Does the Change in Financial Statement Format Influence Stock Price Crash Risk?
Abstract
1. Introduction
2. Literature Review and Hypothesis Development
2.1. Stock Price Crash Risk
2.2. Classification Shifting
2.3. Institutional Background and Hypothesis Development
3. Variable Construction and Research Method
3.1. Research Sample
3.2. Research Method
4. Empirical Results
4.1. Results for the Baseline Model
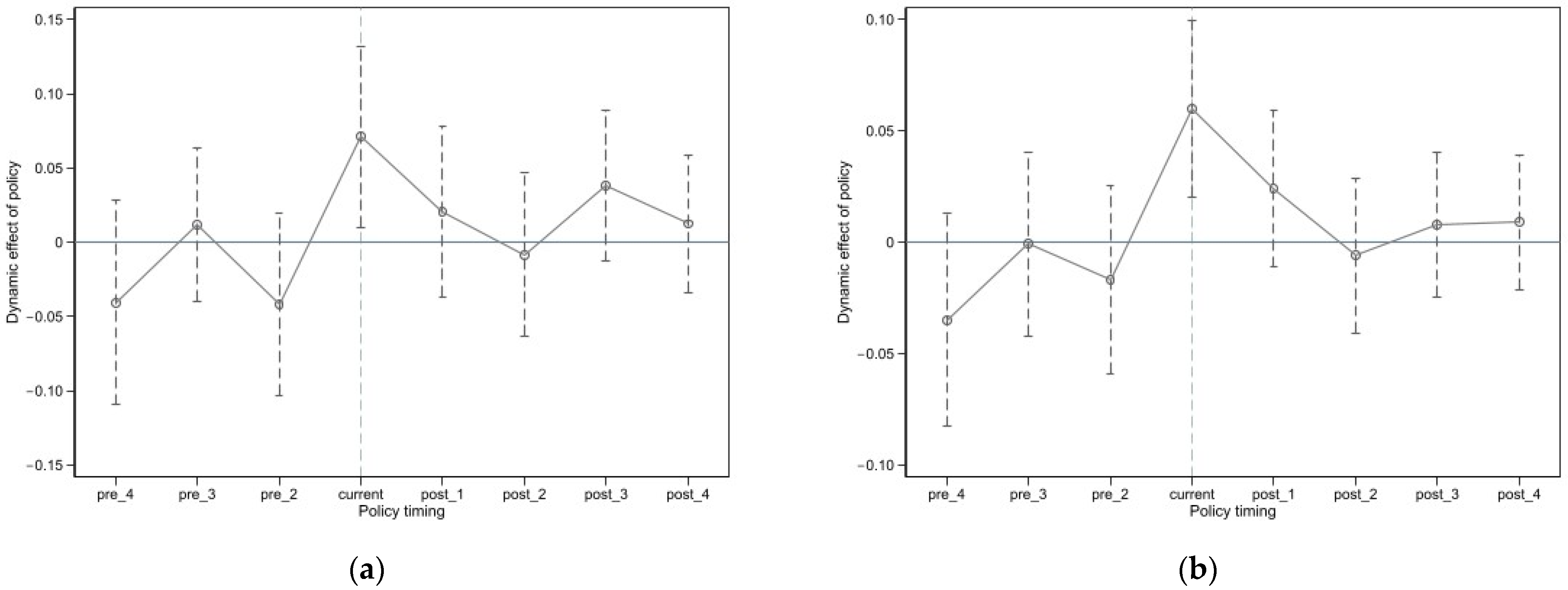
4.2. Results for the Dynamic Treatment Effect Model
4.3. Robustness Checks
4.4. Tests for the Influence Mechanism
4.5. Cross-Sectional Analysis
5. Conclusions
Author Contributions
Funding
Institutional Review Board Statement
Informed Consent Statement
Data Availability Statement
Conflicts of Interest
| 1 | Please see details on the website at https://www.casc.org.cn/2018/0108/203648.shtml (accessed on 7 December 2025). ASBE No. 42 is mainly about non-current assets held for sale, Disposal Groups and Discontinued Operations, and ASBE No. 16 is about Government Subsidy. ASBE No. 42 provides the accounting framework for non-current assets held for sale, along with disposal groups and discontinued operations. ASBE No. 16 is mainly about government subsidies. |
| 2 | Please see details on the website at https://stock.stockstar.com/notice/SN2021042300004084.shtml (accessed on 7 December 2025). |
| 3 | Please see details on the website at https://m.cls.cn/detail/520424 (accessed on 7 December 2025). |
References
- An, H., & Zhang, T. (2013). Stock price synchronicity, crash risk, and institutional investors. Journal of Corporate Finance, 21, 1–15. [Google Scholar] [CrossRef]
- An, Z., Chen, C., Naiker, V., & Wang, J. (2020). Does media coverage deter firms from withholding bad news? Evidence from stock price crash risk. Journal of Corporate Finance, 64, 56–79. [Google Scholar] [CrossRef]
- Andreou, P. C., Antoniou, C., Horton, J., & Louca, C. (2016). Corporate governance and firm-specific stock price crashes. European Financial Management, 22(5), 916–956. [Google Scholar] [CrossRef]
- Andreou, P. C., Louca, C., & Petrou, A. P. (2017). CEO age and stock price crash risk. Review of Finance, 21(3), 1287–1325. [Google Scholar] [CrossRef]
- Baik, B., Cho, H., Choi, W., & Lee, K. (2016). Who classifies interest payments as financing activities? An analysis of classification shifting in the statement of cash flows at the adoption of IFRS. Journal of Accounting and Public Policy, 35(4), 331–351. [Google Scholar] [CrossRef]
- Barnea, A., Ronen, J., & Sadan, S. (1975). The implementation of accounting objectives: An application to extraordinary items. Accounting Review, 50(1), 58–68. [Google Scholar]
- Bartov, E., & Mohanram, P. (2014). Does income statement placement matter to investors? The case of gains/losses from early debt extinguishment. Accounting Review, 89, 2021–2055. [Google Scholar] [CrossRef]
- Barua, A., Lin, S., & Sbaraglia, A. M. (2010). Earnings management using discontinued operations. Accounting Review, 85(5), 1485–1509. [Google Scholar] [CrossRef]
- Bennett, B., Bettis, J. C., Gopalan, R., & Milbourn, T. (2017). Compensation goals and firm performance. Journal of Financial Economics, 124(2), 307–333. [Google Scholar] [CrossRef]
- Bleck, A., & Liu, X. (2007). Market transparency and the accounting regime. Journal of Accounting Research, 45(2), 229–256. [Google Scholar] [CrossRef]
- Burgstahler, D., & Dichev, I. (1997). Earnings management to avoid earnings decreases and losses. Journal of Accounting and Economics, 24(1), 99–126. [Google Scholar] [CrossRef]
- Bushman, R. M., Piotroski, J. D., & Smith, A. J. (2004). What determines corporate transparency? Journal of Accounting Research, 42(2), 207–252. [Google Scholar] [PubMed]
- Callen, J. L., & Fang, X. (2017). Crash risk and the auditor–client relationship. Contemporary Accounting Research, 34(3), 1715–1750. [Google Scholar] [CrossRef]
