Theoretical Structure and Applications of a Newly Enhanced Gumbel Type II Model
Abstract
1. Introduction
2. Description of Proposed Model
- A simple and quick way for improving current distributions and simple technique to incorporate an extra parameters ’’ to benchmark distribution.
- The T-X method improves and enriches the distribution.
- Using the T-X family to increase the features and versatility of the GT-II distribution (as motivated above). The probability density and hazard rate functions, in particular, exhibit growing, decreasing, bathtub, reverse J, increasing–decreasing and S shapes demonstrating this argument.
- Current distribution features and flexibility are being improved.
- The T-X method can be used to simulate both MN and NMNHF.
- We get a better fit with the T-X technique than with the GT-II model.
- Demonstrating a more advanced version of the GT-II model.
- Examining the inferential properties of the NIGT-II model using the MaxLLE, providing a comprehensive paradigm for users.
2.1. Shape
2.2. Simulation
2.3. Moments, Central Moments and Certain Related Measures
3. The Estimation Technique with Simulation
4. Numerical and Graphical Analysis
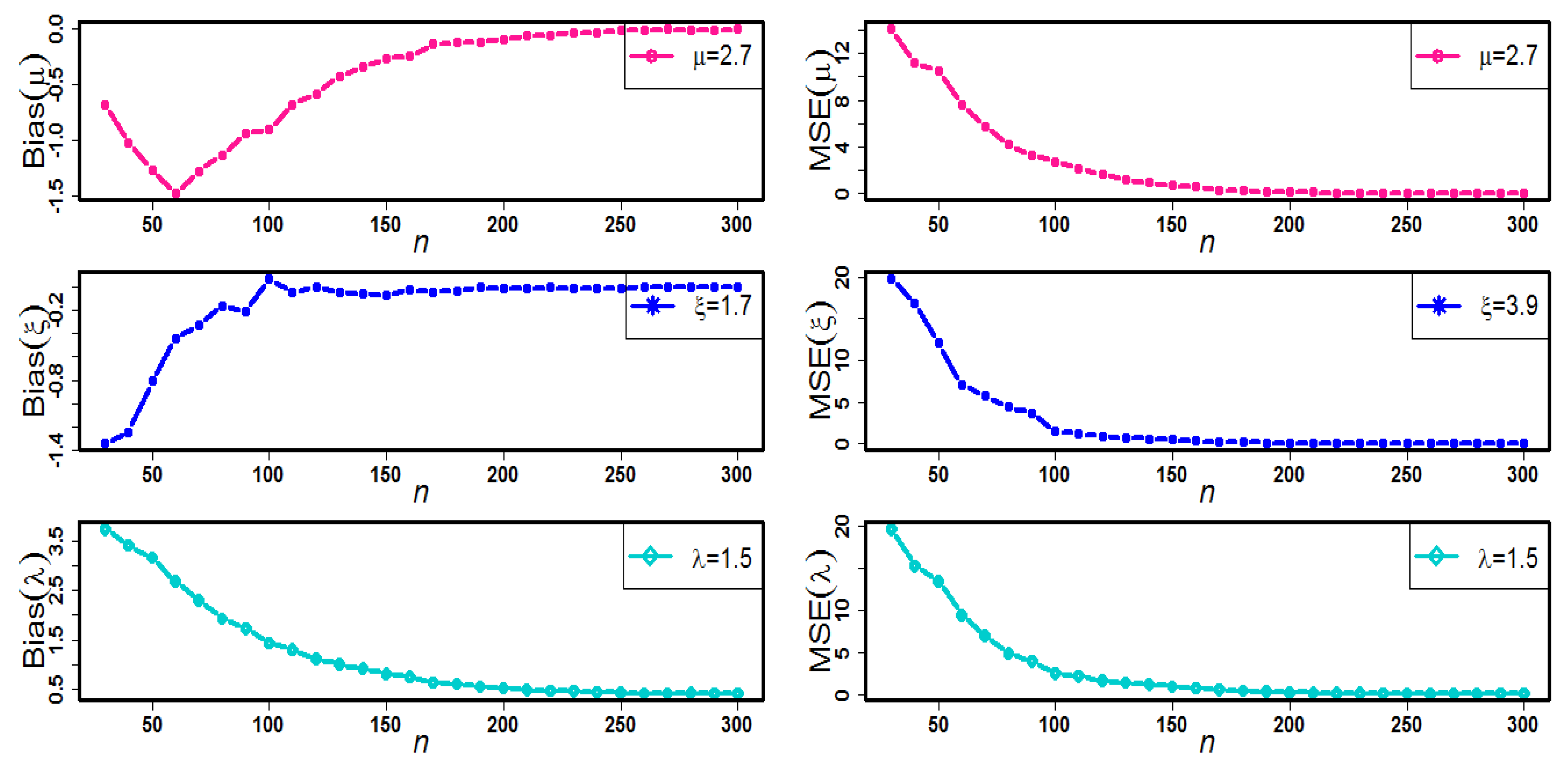
- As n increases, the biases of and diminish.
