Pedicularis L. Genus: Systematics, Botany, Phytochemistry, Chemotaxonomy, Ethnopharmacology, and Other
Abstract
1. Systematics
2. Etymology of the Name
3. Botany
4. Distribution and Habitat
5. Phytochemistry
6. Corollary to Phytochemistry
7. Methodologies for the Phytochemical Analysis
8. Chemotaxonomy
9. Ethnopharmacology
10. Corollary for Ethnopharmacology
11. Pharmacology
12. Relationships among Pharmacology, Ethnopharmacology, and Phytochemistry
13. Other Uses
14. Curiosities
15. Conclusions
Author Contributions
Funding
Conflicts of Interest
Abbreviations
| a.n. | accepted name |
| n.r. | none reported |
| n.s. | not specified |
| s.n. | synonym name |
| u.n. | unresolved name |
References
- The Angiosperm Phylogeny Group. An update of the Angiosperm Phylogeny Group classification for the orders and families of flowering plants: APG IV. Bot. J. Linn. Soc. 2016, 181, 1–20. [Google Scholar] [CrossRef]
- Pedicularis genus. Available online: www.theplantlist.org (accessed on 15 May 2019).
- Nicolini, G. Enciclopedia Botanica Motta; Federico Motta: Milano, Italy, 1960; Volume 3, p. 236. [Google Scholar]
- Pignatti, S. Flora d’Italia; Edagricole: Bologna, Italy, 1982; Volume 2, p. 590. [Google Scholar]
- Kadereit, J.W. The Families and Genera of Vascular Plants, Volume VII; Lamiales Sperling: Berlin, Germany, 2004; p. 424. [Google Scholar]
- Aeschimann, D.; Lauber, K.; Moser, D.M.; Theurillat, J.P. Flora Alpina; Zanichelli: Bologna, Italy, 2004; Volume 2, p. 264. [Google Scholar]
- Yatoo, M.I.; Dimri, U.; Gopalakrishan, A.; Saminathan, M.; Dhama, K.; Mathesh, K.; Saxena, A.; Gopinath, D.; Husain, S. Antidiabetic and Oxidative Stress Ameliorative Potential of Ethanolic Extract of Pedicularis longiflora Rudolph. Int. J. Pharmacol. 2016, 12, 177–187. [Google Scholar] [CrossRef]
- Li, M.X.; He, X.R.; Tao, R.; Cao, X. Phytochemistry and Pharmacology of the Genus Pedicularis Used in Traditional Chinese Medicine. Am. J. Chin. Med. 2014, 42, 1071–1098. [Google Scholar] [CrossRef] [PubMed]
- USDA (2019) Natural Resources Conservation Service Report. Available online: www. plants.usda.gov/java/ClassificationServlet?source=display&classid=PEDIC (accessed on 15 May 2019).
- Üçüncü, O.; Baltaci, C.; Ilter, S.M. Chemical composition, antimicrobial and antioxidant aactivities of essential oil from Pedicularis condensata BIEB. Hittite J. Sci. Engineer. 2016, 3, 105–109. [Google Scholar] [CrossRef]
- Khodaie, L.; Bamdad, S.; Delazar, A.; Nazemiyeh, H. Antioxidant, Total Phenol and Flavonoid Contents of Two Pedicularis L. Species from Eastern Azerbaijan, Iran. BioImpacts 2012, 2, 43–57. [Google Scholar]
- Khodaei, L.; Delazar, A.; Nazemiyeh, H.; Asnaashari, S.; Nahar, L.; Sarker, S.D. Composition of the Volatile Oils of the Aerial Parts of Pedicularis sibthorpii and P. wilhelmsiana Growing in Iran. J. Essent. Oil Bear. Plants 2012, 15, 352–356. [Google Scholar] [CrossRef]
- Morteza-Semnani, K.; Saeedi, M.; Akbarzadeh, M. Chemical Composition of the Essential Oil of Pedicularis sibthorpii Boiss. J. Essent. Oil Bear. Plants 2014, 17, 1303–1307. [Google Scholar] [CrossRef]
- Frezza, C.; Venditti, A.; Serafini, M.; Bianco, A. Phytochemistry, Chemotaxonomy, Ethnopharmacology, and Nutraceutics of Lamiaceae. Stud. Nat. Prod. Chem. 2019, 62, 125–178. [Google Scholar]
- Akdemir, Z.S.; Çalıs, I.; Doga, T.R. Iridoid and phenylpropanoid glycosides from Pedicularis comosa var. acmodonta Boiss. J. Pharma. 1992, 2, 63–70. [Google Scholar]
- Gao, J.J.; Jia, Z.J.; Liu, Z.M. Studies on the monoterpene iridoid glycosides from Pedicularis alaschanica. Chin. Chem. Lett. 1993, 14, 366–377. [Google Scholar]
- Gao, J.; Jia, Z.J. Lignan, iridoid and phenylpropanoid glycosides from Pedicularis alaschanica Maxim (Scrophulariaceae). Indian J. Chem. B 1995, 34, 466–468. [Google Scholar]
