical models can be found in [22], where the authors proposed an improved modelling approach that was subsequently studied in [22]. For the data considered in these two works, see [23]. The data were derived from 18 calibration experiments performed using line sources with thickness ranging from about 0.4 μm to about 0.7 μm. It is thought that this thickness helps to control the amount of spread in the line-source data. In addition, the authors recorded is the length of the line source, which varied from 834 μm to 1565 μm. These two sets of additional data are be denoted as x 1 = { x 1 j : j = 1 , , M } and x 2 = { x 2 j : j = 1 , , M } , respectively. The model from [22] is described in the next section, which motivates the quasi-replicate models considered in Section 4 and subsequently analysed in Section 5.

3.2. Mixture Model Based on Student’s t Distribution Components

It is reasonable to assume that both the distance travelled by emitted particles and their subsequent chances of being recorded in the photographic layer are related to their energy. Certain radioactive isotopes emit particles in distinct energy bands; for Iodine-125 in particular, there are three bands: 0–1 keV, 3.0–3.6 keV, and 22.7–34.6 keV, in proportions 0.52, 0.42, and 0.06, respectively, which suggests that a three-part mixture model could be appropriate. In [22], the authors proposed the use a mixture model with Student’s t distribution components; for example, see [24] for further details of general-purpose robust modelling using the distribution of Student’s t value. Further, folding and truncation of the distributions can be used to accommodate the measurement regime, while a uniform component can be used to describe recordings due to background radiation. In [22], the authors found that at most two Student’s t distribution components are needed to describe experimental data. This model is described below.
The basis of the model uses the following form of the Student’s t distribution with location and scale parameters:
g ( x | ν , σ , μ ) = Γ ( ν ) π Γ ( ν 1 2 ) σ ν 1 σ 2 + ( x μ ) 2 / ν ν ,
with < x , μ < ; ν > 1 / 2 , σ > 0 , the parameter ν defines the degrees of freedom ( d o f = 2 ν 1 ), σ is a scale parameter, and μ is a location parameter. In particular, it is expected that ν and σ will depend on the energy of the emitted particles and that μ will describe any systematic measurement error due to misidentifying the exact location of the line source.
Now, let the probability density function f ( x ) describe the horizontal distance x from a recorded event to the line source, where the measured distances are recorded without signs and only over the range ( 0 , T ) . Further, a proportion π of the recorded events is caused by homogeneous background sources, giving rise to a uniform distribution on ( 0 , T ) ; hence, the appropriate form for the distribution of observed events is
f ( x | Θ ) = π 1 T + ( 1 π ) ω g ( x ; μ , ν 1 , σ 1 ) + g ( x ; μ , ν 1 , σ 1 ) G ( T ; μ , ν 1 , σ 1 ) G ( T ; μ , ν 1 , σ 1 ) + ( 1 ω ) g ( x ; μ , ν 2 , σ 2 ) + g ( x ; μ , ν 2 , σ 2 ) G ( T ; μ , ν 2 , σ 2 ) G ( T ; μ , ν 2 , σ 2 ) ,
where G ( . ) is the cumulative distribution function corresponding to g ( . ) . The full parameter set Θ contains three parameters which do not depend on the component: a background proportion π , a weight ω , and a location μ . In addition, there are two pairs of parameters ( ν 1 , σ 1 ) and ( ν 2 , σ 2 ) . This results in a total of p = 7 model parameters, referred to as Θ = ( θ 1 , θ 2 , , θ p ) when convenient.

4. Prior Models for Quasi-Replicates

4.1. Agreement Model

There are many possible forms that prior information might take; here, two differing approaches are described and then applied to the data in Section 5. The first is the most general, and can easily be applied to any replicate and quasi-replicate situation. It simply assumes that the values of a given parameter for each sub-experiment are drawn from a common distribution, such as a Laplace distribution, with unknown mean and variability. As the variability grows larger, the individual estimates tend toward those from independent estimation, while as the variability tends to zero, the parameter estimate tends toward a common estimate. For ease of estimation, rather than estimating common mean and variability parameters, we consider a conditional distribution approach.
In particular, in the data application considered here, we define the following:
θ k θ ¯ k | θ ¯ k i n d e p Laplace ( 0 , υ k ) k = 1 , , p
where the notation θ ¯ k refers to the mean of the parameters across sub-experiments with θ k excluded. The variability parameters after scaling are modelled by a common exponential distribution υ k / δ k Exp ( γ ) , with γ fixed after some initial experimentation. The scaling values will also be fixed during experiments; here, the exact value is not relevant, as it is only necessary to achieve approximate equity in the influence of the hyper-prior on the variability parameters.