- Chen, J., Hong, H., & Stein, J. C. (2001). Forecasting crashes: Trading volume, past returns, and conditional skewness in stock prices. Journal of Financial Economics, 61, 345–381. [Google Scholar] [CrossRef]
- Chen, K.-C., Cheng, Q., Lin, Y., Lin, Y., & Xiao, X. (2016). Financial reporting quality of Chinese reverse merger firms: The reverse merger effect or the weak country effect? Accounting Review, 91(5), 1363–1390. [Google Scholar] [CrossRef]
- Chen, S., Ma, H., Wu, Q., & Zhang, H. (2024). Common institutional ownership and stock price crash risk. Contemporary Accounting Research, 41(1), 679–711. [Google Scholar] [CrossRef]
- Cook, K. A., Huston, G. R., Kinney, M. R., & Smith, J. S. (2022). Market reaction to abnormal inventory growth: Evidence for managerial decision-making. Journal of Management Accounting Research, 34(1), 31–50. [Google Scholar] [CrossRef]
- Cready, W., Lopez, T. J., & Sisneros, C. A. (2010). The persistence and market valuation of recurring nonrecurring items. Accounting Review, 85(5), 1577–1615. [Google Scholar] [CrossRef]
- Dechow, P. M., Sloan, R. G., & Sweeney, A. P. (1995). Detecting earnings management. Accounting Review, 70(2), 193–225. [Google Scholar]
- DeFond, M. L., Hung, M., Li, S., & Li, Y. (2015). Does mandatory IFRS adoption affect crash risk? Accounting Review, 90(1), 265–299. [Google Scholar] [CrossRef]
- Dong, F., Dong, H., & Zhang, L. (2025). Accountability and the quality of information disclosure of state-owned enterprises. Finance Research Letters, 71, 106462. [Google Scholar] [CrossRef]
- Dyck, A., Lins, K. V., Roth, L., Towner, M., & Wagner, H. F. (2022). Renewable governance: Good for the environment? Journal of Accounting Research, 61(1), 279–327. [Google Scholar] [CrossRef]
- Dyck, A., Volchkova, N., & Zingales, L. (2008). The corporate governance role of the media: Evidence from Russia. Journal of Finance, 63(3), 1093–1135. [Google Scholar] [CrossRef]
- Enache, L., & Srivastava, A. (2018). Should intangible investments be reported separately or commingled with operating expenses? New evidence. Management Science, 64(7), 3446–3468. [Google Scholar] [CrossRef]
- Fan, Y., Barua, A., Cready, W. M., & Thomas, W. B. (2010). Managing earnings using classification shifting: Evidence from quarterly special items. Accounting Review, 85(4), 1303–1323. [Google Scholar] [CrossRef]
- Fan, Y., & Liu, X. K. (2017). Misclassifying core expenses as special items: Cost of goods sold or selling, general, and administrative expenses? Contemporary Accounting Research, 34(1), 400–426. [Google Scholar] [CrossRef]
- Fan, Y., Thomas, W. B., & Yu, X. (2019). The impact of financial covenants in private loan contracts on classification shifting. Management Science, 65(8), 3637–3653. [Google Scholar] [CrossRef]
- Fan, Z., Radhakrishnan, S., & Zhang, Y. (2020). Corporate governance and earnings management: Evidence from shareholder proposals. Contemporary Accounting Research, 38(2), 1434–1464. [Google Scholar] [CrossRef]
- Francis, J. R., & Yu, M. D. (2009). Big 4 office size and audit quality. Accounting Review, 84(5), 1521–1552. [Google Scholar] [CrossRef]
- Gordon, E. A., Henry, E., Jorgensen, B. N., & Linthicum, C. L. (2017). Flexibility in cash flow classification under IFRS: Determinants and consequences. Review of Accounting Studies, 22(2), 839–872. [Google Scholar] [CrossRef]
- Guan, Y., Kim, J.-B., Liu, B., & Xin, X. (2023). Bond market transparency and stock price crash risk: Evidence from a natural experiment. Accounting Review, 98(4), 143–165. [Google Scholar] [CrossRef]
- Hainmueller, J., & Xu, Y. (2013). Ebalance: A stata package for entropy balancing. Journal of Statistical Software, 54(7), 1–18. [Google Scholar] [CrossRef]
- Hu, J., Li, S., Taboada, A. G., & Zhang, F. (2020). Corporate board reforms around the world and stock price crash risk. Journal of Corporate Finance, 62, 101577. [Google Scholar] [CrossRef]
- Huang, R., Liu, M., Tang, F., & Yuen, D. C. Y. (2025). Does a more prominent presentation format improve information usefulness? The British Accounting Review, 101640. [Google Scholar] [CrossRef]