- Yuan, C.S.; Sun, X.B.; Zhao, P.H.; Cao, M.A. Antibacterial constituents from Pedicularis armata. J. Asian Nat. Prod. Res. 2007, 9, 673–677. [Google Scholar] [CrossRef]
- Su, B.N.; Zhai, J.J.; Jia, Z.J. New Iridoids from Pedicularis artselaeri. J. Asian Nat. Prod. Res. 1998, 1, 103–109. [Google Scholar] [CrossRef]
- Su, B.; Ma, L.; Jia, Z. Iridoid and Phenylpropanoid Glycosides from Pedicularis artselaeri. Planta Medica 1998, 64, 720–723. [Google Scholar] [CrossRef]
- Yatoo, M.I.; Dimri, U.; Gopalakrishnan, A.; Karthik, K.; Gopi, M.; Khandia, R.; Saminathan, M.; Saxena, A.; Alagawany, M.; Farag, M.R.; et al. Beneficial health applications and medicinal values of Pedicularis plants: A review. Biomed. Pharmacother. 2017, 95, 1301–1313. [Google Scholar] [CrossRef]
- Schneider, M.J.; Lynch, J.D.; Deutsch, L.; Duda, C.M.; Green, J.C.; Mcpeak, D. Iridoid glycosides of Pedicularis. Biochem. Syst. Ecol. 1996, 24, 793–794. [Google Scholar] [CrossRef]
- Stermitz, F.R.; Suess, T.R.; Fink, N.H.; Puzziferri, N. Phytochemical Screening of Some Rocky Mountain Plants. J. Nat. Prod. 1981, 44, 693–695. [Google Scholar] [CrossRef]
- Jung, H.J.G.; Batzli, G.O.; Seigler, D.S. Patterns in the phytochemistry of arctic plants. Biochem. Syst. Ecol. 1979, 7, 203–209. [Google Scholar] [CrossRef]
- Yang, J.Q.; He, W.J.; Tan, N.H.; Chu, H.B.; Zhang, Y.M.; Mei, W.L.; Dai, H.F. Chemical constituents of Pedicularis cephalantha Franch and P. siphonantha Don. Nat. Prod. Res. Dev. 2009, 21, 600–603. [Google Scholar]
- Murai, Y.; Tsukasa, I. Phenolic compounds in the leaves of Pedicularis chamissonis in Japan Bull. Natl. Mus. Nat. Sci. Ser. B 2015, 41, 131–136. [Google Scholar]
- Yang, L.; Wang, C.Z.; Jia, Z.J. Iridoids in roots of Pedicularis chinensis. Phytochemistry 1995, 40, 491–494. [Google Scholar]
- Wang, C.Z.; Jia, Z.J. Iridoid, lignan and phenylpropanoid glycosides from Pedicularis chinensis. J. Lanzhou Univers. (Nat. Sci.) 1996, 32, 64–68. [Google Scholar]
- Akdemi̇r, Z.; Çali, H.; Junior, P. Iridoid and phenylpropanoid glycosides from Pedicularis condensata. Phytochemistry 1991, 30, 2401–2402. [Google Scholar]
- Schneider, M.J.; Stermitz, F.R. Uptake of host plant alkaloids by root parasitic Pedicularis species. Phytochemistry 1990, 29, 1811–1814. [Google Scholar] [CrossRef]
- An, B.L.; Liu, Q.G.; Geng, Z.; Cheng, Z.G. Amino acids and trace elements in Pedicularis decora franch. J. Shanxi. Norm. Univ. (Nat. Sci.) 1995, 23, 62–64. [Google Scholar]
- Guan, F.; Wang, X.J.; Yang, Y. Chemical studies on the Pedicularis decora Franch. J. Tradition. Chin. Med. 2004, 27, 920–921. [Google Scholar]
- Li, C.; Zhang, C.Z.; Liu, M. Phenol glycosides from Pedicularis dicora. Chin. Tradition. Herb. Drug 1998, 29, 11–12. [Google Scholar]
- Li, C.; Gu, D.S.; Zhang, C.Z.; Tao, B.Q. Iridoid glycosides from Pedicularis dicora Franch. China J. Chin. Mater. Med. 1999, 24, 40–41. [Google Scholar]
- Li, C.; Zhang, C.Z. Nor-monoterpene glucides from Pedicularis dicora. Chin. Tradition. Herb. Drug 1999, 30, 482–484. [Google Scholar]
- Zhang, C.Z.; Li, C.; Fen, S.L. Chemical studies on Pedicularis dicora. J. Lanzhou Med. Coll. 1991, 17, 199–200. [Google Scholar]
- Luo, D.Q.; Chu, H.B.; Tan, N.H.; Tian, X. Densispicnins A and B, Two Unusual Monoterpenes from Pedicularis densispica Franch. Heterocycles 2008, 75, 177. [Google Scholar] [CrossRef]
- Chu, H.; He, W.; Zhang, Y.; Ji, C.; Tan, N. Flavonoids and nor-sesquiterpenes of Pedicularis densispica. China J. Chin. Mater. Medica 2011, 36, 2672–2675. [Google Scholar]
- Chu, H.B.; Zeng, G.Z.; Zhu, M.J.; He, W.J.; Zhang, Y.M.; Tan, N.H. Chemical Constituents of Pedicularis densispica Franch. Z. Naturforsch. B 2011, 66, 641–646. [Google Scholar] [CrossRef]
- Chu, H.B.; Tan, N.H. Iridoid Glycosides from Pedicularis dolichocymba Hand.-Mazz. J. Integr. Plant. Biol. 2006, 48, 1250–1253. [Google Scholar] [CrossRef]