4.2. Structural Model

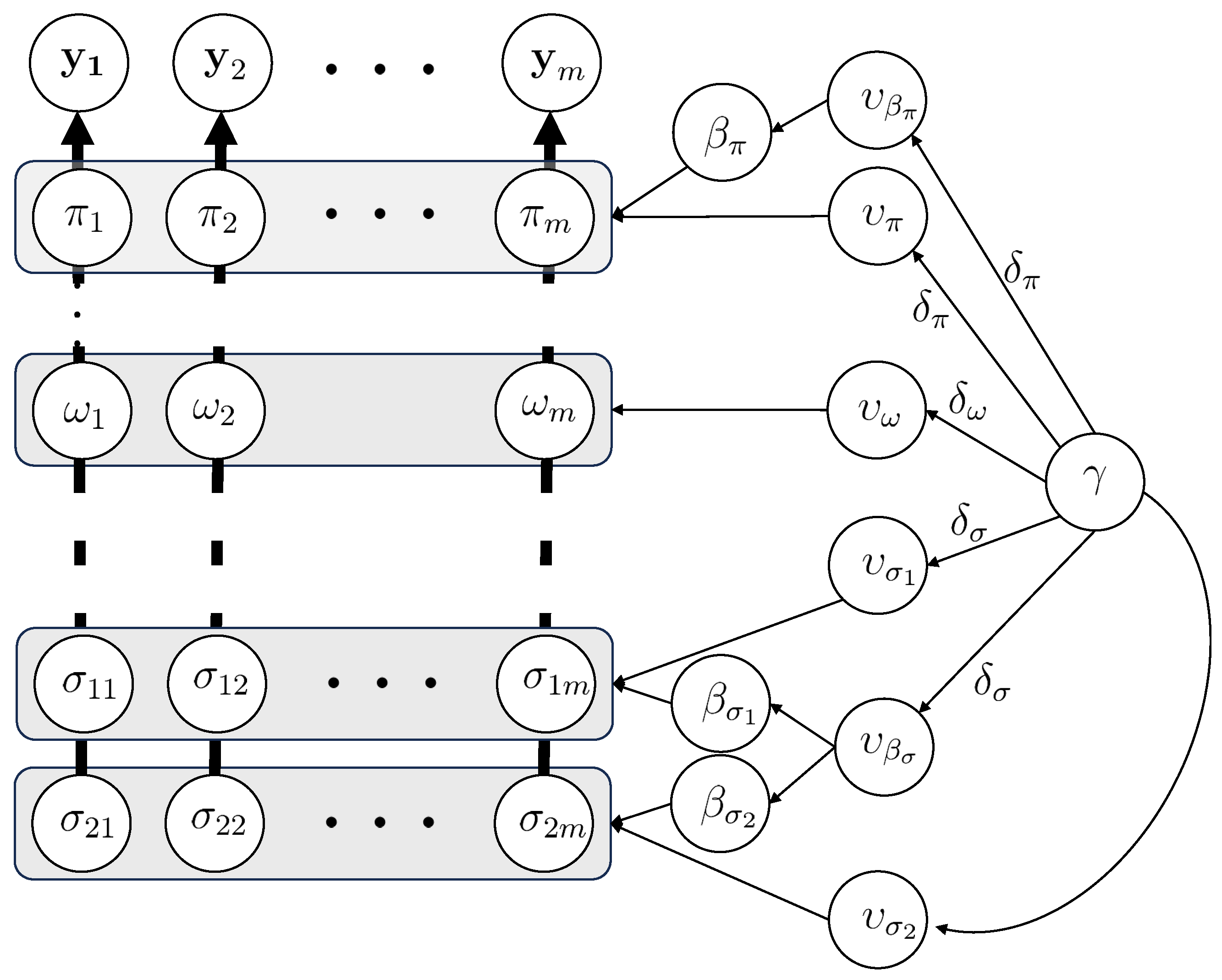
In the case of the autoradiographic experiments used as illustration in the paper, there is far more detailed structural prior knowledge about each parameter and collections of parameters. In contrast to the previous agreement on prior distributions, this information can be coded specifically; hence, the modelling moves from a general model to a specific one, as with non-parametric and parametric modelling. In this section, a modelling strategy will unfold with the resulting relationship between parameters illustrated in Figure 2 which will be described at the end of the section. When purely considering the correlation between independently estimated parameter values and the thickness and length of the line sources, those most likely to have regression relationships are ω with thickness and μ with length. When using the information about the energy distributions and physical properties of the radioactive materials, however, the following set of prior distributions is considered, taking the parameters in turn. Recall that the thickness and length of the line sources for sub-experiment M are recorded in variables x 1 = { x 1 j : j = 1 , , M } and x 2 = { x 2 j : j = 1 , , M } , respectively.
The first parameter π quantifies the proportion of recorded events due to background radiation. This might be assumed to be constant for all experiments with π k | υ π Laplace ( μ π , υ π ) . Alternatively, it is possible that, for experiments with greater line-source thickness, the wish to collect sufficient radiative emissions might lead to a longer data collection window, and consequently to a higher proportion of background events. If we assume a linear relationship, then this would suggest the model used here, provided by
π k | π ¯ k , β π , υ π Laplace * ( π ¯ k + β π ( x 1 k x ¯ 1 ) , υ π ) ,
for π k [ 0 , 1 ) , with the value π k = 1 excluded to avoid identifiability issues with the parameters in the Student’s t components. This of course reduces to the above case when β π = 0 ; also, the notation Laplace * indicates that the distribution here and below may involve truncation to renormalise the usual distribution taking into account the required given parameter range.
We expect the location parameter μ to be small, and it is reasonable to assume that it follows a symmetric distribution; hence, μ k | υ μ Laplace ( 0 , υ μ ) is appropriate. However, prompted by the correlation with length seen in [22], we can also consider
μ k | μ ¯ k , β μ , υ μ Laplace * ( μ ¯ k + β μ ( x 2 k x ¯ 2 ) , υ μ ) ,
for μ k [ 0 , ) . This of course reduces to the above case when β μ = 0 .
From the earlier discussion, it is expected that the relative proportions of recorded lower-energy and higher-energy emissions will depend on the thickness. Rather than assuming some parametric form, we only assume that they vary smoothly; hence,
ω [ k ] | ω [ k 1 ] , γ ω Laplace * ( ω [ k 1 ] , υ ω ) ,
for ω [ k ] ( 0 , 1 ) , where ω [ k ] , etc., refer to the k-th value in a list of weight values ordered by line-source thickness.
As there is no information about the most likely values of the power parameter in the two Student’s t components, it is assumed that they should be equal across sub-experiments, since there is no change in the governing physics. Hence, taking the power parameter in the two Student’s t components together, we choose the models
ν 1 k | ν ¯ 1 k , υ ν 1 Laplace * ( ν ¯ 1 k , υ ν 1 ) , ν 2 k | ν ¯ 2 k , υ ν 2 Laplace * ( ν ¯ 2 k , υ ν 2 ) ,
for ν 1 k , ν 1 k ( 0.5 , ) . These are the same as in the above agreement model, and state that the set of power parameter values have a common mean.
Only the two scale parameters in the Student’s t distribution remain; again, modelling them as having a common mean would be appropriate with σ 1 k | σ 1 k , υ σ 1 k Laplace * ( σ 1 k , υ σ 1 ) and σ 2 k | σ 2 k , υ σ 2 k Laplace * ( σ 1 k , υ σ 2 ) . Alternately, taking into account that the spread of the Student’s t components might be expected to increase with the line-source thickness, we can consider
σ 1 k | β σ 1 , σ ¯ 1 k , υ σ 1 Laplace * ( σ ¯ 1 k + β σ 1 ( x 1 k x ¯ 1 ) , υ σ 1 ) , σ 2 k | β σ 2 , σ ¯ 2 k , υ σ 2 Laplace * ( σ ¯ 2 k + β σ 2 ( x 1 k x ¯ 1 ) , υ σ 2 ) ,
for σ 1 k , σ 1 k ( 0 , ) .
This modelling introduces an extra two regression parameters β π and β μ , modelled as
β π | υ β π Laplace * ( 0 , υ β π ) , β μ | υ β μ Laplace * ( 0 , υ β μ ) ,
along with a further two parameters β σ 1 and β σ 2 which might be equal and as such could be modelled to have a common mean, that is,
β σ 1 | β σ 2 , υ β σ 1 Laplace * ( β σ 2 , υ β σ 1 ) ,
and
β σ 2 | β σ 1 , υ β σ 2 Laplace * ( β σ 1 , υ β σ 2 ) ,
where for consistency we use υ β σ = υ β σ 1 = υ β σ 2 .
Let the collection of structural parameters be denoted as Θ = { π , μ , ω , ν 1 , σ 1 , ν 2 , σ 2 , β π , β μ ,   β σ 1 , β σ 2 } = { θ k : k = 1 , , p = 11 . Further, let the set of variance parameters be denoted as Y = { υ π , υ μ , υ ω , υ ν 1 , υ σ 1 , υ ν 2 , υ σ 2 , υ β π , υ β μ , υ β σ } = { υ k : k = 1 , , r = 10 } . As above, these variance parameters are modelled by exponential distributions υ k / δ k Exp ( γ ) , with γ fixed after some initial experimentation.

