Distributed Interval Observers with Switching Topology Design for Cyber-Physical Systems
Abstract
1. Introduction
- (1)
- A distributed interval observer methodology for CPSs is proposed. Compared with the monotone system method, the estimation accuracy is greatly improved by using the two-step method. The technique is used to deal with the effects of uncertainty in observer design.
- (2)
- The switching topology with average dwell time (ADT) among distributed interval observers is taken into account and is more closely aligned with the actual system. It can also reduce the communication burden of CPSs.
2. Preliminaries
2.1. Graph Theory
2.2. System Model
3. Main Results
| Algorithm 1: Algorithm for designing the distributed interval observer with switching topology. |
|
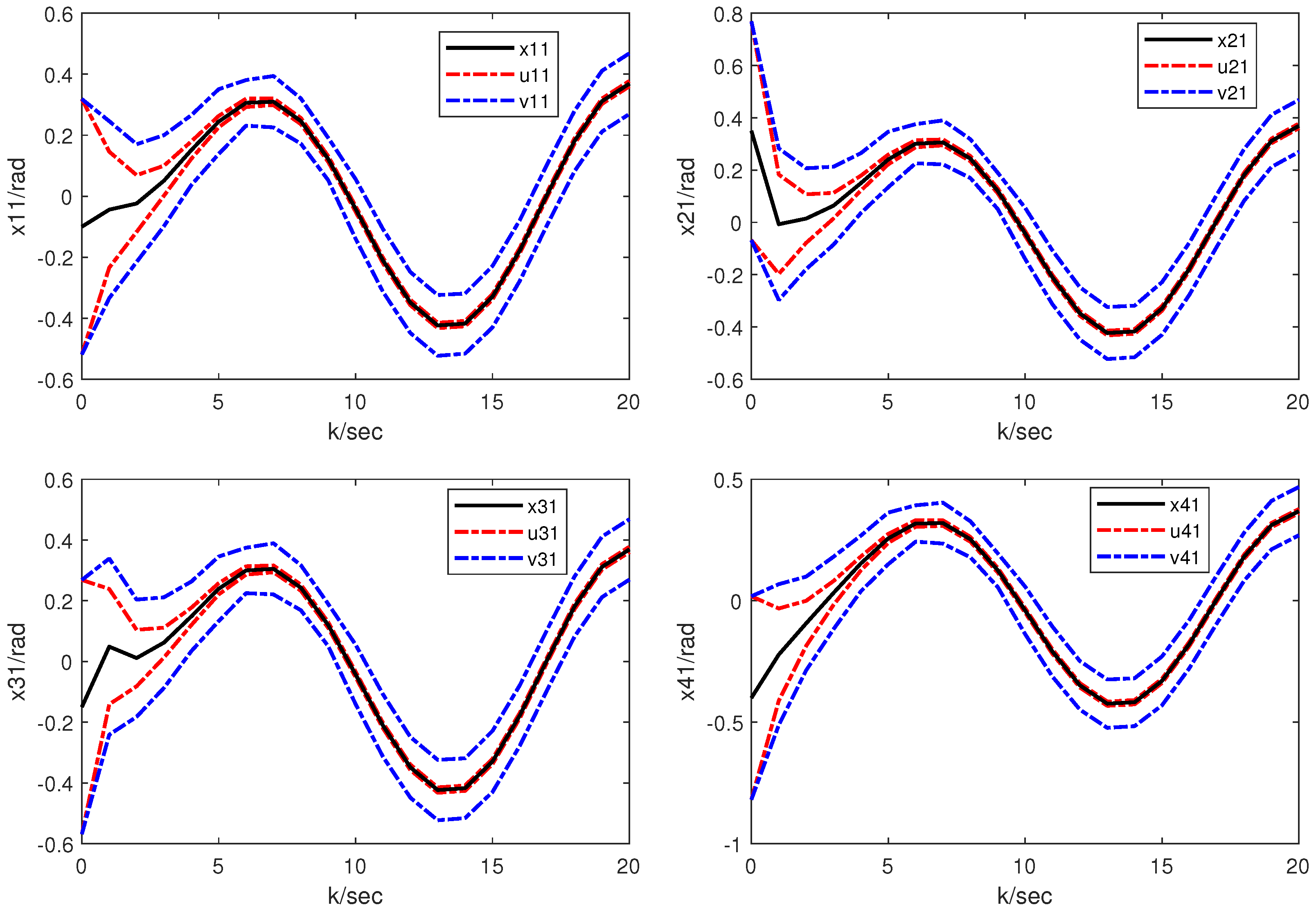
4. Simulation
5. Conclusions
Author Contributions
Funding
Data Availability Statement
Conflicts of Interest
Appendix A
References
- Cao, X.; Cheng, P.; Chen, J.; Sun, Y. An online optimization approach for control and communication codesign in networked cyber-physical systems. IEEE Trans. Ind. Inform. 2012, 9, 439–450. [Google Scholar] [CrossRef]
- Gunes, V.; Peter, S.; Givargis, T.; Vahid, F. A survey on concepts, applications, and challenges in cyber-physical systems. KSII Trans. Internet Inf. Syst. 2014, 8, 4242–4268. [Google Scholar]
- Kim, K.D.; Kumar, P.R. Cyber–physical systems: A perspective at the centennial. Proc. IEEE 2012, 100, 1287–1308. [Google Scholar]
- Cai, S.; Lau, V.K. Zero MAC latency sensor networking for cyber-physical systems. IEEE Trans. Signal Process. 2018, 66, 3814–3823. [Google Scholar] [CrossRef]
- Sangaiah, A.K.; Siarry, P. Cognitive Brain-Inspired Cyber-Physical Systems in Industrial Informatics. Front. Neurorobot. 2022, 16, 926538. [Google Scholar] [CrossRef]
- Mitchell, R.; Chen, R. Modeling and analysis of attacks and counter defense mechanisms for cyber physical systems. IEEE Trans. Reliab. 2015, 65, 350–358. [Google Scholar] [CrossRef]
- Verma, R. Smart city healthcare cyber physical system: Characteristics, technologies and challenges. Wirel. Pers. Commun. 2022, 122, 1413–1433. [Google Scholar] [CrossRef]
- Hozdić, E.; Butala, P. Concept of socio-cyber-physical work systems for Industry 4.0. Tehnički Vjesn. 2020, 27, 399–410. [Google Scholar]
- Wu, C.; Hu, Z.; Liu, J.; Wu, L. Secure estimation for cyber-physical systems via sliding mode. IEEE Trans. Cybern. 2018, 48, 3420–3431. [Google Scholar] [CrossRef]
- Chang, Y.H.; Hu, Q.; Tomlin, C.J. Secure estimation based Kalman filter for cyber–physical systems against sensor attacks. Automatica 2018, 95, 399–412. [Google Scholar] [CrossRef]