- Although the biases of and are predominantly negative, there are positive biases for .
- In comparison to the MSE of , the MSE of and is quite small.
- Depending on these findings, we conclude that MLEs perform a reasonable job of estimating parameters and that values for these sample sizes appear to be reasonably stable and close to exact values. This information shows that MLEs are both efficient and consistent.
5. Illustrative Examples
6. Concluding Remarks
Author Contributions
Funding
Data Availability Statement
Conflicts of Interest
Nomenclature
| Symbols | |
| CDF | |
| SF/RF | |
| HRF/FRF | |
| CHRF | |
| FGF | |
| Cumulants | |
| MGF | |
| Median | |
| Central Moments | |
| Mean deviation about mean | |
| Mean deviation about median | |
| Abbreviations | |
| MaxLLE | Maximum likelihood Estimation |
| FGF | Factorial Generating Function |
| GT-II | Gumbel Type-II |
| RMSE | Root Mean Square Error |
| Probability Density Function | |
| CDF | Cumulative Distribution Function |
| MLEs | Maximum likelihood Estimates |
| MN | Monotonic |
| SF | Survival Function |
| FRF | Failure Rate Function |
| HRF | Hazard Rate Function |
| CHRF | Cumulative Hazard Rate Function |
| AB | Average Bias |
| NMNHF | Non-Monotonic Hazard Function |
| w.r.t. | With Respect To |
| QF | Quantile Function |
| MGF | Moment Generating Function |
| r.v. | Random Variable |
| MSE | Mean Square Error |
References
- Gupta, R.C. Nonmonotonic failure rates and mean residual life functions. In System Furthermore, Bayesian Reliability: Essays in Honor of Professor Richard E Barlow on His 70th Birthday; World Scientific Publishing Co.: River Edge, NJ, USA, 2001; pp. 147–163. [Google Scholar]
- Deshpande, J.V.; Suresh, R.P. Non-monotonic ageing. Scand. J. Stat. 1990, 17, 257–262. [Google Scholar]
- Weibull, W. A statistical distribution function of wide applicability. J. Appl. Mech. 1951, 18, 293–297. [Google Scholar] [CrossRef]
- Eugene, N.; Lee, C.; Famoye, F. Beta-normal distribution and its applications. Commun.-Stat.-Theory Methods 2002, 31, 497–512. [Google Scholar] [CrossRef]
- Jones, M.C. Families of distributions arising from distributions of order statistics. Test 2004, 13, 1–43. [Google Scholar] [CrossRef]
- Cordeiro, G.M.; de Castro, M. A new family of generalized distributions. J. Stat. Comput. Simul. 2011, 81, 883–898. [Google Scholar] [CrossRef]
- Alexander, C.; Cordeiro, G.M.; Ortega, E.M.; Sarabia, J.M. Generalized beta-generated distributions. Comput. Stat. Data Anal. 2012, 56, 1880–1897. [Google Scholar] [CrossRef]
- Cordeiro, G.M.; Ortega, E.M.; da Cunha, D.C. The exponentiated generalized class of distributions. J. Data Sci. 2013, 11, 1–27. [Google Scholar] [CrossRef]
- Ristić, M.M.; Balakrishnan, N. The gamma-exponentiated exponential distribution. J. Stat. Simul. 2012, 82, 1191–1206. [Google Scholar] [CrossRef]
- Cordeiro, G.M.; Ortega, E.M.; Popović, B.V.; Pescim, R.R. The Lomax generator of distributions: Properties, minification process and regression model. Appl. Math. Comput. 2014, 247, 465–486. [Google Scholar] [CrossRef]