- Chu, H.B.; Tan, N.H.; Xiong, J.; Zhang, Y.M.; Ji, C.J. Chemical constituents of Pedicularis dolichocymba Hand.-Mazz. Nat. Prod. Res. Dev. 2007, 19, 584–587. [Google Scholar]
- Ubeav, K.; Yuldashev, P.K.; Yunusov, S.Y. Pedicularis olgae alkaloids. Uzbeksk. Khim. Zh. 1963, 7, 33–36. [Google Scholar]
- Karanjit, N.; Shakya, K.; Pradhan, N.B.; Gautam, L.; Shakya, D. Acompilation report of preliminary phytochemical and biological screening of some medicinal plants of Nepal. Bull. Dept. Pl. Res. 2007, 29, 79–96. [Google Scholar]
- Wangchuk, P.; Keller, P.A.; Pyne, S.G.; Taweechotipatr, M.; Tonsomboon, A.; Rattanajak, R.; Kamchonwongpaisan, S. Evaluation of an ethnopharmacologically selected Bhutanese medicinal plants for their major classes of Phytochemicals and biological activities. J. Ethnopharmacol. 2011, 137, 730–742. [Google Scholar] [CrossRef]
- Yin, J.G.; Yuan, C.S.; Jia, Z.J. A new iridoid and other chemical constituents from Pedicularis kansuensis forma albiflora Li. Arch. Pharmacal Res. 2007, 30, 431–435. [Google Scholar] [CrossRef]
- Yuan, C.S.; Zhang, Q.; Xie, W.D.; Yang, X.P.; Jia, Z.J. Iridoids from Pedicularis kansuensis forma albiflora. Pharmazie 2003, 34, 428–430. [Google Scholar] [CrossRef]
- Jiang, T.F.; Qing, Y.O.; Yan, P.S. Separation and determination of phenyl-propanoid glycosides from Pedicularis species by capillary electrophoresis. J. Chromatogr. A 2003, 986, 163–167. [Google Scholar] [CrossRef]
- Guarnaccia, R.; Madyastha, K.M.; Tegtmeyer, E.; Coscia, C.J. Geniposidic acid, an iridoid glucoside from Genipa americana. Tetrahedron Lett. 1972, 13, 5125–5127. [Google Scholar] [CrossRef]
- Zhang, Z.X.; Xie, W.D.; Jia, Z.J. Glycosides from two Pedicularis species. Biochem. Syst. Ecol. 2008, 36, 467–472. [Google Scholar] [CrossRef]
- Zhang, B.B.; Shi, K.; Liao, Z.X.; Dai, Y.; Zou, Z.H. Phenylpropanoid glycosides and triterpenoid of Pedicularis kansuensis Maxim. Fitoterapia 2011, 82, 854–860. [Google Scholar] [CrossRef]
- Venditti, A.; Frezza, C.; Serafini, M.; Bianco, A. Iridoids and phenylethanoid from Pedicularis kerneri Dalla Torre growing in Dolomites, Italy. Nat. Prod. Res. 2016, 30, 327–331. [Google Scholar] [CrossRef]
- Berg, T.; Damtoft, S.; Jensen, S.R.; Nielsen, B.J.; Rickelt, L.F. Iridoid glucosides from Pedicularis. Phytochemistry 1985, 24, 491–493. [Google Scholar] [CrossRef]
- Jia, Z.J.; Liu, Z.M.; Wang, C.Z. Phenylpropanoid and iridoid glycosides from Pedicularis lasiophrys. Phytochemistry 1992, 31, 263–266. [Google Scholar]
- Wang, C.Z.; Jia, Z.J. Neolignan glycosides from Pedicularis longiflora. Planta Medica 1997, 63, 241–244. [Google Scholar] [CrossRef]
- Jia, Z.J.; Liu, Z.M. Phenylpropanoid and iridoid glycosides from Pedicularis longiflora. Phytochemistry 1992, 31, 3125–3127. [Google Scholar]
- Zhang, L.; Yue, H.L.; Zhao, X.H.; Li, J.; Shao, Y. Separation of Four Phenylpropanoid Glycosides from a Chinese Herb by HSCCC. J. Chromatogr. Sci. 2014, 53, 860–865. [Google Scholar] [CrossRef]
- Fujii, M.; Miyaichi, Y.; Tomiinori, T. Flavonoid, phenylethanoid and iridoid constituents of the whole plant of Pedicularis longiflora var. tubiformis. Planta Medica 1991, 61, 584. [Google Scholar] [CrossRef]
- Ma, Z.K.; Niu, B.J.; Zhang, B.B.; Liao, Z.X. Chemical constituents from Pedicularis longiflora var. tubiformis. Chin. Tradition. Herb. Drug 2013, 44, 403–407. [Google Scholar]
- Zhang, L.; Shao, Y.; Zhao, X.H.; Yue, H.L.; Chen, C.; Tao, Y.D.; Mei, L.J.; Zhou, G.Y. Chemical constituents of Pedicularis longiflora Rudolph. var. tubiformis (Klotz). Tsoong. Nat. Prod. Res. Dev. 2013, 25, 40–43. [Google Scholar]
- Kang, J.G.; Jia, Z.J. The chemical constituents of Pedicularis muscicola Maxim. J. Lanzhou Univ. (Nat. Sci.) 1997, 33, 69–74. [Google Scholar]
- Kang, J.; Jia, Z. Chemical constituents of Pedicularis muscicola Maxim. China J. Chin. Mater. Medica 1997, 22, 167–168. [Google Scholar]