- Hutton, A. P., Marcus, A. J., & Tehranian, H. (2009). Opaque financial reports, R2, and crash risk. Journal of Financial Economics, 94(1), 67–86. [Google Scholar] [CrossRef]
- Jacobson, L. S., LaLonde, R. J., & Sullivan, D. G. (1993). Earnings losses of displaced workers. American Economic Review, 83(4), 685–709. [Google Scholar]
- Jiang, F., & Kim, K. A. (2020). Corporate governance in China: A survey. Journal of Finance, 24(4), 733–772. [Google Scholar]
- Jin, L., & Myers, S. (2006). R2 around the world: New theory and new tests. Journal of Financial Economics, 79(2), 257–292. [Google Scholar] [CrossRef]
- Karamanou, I., & Vafeas, N. (2005). The association between corporate boards, audit committees, and management earnings forecasts: An empirical analysis. Journal of Accounting Research, 43(3), 453–486. [Google Scholar] [CrossRef]
- Ke, B., & Zhang, X. (2021). Does public enforcement work in weak investor protection countries? Evidence from China. Contemporary Accounting Research, 38(2), 1231–1273. [Google Scholar] [CrossRef]
- Kim, C., Wang, K., & Zhang, L. (2019). Readability of 10-K reports and stock price crash risk. Contemporary Accounting Research, 36(2), 1184–1216. [Google Scholar] [CrossRef]
- Kim, J.-B., Li, L., Lu, L. Y., & Yu, Y. (2016). Financial statement comparability and expected crash risk. Journal of Accounting and Economics, 61(2–3), 294–312. [Google Scholar] [CrossRef]
- Kim, J.-B., Li, Y., & Zhang, L. (2011). Corporate tax avoidance and stock price crash risk: Firm-level analysis. Journal of Financial Economics, 100(3), 639–662. [Google Scholar] [CrossRef]
- Kim, J.-B., Wang, Z., & Zhang, L. (2015). CEO overconfidence and stock price crash risk. Contemporary Accounting Research, 33(4), 1720–1749. [Google Scholar] [CrossRef]
- Kim, S., Kraft, P., & Ryan, S. G. (2013). Financial statement comparability and credit risk. Review of Accounting Studies, 18(3), 783–823. [Google Scholar] [CrossRef]
- Kothari, S. P., Shu, S., & Wysocki, P. D. (2009). Do managers withhold bad news? Journal of Accounting Research, 47(1), 241–276. [Google Scholar] [CrossRef]
- Lee, L. F. (2012). Incentives to inflate reported cash from operations using classification and timing. Accounting Reiview, 87(1), 1–33. [Google Scholar] [CrossRef]
- Lee, Y. J., Petroni, K. R., & Shen, M. (2006). Cherry picking, disclosure quality, and comprehensive income reporting choices: The case of property-liability insurers. Contemporary Accounting Research, 23(3), 655–692. [Google Scholar] [CrossRef]
- Liu, X., & Wu, B. (2021). Do IPO firms misclassify expenses? Implications for IPO price formation and post-IPO stock performance. Management Science, 67(7), 4505–4531. [Google Scholar] [CrossRef]
- Luo, M., Shao, S., & Zhang, F. (2018). Does financial reporting above or below operating income matter to firms and investors? The case of investment income in China. Review of Accounting Studies, 23(4), 1754–1790. [Google Scholar] [CrossRef]
- Marquardt, C., & Wiedman, C. (2005). Earnings management through transaction structuring: Contingent convertible debt and diluted EPS. Journal of Accounting Research, 43(2), 205–243. [Google Scholar] [CrossRef]
- Masulis, R. W., Wang, C., & Xie, F. (2007). Corporate governance and acquirer returns. Journal of Finance, 62(4), 1851–1889. [Google Scholar] [CrossRef]
- McVay, S. E. (2006). Earnings management using classification shifting: An examination of core earnings and special items. Accounting Review, 81(3), 501–531. [Google Scholar] [CrossRef]
- Merkl-Davies, D., & Brennan, N. (2007). Discretionary disclosure strategies in corporate narratives: Incremental information or impression management? Journal of Accounting Literature, 26, 116–196. [Google Scholar]
- Ministry of Finance of the People’s Republic of China. (2017a). Accounting standard for business enterprises No.16—Government subsidy. ASBE No. 16; Ministry of Finance of the People’s Republic of China.