5. Numerical Results

5.1. Independent and Combined Estimation

As baseline results for later comparison, we consider using the MCMC approach to estimate parameters for each quasi-replicate independently. This leads to 18 sets of model parameters, with each set estimated from a single dataset. Figure 3 shows selected results arranged in pairs within rows. The left-hand side of each pair contains all 18 traces, showing the progress of the sampled values through the MCMC iterations. The right-hand side shows 18 boxplots of the collection of values, with one for each dataset. The horizontal axis contains the 18 datasets ordered by line-source thickness. Then, going from left to right then top to bottom, the pairs are π , μ , ω , the posterior density, ν 1 , σ 1 , ν 2 , and finally σ 2 .
The trace plots in Figure 3 demonstrate rapid convergence to equilibrium, good mixing within the sample, and low autocorrelation; these comments are also confirmed by numerical summaries.
For the boxplot of π , most samples have at least slightly positive skew, though perhaps #3 and #7 have negative skew, with these also having the highest posterior median. The boxes are all narrow, indicating precise estimates. The posterior medians range from about 0.05 to 0.35, with no obvious dependence on thickness.
For μ , all have positive skew with posterior medians between 0.2 and (generally) 0.05, with the exception of #18, which has a posterior median of about 0.9. There is a slight increase in these values with thickness. All sample have considerable box width and similarly large distance between the whiskers, indicating that the estimates may be unreliable.
The boxplots for ω show posterior medians between 0.3 and 0.55 with narrow boxes, indicating precise estimation. There appears to be a slight increase in the estimates with line source thickness.
For v 1 , values across nearly the full allowed range appear with very positive skew distributions. Most posterior medians are between 20 and 30, although those for #1, #13, and #14 are considerably lower. Given that this parameter controls the degrees of freedom in the Student’s t distribution, these results indicate that most are very close to being well approximated by a Gaussian distribution, with the clear exceptions of #1, #13, and #14. Generally, the posterior variability is high.
For σ 1 , there is wide variability between the posterior medians, ranging from 5 to 14; although the whiskers are far apart, the box widths are narrow, suggesting reliable estimation.
There is great uniformity in the boxplots for ν 2 , with all having posterior medians in excess of 60; in fact, no box is below the neighbourhood of 35. This strongly suggests that this second Student’s t component could be replaced by a Gaussian term, as was concluded in [22], where the authors used maximum likelihood estimation.
Finally, for σ 2 , there is no clear pattern in the posterior means, which range from 0.5 to 1.0. Again, the boxes are relatively narrow compared to the distance between whiskers.
Next, we consider the simultaneous estimation of a single set of parameters to all 18 datasets, which treats them as proper replicates. Figure 4 shows results from the MCMC estimation, following a similar layout as Figure 3 but with only a single trace and boxplot for each parameter. The posterior medial values are provided in Table 2. Although all trace plot indicate adequate convergence, they clearly show greater autocorrelation with sample size calculations, indicating that 1000 is the minimum sample size here.
The posterior median for π is about 0.09 (posterior interval ( 0.08 , 0.10 ) ). This is a good typical value compared to the individual estimates, although it does hide several higher individual values. For μ , the combined data posterior median is 0.30   ( 0.16 , 0.42 ) , which is in good agreement with some of individual estimates but is not very representative of many of the cases with higher thickness. The combined posterior mean for ω is 0.48   ( 0.47 , 0.50 ) , which passes through the range of individual estimates and hides the slight increase in ω ^ with line source thickness.
The combined posterior median for the degrees of freedom of the first Student’s t component is 1.14   ( 1.02 , 1.30 ) , which is dramatically different compared to the majority of the individual estimates. For σ 1 , the combined estimate is 7.13   ( 6.71 , 7.62 ) , which is generally lower than the mode of the individual estimates.
For the second Student’s t component, the estimate of ν 2 is 32.97   ( 9.47 , 65.36 ) , strongly indicating that a Gaussian component is appropriate for the combined data. For σ 2 , the posterior median is 0.76   ( 0.68 , 0.80 ) , which is within the range of individual estimates.
Before moving on, we again consider the combined parameter estimates in Table 2 along with the physical information discussed in Section 3.2. The estimate appears to be around 10%, but with variations between quasi-replicates. There is no discernible pattern as the line-source thickness increases. There seems to be a small error associated with locating the position of the line source in the recorded microscope images.
Very interestingly, the two Student’s t components have weightings of 0.48 and 0.52, corresponding to a wide-tailed component and a narrow-spread component, respectively. Although the physical considerations indicate a three-part mixture, the highest energy component only accounts for 6% of radioactive emissions, and as suh could easily be merged with the mid-energy component. This would lead to proportions of 0.48 higher-energy emissions with longer range and 0.52 low-energy emissions with shorter range. Hence, the model estimates and physics are in excellent agreement, providing high confidence in the results and leading to interpretable conclusions.

5.2. Conditional Estimation of Agreement Model with Fixed υ

This section considers estimation using the agreement model for a range of fixed υ parameters. To permit the prior distribution variances to be controlled by a single underlying variable, which allows for more intuitive graphical displays, preliminary experiments were performed to determine a scaling relating a single parameter υ to the set of parameters: υ = { υ π , υ μ , υ ω , υ ν 1 , υ σ 1 , υ ν 2 , υ σ 2 } . In particular, the scaling υ = δ υ with δ = { 60 , 15 , 25 , 0.4 , 0.5 , 0.1 , 15 } was used. Then, Figure 5 plots the changes in θ ^ = { π ^ , μ ^ , ω ^ , ν ^ 1 , σ ^ 1 , ν ^ 2 , σ ^ 2 } as υ is varied. The aim of this scaling is to demonstrate that a single parameter influences the individual estimates in a similar way.
Figure 5 shows the pattern of changes in the posterior estimates of the 18 × 7 model parameters, that is, a set of parameters for each quasi-replicate, in this case where prior distributions on each parameter promote agreement with the level of agreement controlled by the parameter υ . The grey-shaded envelopes around the lines indicate the point-wise 95% credible intervals for each estimate calculated using the percentiles of the relevant MCMC sample. The separate credible intervals are superimposed on top of each other; hence, the darker shading indicates values which are in many credible intervals.
For the estimates of π in (a), some potential sub-grouping forms around υ = 1 , with high agreement after υ = 2 with only #3 and #7. In all cases, the posterior credible intervals are narrow.
For the estimates of μ in (b), the posterior credible intervals are very wide and are almost coincident for all cases. There appears to be some grouping structure, and it is noticeable that the agreement estimates are much lower than the individual estimates.
For the estimates of ω in (c), there is symmetric convergence of all estimates towards the combined posterior median as υ increases.
For the estimates of ν ^ 1 in (d), the large and generally high range of estimation for the component degrees of freedom is dramatically reduced, strongly indicating non-Gaussian components for all cases after a very low value of υ .
The estimates of σ 1 in (e) show a more complex pattern, with some estimates changing direction as υ increases.
For the estimates of ν 2 (f), all have very wide credible intervals, but also have very similar values for all υ . The estimates are dramatically reduced from the Gaussian terms for the individual estimation to more borderline Student’s t/Gaussian degrees of freedom for the higher values of υ .
Finally, the estimates of σ 2 in (g) show smooth changes in the estimates as υ changes, with all estimates moving towards a central estimate for large υ .