- Zhang, C.L.; Yang, G.H.; Lu, A.Y. Resilient observer-based control for cyber-physical systems under denial-of-service attacks. Inf. Sci. 2021, 545, 102–117. [Google Scholar] [CrossRef]
- Gouzé, J.L.; Rapaport, A.; Hadj-Sadok, M.Z. Interval observers for uncertain biological systems. Ecol. Model. 2000, 133, 45–56. [Google Scholar] [CrossRef]
- Raïssi, T.; Efimov, D.; Zolghadri, A. Interval state estimation for a class of nonlinear systems. IEEE Trans. Autom. Control 2011, 57, 260–265. [Google Scholar] [CrossRef]
- Mazenc, F.; Dinh, T.N.; Niculescu, S.I. Interval observers for discrete-time systems. Int. J. Robust Nonlinear Control 2014, 24, 2867–2890. [Google Scholar] [CrossRef]
- Tang, W.; Wang, Z.; Wang, Y.; Raïssi, T.; Shen, Y. Interval estimation methods for discrete-time linear time-invariant systems. IEEE Trans. Autom. Control 2019, 64, 4717–4724. [Google Scholar] [CrossRef]
- Zhou, X.; Wang, Z.; Wang, J. Automated Ground Vehicle Path-Following: A Robust Energy-to-Peak Control Approach. IEEE Trans. Intell. Transp. Syst. 2022, 23, 14294–14305. [Google Scholar] [CrossRef]
- Zhang, W.; Chen, Y.; Gao, H. Energy-to-peak control for seismic-excited buildings with actuator faults and parameter uncertainties. J. Sound Vib. 2011, 330, 581–602. [Google Scholar] [CrossRef]
- Feng, J.; Han, K. Robust full- and reduced-order energy-to-peak filtering for discrete-time uncertain linear systems. Signal Process. 2015, 108, 183–194. [Google Scholar] [CrossRef]
- Huang, J.; Che, H.; Raïssi, T.; Wang, Z. Functional interval observer for discrete-time switched descriptor systems. IEEE Trans. Autom. Control 2021, 67, 2497–2504. [Google Scholar] [CrossRef]
- Guo, S.; Ren, W.; Ahn, C.K.; Wen, C.; Lam, H.K. Reachability analysis-based interval estimation for discrete-time Takagi–Sugeno fuzzy systems. IEEE Trans. Fuzzy Syst. 2021, 30, 1981–1992. [Google Scholar] [CrossRef]
- Ren, W.; Guo, S. State and Faults Interval Estimations for Discrete-time Linear Systems. Int. J. Control Autom. Syst. 2023, 21, 2303–2312. [Google Scholar] [CrossRef]
- Zhang, Z.H.; Yang, G.H. Distributed fault detection and isolation for multiagent systems: An interval observer approach. IEEE Trans. Syst. Man Cybern. Syst. 2018, 50, 2220–2230. [Google Scholar] [CrossRef]
- Li, D.; Chang, J.; Chen, W.; Raïssi, T. IPR-based distributed interval observers design for uncertain LTI systems. ISA Trans. 2022, 121, 147–155. [Google Scholar] [CrossRef] [PubMed]
- Huang, J.; Zhang, H.; Raïssi, T. Distributed interval estimation methods for multiagent systems. IEEE Syst. J. 2022, 17, 1843–1852. [Google Scholar] [CrossRef]
- Yu, W.; Chen, G.; Cao, M.; Kurths, J. Second-order consensus for multiagent systems with directed topologies and nonlinear dynamics. IEEE Trans. Syst. Man Cybern. Part B (Cybern.) 2009, 40, 881–891. [Google Scholar]