- Ministry of Finance of the People’s Republic of China. (2017b). Accounting standard for business enterprises No.42—Non-current assets held for sale, disposal groups and discontinued operations. ASBE No. 42; Ministry of Finance of the People’s Republic of China.
- Mohanram, P., Sun, W., Xin, B., & Zhu, J. (2025). Does financial information presentation format matter? Evidence from Chinese firms’ reporting of research and development expense. Review of Accounting Studies, 30, 1638–1682. [Google Scholar] [CrossRef]
- Porta, R. L., Lopez-de-Silanes, F., & Shleifer, A. (1999). Corporate ownership around the word. Journal of Finance, 54(2), 471–517. [Google Scholar] [CrossRef]
- Riedl, E. J., & Srinivasan, S. (2010). Signaling firm performance through financial statement presentation: An analysis using special items. Contemporary Accounting Research, 27(1), 289–332. [Google Scholar] [CrossRef]
- Shipman, J. E., Swanquist, Q. T., & Whited, R. L. (2017). Propensity score matching in accounting research. Accounting Review, 92(1), 213–244. [Google Scholar] [CrossRef]
- Tang, X., Du, J., & Hou, Q. (2013). The effectiveness of the mandatory disclosure of independent directors’ opinions: Empirical evidence from China. Journal of Accounting and Public Policy, 32(3), 89–125. [Google Scholar] [CrossRef]
- Titman, S., Wei, C., & Zhao, B. (2022). Corporate actions and the manipulation of retail investors in China: An analysis of stock splits. Journal of Financial Economics, 145(3), 762–787. [Google Scholar] [CrossRef]
- Xu, N., Li, X., Yuan, Q., & Chan, K. C. (2014). Excess perks and stock price crash risk: Evidence from China. Journal of Corporate Finance, 25, 419–434. [Google Scholar] [CrossRef]
- Xu, Y., Xuan, Y., & Zheng, G. (2021). Internet searching and stock price crash risk: Evidence from a quasi-natural experiment. Journal of Financial Economics, 141(1), 255–275. [Google Scholar] [CrossRef]
- Zhou, F., Zhang, Z., Yang, J., Su, Y., & An, Y. (2018). Delisting pressure, executive compensation, and corporate fraud: Evidence from China. Pacific-Basin Finance Journal, 48, 17–34. [Google Scholar] [CrossRef]


| Number of Firms | Observations | |
|---|---|---|
| Total observations | 3311 | 22,045 |
| Less | ||
| Firms in the financial industry | 123 | 829 |
| Firms with special treatment | 3 | 580 |
| Firms listed after 2017 | 443 | 1519 |
| Observations with fewer than 30 weeks of weekly returns within a given year | 1 | 441 |
| Observations with insufficient data to compute control variables | 118 | 2547 |
| Final observations | 2623 | 16,129 |
| Variable | N | Min | P25 | P50 | P75 | Max | Mean | Std |
|---|---|---|---|---|---|---|---|---|
| NCSKEW | 16,129 | −3.034 | −0.723 | −0.291 | 0.089 | 2.506 | −0.339 | 0.714 |
| DUVOL | 16,129 | −1.653 | −0.538 | −0.218 | 0.092 | 1.431 | −0.222 | 0.473 |
| Treat*After | 16,129 | 0 | 0 | 0 | 1 | 1 | 0.326 | 0.469 |
| Treat | 16,129 | 0 | 0 | 1 | 1 | 1 | 0.501 | 0.500 |
| After | 16,129 | 0 | 0 | 1 | 1 | 1 | 0.659 | 0.474 |
| Sigma | 16,129 | 0.013 | 0.034 | 0.044 | 0.057 | 0.126 | 0.047 | 0.019 |
| Ret | 16,129 | −0.791 | −0.163 | −0.095 | −0.056 | −0.008 | −0.129 | 0.110 |
| Odiff | 16,129 | −1.304 | −0.142 | 0.003 | 0.152 | 1.575 | 0.010 | 0.329 |
| Lev | 16,129 | 0.046 | 0.298 | 0.446 | 0.594 | 0.944 | 0.449 | 0.197 |
| ROA | 16,129 | −0.800 | 0.010 | 0.031 | 0.059 | 0.286 | 0.028 | 0.073 |