5.3. Full Estimation of Agreement Model

The results in the previous section have shown some interesting patterns and interpretations; clearly, the results change dramatically as the prior distribution parameter changes. In this section, we consider automatic estimation of the set of these parameters. In Section 4.1, a common hyper-prior distribution was suggest for each υ k ; however, as introduced during the estimation in the previous section, a scaling is now be used to provide similar effect from the common hyper-prior distribution on each υ k . Here, we use υ k / δ k Exp ( γ ) , which is analogous to the scaling υ k = δ k υ in the previous section.
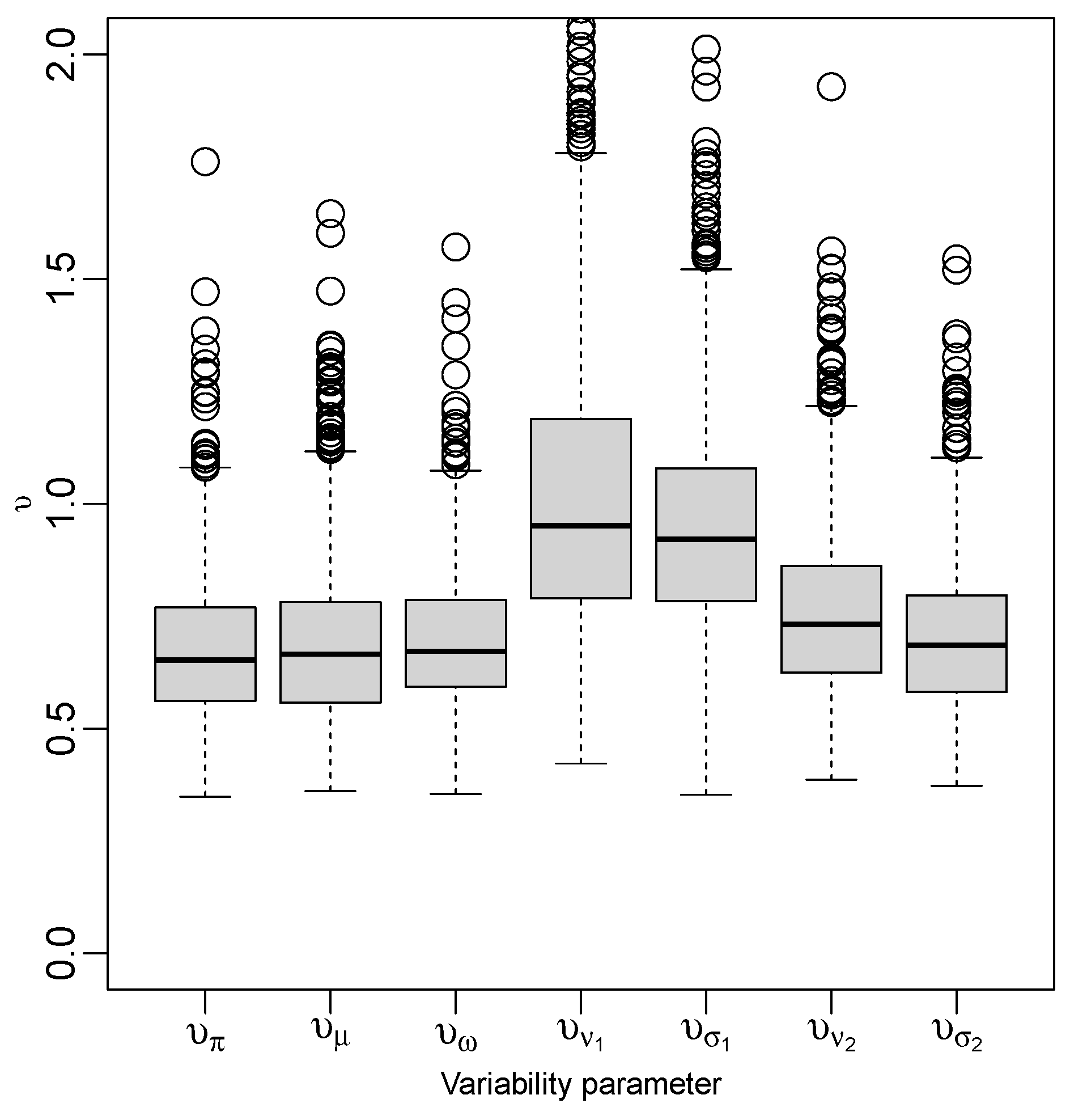
Summaries of the output from the MCMC algorithm are shown in Figure 6 for the estimation of υ and in Figure 7 for the corresponding estimation of θ .
The posterior samples for υ are shown as box plots in Figure 6. The posterior medians are lowest for υ π , υ μ and highest for υ σ 1 . All distributions possess positive skew. While the posterior variabilities are similar, those for υ π and υ μ are slightly smaller and those for υ ν 1 and υ σ 1 are slightly higher. The posterior samples for θ are shown as box plots in Figure 7. There is no apparent pattern. The posterior medians and variabilities for π in (a) are larger for #3 and #7 and slightly lower for #11. For μ in (b), #18 has a far higher median and variability, while all the others have similar medians and variabilities. For the component weighting parameter ω , there is a slight increase with thickness from left to right. The spreads are reasonably similar and the distributions are symmetric.
For ν 1 in (d), all distributions have very positive skew with medians below 10, indicating that Student’s t distributions are appropriate for all. There is substantial variation in σ 1 . For ν 2 , all posterior medians and box widths are almost identical, indicating a Gaussian second component. There is substantial variability for σ 2 , with #18 having a much higher posterior variability than the others.
When comparing these results with those of the individual estimation (Figure 3), it is clear that the posterior medians are now more similar, with more symmetric distributions having smaller posterior variability. For the estimates of μ , the posterior variability is much reduced, though #18 is still an extreme case. Similarly, the posterior distribution for ω has reduced variability.
There is a very marked change in the posterior estimations for ν 1 . The box widths are generally reduced to about one-quarter of the independent estimation widths, and even in these the whiskers stretch to almost the full allowable range.
For the estimates of σ 1 , the distributions are again more compact, with a slight reduction in the posterior median values.
For ν 2 in (f), the medians and variabilities are reduced; however, all indicate values of ν ^ 2 corresponding to Gaussian components.
Finally, the extreme nature of #18 is still evident for σ 2 , with reductions in posterior variability and median for most cases.
Figure 8 shows the estimated correlations between all parameter estimates and over all quasi-replicates represented as an image. The image is subdivided into 7 blocks, each representing a parameter as indicated along the axes. Each block contains an 18 × 18 depiction of correlations across datasets.
Here, dark red and dark blue represent substantial correlations; in order to avoid the main diagonal dominating the graph, these values have been set to zero, and as such appear in pale green.
It is clear that there are not very many substantial values when taking into account that the graph represents 7875 correlations. The only pattern of note is the strong negative correlation between μ and σ 2 . A speculative explanation for this is that a larger value of μ results in a more broadly folded distribution; a small value of the spread parameter might compensate for this, and there could be a larger effect for the generally narrow Gaussian second component.

5.4. Leave-One-Out Model Diagnostics

In this subsection, we consider the global influence of each quasi-replicate in order to further investigate the structure of the quasi-replicates. In particular, a version of the generalised Cook distance [25,26] can be defined by
CD k = Θ ^ k Θ ^ T Σ 1 Θ ^ k Θ ^ ,
where Θ ^ k are the estimated parameters with quasi-replicate k fitted separately, Θ ^ are the estimated parameters using all data, and Σ is the covariance of the parameters which will be replaced by an estimated covariance matrix. Large values of CD k indicate that quasi-replicate k has a substantial influence on the estimation.
An alternative measure is based on the case-deletion likelihood distance, which we call the case-deletion posterior distance, defined as follows:
PD k = 2 p ( Θ ^ k | y ) p ( Θ ^ | y ) .
For both measures, large values indicate substantial influence from the specified quasi-replicate, which might indicate that factors not taken into account or not recorded as part of the dataset are relevant to the modelling.
Figure 9 shows an example of the MCMC algorithm output for the agreement model estimation with quasi-replicate #18 left out. This means that the parameters in case #18 are estimated independently while the agreement priors for the remaining quasi-replicates are included. Although the corresponding estimates of π and σ 2 are well within the range of those for the other sets, the estimates for ν 1 and ν 2 are distant; for μ , ω , and σ 2 , the estimates are near the edge of the range.
The Cook’s distance-based measures are shown in Figure 10. In (a), it appears that #4, #6, #10, #12, and #18 are potentially influential based in C D k , whereas in (b) #6, #7, #9, #12, and #18 have the higher values of P D k . Taking these together, we might conclude that cases #6, #12, and #18 should be examined further in order to confirm whether or not there are potential concerns. To make this into a more automatic procedure, datasets with CD and PD values above the corresponding upper quartile have been highlighted, revealing that cases #6, #12, and #18 are the only cases which meet this combined criterion.