- Yang, L.C.; Chen, L.D. Studies on the chemical constituents of Pedicularis muscicola Maxim. China J. Chin. Mater. Med. 1992, 17, 485–487. [Google Scholar]
- Akdemir, Z.; Caliş, I.; Junior, P. Iridoids and phenyipropanoid glycosides from Pedicularis nordmanniana. Planta Medica 1991, 57, 584–585. [Google Scholar] [CrossRef]
- Sadikov, Y.J. Biologically Active Substances of Wild Medicinal Plants of Tajikistan; Academy of Sciences of the Republic of Tajikistan: Dushanbe, Tajikistan, 2003; p. 320. [Google Scholar]
- Jia, Z.J.; Gao, J.J.; Liu, Z.M. Iridoid and phenylpropanoid glycosides from Pedicularis plicata Maxim. Indian J. Chem. B 1994, 33, 460–464. [Google Scholar]
- Schneider, M.J.; Green, J.C.; McPeak, D. Proceroside, an iridoid glucoside from Pedicularis procera. Phytochemistry 1997, 46, 1097–1098. [Google Scholar] [CrossRef]
- Schneider, M.J.; Romero, K.A. Iridoid glycosides from Pedicularis punctata. Abstr. Pap. Am. Chem. Soc. 1995, 210, 355. [Google Scholar]
- Bazzaz, B.S.F.; Haririzadeh, G.; Imami, A.S.; Rashed, M.H. Survey of Iranian Plants for Alkaloids, Flavonoids, Saponins, and Tannins (Khorasan Province). Int. J. Pharmacogn. 1997, 35, 17–30. [Google Scholar] [CrossRef]
- Chu, H.B.; Tan, N.H.; Zhang, Y.M. Chemical constituents from Pedicularis rex C. B. Clarke. Z. Naturforsch. B 2007, 62, 1465–1470. [Google Scholar] [CrossRef]
- Venditti, A.; Frezza, C.; Sciubba, F.; Foddai, S.; Serafini, M.; Nicoletti, M.; Bianco, A. Secoiridoids and other chemotaxonomically relevant compounds in Pedicularis: Phytochemical analysis and comparison of Pedicularis rostratocapitata Crantz and Pedicularis verticillata L. from Dolomites. Nat. Prod. Res. 2016, 30, 1698–1705. [Google Scholar] [CrossRef]
- Sharopov, F.; Setzer, W.N. Medicinal Plants of Tajikistan; Egamberdieva, D., Öztürk, M., Eds.; Vegetation of Central Asia and Environs; Springer: Berlin, Germany, 2019. [Google Scholar]
- Stermitz, F.R.; Belofsky, G.N.; Ng, D.; Singer, M.C. Quinolizidine alkaloids obtained by Pedicularis semibarbata (Scrophulariaceae), from Lupinus fulcratus (Leguminosae) fail to influence the specialist herbivore Euphydrya seditha (Lepidotera). J. Chem. Ecol. 1989, 15, 2521–2530. [Google Scholar] [CrossRef]
- Wang, C.Z.; Jia, Z.J.; Shen, X.M. Phenylpropanoid, neolignan and iridoid glycosides from Pedicularis semitorta. Indian J. Chem. 1997, 36, 150–153. [Google Scholar]
- Khodaie, L.; Delazar, A.; Lotfipour, F.; Nazemiyeh, H.; Asnaashari, S.; Moghadam, S.B.; Nahar, L.; Sarker, S.D. Phytochemistry and bioactivity of Pedicularis sibthorpii growing in Iran. Rev. Bras. Farm. 2012, 22, 1268–1275. [Google Scholar] [CrossRef]
- Jia, Z.J.; Liu, Z.; Wang, C. Phenypropanoid and iridoid glycosides from P. spicata. Phytochemistry 1991, 30, 3745–3747. [Google Scholar]
- Zheng, R.L.; Wang, P.F.; Li, J.; Liu, Z.M.; Jia, Z.J. Inhibition of the autoxidation of linoleic acid by phenylpropanoid glycosides from Pedicularis in micelles. Chem. Phys. Lipids 1993, 65, 151–154. [Google Scholar] [CrossRef]
- Liu, Z.M.; Jia, Z.J. Phenylpropanoid and iridoid glycosides from Pedicularis striata. Phytochemistry 1991, 30, 1341–1344. [Google Scholar]
- Liu, Z.M.; Wang, C.Z.; Jia, Z.J. Chemical constituents from Pedicularis striata. J. Lanzhou Univ. (Nat. Sci.) 1994, 30, 62–65. [Google Scholar]
- Mu, P.; Gao, X.; Jia, Z.J.; Zheng, R.L. Natural antioxidant pedicularioside G inhibits angiogenesis and tumourigenesis in vitro and in vivo. Basic Clin. Pharmacol. Toxicol. 2008, 102, 30–34. [Google Scholar] [CrossRef]
- Gao, J.J.; Jia, Z.J.; Codina, C. An eremophilane sesquiterpenoid from Pedicularis striata Pall ssp. arachnoidea. Phytochemistry 1996, 43, 1411–1412. [Google Scholar] [CrossRef]