| Size | 16,129 | 19.885 | 21.779 | 22.527 | 23.457 | 27.386 | 22.704 | 1.311 |
| MB | 16,129 | 1.000 | 2.333 | 3.189 | 4.475 | 36.963 | 3.954 | 3.059 |
| Age | 16,129 | 1.792 | 2.833 | 3.045 | 3.178 | 3.664 | 2.992 | 0.280 |
| Opaque | 16,129 | 0.015 | 0.081 | 0.128 | 0.202 | 0.701 | 0.156 | 0.107 |
| Indep | 16,129 | 0.250 | 0.333 | 0.364 | 0.429 | 0.600 | 0.377 | 0.056 |
| Director | 16,129 | 1.609 | 1.946 | 2.197 | 2.197 | 2.708 | 2.131 | 0.199 |
| Ownship1 | 16,129 | 0.058 | 0.213 | 0.303 | 0.425 | 0.794 | 0.327 | 0.148 |
| SOE | 16,129 | 0 | 0 | 0 | 1 | 1 | 0.436 | 0.496 |
| Panel A: T-test for NCSKEW | |||
| After | Control group | Treatment group | Treatment—Control |
| 0 | −0.328 | −0.356 | −0.028 (−1.545) |
| 1 | −0.357 | −0.318 | 0.039 *** (2.739) |
| 1–0 | −0.029 * (−1.786) | 0.038 ** (2.347) | 0.067 *** (2.917) |
| Panel B: T-test for DUVOL | |||
| After | Control group | Treatment group | Treatment—Control |
| 0 | −0.219 | −0.244 | −0.025 ** (−1.965) |
| 1 | −0.227 | −0.207 | 0.020 ** (2.182) |
| 1–0 | −0.008 (−0.670) | 0.037 *** (3.400) | 0.045 *** (2.864) |
| Variables | (1) | (2) | (3) | (4) | (5) | (6) | (7) | (8) |
|---|---|---|---|---|---|---|---|---|
| NCSKEW | NCSKEW | NCSKEW | NCSKEW | DUVOL | DUVOL | DUVOL | DUVOL | |
| Treat*After | 0.067 *** | 0.046 * | 0.047 ** | 0.047 ** | 0.045 *** | 0.034 ** | 0.033 ** | 0.033 ** |
| (2.854) | (1.957) | (1.987) | (1.977) | (2.716) | (2.009) | (1.983) | (1.979) | |
| Treat | −0.028 | 0.001 | −0.023 | −0.023 | −0.025 * | −0.008 | −0.017 | −0.018 |
| (−1.423) | (0.038) | (−1.064) | (−1.061) | (−1.759) | (−0.564) | (−1.104) | (−1.131) | |
| After | −0.029 * | −0.014 | −0.009 | −0.025 * | −0.004 | −0.000 | ||
| (−1.776) | (−0.825) | (−0.521) | (−1.759) | (−0.296) | (−0.003) | |||
| Sigmat−1 | 6.326 *** | 6.885 *** | 7.802 *** | 3.278 *** | 3.759 *** | 3.939 *** | ||
| (5.049) | (5.424) | (6.060) | (3.947) | (4.450) | (4.592) | |||
| Rett−1 | 1.030 *** | 1.102 *** | 1.236 *** | 0.564 *** | 0.626 *** | 0.696 *** | ||
| (4.852) | (5.114) | (5.721) | (4.010) | (4.379) | (4.867) | |||
| Odifft−1 | −0.120 *** | −0.128 *** | 0.001 | −0.092 *** | −0.097 *** | 0.010 | ||
| (−5.748) | (−6.085) | (0.049) | (−6.669) | (−7.003) | (0.626) | |||
| Levt−1 | −0.132 *** | −0.148 *** | −0.150 *** | −0.050 * | −0.060 ** | −0.052 * | ||
| (−3.108) | (−3.279) | (−3.316) | (−1.758) | (−1.983) | (−1.704) | |||
| ROAt−1 | 0.363 *** | 0.350 *** | 0.273 *** | 0.213 *** | 0.208 *** | 0.168 *** | ||
| (3.785) | (3.577) | (2.783) | (3.469) | (3.318) | (2.685) | |||
| Sizet−1 | 0.014 ** | 0.019 *** | 0.019 *** | −0.005 | −0.001 | −0.004 | ||
| (2.364) | (3.120) | (2.937) | (−1.230) | (−0.320) | (−1.005) | |||
| MBt−1 | 0.017 *** | 0.019 *** | 0.017 *** | 0.008 *** | 0.010 *** | 0.009 *** | ||
| (7.006) | (7.621) | (7.014) | (5.051) | (5.654) | (5.054) | |||
| Aget−1 | 0.036 | 0.024 | 0.019 | 0.049 *** | 0.040 *** | 0.026 * | ||
| (1.638) | (1.086) | (0.830) | (3.347) | (2.741) | (1.720) | |||
| Opaquet−1 | 0.020 | 0.040 | 0.030 | 0.019 | 0.026 | 0.024 | ||
| (0.344) | (0.677) | (0.503) | (0.526) | (0.697) | (0.648) | |||
| Indept−1 | −0.118 | −0.098 | −0.067 | −0.074 | −0.056 | −0.034 | ||
| (−0.943) | (−0.769) | (−0.526) | (−0.912) | (−0.682) | (−0.413) | |||
| Directort−1 | −0.053 | −0.061 | −0.056 | −0.056 ** | −0.061 ** | −0.053 ** | ||
| (−1.356) | (−1.571) | (−1.418) | (−2.202) | (−2.365) | (−2.058) | |||