5.5. Full Estimation of Structural Model

The model described in Section 4.2 is now fitted to the 18 quasi-replicate datasets. Boxplots of the MCMC samples for the collection of structural parameters Θ = { π , μ , ω , ν 1 , σ 1 , ν 2 , σ 2 , β π , β μ , β σ 1 , β σ 2 } are shown in Figure 11 for the variance parameters Y = { υ π , υ μ , υ ω , υ ν 1 , υ σ 1 , υ ν 2 , υ σ 2 , υ β π , υ β μ , υ β σ } in Figure 12. The four newly introduced regression parameters β π , β μ , β σ 1 , and β σ 2 are used to create the corresponding model regression terms Δ π = β π ( x 1 x ¯ 1 ) , Δ μ = β μ ( x 2 x ¯ 2 ) , Δ σ 1 = β σ 1 ( x 1 x ¯ 1 ) , and Δ σ 2 = β σ 2 ( x 1 x ¯ 1 ) , shown in Figure 13.
In addition, a summary of the regression parameter estimation is provided in Table 3.
The estimations of the prior variability parameters in Figure 12 have been split into two, with the ranges of the values grouped into two sets.
To help visualise the regression terms in the model, consider Figure 13. In these plots, the solid line shows the posterior median slope, that is, using β ^ π along with the region created by considering all slopes within the 95% credible interval. In (a), showing Δ π = β π ( x 1 x ¯ 1 ) , although there is a slight negative relationship of π with line source thickness after taking into account the credible region, this can be considered insignificant. The situation shown in (b) for Δ μ = β μ ( x 2 x ¯ 2 ) is even more extreme, and the possible relationship between μ and line source length can be dismissed. In (c) and (d), showing Δ σ 1 = β σ 1 ( x 1 x ¯ 1 ) and Δ σ 2 = β σ 2 ( x 1 x ¯ 1 ) , respectively, the situation is in dramatic contrast. Both show clear positive relationships between the Student’s t component spread parameters of σ 1 and σ 2 with the line source thickness. This highlights an added advantage of the structural model. Boxplots of the MCMC samples for the collection of structural parameters Θ = { β π , β μ , β σ 1 , β σ 2 } are shown in Figure 14. Figure 15 shows the pair-wise correlations between all model parameters, including the newly introduced regression parameters. There are very similar patterns amongst the parameters common between the structural and agreement models–see also Figure 8. For the correlations involving the regression parameters, there are high values of β μ and μ and between β σ 1 and σ 1 , and between β σ 2 and σ 2 —but no pattern of these with σ 1 . There is also a very high positive correlation between β σ 1 and β σ 2 —perhaps it would have been possible to use a single regression parameter to quantify the change in the two spread parameters with line source thickness.

5.6. Leave-One-Out Model Diagnostics

Figure 16 shows an example of MCMC algorithm diagnostic output for structural model estimation. From both (a) and (b), it appears that #11, #15, and #18 are potentially influential based on the combined C D k and P D k criterion; hence, these should be examined further.

6. Discussion

A general framework for the analysis of quasi-replicate data has been presented and then illustrated with measurements from a set of calibration experiments created to investigate autoradiographic image spread. The first of the proposed new models can be widely applied without modification. The parameters are treated equally; across quasi-replicates, they are assumed to come from a distribution with common mean and variability. These variabilities are in turn modelled, allowing for full posterior estimation. It is important to note that the assumption of a common mean and variability across quasi-replicates implies that the underlying generative processes are homogeneous. While this enables information sharing and stabilizes parameter estimation in low-data settings, it may mask meaningful variation if unobserved heterogeneity exists. If the assumption does not hold, model performance may degrade and extensions to include hierarchical or mixture components could be warranted. In this study, posterior predictive checks supported the adequacy of the assumption; however, its appropriateness should be carefully evaluated in other contexts. Markov chain Monte Carlo methods were used throughout this paper, with the implemented algorithms being applicable for other applications without major modification. The second proposed model is much more specific to the autoradiographic application. The prior distributions used for the model parameters were motivated by physical considerations, but are intended to illustrate the required steps in the approach and can be adapted for other applications. Our detailed analysis of the quasi-replicates from the autoradiographic image spread calibration experiment demonstrate the usefulness of such models in revealing features which are not apparent from previous work on the same data. More importantly, they demonstrate how such modelling might be applied elsewhere, showing that the proposed models can be included in the applied statistics toolbox as well as being more generally useful.

7. Conclusions

This paper presents a general Bayesian framework for the analysis of quasi-replicate data, with applications illustrated through autoradiographic image spread calibration experiments. The first proposed model is broadly applicable, treating parameters equally across quasi-replicates while assuming a common mean and variability. Although this assumption simplifies estimation and enables information sharing in settings with limited data, it may obscure important heterogeneity when underlying processes are not homogeneous. While posterior predictive checks in this study supported the assumption’s adequacy, future applications should carefully assess its validity and consider hierarchical or mixture model extensions if necessary.
The second model was tailored for the autoradiographic application. Using physically motivated priors, this model demonstrates how Bayesian methods can reveal previously overlooked features of data. The generalizable nature of this framework along with its implementation via Markov chain Monte Carlo methods underscores its potential for broader use in various scientific and engineering fields. This work highlights the value of Bayesian modelling in advancing the analysis of quasi-replicate data, paving the way for more robust and adaptable applications in the future.

Supplementary Materials

The following supporting information can be downloaded at: https://www.mdpi.com/article/10.3390/math13111751/s1. Supplementary materials, including further details of the data, details of the MCMC sampling, and the additional results referenced in Section 5 are available with this paper at the Biometrics website on Wiley Online Library.

Author Contributions

Formal analysis, H.M.A. and R.G.A.; Investigation, H.M.A. and R.G.A. All authors have read and agreed to the published version of the manuscript.

Funding

The research was funded by Taif University, Saudi Arabia, Project No. (TU-DSPP-2024-162).

Data Availability Statement

The data were kindly supplied by M. A. Williams, Department of Biomedical Sciences, University of Sheffield and by E. Junger of the German Diabetes Research Institute. Details of the experimental methods can be found in [23].

Acknowledgments

The authors extend their appreciation to Taif University, Saudi Arabia, for supporting this work through project number (TU-DSPP-2024-162).

Conflicts of Interest

The authors declare no conflicts of interest.