- Gao, J.; Yang, L.; Jia, Z. A New Eremophilane Sesquiterpenoid and a New Iridoid from Pedicularis striata subsp. arachnoides. Planta Medica 1997, 63, 248–250. [Google Scholar] [CrossRef]
- Jia, Z.J.; Gao, J.J. Phenylpropanoid glycosides from Pedicularis striata pall ssp. arachnoidea. Phytochemistry 1993, 34, 1188–1190. [Google Scholar]
- Wang, C.Z.; Jia, Z.J. Neolignan glucosides from Pedicularis torta. Chin. Chem. Lett. 1996, 7, 141–144. [Google Scholar]
- Wang, C.Z.; Jia, Z.J. Lignan, phenylpropanoid and iridoid glycosides from Pedicularis torta. Phytochemistry 1997, 45, 159–166. [Google Scholar] [CrossRef]
- Yang, L.R.; Xiong, J.; Tan, N.H.; Chu, H.B.; Xu, L.; Li, M.Y. Chemical constituents of Pedicularis tricolor (Scrophulariaceae). Acta Bot. Yunnan 2006, 28, 553–557. [Google Scholar]
- Liu, L.F.; Yao, M.J.; Li, M.Y.; Wu, X.Z.; Yuan, C.S. Iridoid Derivatives with Cytotoxic Activity from Pedicularis uliginosa Bunge. Chem. Biodivers. 2019, 16, e1800524. [Google Scholar] [CrossRef]
- Shao, M.H.; Dai, W.; Yuan, S.W.; Lu, Y.; Chen, D.F.; Wang, Q.; Shao, M.; Yuan, S.; Chen, D. Iridoids from Pedicularis verticillata and Their Anti-Complementary Activity. Chem. Biodivers. 2018, 15, e1800033. [Google Scholar] [CrossRef]
- Su, B.N.; Yang, L.; Jia, Z.J. Neolignan, phenylpropanoid and iridoid glycosides from Pedicularis verticillata. Phytochemistry 1997, 45, 1271–1273. [Google Scholar] [CrossRef]
- Venditti, A. What is and what should never be: Artifacts, improbable phytochemicals, contaminants and natural products. Nat. Prod. Res. 2018, 1–18. [Google Scholar] [CrossRef] [PubMed]
- Venditti, A. Artifacts in natural products studies. An old and underestimated re-emerging problem. Nat. Prod. Res. 2018, 32, I–II. [Google Scholar] [CrossRef] [PubMed]
- McGarbey, D.; Croteau, R. Terpenoid Metabolism. Plant Cell 1995, 7, 1015–1026. [Google Scholar]
- Damtoft, S.; Jensen, S.R.; Nielsen, B.J. Biosynthesis of iridoid glucosides in Lamium album. Phytochemistry 1992, 31, 135–137. [Google Scholar] [CrossRef]
- Cheminat, A.; Zawatzky, R.; Becker, H.; Brouillard, R. Caffeoyl conjugates from Echinacea species: Structures and biological activity. Phytochemistry 1998, 27, 2787–2794. [Google Scholar] [CrossRef]
- Machida, K.; Nakano, Y.; Kikuchi, M. Phenolic glycosides from Viburnum dilatatum. Phytochemistry 1991, 30, 2013–2014. [Google Scholar] [CrossRef]
- Kitagawa, S.; Hisada, S.; Nishibe, S. Phenolic compounds from Forsythia leaves. Phytochemistry 1984, 23, 1635–1636. [Google Scholar] [CrossRef]
- Ravn, H.; Nishibe, S.; Sasahara, M.; Xuebo, L. Phenolic compounds from Plantago asiatica. Phytochemistry 1990, 29, 3627–3631. [Google Scholar] [CrossRef]
- Gardner, D.R.; Narum, J.; Zook, D.; Stermitz, F.R. New Iridoid Glucosides from Castilleja and Besseya: 6-Hydroxyadoxoside and 6-Isovanillylcatapol. J. Nat. Prod. 1987, 50, 485–489. [Google Scholar] [CrossRef]
- Lin, Y.L.; Kuo, Y.H. A New Glycoside, Brachynoside, Isolated from Clerodendron brachyanthum SCHAUER. Chem. Pharm. Bull. 1992, 40, 1928–1929. [Google Scholar] [CrossRef][Green Version]
- Jensen, S.R. Systematic Implications of the Distribution of Iridoids and Other Chemical Compounds in the Loganiaceae and Other Families of the Asteridae. Ann. Mo. Bot. Gard. 1992, 79, 284. [Google Scholar] [CrossRef]
- Frezza, C.; Venditti, A.; Di Cecco, M.; Ciaschetti, G.; Serafini, M.; Bianco, A. Iridoids and phenylethanoid glycosides from the aerial parts of Ajuga tenorei, an endemic Italian species. Nat. Prod. Res. 2017, 31, 218–223. [Google Scholar] [CrossRef] [PubMed]
- Frezza, C.; Venditti, A.; Matrone, G.; Serafini, I.; Foddai, S.; Bianco, A.; Serafini, M. Iridoid glycosides and polyphenolic compounds from Teucrium chamaedrys L. Nat. Prod. Res. 2018, 32, 1583–1589. [Google Scholar] [CrossRef] [PubMed]
- Venditti, A.; Serrilli, A.M.; Bianco, A. Iridoids from Bellardia trixago (L.) All. Nat. Prod. Res. 2013, 27, 1413–1416. [Google Scholar] [CrossRef] [PubMed]