| Ownship1t−1 | −0.091 ** | −0.120 *** | −0.100 ** | −0.065 ** | −0.081 *** | −0.065 ** | ||
| (−2.035) | (−2.614) | (−2.167) | (−2.243) | (−2.683) | (−2.138) | |||
| SOEt−1 | 0.019 | 0.018 | 0.016 | 0.026 *** | 0.023 ** | 0.024 ** | ||
| (1.399) | (1.225) | (1.110) | (2.834) | (2.391) | (2.484) | |||
| Year FE | NO | NO | NO | YES | NO | NO | NO | YES |
| Industry FE | NO | NO | YES | YES | NO | NO | YES | YES |
| F statistic | 3.284 | 10.401 | 11.243 | 8.518 | 3.842 | 11.071 | 11.297 | 6.230 |
| Observations | 16,129 | 16,129 | 16,129 | 16,129 | 16,129 | 16,129 | 16,129 | 16,129 |
| Adj-R2 | 0.001 | 0.009 | 0.013 | 0.034 | 0.001 | 0.010 | 0.013 | 0.040 |
| Variables | (1) | (2) | (3) | (4) | (5) | (6) |
|---|---|---|---|---|---|---|
| NCSKEW | NCSKEW | NCSKEW | DUVOL | DUVOL | DUVOL | |
| Panel A: Designating the year of the exogenous event as 2016 | ||||||
| Treat*After | 0.025 | 0.026 | 0.024 | 0.026 | 0.026 | 0.025 |
| (0.879) | (0.928) | (0.849) | (1.263) | (1.257) | (1.225) | |
| Treat | 0.010 | −0.014 | −0.013 | −0.008 | −0.017 | −0.017 |
| (0.370) | (−0.499) | (−0.451) | (−0.422) | (−0.838) | (−0.837) | |
| After | −0.058 *** | −0.057 *** | −0.013 | −0.013 | ||
| (−2.727) | (−2.657) | (−0.858) | (−0.817) | |||
| Controls | YES | YES | YES | YES | YES | YES |
| Year FE | NO | NO | YES | NO | NO | YES |
| Industry FE | NO | YES | YES | NO | YES | YES |
| F statistic | 10.626 | 11.282 | 8.253 | 10.744 | 10.858 | 6.063 |
| Observations | 16,129 | 16,129 | 16,129 | 16,129 | 16,129 | 16,129 |
| Adj-R2 | 0.009 | 0.013 | 0.034 | 0.010 | 0.013 | 0.040 |
| Panel B: Designating the year of the exogenous event as 2020 | ||||||
| Treat*After | 0.010 | 0.013 | 0.010 | −0.001 | −0.001 | −0.003 |
| (0.452) | (0.548) | (0.415) | (−0.075) | (−0.057) | (−0.200) | |
| Treat | 0.027 | 0.003 | 0.004 | 0.014 | 0.005 | 0.006 |
| (1.638) | (0.149) | (0.224) | (1.321) | (0.440) | (0.494) | |
| After | 0.009 | 0.010 | 0.022 * | 0.023 ** | ||
| (0.490) | (0.558) | (1.899) | (2.007) | |||
| Controls | YES | YES | YES | YES | YES | YES |
| Year FE | NO | NO | YES | NO | NO | YES |
| Industry FE | NO | YES | YES | NO | YES | YES |
| F statistic | 10.309 | 11.078 | 8.166 | 11.189 | 11.351 | 5.946 |
| Observations | 16,129 | 16,129 | 16,129 | 16,129 | 16,129 | 16,129 |
| Adj-R2 | 0.009 | 0.012 | 0.034 | 0.010 | 0.013 | 0.040 |
| Variables | (1) | (2) | (3) | (4) | (5) | (6) |
|---|---|---|---|---|---|---|
| NCSKEW | NCSKEW | NCSKEW | DUVOL | DUVOL | DUVOL | |
| Treat*After | 0.069 *** | 0.070 *** | 0.068 *** | 0.051 *** | 0.052 *** | 0.051 *** |
| (2.778) | (2.813) | (2.732) | (2.923) | (2.937) | (2.871) | |
| Treat | −0.014 | −0.037 | −0.035 | −0.022 | −0.032 * | −0.031 * |
| (−0.701) | (−1.616) | (−1.561) | (−1.465) | (−1.956) | (−1.920) | |
| After | −0.035 * | −0.031 | −0.021 | −0.018 | ||
| (−1.824) | (−1.585) | (−1.521) | (−1.318) | |||
| Controls | YES | YES | YES | YES | YES | YES |
| Year FE | NO | NO | YES | NO | NO | YES |
| Industry FE | NO | YES | YES | NO | YES | YES |
| F statistic | 12.012 | 13.207 | 10.104 | 12.166 | 12.643 | 8.005 |
| Observations | 16,129 | 16,129 | 16,129 | 16,129 | 16,129 | 16,129 |
| Adj-R2 | 0.011 | 0.016 | 0.038 | 0.012 | 0.016 | 0.044 |
| Variables | (1) | (2) | (3) | (4) | (5) | (6) |
|---|---|---|---|---|---|---|
| NCSKEW | NCSKEW | NCSKEW | DUVOL | DUVOL | DUVOL | |
| Treat*After | 0.063 ** | 0.056 ** | 0.070 *** | 0.038 ** | 0.038 ** | 0.043 ** |