References

  1. Harris, A.D.; McGregor, J.C.; Perencevich, E.N.; Furuno, J.P.; Zhu, J.; Peterson, D.E.; Finkelstein, J. The use and interpretation of quasi-experimental studies in medical informatics. J. Am. Med. Inform. Assoc. 2006, 13, 16–23. [Google Scholar] [CrossRef] [PubMed]
  2. Krass, I. Quasi experimental designs in pharmacist intervention research. Int. J. Clin. Pharm. 2016, 38, 647–654. [Google Scholar] [CrossRef] [PubMed]
  3. Congdon, P. Bayesian Hierarchical Models: With Applications Using R, 2nd ed.; Chapman and Hall/CRC: Boca Raton, FL, USA, 2019. [Google Scholar]
  4. Gelman, A.; Hill, J. Data Analysis Using Regression and Multilevel/Hierarchical Models; Cambridge University Press: Cambridge, UK, 2006. [Google Scholar]
  5. Berger, J.O. Statistical Decision Theory and Bayesian Analysis; Springer Series in Statistics; Spinger: New York, NY, USA, 1985. [Google Scholar]
  6. Gelman, A.; Carlin, J.B.; Stern, H.; Rubin, D. Bayesian Data Analysis, 2nd ed.; Chapman & Hall/CRC: Boca Raton, FL, USA, 2013. [Google Scholar]
  7. Mengersen, K.; Pudlo, P.; Robert, C.P. (Eds.) Case Studies in Applied Bayesian Data Science; Lecture Notes in Mathematics; Springer: Cham, Switzerland, 2018. [Google Scholar]
  8. Albert, J.; Hu, J. Probability and Bayesian Modeling; Chapman & Hall: Boca Raton, FL, USA, 2020. [Google Scholar]
  9. Hastie, T.; Tibshirani, R.; Friedman, J. The Elements of Statistical Learning: Data Mining, Inference, and Prediction, 2nd ed.; Springer Series in Statistics; Springer: New York, NY, USA, 2009. [Google Scholar]
  10. Lui, J. Monte Carlo Strategies in Scientific Computing; Springer: Berlin/Heidelberg, Germany, 2001. [Google Scholar]
  11. Gamerman, D.; Lopes, H.F. Markov Chain Monte Carlo: Stochastic Simulation for Bayesian Inference, 2nd ed.; Texts in Statistical Science; Chapman & Hall/CRC: Boca Raton, FL, USA, 2006. [Google Scholar]
  12. Geyer, C.J. Introduction to Markov Chain Monte Carlo. In Handbook of Markov Chain Monte Carlo; Brooks, S., Gelman, A., Jones, G.L., Meng, X.L., Eds.; Chapman and Hall/CRC: Boca Raton, FL, USA, 2011. [Google Scholar]
  13. Brooks, S.; Gelman, A.; Jones, G.; Meng, X.L. Handbook of Markov Chain Monte Carlo; Chapman & Hall/CRC: Boca Raton, FL, USA, 2011. [Google Scholar]
  14. Cowles, M.K.; Carlin, B.P. Markov chain Monte Carlo convergence diagnostics: A comparative review. J. Am. Stat. Assoc. 1996, 91, 883–904. [Google Scholar] [CrossRef]
  15. Roberts, G.; Gelman, A.; Gilks, W. Weak convergence and optimal scaling of random walk Metropolis algorithms. Ann. Appl. Prob. 1997, 7, 110–120. [Google Scholar]
  16. Aykroyd, R.G.; Green, P.J. Global and local priors, and the location of lesions using gamma-camera imagery. Phil. Trans. R. Soc. Lond. A 1991, 332, 323–342. [Google Scholar]
  17. R Core Team. R: A Language and Environment for Statistical Computing; R Foundation for Statistical Computing: Vienna, Austria, 2023. [Google Scholar]
  18. Sim-Selley, L.J.; Childers, S.R. Neuroanatomical Localization of Receptor-Activated G Proteins in Brain. In G Protein Pathways, Part B: G Proteins and their Regulators; Iyengar, R., Hildebrandt, J.D., Eds.; Academic Press: New York, NY, USA, 2002; Volume 344, pp. 42–58. [Google Scholar] [CrossRef]
  19. Arruda, M.; Jesus, J.; Galazzi, R. Electrophoresis | Gel Electrophoresis: Two-Dimensional Gel Electrophoresis of Proteins. In Encyclopedia of Analytical Science, 3rd ed.; Worsfold, P., Poole, C., Townshend, A., Miró, M., Eds.; Academic Press: Oxford, UK, 2019; pp. 493–504. [Google Scholar] [CrossRef]
  20. Kristo, M.J. Chapter 13—Nuclear forensics. In Handbook of Radioactivity Analysis, 4th ed.; L’Annunziata, M.F., Ed.; Academic Press: New York, NY, USA, 2020; Volume 2, pp. 921–951. [Google Scholar] [CrossRef]
  21. Hussain, S.; Mubeen, I.; Ullah, N.; Shah, S.S.U.D.; Khan, B.A.; Zahoor, M.; Ullah, R.; Khan, F.A.; Sultan, M.A. Modern Diagnostic Imaging Technique Applications and Risk Factors in the Medical Field: A Review. BioMed Res. Int. 2022, 2022, 5164970. [Google Scholar]
  22. Aykroyd, R.G. Generalized Student’s t-distribution mixtures for autoradiographic image spread modelling. Biom. J. 2016, 58, 1021–1038. [Google Scholar] [CrossRef] [PubMed]
  23. Williams, M.A.; Downs, A.; Junger, E. Autoradiographic image spread from I-125 labelled line sources. Acta Stereol. 1983, 2, 249–252. [Google Scholar]
  24. Peel, D.; McLachlan, G. Robust mixture modelling using the t distribution. Stat. Comput. 2000, 10, 339–348. [Google Scholar] [CrossRef]
  25. Cook, R.D. Detection of influential observations in linear regression. Technometrics 1977, 19, 15–18. [Google Scholar] [CrossRef]
  26. Cook, R. Assessment of local influence (with discussion). J. R. Stat. Soc. Ser. B 1986, 48, 133–169. [Google Scholar] [CrossRef]
Figure 1. Hierarchical model structure.
Figure 1. Hierarchical model structure.
Mathematics 13 01751 g001
Figure 2. Hierarchical model structure for the structural model.
Figure 2. Hierarchical model structure for the structural model.
Mathematics 13 01751 g002
Figure 3. Output from independent estimation for the parameters, (a): shows the monitoring estimate of π , (b): shows the boxplots of π , most samples have at least slightly positive skew and the highest posterior median, (c): shows the monitoring estimate of μ , for 18 data, (d): shows the boxplots of μ , all have positive skew with posterior medians between 0.20 and 0.05, (e): shows the monitoring estimate of ω , (f): shows the boxplots for ω , where the posterior medians between 0.30 and 0.55 with narrow, (g): shows the monitoring estimate of ν 1 , (h): shows the boxplots for ν 1 , the posterior medians between 20 and 30, (i): shows the monitoring estimate of σ 1 , (j): shows the boxplots for σ 1 , the posterior medians between 5 and 14, (k): shows the monitoring estimate of ν 2 , (l): shows the boxplots for ν 2 , the posterior medians excess of 60, (m): show the monitoring estimate of σ 2 and (n): shows the boxplots for σ 2 , the posterior medians between 1.00 and 0.50.
Figure 3. Output from independent estimation for the parameters, (a): shows the monitoring estimate of π , (b): shows the boxplots of π , most samples have at least slightly positive skew and the highest posterior median, (c): shows the monitoring estimate of μ , for 18 data, (d): shows the boxplots of μ , all have positive skew with posterior medians between 0.20 and 0.05, (e): shows the monitoring estimate of ω , (f): shows the boxplots for ω , where the posterior medians between 0.30 and 0.55 with narrow, (g): shows the monitoring estimate of ν 1 , (h): shows the boxplots for ν 1 , the posterior medians between 20 and 30, (i): shows the monitoring estimate of σ 1 , (j): shows the boxplots for σ 1 , the posterior medians between 5 and 14, (k): shows the monitoring estimate of ν 2 , (l): shows the boxplots for ν 2 , the posterior medians excess of 60, (m): show the monitoring estimate of σ 2 and (n): shows the boxplots for σ 2 , the posterior medians between 1.00 and 0.50.
Mathematics 13 01751 g003aMathematics 13 01751 g003b
Figure 4. Estimation of the parameters from combined datasets, (a): shows result of π , from MCMC estimation for a single data, (b): shows the boxplot with posterior median equals 0.09, (c): shows result of μ , from MCMC estimation for a single data, (d): shows the boxplot with posterior median equals 0.23, (e): shows result of ω , from MCMC estimation for a single data, (f): shows the boxplot with posterior median equals 0.49, (g): shows result of ν 1 , from MCMC estimation for a single data, (h): shows the boxplot with posterior median equals 1.14, (i): shows result of σ 1 , from MCMC estimation for a single data, (j): shows the boxplot with posterior median equals 7.06, (k): shows result of ν 2 , from MCMC estimation for a single data, (l): shows the boxplot with posterior median equals 47.20 and (m): shows result of σ 2 , from MCMC estimation for a single data and (n): shows the boxplot with posterior median equals 0.78.