- Tahir, M.H.; Cordeiro, G.M.; Alzaatreh, A.; Mansoor, M.; Zubair, M. The logistic-X family of distributions and its applications. Commun.-Stat.-Theory Methods 2016, 45, 7326–7349. [Google Scholar] [CrossRef]
- Tahir, M.H.; Zubair, M.; Mansoor, M.; Cordeiro, G.M.; ALİzadehk, M.; Hamedani, G.G. A new Weibull-G family of distributions. Hacet. J. Math. Stat. 2016, 45, 629–647. [Google Scholar] [CrossRef]
- Tahir, M.H.; Cordeiro, G.M.; Alizadeh, M.; Mansoor, M.; Zubair, M.; Hamedani, G.G. The odd generalized exponential family of distributions with applications. J. Stat. Distrib. Appl. 2015, 2, 1–28. [Google Scholar] [CrossRef]
- Zografos, K.; Balakrishnan, N. On families of beta- and generalized gamma generated distributions and associated inference. Stat. Methodol. 2009, 6, 344–362. [Google Scholar] [CrossRef]
- Reyad, H.; Korkmaz, M.Ç.; Afify, A.Z.; Hamedani, G.G.; Othman, S. The Fréchet Topp Leone-G family of distributions: Properties, characterizations and applications. Ann. Data Sci. 2021, 8, 345–366. [Google Scholar] [CrossRef]
- Aldeni, M.; Lee, C.; Famoye, F. Families of distributions arising from the quantile of generalized lambda distribution. J. Stat. Distrib. Appl. 2017, 4, 1–18. [Google Scholar] [CrossRef]
- Alzaatreh, A.; Lee, C.; Famoye, F. T-normal family of distributions: A new approach to generalize the normal distribution. J. Stat. Distrib. Appl. 2014, 1, 1–18. [Google Scholar] [CrossRef]
- Cordeiro, G.M.; Alizadeh, M.; Ramires, T.G.; Ortega, E.M. The generalized odd half-Cauchy family of distributions: Properties and applications. Commun.-Stat.-Theory Methods 2017, 46, 5685–5705. [Google Scholar] [CrossRef]
- Jones, M.C. Kumaraswamy’s distribution: A beta-type distribution with some tractability advantages. Stat. Methodol. 2009, 6, 70–81. [Google Scholar] [CrossRef]
- Mahdavi, A.; Kundu, D. A new method for generating distributions with an application to exponential distribution. Commun.-Stat.-Theory Methods 2017, 46, 6543–6557. [Google Scholar] [CrossRef]
- Nassar, M.; Alzaatreh, A.; Mead, M.; Abo-Kasem, O. Alpha power Weibull distribution: Properties and applications. Commun.-Stat.-Theory Methods 2017, 46, 10236–10252. [Google Scholar] [CrossRef]
- Ramadan, D.A.; Magdy, W. On the alpha-power inverse Weibull distribution. Int. J. Comput. Appl. 2018, 181, 6–12. [Google Scholar]
- Dey, S.; Alzaatreh, A.; Zhang, C.; Kumar, D. A new extension of generalized exponential distribution with application to ozone data. Ozone Sci. Eng. 2017, 39, 273–285. [Google Scholar] [CrossRef]
- Dey, S.; Nassar, M.; Kumar, D. Alpha power transformed inverse Lindley distribution: A distribution with an upside-down bathtub-shaped hazard function. J. Comput. Applied Math. 2019, 348, 130–145. [Google Scholar] [CrossRef]
- Dey, S.; Ghosh, I.; Kumar, D. Alpha-power transformed Lindley distribution: Properties and associated inference with application to earthquake data. Ann. Data Sci. 2019, 6, 623–650. [Google Scholar] [CrossRef]