- Li, Z.; Liu, X.; Fu, M.; Xie, L. Global H∞ consensus of multi-agent systems with Lipschitz non-linear dynamics. IET Control Theory Appl. 2012, 6, 2041–2048. [Google Scholar] [CrossRef]
- Briat, C. Robust stability and stabilization of uncertain linear positive systems via integral linear constraints: L1-gain and L∞-gain characterization. Int. J. Robust Nonlinear Control 2013, 23, 1932–1954. [Google Scholar] [CrossRef]
- Zhao, X.; Zhang, L.; Shi, P.; Liu, M. Stability of switched positive linear systems with average dwell time switching. Automatica 2012, 48, 1132–1137. [Google Scholar] [CrossRef]
- Alamo, T.; Bravo, J.M.; Camacho, E.F. Guaranteed state estimation by zonotopes. Automatica 2005, 41, 1035–1043. [Google Scholar] [CrossRef]
- Combastel, C. Zonotopes and Kalman observers: Gain optimality under distinct uncertainty paradigms and robust convergence. Automatica 2015, 55, 265–273. [Google Scholar] [CrossRef]
- Boyd, S.; El Ghaoui, L.; Feron, E.; Balakrishnan, V. Linear Matrix Inequalities in System and Control Theory; SIAM: Philadelphia, PA, USA, 1994. [Google Scholar]
- Zhang, H.; Huang, J.; He, S. Fractional-order interval observer for multiagent nonlinear systems. Fractal Fract. 2022, 6, 355. [Google Scholar] [CrossRef]






| Subsystem | Output Noise | External Disturbance |
|---|---|---|
| 1 | ||
| 2 | ||
| 3 | ||
| 4 |
Disclaimer/Publisher’s Note: The statements, opinions and data contained in all publications are solely those of the individual author(s) and contributor(s) and not of MDPI and/or the editor(s). MDPI and/or the editor(s) disclaim responsibility for any injury to people or property resulting from any ideas, methods, instructions or products referred to in the content. |
© 2024 by the authors. Licensee MDPI, Basel, Switzerland. This article is an open access article distributed under the terms and conditions of the Creative Commons Attribution (CC BY) license (https://creativecommons.org/licenses/by/4.0/).
Share and Cite
Zhang, J.; Huang, J.; Li, C. Distributed Interval Observers with Switching Topology Design for Cyber-Physical Systems. Mathematics 2024, 12, 163. https://doi.org/10.3390/math12010163
Zhang J, Huang J, Li C. Distributed Interval Observers with Switching Topology Design for Cyber-Physical Systems. Mathematics. 2024; 12(1):163. https://doi.org/10.3390/math12010163
Chicago/Turabian StyleZhang, Junchao, Jun Huang, and Changjie Li. 2024. "Distributed Interval Observers with Switching Topology Design for Cyber-Physical Systems" Mathematics 12, no. 1: 163. https://doi.org/10.3390/math12010163
APA StyleZhang, J., Huang, J., & Li, C. (2024). Distributed Interval Observers with Switching Topology Design for Cyber-Physical Systems. Mathematics, 12(1), 163. https://doi.org/10.3390/math12010163