Figure 4. Estimation of the parameters from combined datasets, (a): shows result of π , from MCMC estimation for a single data, (b): shows the boxplot with posterior median equals 0.09, (c): shows result of μ , from MCMC estimation for a single data, (d): shows the boxplot with posterior median equals 0.23, (e): shows result of ω , from MCMC estimation for a single data, (f): shows the boxplot with posterior median equals 0.49, (g): shows result of ν 1 , from MCMC estimation for a single data, (h): shows the boxplot with posterior median equals 1.14, (i): shows result of σ 1 , from MCMC estimation for a single data, (j): shows the boxplot with posterior median equals 7.06, (k): shows result of ν 2 , from MCMC estimation for a single data, (l): shows the boxplot with posterior median equals 47.20 and (m): shows result of σ 2 , from MCMC estimation for a single data and (n): shows the boxplot with posterior median equals 0.78.
Mathematics 13 01751 g004aMathematics 13 01751 g004b
Figure 5. Conditional estimates of the parameters from agreement model for given agreement parameter υ , (a): shows the results of estimating the parameter, π , and the posterior credible intervals are narrow, (b): shows the results of estimating the parameter, μ , and the posterior credible intervals are very wide, (c): shows the results of estimating the parameter, ω , and there is symmetric convergence of all estimates towards the combined posterior median as υ increases, (d): shows the results of estimating the parameter, ν 1 , and the large high range of estimation then strongly indicating non-Gaussian components, (e): shows the results of estimating the parameter, σ 1 , and a more complex pattern, (f): shows the results of estimating the parameter, ν 2 , and all have very wide credible intervals and (g): shows the results of estimating the parameter, σ 2 , and smooth changes in the estimates.
Figure 5. Conditional estimates of the parameters from agreement model for given agreement parameter υ , (a): shows the results of estimating the parameter, π , and the posterior credible intervals are narrow, (b): shows the results of estimating the parameter, μ , and the posterior credible intervals are very wide, (c): shows the results of estimating the parameter, ω , and there is symmetric convergence of all estimates towards the combined posterior median as υ increases, (d): shows the results of estimating the parameter, ν 1 , and the large high range of estimation then strongly indicating non-Gaussian components, (e): shows the results of estimating the parameter, σ 1 , and a more complex pattern, (f): shows the results of estimating the parameter, ν 2 , and all have very wide credible intervals and (g): shows the results of estimating the parameter, σ 2 , and smooth changes in the estimates.
Mathematics 13 01751 g005aMathematics 13 01751 g005b
Figure 6. Posterior summary for prior variability parameters, υ , in the full agreement model.
Figure 6. Posterior summary for prior variability parameters, υ , in the full agreement model.
Mathematics 13 01751 g006
Figure 7. Posterior summary parameters in the full agreement model, (a): shows the boxplots of the posterior medians of the parameter, π , (b): shows the boxplots of the posterior medians of the parameter, μ , (c): shows the boxplots of the posterior medians of the parameter, ω , (d): shows the boxplots of the posterior medians of the parameter, ν 1 , (e): shows the boxplots of the posterior medians of the parameter, σ 1 , (f): shows the boxplots of the posterior medians of the parameter, ν 2 and (g): shows the boxplots of the posterior medians of the parameter, σ 2 .
Figure 7. Posterior summary parameters in the full agreement model, (a): shows the boxplots of the posterior medians of the parameter, π , (b): shows the boxplots of the posterior medians of the parameter, μ , (c): shows the boxplots of the posterior medians of the parameter, ω , (d): shows the boxplots of the posterior medians of the parameter, ν 1 , (e): shows the boxplots of the posterior medians of the parameter, σ 1 , (f): shows the boxplots of the posterior medians of the parameter, ν 2 and (g): shows the boxplots of the posterior medians of the parameter, σ 2 .
Mathematics 13 01751 g007aMathematics 13 01751 g007b
Figure 8. Model diagnostics, showing correlations between parameter estimates with estimation of υ from the agreement model.
Figure 8. Model diagnostics, showing correlations between parameter estimates with estimation of υ from the agreement model.
Mathematics 13 01751 g008
Figure 9. Example of leave-one-out parameter estimation, (a): shows the boxplots of the MCMC algorithm output for the agreement model estimation of the parameter, π , the posterior medians between 0.30 and 2.7, (b): shows the boxplots of the MCMC algorithm output for the agreement model estimation of the parameter, μ , the posterior medians between 0.50 and 0.80, (c): shows the boxplots of the MCMC algorithm output for the agreement model estimation of the parameter, ω , the posterior medians between 0.34 and 0.47, (d): shows the boxplots of the MCMC algorithm output for the agreement model estimation of the parameter, ν 1 , the posterior medians between 0.20 and 30, (e): shows the boxplots of the MCMC algorithm output for the agreement model estimation of the parameter, σ 1 , the posterior medians between 7 and 11, from the agreement model, showing model diagnostics with #18 removed, (f): shows the boxplots of the MCMC algorithm output for the agreement model estimation of the parameter, ν 2 , the posterior medians between 50 and 70 and (g): shows the boxplots of the MCMC algorithm output for the agreement model estimation of the parameter, σ 2 , the posterior medians between 0.60 and 1.20, from the agreement model, showing model diagnostics with #18 removed.
Figure 9. Example of leave-one-out parameter estimation, (a): shows the boxplots of the MCMC algorithm output for the agreement model estimation of the parameter, π , the posterior medians between 0.30 and 2.7, (b): shows the boxplots of the MCMC algorithm output for the agreement model estimation of the parameter, μ , the posterior medians between 0.50 and 0.80, (c): shows the boxplots of the MCMC algorithm output for the agreement model estimation of the parameter, ω , the posterior medians between 0.34 and 0.47, (d): shows the boxplots of the MCMC algorithm output for the agreement model estimation of the parameter, ν 1 , the posterior medians between 0.20 and 30, (e): shows the boxplots of the MCMC algorithm output for the agreement model estimation of the parameter, σ 1 , the posterior medians between 7 and 11, from the agreement model, showing model diagnostics with #18 removed, (f): shows the boxplots of the MCMC algorithm output for the agreement model estimation of the parameter, ν 2 , the posterior medians between 50 and 70 and (g): shows the boxplots of the MCMC algorithm output for the agreement model estimation of the parameter, σ 2 , the posterior medians between 0.60 and 1.20, from the agreement model, showing model diagnostics with #18 removed.
Mathematics 13 01751 g009aMathematics 13 01751 g009b