| (2.470) | (2.284) | (2.633) | (2.102) | (2.208) | (2.288) | |
| Treat | −0.031 | −0.023 | ||||
| (−1.393) | (−1.427) | |||||
| Controls | YES | YES | YES | YES | YES | YES |
| Year FE | YES | YES | YES | YES | YES | YES |
| Industry FE | YES | YES | YES | YES | YES | YES |
| Firm FE | YES | NO | YES | YES | NO | YES |
| Province FE*Year FE | NO | YES | YES | NO | YES | YES |
| F statistic | 8.980 | 8.232 | 8.401 | 6.908 | 5.929 | 6.679 |
| Observations | 16,083 | 16,083 | 16,083 | 16,083 | 16,083 | 16,083 |
| Adj-R2 | 0.067 | 0.036 | 0.067 | 0.071 | 0.045 | 0.075 |
| Variables | (1) | (2) | (3) | (4) | (5) | (6) | (7) | (8) | (9) |
|---|---|---|---|---|---|---|---|---|---|
| DAR | DAR | DAR | Pnr | Pnr | Pnr | UE∆CE | UEΔCE | UEΔCE | |
| Treat*After | −0.002 *** | −0.001 * | −0.001 * | 0.018 * | 0.019 * | 0.018 * | 0.005 ** | 0.004 * | 0.004 * |
| (−3.573) | (−1.864) | (−1.864) | (1.869) | (1.955) | (1.840) | (2.260) | (1.736) | (1.717) | |
| Treat | 0.018 *** | 0.013 *** | 0.013 *** | −0.020 ** | −0.012 | −0.011 | −0.003 | 0.002 | 0.002 |
| (32.382) | (23.990) | (24.015) | (−2.162) | (−1.218) | (−1.108) | (−1.354) | (1.047) | (1.104) | |
| After | 0.001 * | −0.000 | −0.031 *** | −0.036 *** | −0.007 *** | −0.005 ** | |||
| (1.793) | (−0.191) | (−4.083) | (−4.592) | (−3.171) | (−2.408) | ||||
| Controls | YES | YES | YES | YES | YES | YES | YES | YES | YES |
| Year FE | NO | NO | YES | NO | NO | YES | NO | NO | YES |
| Industry FE | NO | YES | YES | NO | YES | YES | NO | YES | YES |
| F statistic | 114.232 | 55.762 | 58.296 | 23.413 | 24.266 | 23.741 | 5.894 | 9.024 | 9.330 |
| Observations | 16,129 | 16,129 | 16,129 | 16,129 | 16,129 | 16,129 | 16,129 | 16,129 | 16,129 |
| Adj-R2 | 0.336 | 0.437 | 0.438 | 0.036 | 0.045 | 0.047 | 0.005 | 0.011 | 0.011 |
| Variables | (1) | (2) | (3) | (4) |
|---|---|---|---|---|
| NCSKEW | NCSKEW | DUVOL | DUVOL | |
| Panel A: Information transparency | ||||
| High rating | Low rating | High rating | Low rating | |
| Treat*After | 0.030 | 0.109 ** | 0.026 | 0.083 *** |
| (1.003) | (2.445) | (1.295) | (2.733) | |
| Treat | −0.023 | −0.002 | −0.021 | −0.003 |
| (−0.819) | (−0.070) | (−1.119) | (−0.123) | |
| Controls | YES | YES | YES | YES |
| Year FE | YES | YES | YES | YES |
| Industry FE | YES | YES | YES | YES |
| F statistic | 8.227 | 3.156 | 5.113 | 5.116 |
| Observations | 11,412 | 4714 | 11,412 | 4714 |
| Adj-R2 | 0.039 | 0.047 | 0.048 | 0.066 |
| Panel B: Property rights | ||||
| SOEs | Non-SOEs | SOEs | Non-SOEs | |
| Treat*After | 0.092 ** | 0.023 | 0.059 ** | 0.022 |
| (2.509) | (0.712) | (2.251) | (0.995) | |
| Treat | −0.053 | −0.005 | −0.039 | −0.007 |
| (−1.538) | (−0.171) | (−1.583) | (−0.341) | |
| Controls | YES | YES | YES | YES |
| Year FE | YES | YES | YES | YES |
| Industry FE | YES | YES | YES | YES |
| F statistic | 3.514 | 7.271 | 3.806 | 4.132 |
| Observations | 7031 | 9098 | 7031 | 9098 |
| Adj-R2 | 0.036 | 0.038 | 0.051 | 0.038 |
| Variables | (1) | (2) | (3) | (4) |
|---|---|---|---|---|
| NCSKEW | NCSKEW | DUVOL | DUVOL | |
| Panel A: Percentage of the independent directors | ||||
| High | Low | High | Low | |
| Treat*After | 0.042 | 0.057 * | 0.020 | 0.047 ** |
| (1.200) | (1.760) | (0.834) | (2.088) | |
| Treat | −0.002 | −0.045 | 0.001 | −0.038 * |
| (−0.058) | (−1.545) | (0.038) | (−1.799) | |
| Controls | YES | YES | YES | YES |
| Year FE | YES | YES | YES | YES |
| Industry FE | YES | YES | YES | YES |