- Venditti, A.; Bianco, A.; Nicoletti, M.; Quassinti, L.; Bramucci, M.; Lupidi, G.; Vitali, L.A.; Petrelli, D.; Papa, F.; Vittori, S.; et al. Phytochemical analysis, biological evaluation and micromorphological study of Stachys alopecuros (L.) Benth. subsp. divulsa (Ten.) Grande endemic to central Apennines, Italy. Fitoterapia 2013, 90, 94–103. [Google Scholar] [CrossRef] [PubMed]
- Frezza, C.; Celona, D.; Bianco, A.; Serafini, M.; Fiorini, D.; Maggi, F.; Celenza, G.; Ferraro, S.; Venditti, A.; Cianfaglione, K.; et al. Polar constituents, protection against reactive oxygen species, and nutritional value of Chinese artichoke (Stachys affinis Bunge). Food Chem. 2017, 221, 473–481. [Google Scholar]
- Venditti, A.; Frezza, C.; Bianco, A.; Serafini, M.; Cianfaglione, K.; Nagy, D.U.; Iannarelli, R.; Caprioli, G.; Maggi, F. Polar Constituents, Essential Oil and Antioxidant Activity of Marsh Woundwort (Stachys palustris L.). Chem. Biodivers. 2017, 14, e1600401. [Google Scholar] [CrossRef]
- Jiménez, C.; Riguera, R. Phenylethanoid glycosides in plants: Structure and biological activity. Nat. Prod. Rep. 1994, 11, 591–606. [Google Scholar] [CrossRef]
- Xu, W.H.; Zhao, P.; Wang, M.; Liang, Q. Naturally occurring furofuran lignans: Structural diversity and biological activities. Nat. Prod. Res. 2017. [Google Scholar] [CrossRef]
- Frezza, C.; Venditti, A.; Sciubba, F.; Tomai, P.; Antonetti, M.; Franceschin, M.; Di Cocco, M.E.; Gentili, A.; Delfini, M.; Serafini, M.; et al. Phytochemical profile of Euphorbia peplus L. collected in Central Italy and NMR semi-quantitative analysis of the diterpenoid fraction. J. Pharm. Biomed. Anal. 2018, 160, 152–159. [Google Scholar] [CrossRef]
- Iwashina, T. The Structure and Distribution of the Flavonoids in Plants. J. Plant. Res. 2000, 113, 287–299. [Google Scholar] [CrossRef]
- Bohm, B.A.; Stuessy, T.F. Flavonoids of the Sunflower Family (Asteraceae); Springer Science and Business Media LLC: Berlin, Germany, 2001. [Google Scholar]
- Caprioli, G.; Alunno, A.; Beghelli, D.; Bianco, A.; Bramucci, M.; Frezza, C.; Iannarelli, R.; Papa, F.; Quassinti, L.; Sagratini, G.; et al. Polar Constituents and Biological Activity of the Berry-Like Fruits from Hypericum androsaemum L. Front. Plant. Sci. 2016, 7, 62. [Google Scholar] [CrossRef]
- Mesquita, A.A.; Corréa, D.D.B.; De Pádua, A.P.; Guedes, M.L.; Gottlieb, O.R. Flavonoids from four compositae species. Phytochemistry 1986, 25, 1255–1256. [Google Scholar] [CrossRef]
- Venditti, A.; Frezza, C.; Majd Zadeh, S.M.; Foddai, S.; Serafini, M.; Bianco, A. Secondary metabolites from Teucrium polium L. collected in Southern Iran. Arab. J. Med. Arom. Pl. 2017, 3, 108–123. [Google Scholar]
- Venditti, A.; Bianco, A. Secondary metabolites of Hypericum richer Vill. collected in Central Italy: Chemotaxonomy and ethnomedicinal relevance. Tr. Phytochem. Res. 2018, 2, 155–162. [Google Scholar]
- Venditti, A.; Ballero, M.; Serafini, M.; Bianco, A. Polar compounds from Parentucellia viscosa (L.) Caruel from Sardinia. Nat. Prod. Res. 2015, 29, 602–606. [Google Scholar] [CrossRef]
- Rasmussen, L.S.; Rank, C.; Jensen, S.R. Transfer of iridoid glucosides from host plant Galium verum to hemiparasitic Euphrasia stricta. Biochem. Syst. Ecol. 2006, 34, 763–765. [Google Scholar] [CrossRef]
- D’Ambrosio, M.; Ciocarlan, A.; Aricu, A. Minor acetylated metabolites from Euphrasia rostkoviana. Nat. Prod. Res. 2018, 1–6. [Google Scholar] [CrossRef]
- Venditti, A.; Frezza, C.; Foddai, S.; Serafini, M.; Nicoletti, M.; Bianco, A. Chemical Traits of Hemiparasitism in Odontites luteus. Chem. Biodivers. 2017, 14, e1600416. [Google Scholar] [CrossRef]
- Jiangsu New Medical College. Chinese Medicine Dictionary; Shanghai People’s Publishing House: Shanghai, China, 1977; p. 286. [Google Scholar]