- Ijaz, M.; Asim, S.M.; Farooq, M.; Khan, S.A.; Manzoor, S. A Gull Alpha Power Weibull distribution with applications to real and simulated data. PLoS ONE 2020, 15, e0233080. [Google Scholar] [CrossRef]
- Brito, E.; Silva, G.O.; Cordeiro, G.M.; Demétrio, C.G.B. The mcdonald gumbel model. Commun.-Stat.-Theory Methods 2016, 45, 3367–3382. [Google Scholar] [CrossRef]
- Gupta, J.; Garg, M.; Gupta, M. The Lomax-Gumbel Distribution. Palest. J. Math. 2016, 5, 35–42. [Google Scholar]
- Gholami, G.; Pourdarvish, A.; MirMostafaee, S.M.T.; Alizadeh, M.; Nashi, A.N. On The Gamma Gumbel Distribution. Appl. Math. E-Notes 2020, 20, 142–154. [Google Scholar]
- Nadarajah, S.; Kotz, S. The beta Gumbel distribution. Math. Probl. Eng. 2004, 2004, 323–332. [Google Scholar] [CrossRef]
- Ogunde, A.A.; Fayose, S.T.; Ajayi, B.; Omosigho, D.O. Extended Gumbel type-2 distribution: Properties and applications. J. Appl. Math. 2020, 2020, 1–11. [Google Scholar] [CrossRef]
- Alzaatreh, A. New Method for Generating Families of Continuous Distributions. Ph.D. Thesis, Central Michigan University, Mount Pleasant, MI, USA, 2011. Available online: http://condor.cmich.edu/cdm/ref/collection/p1610-01coll1/id/3447 (accessed on 3 March 2022).
- Alzaatreh, A.; Lee, C.; Famoye, F. A new method for generating families of continuous distributions. Metron 2013, 71, 63–79. [Google Scholar] [CrossRef]
- Lone, S.A.; Sindhu, T.N.; Jarad, F. Additive Trinomial Fréchet distribution with practical application. Results Phys. 2022, 33, 105087. [Google Scholar] [CrossRef]
- Dey, S.; Mazucheli, J.; Nadarajah, S. Kumaraswamy distribution: Different methods of estimation. Comput. Appl. Math. 2018, 37, 2094–2111. [Google Scholar] [CrossRef]
- Sindhu, T.N.; Hussain, Z.; Aslam, M. Parameter and reliability estimation of inverted Maxwell mixture model. J. Stat. Manag. Syst. 2019, 22, 459–493. [Google Scholar] [CrossRef]
- Kundu, D.; Raqab, M.Z. Generalized Rayleigh distribution: Different methods of estimations. Comput. Stat. Data Anal. 2005, 49, 187–200. [Google Scholar] [CrossRef]
- Sindhu, T.N.; Aslam, M.; Shafiq, A. Bayesian analysis of two censored shifted Gompertz mixture distributions using informative and noninformative priors. Pak. J. Stat. Oper. Res. 2017, 227–243. [Google Scholar] [CrossRef]
- Sindhu, T.N.; Aslama, M.; Shafiq, A. Analysis of the Left Censored Data from the Pareto Type II Distribution. Casp. J. Appl. Sci. Res. 2013, 2, 53–62. [Google Scholar]
- Dey, S.; Ali, S.; Park, C. Weighted exponential distribution: Properties and different methods of estimation. J. Stat. Comput. Simul. 2015, 85, 3641–3661. [Google Scholar] [CrossRef]
- Teimouri, M.; Hoseini, S.M.; Nadarajah, S. Comparison of estimation methods for the Weibull distribution. Statistics 2013, 47, 93–109. [Google Scholar] [CrossRef]
- Sindhu, T.N.; Khan, H.M.; Hussain, Z.; Al-Zahrani, B. Bayesian inference from the mixture of half-normal distributions under censoring. J. Natl. Sci. Found. Sri Lanka 2018, 46, 587–600. [Google Scholar] [CrossRef]