Figure 10. Agreement model, showing model diagnostics based on leave-one-out parameter estimation, dark red and dark blue represent substantial correlations, (a): shows results of parameters estimation using C D k for 18 datasets, it appears that #4, #6, #10, #12, and #18 are potentially influential, (b): shows results of parameters estimation using P D k for 18 datasets, #6, #7, #9, #12, and #18 have the higher values.
Figure 10. Agreement model, showing model diagnostics based on leave-one-out parameter estimation, dark red and dark blue represent substantial correlations, (a): shows results of parameters estimation using C D k for 18 datasets, it appears that #4, #6, #10, #12, and #18 are potentially influential, (b): shows results of parameters estimation using P D k for 18 datasets, #6, #7, #9, #12, and #18 have the higher values.
Mathematics 13 01751 g010aMathematics 13 01751 g010b
Figure 11. Parameter estimates (a): shows the boxplots of the parameter estimation, π , the posterior medians between 0.09 and 0.21, (b): shows the boxplots of the parameter estimation, μ , the posterior medians between 0.25 and 0.40, (c): shows the boxplots of the parameter estimation, ω , the posterior medians between 0.30 and 0.50 and (d): shows the boxplots of the parameter estimation, ν 1 , the posterior medians between 0.09 and 8, from the structural model, (e): shows the boxplots of the parameter estimation, σ 1 , the posterior medians between 6 and 10, (f): shows the boxplots of the parameter estimation, ν 2 , the posterior medians equal 50 and (g): shows the boxplots of the parameter estimation, σ 2 , the posterior medians between 0.60 and 1.10, from the structural model.
Figure 11. Parameter estimates (a): shows the boxplots of the parameter estimation, π , the posterior medians between 0.09 and 0.21, (b): shows the boxplots of the parameter estimation, μ , the posterior medians between 0.25 and 0.40, (c): shows the boxplots of the parameter estimation, ω , the posterior medians between 0.30 and 0.50 and (d): shows the boxplots of the parameter estimation, ν 1 , the posterior medians between 0.09 and 8, from the structural model, (e): shows the boxplots of the parameter estimation, σ 1 , the posterior medians between 6 and 10, (f): shows the boxplots of the parameter estimation, ν 2 , the posterior medians equal 50 and (g): shows the boxplots of the parameter estimation, σ 2 , the posterior medians between 0.60 and 1.10, from the structural model.
Mathematics 13 01751 g011aMathematics 13 01751 g011b
Figure 12. Prior variability estimates from the structural model, shows the variance parameters, (a): shows the boxpolts for the variance parameters υ π , υ μ , υ ω , υ ν 1 , υ σ 1 , υ ν 2 and υ σ 2 and (b): shows the boxplots for the variance parameters, υ β π , υ β μ and υ β σ .
Figure 12. Prior variability estimates from the structural model, shows the variance parameters, (a): shows the boxpolts for the variance parameters υ π , υ μ , υ ω , υ ν 1 , υ σ 1 , υ ν 2 and υ σ 2 and (b): shows the boxplots for the variance parameters, υ β π , υ β μ and υ β σ .
Mathematics 13 01751 g012
Figure 13. Regression relationships from the structural model estimate and 50% credible region, the solid line shows the posterior median slope, (a): shows the result of the regression, Δ π , (Thickness), (b): shows the result of the regression, Δ μ , (Length), (c): shows the result of the regression, Δ σ 1 , (Thickness) and (d): shows the result of the regression, Δ σ 2 , (Thickness).
Figure 13. Regression relationships from the structural model estimate and 50% credible region, the solid line shows the posterior median slope, (a): shows the result of the regression, Δ π , (Thickness), (b): shows the result of the regression, Δ μ , (Length), (c): shows the result of the regression, Δ σ 1 , (Thickness) and (d): shows the result of the regression, Δ σ 2 , (Thickness).
Mathematics 13 01751 g013
Figure 14. Regression estimates from the structural model, (a): shows the boxpolts of the MCMC samples for the collection of structural parameter, β π , (b): shows the boxpolts of the MCMC samples for the collection of structural parameter, β μ , (c): shows the boxpolts of the MCMC samples for the collection of structural parameter, β σ 1 and (d): shows the boxpolts of the MCMC samples for the collection of structural parameter, β σ 2 .
Figure 14. Regression estimates from the structural model, (a): shows the boxpolts of the MCMC samples for the collection of structural parameter, β π , (b): shows the boxpolts of the MCMC samples for the collection of structural parameter, β μ , (c): shows the boxpolts of the MCMC samples for the collection of structural parameter, β σ 1 and (d): shows the boxpolts of the MCMC samples for the collection of structural parameter, β σ 2 .
Mathematics 13 01751 g014
Figure 15. Correlation map between parameter estimates from the structural model.
Figure 15. Correlation map between parameter estimates from the structural model.
Mathematics 13 01751 g015
Figure 16. Model diagnostics, showing leave-one-out parameter estimation from the structural model dark red and dark blue represent substantial correlations, which are potentially influential based on the combined (a): CDk and (b): PDk criterion.
Figure 16. Model diagnostics, showing leave-one-out parameter estimation from the structural model dark red and dark blue represent substantial correlations, which are potentially influential based on the combined (a): CDk and (b): PDk criterion.
Mathematics 13 01751 g016
Table 1. Parameters and their relationships with likelihood and prior distributions.
Table 1. Parameters and their relationships with likelihood and prior distributions.
Parameter
12p y j Likelihood
Sample1 θ 11 θ 12 θ 1 p y 1 L 1 ( y 1 | θ 1 )
2 θ 21 θ 22 θ 2 p y 2 L 2 ( y 2 | θ 2 )
M θ M 1 θ M 2 θ M p y M L M ( y M | θ M )
Prior π ( θ 1 ) π ( θ 2 ) π ( θ p )
Table 2. Parameter estimation with datasets combined, showing posterior median and 95% credible interval.
Table 2. Parameter estimation with datasets combined, showing posterior median and 95% credible interval.
π ^ μ ^ ω ^
0.090.230.49
(0.06, 0.12)(0.01, 0.49)(0.45, 0.53)
ν ^ 1 σ ^ 1 ν ^ 2 σ ^ 2
1.147.0647.200.78
(0.88, 1.55)(5.98, 8.09)(5.19, 95.8)(0.62, 0.86)
Table 3. Regression parameter estimation in structural model.
Table 3. Regression parameter estimation in structural model.
Parameter β ^ 95% CI
β π −0.0009(−0.1016, 0.0444)
β μ 0.0000(−0.0003, 0.0003)
β σ 1 1.0495(−0.0971, 1.9406)
β σ 2 1.0383(−0.0937, 1.9403)
Disclaimer/Publisher’s Note: The statements, opinions and data contained in all publications are solely those of the individual author(s) and contributor(s) and not of MDPI and/or the editor(s). MDPI and/or the editor(s) disclaim responsibility for any injury to people or property resulting from any ideas, methods, instructions or products referred to in the content.

Share and Cite

MDPI and ACS Style

Aljohani, H.M.; Aykroyd, R.G. A Bayesian Hierarchical Approach to Quasi-Replicate Dataset Modelling. Mathematics 2025, 13, 1751. https://doi.org/10.3390/math13111751

AMA Style

Aljohani HM, Aykroyd RG. A Bayesian Hierarchical Approach to Quasi-Replicate Dataset Modelling. Mathematics. 2025; 13(11):1751. https://doi.org/10.3390/math13111751

Chicago/Turabian Style

Aljohani, Hassan M., and Robert G. Aykroyd. 2025. "A Bayesian Hierarchical Approach to Quasi-Replicate Dataset Modelling" Mathematics 13, no. 11: 1751. https://doi.org/10.3390/math13111751

APA Style

Aljohani, H. M., & Aykroyd, R. G. (2025). A Bayesian Hierarchical Approach to Quasi-Replicate Dataset Modelling. Mathematics, 13(11), 1751. https://doi.org/10.3390/math13111751

Note that from the first issue of 2016, this journal uses article numbers instead of page numbers. See further details here.

Article Metrics

Back to TopTop