- Manandhar, N.P. Ethnobotanical note on folk-lore remedies of Baglung district, Nepal. Contrib.Nepal Stud. J. 1993, 20, 183–196. [Google Scholar]
- Angmo, K.; Adhikari, B.S.; Rawat, G.S. Changing aspects of Traditional Healthcare System in Western Ladakh, India. J. Ethnopharmacol. 2012, 143, 621–630. [Google Scholar] [CrossRef]
- Balami, N.P. Ethnomedicinal uses of plants among the Newar community of Pharping village of Kathmandu district, Nepal. Tribhuvan Univers. J. 2004, 24, 1–10. [Google Scholar] [CrossRef]
- Duffy Davis, J.; Banack, S.A. Ethnobotany of the Kiluhikturmiut Inuinnait of Kugluktuk, Nunavut, Canada. Ethnobiol. Lett. 2012, 3, 78–90. [Google Scholar] [CrossRef]
- Ballabh, B.; Chaurasia, O.P. Medicinal plants of cold desert Ladakh used in the treatment of stomach disorders. Indian J. Tradition. Know. 2009, 8, 185–190. [Google Scholar]
- Ballabh, B.; Chaurasia, O.P. Herbal Formulations from Cold Desert Plants Used For Gynecological Disorders. Ethnobot. Res. Appl. 2011, 9, 59–66. [Google Scholar] [CrossRef]
- Çakır, E.A. Traditional knowledge of wild edible plants of Iğdır Province (East Anatolia, Turkey). Acta Soc. Bot. Pol. 2017, 86, 1–20. [Google Scholar]
- Wang, P.; Kang, J.; Zheng, R.; Yang, Z.; Lu, J.; Gao, J.; Jia, Z. Scavenging effects of phenylpropanoid glycosides from Pedicularis on superoxide anion and hydroxyl radical by the Spin trapping method. Biochem. Pharmacol. 1996, 51, 687–691. [Google Scholar] [CrossRef]
- Wangchuk, P.; Dorji, S.; Ugyen; Thinley, J.; Afaq, S.H. High altitude plants used in Bhutanese traditional medicine (gSo-ba-rig-pa). Ethnobot. 2008, 20, 54–64. [Google Scholar]
- Wali, R.; Rahman, K.; Raja, N.I.; Qureshi, R.; Mashwani, Z.U.R. A quantitative medico-botanical expedition of Fairy Meadows National Park, Diamir, Gilgit Baltistan, Pakistan. bioRxiv 2018, 507848. [Google Scholar]
- Malla, B.; Gauchan, D.P.; Chhetri, R.B. An ethnobotanical study of medicinal plants used by ethnic people in Parbat district of western Nepal. J. Ethnopharmacol. 2015, 165, 103–117. [Google Scholar] [CrossRef]
- Pande, P.C.; Tiwari, L.; Pande, H.C. Ethnoveterinary plants of Uttaranchal—A review. Indian J. Tradition. Know. 2007, 6, 444–458. [Google Scholar]
- Singh, G.; Rawat, G.S. Ethnomedicinal survey of Kedarnath wildlife sanctuary in Western Himalaya, India. Indian J. Fund Appl. Life Sci. 2011, 1, 35–46. [Google Scholar]
- Uprety, Y.; Lacasse, A.; Asselin, H. Traditional uses of medicinal plants from the Canadian Boreal Forest for the management of chronic pain syndromes. Pain Pract. 2016, 16, 459–466. [Google Scholar] [CrossRef]
- Mentsikhang, L.K. Himalayan Doctors and Healing Herbs: The Amchi Tradition and Medicinal Plants of Mustang; Mera Publications: Kathmandu, Nepal, 2005. [Google Scholar]
- Wangchuk, P. Bioactive alkaloids from medicinal plants of Bhutan. Ph.D. Thesis, Department of Chemistry, University of Wollongong, Wollongong, Australia, 2004. [Google Scholar]
- Rinchen, T.; Pant, S. Ethnopharmacological uses of plants among inhabitants surrounding Suru and Zanskar valleys of cold desert, Ladakh. Int. J. Pharma. Bio Sci. 2014, 5, 486–494. [Google Scholar]
- Shang, X.; Tao, C.; Miao, X.; Wang, D.; Tangmuke; Dawa; Wang, Y.; Yang, Y.; Pan, H. Ethno-veterinary survey of medicinal plants in Ruoergai region, Sichuan province, China. J. Ethnopharmacol. 2012, 142, 390–400. [Google Scholar] [CrossRef]
- O’Neill, A.R.; Rana, S.K. An ethnobotanical analysis of parasitic plants (Parijibi) in the Nepal Himalaya. J. Ethnobiol. Ethnomed. 2016, 12, 79. [Google Scholar] [CrossRef][Green Version]
- Kapahi, B.; Srivastava, T.; Sarin, Y. Traditional medicinal plants of gurez (kashmir)—An ethnobotanical study. Anc. Sci. Life 1993, 13, 119–124. [Google Scholar]
- Singh, K.; Lal, B. Ethnomedicines used against four common ailments by the tribal communities of Lahaul-Spiti in western Himalaya. J. Ethnopharmacol. 2008, 115, 147–159. [Google Scholar] [CrossRef]