- Sindhu, T.N.; Hussain, Z.; Aslam, M. On the Bayesian analysis of censored mixture of two Topp-Leone distribution. Sri Lankan J. Appl. Stat. 2019, 19, 13. [Google Scholar] [CrossRef]
- Tahir, M.H.; Cordeiro, G.M.; Alzaatreh, A.; Mansoor, M.; Zubair, M. A new Weibull–Pareto distribution: Properties and applications. Commun. -Stat.-Simul. Comput. 2016, 45, 3548–3567. [Google Scholar] [CrossRef]
- Hyndman, R.J.; Fan, Y. Sample quantiles in statistical packages. Am. Stat. 1996, 50, 361–365. [Google Scholar]
- Abu El Azm, W.S.; Almetwally, E.M.; Naji AL-Aziz, S.; El-Bagoury, A.A.A.H.; Alharbi, R.; Abo-Kasem, O.E. A new transmuted generalized lomax distribution: Properties and applications to COVID-19 data. Comput. Intell. Neurosci. 2021, 2021, 5918511. [Google Scholar] [CrossRef] [PubMed]
- Shafiq, A.; Sindhu, T.N.; Alotaibi, N. A novel extended model with versatile shaped failure rate: Statistical inference with COVID-19 applications. Results Phys. 2022, 36, 105–398. [Google Scholar] [CrossRef] [PubMed]
- Sindhu, T.N.; Shafiq, A.; Al-Mdallal, Q.M. Exponentiated transformation of Gumbel Type-II distribution for modeling COVID-19 data. Alex. Eng. J. 2021, 60, 671–689. [Google Scholar] [CrossRef]










| n | 30 | 60 | 90 | 120 | 150 | 200 | 250 | 300 |
|---|---|---|---|---|---|---|---|---|
| AB | −0.6798 | −1.4745 | −0.9406 | −0.5781 | −0.2624 | −0.0906 | −0.0126 | −0.0022 |
| MSE | 14.0628 | 7.5942 | 3.3225 | 1.6586 | 0.6990 | 0.1447 | 0.0372 | 0.0102 |
| RMSE | 3.7500 | 2.7556 | 1.8228 | 1.2879 | 0.8361 | 0.3804 | 0.1929 | 0.1010 |
| AB | −1.3447 | −0.4420 | −0.2082 | 0.0037 | −0.0747 | −0.1310 | −0.0120 | −0.0057 |
| MSE | 19.7444 | 7.0729 | 3.6850 | 0.8708 | 0.4919 | 0.0947 | 0.0186 | 0.0056 |
| RMSE | 4.4435 | 2.6595 | 1.9196 | 0.9332 | 0.7014 | 0.3077 | 0.1364 | 0.0748 |
| AB | 3.7467 | 2.6824 | 1.7273 | 1.1094 | 0.8106 | 0.5185 | 0.4254 | 0.4007 |
| MSE | 19.5671 | 9.4809 | 4.0358 | 1.7487 | 1.0418 | 0.3618 | 0.2078 | 0.1691 |
| RMSE | 4.4235 | 3.0791 | 2.0089 | 1.3224 | 1.0207 | 0.6015 | 0.4559 | 0.4112 |
| n | 30 | 60 | 90 | 120 | 150 | 200 | 250 | 300 |
|---|---|---|---|---|---|---|---|---|
| AB | −3.2225 | −2.6637 | −1.9319 | −1.0792 | −0.4402 | −0.1559 | −0.0473 | 0.0067 |
| MSE | 31.3787 | 20.3257 | 10.9748 | 4.9336 | 2.4360 | 0.6238 | 0.1439 | 0.0296 |
| RMSE | 5.6017 | 4.5084 | 3.3128 | 2.2211 | 1.5608 | 0.7898 | 0.3793 | 0.1721 |
| AB | −0.0100 | 0.1000 | 0.4813 | 0.3048 | −0.0298 | −0.0034 | 0.0158 | −0.0303 |
| MSE | 38.6967 | 16.7172 | 8.2162 | 4.2350 | 2.8566 | 1.0083 | 0.2097 | 0.0833 |
| RMSE | 6.2207 | 4.0887 | 2.8664 | 2.0579 | 1.6902 | 1.0041 | 0.4579 | 0.2886 |
| AB | 5.2271 | 3.8114 | 2.7165 | 1.9901 | 1.4649 | 0.9112 | 0.7099 | 0.6502 |
| MSE | 30.2567 | 8.7565 | 6.0339 | 3.7317 | 2.0582 | 1.1490 | 0.5851 | 0.4626 |
| RMSE | 5.5006 | 2.9591 | 2.4564 | 1.9318 | 1.4346 | 1.0719 | 0.7649 | 0.6802 |
| n | 30 | 60 | 90 | 120 | 150 | 200 | 250 | 300 |