| F statistic | 5.239 | 4.415 | 4.562 | 2.920 |
| Observations | 7414 | 8715 | 7414 | 8715 |
| Adj-R2 | 0.034 | 0.034 | 0.041 | 0.041 |
| Panel B: Ownership of the largest shareholder | ||||
| High | Low | High | Low | |
| Treat*After | 0.061 * | 0.030 | 0.047 ** | 0.023 |
| (1.893) | (0.834) | (2.023) | (0.933) | |
| Treat | −0.041 | −0.006 | −0.030 | −0.012 |
| (−1.380) | (−0.182) | (−1.403) | (−0.509) | |
| Controls | YES | YES | YES | YES |
| Year FE | YES | YES | YES | YES |
| Industry FE | YES | YES | YES | YES |
| F statistic | 6.126 | 3.529 | 5.221 | 2.261 |
| Observations | 7938 | 8186 | 7938 | 8186 |
| Adj-R2 | 0.041 | 0.030 | 0.048 | 0.035 |
| Variables | (1) | (2) | (3) | (4) |
|---|---|---|---|---|
| NCSKEW | NCSKEW | DUVOL | DUVOL | |
| Panel A: Big Four auditors | ||||
| Big Four | Non-Big Four | Big Four | Non-Big Four | |
| Treat*After | 0.072 | 0.043 * | 0.032 | 0.032 * |
| (0.780) | (1.726) | (0.501) | (1.834) | |
| Treat | −0.167 ** | −0.015 | −0.097 | −0.013 |
| (−1.977) | (−0.679) | (−1.645) | (−0.805) | |
| Controls | YES | YES | YES | YES |
| Year FE | YES | YES | YES | YES |
| Industry FE | YES | YES | YES | YES |
| F statistic | 1.471 | 8.185 | 2.664 | 5.524 |
| Observations | 1176 | 14,952 | 1176 | 14,952 |
| Adj-R2 | 0.065 | 0.033 | 0.094 | 0.038 |
| Panel B: Ownership of professional institutional investors | ||||
| High | Low | High | Low | |
| Treat*After | 0.020 | 0.083 ** | 0.020 | 0.054 ** |
| (0.669) | (2.215) | (0.927) | (2.134) | |
| Treat | −0.018 | −0.026 | −0.013 | −0.020 |
| (−0.707) | (−0.751) | (−0.673) | (−0.860) | |
| Controls | YES | YES | YES | YES |
| Year FE | YES | YES | YES | YES |
| Industry FE | YES | YES | YES | YES |
| F statistic | 6.091 | 2.900 | 5.174 | 3.313 |
| Observations | 8569 | 7557 | 8569 | 7557 |
| Adj-R2 | 0.044 | 0.032 | 0.047 | 0.042 |
Disclaimer/Publisher’s Note: The statements, opinions and data contained in all publications are solely those of the individual author(s) and contributor(s) and not of MDPI and/or the editor(s). MDPI and/or the editor(s) disclaim responsibility for any injury to people or property resulting from any ideas, methods, instructions or products referred to in the content. |
© 2025 by the authors. Licensee MDPI, Basel, Switzerland. This article is an open access article distributed under the terms and conditions of the Creative Commons Attribution (CC BY) license (https://creativecommons.org/licenses/by/4.0/).
Share and Cite
Wu, Q.; Xiao, M.; Zuo, W.; Dai, L.; Cheng, P. Does the Change in Financial Statement Format Influence Stock Price Crash Risk? Int. J. Financial Stud. 2025, 13, 244. https://doi.org/10.3390/ijfs13040244
Wu Q, Xiao M, Zuo W, Dai L, Cheng P. Does the Change in Financial Statement Format Influence Stock Price Crash Risk? International Journal of Financial Studies. 2025; 13(4):244. https://doi.org/10.3390/ijfs13040244
Chicago/Turabian StyleWu, Qinqin, Manjing Xiao, Wenli Zuo, Lingling Dai, and Ping Cheng. 2025. "Does the Change in Financial Statement Format Influence Stock Price Crash Risk?" International Journal of Financial Studies 13, no. 4: 244. https://doi.org/10.3390/ijfs13040244
APA StyleWu, Q., Xiao, M., Zuo, W., Dai, L., & Cheng, P. (2025). Does the Change in Financial Statement Format Influence Stock Price Crash Risk? International Journal of Financial Studies, 13(4), 244. https://doi.org/10.3390/ijfs13040244