|---|---|---|---|---|---|---|---|---|
| AB | 3.5950 | 2.3918 | 0.8990 | 0.4357 | 0.3729 | 0.3730 | 0.3870 | 0.3678 |
| MSE | 28.4725 | 10.6806 | 1.6142 | 0.3166 | 0.1745 | 0.1679 | 0.0622 | 0.0100 |
| RMSE | 5.3360 | 3.2681 | 1.2705 | 0.5627 | 0.4177 | 0.4098 | 0.2494 | 0.1000 |
| AB | −1.7791 | −2.2027 | −0.9700 | −0.2214 | −0.0300 | 0.0009 | 0.0005 | 0.0000 |
| MSE | 17.9104 | 11.8278 | 2.6780 | 0.4129 | 0.0384 | 0.0016 | 0.0000 | 0.0000 |
| RMSE | 4.2321 | 3.4392 | 1.6365 | 0.6426 | 0.1960 | 0.0400 | 0.0000 | 0.0000 |
| AB | 1.2342 | 1.0209 | 0.5318 | 0.1844 | 0.0934 | 0.0779 | 0.0630 | 0.0522 |
| MSE | 4.3975 | 2.0200 | 0.6003 | 0.1300 | 0.0428 | 0.0382 | 0.0289 | 0.0235 |
| RMSE | 2.0970 | 1.4213 | 0.7748 | 0.3606 | 0.2069 | 0.1955 | 0.1700 | 0.1533 |
| Models | MLEs | NLL | AIC | BIC | AICC |
|---|---|---|---|---|---|
| NIGT-II | 0.003704, 1.186428, 0.434443 | −186.8589 | −367.7178 | −360.4976 | −367.4101 |
| 0.001621, 0.089687, 0.047923 | |||||
| GT-II | 0.014746, 1.016119 | −182.5156 | −361.0312 | −356.2178 | −360.8793 |
| 0.005563, 0.077277 |
| Models | MLEs | NLL | AIC | BIC | AICC |
|---|---|---|---|---|---|
| NIGT-II | 0.007352, 1.126818, 0.426782 | −201.7573 | −397.5145 | −389.4682 | −397.2838 |
| 0.002354, 0.069947, 0.034165 | |||||
| GT-II | 0.028103, 0.952045 | −193.8848 | −383.7696 | −378.4053 | −383.6553 |
| 0.007874, 0.060660 |
Disclaimer/Publisher’s Note: The statements, opinions and data contained in all publications are solely those of the individual author(s) and contributor(s) and not of MDPI and/or the editor(s). MDPI and/or the editor(s) disclaim responsibility for any injury to people or property resulting from any ideas, methods, instructions or products referred to in the content. |
© 2023 by the authors. Licensee MDPI, Basel, Switzerland. This article is an open access article distributed under the terms and conditions of the Creative Commons Attribution (CC BY) license (https://creativecommons.org/licenses/by/4.0/).
Share and Cite
Lone, S.A.; Sindhu, T.N.; Hassan, M.K.H.; Abushal, T.A.; Anwar, S.; Shafiq, A. Theoretical Structure and Applications of a Newly Enhanced Gumbel Type II Model. Mathematics 2023, 11, 1797. https://doi.org/10.3390/math11081797
Lone SA, Sindhu TN, Hassan MKH, Abushal TA, Anwar S, Shafiq A. Theoretical Structure and Applications of a Newly Enhanced Gumbel Type II Model. Mathematics. 2023; 11(8):1797. https://doi.org/10.3390/math11081797
Chicago/Turabian StyleLone, Showkat Ahmad, Tabassum Naz Sindhu, Marwa K. H. Hassan, Tahani A. Abushal, Sadia Anwar, and Anum Shafiq. 2023. "Theoretical Structure and Applications of a Newly Enhanced Gumbel Type II Model" Mathematics 11, no. 8: 1797. https://doi.org/10.3390/math11081797
APA StyleLone, S. A., Sindhu, T. N., Hassan, M. K. H., Abushal, T. A., Anwar, S., & Shafiq, A. (2023). Theoretical Structure and Applications of a Newly Enhanced Gumbel Type II Model. Mathematics, 11(8), 1797. https://doi.org/10.3390/math11081797