- Devi, U.; Seth, M.K.; Sharma, P.; Rana, J.C. Study on ethnomedicinal plants of kibber wildlife sanctuary: A cold desert in Trans Himalaya, India. J. Med. Pl. Res. 2013, 7, 3400–3419. [Google Scholar]
- Dutt, H.C.; Bhagat, N.; Pandita, S. Oral traditional knowledge on medicinal plants in jeopardy among Gaddi shepherds in hills of northwestern Himalaya, J&K, India. J. Ethnopharmacol. 2015, 168, 337–348. [Google Scholar]
- Gairola, S.; Sharma, J.; Bedi, Y.S. A cross-cultural analysis of Jammu, Kashmir and Ladakh (India) medicinal plant use. J. Ethnopharmacol. 2014, 155, 925–986. [Google Scholar] [CrossRef]
- Salim, M.A.; Ranjitkar, S.; Hart, R.; Khan, T.; Ali, S.; Kiran, C.; Parveen, A.; Batool, Z.; Bano, S.; Xu, J. Regional trade of medicinal plants has facilitated the retention of traditional knowledge: Case study in Gilgit-Baltistan Pakistan. J. Ethnobiol. Ethnomed. 2019, 15, 1–33. [Google Scholar] [CrossRef]
- Singh, K.N. Traditional knowledge on ethnobotanical uses of plant biodiversity: A detailed study from the Indian western Himalaya. Biodivers. Res. Conserv. 2012, 28, 63–77. [Google Scholar] [CrossRef]
- Bano, A.; Ahmad, M.; Zafar, M.; Sultana, S.; Rashid, S.; Khan, M.A. Ethnomedicinal knowledge of the most commonly used plants from Deosai Plateau, Western Himalayas, Gilgit Baltistan, Pakistan. J. Ethnopharmacol. 2014, 155, 1046–1052. [Google Scholar] [CrossRef]
- Kayani, S.; Ahmad, M.; Sultana, S.; Shinwari, Z.K.; Zafar, M.; Yaseen, G.; Hussain, M.; Bibi, T. Ethnobotany of medicinal plants among the communities of Alpine and Sub-alpine regions of Pakistan. J. Ethnopharmacol. 2015, 164, 186–202. [Google Scholar] [CrossRef]
- Yoo, S.J.; Yim, D.S.; Lee, S.Y. Biological activities of Pedicularis resupinata var. oppositifolia. Korean J. Pharmacog. 1993, 24, 258–262. [Google Scholar]
- Marles, R.; Farnsworth, N. Antidiabetic plants and their active constituents. Phytomedicine 1995, 2, 137–189. [Google Scholar] [CrossRef]
- Toba, S. Plant names in Khaling: A study in ethnobotany and village economy. Kailash 1975, 3, 145–169. [Google Scholar]
- Rokaya, M.B.; Münzbergová, Z.; Shrestha, M.R.; Timsina, B. Distribution patterns of medicinal plants along an elevational gradient in central Himalaya, Nepal. J. Mt. Sci. 2012, 9, 201–213. [Google Scholar] [CrossRef]
- Wagner, A.; Kriechbaum, M.; Koch, M.A. Applied Vulnerability Assessment of Useful Plants: A case study of Tibetan Medicinal Plants from Nepal. Botanische Jahrbücher 2008, 127, 359–387. [Google Scholar] [CrossRef]
- Magsar, U.; Nyamsuren, K.; Khadbaatar, S.; Tovuudorj, M.E.; Baasansuren, E.; Indree, T.; Lkhagvadorj, K.; Kwon, O. Survey of medicinal plants in the Khuvsgul and Khangai Mountain regions of Mongolia. J. Ecol. Environ. 2017, 41, 1–5. [Google Scholar] [CrossRef]
- Qiu, S.; Sun, H.; Zhang, A.H.; Xu, H.Y.; Yan, G.L.; Han, Y.; Wang, X.J. Natural alkaloids: Basic aspects, biological roles, and future perspectives. Chin. J. Nat. Med. 2014, 12, 401–406. [Google Scholar] [CrossRef]
- Hu, L.L. Protection of Pedicularis on liver lesion of mice induced by Alloxan. J. Ankang Univ. 2007, 19, 72–74. [Google Scholar]
- Dulger, B.; Ugurlu, E. Evaluation of Antimicrobial Activity of Some Endemic Scrophulariaceae. Members from Turkey. Pharm. Biol. 2005, 43, 275–279. [Google Scholar] [CrossRef][Green Version]
- Yang, J.X.; Tian, J.W.; Li, F.R. Influence on antioxidative ability of Taibaishen in mice. Northwest Pharmaceut. J. 2001, 16, 209–211. [Google Scholar]
- Gao, M.; Li, Y.; Yang, J. Protective effect of Pedicularis decora Franch root extracts on oxidative stress and hepatic injury in alloxan-induced diabetic mice. J. Med. Pl. Res. 2011, 5, 5848–5856. [Google Scholar]
- Gonchig, E.; Erdenebat, S.; Togtoo, O.; Bataa, S.; Gendaram, O.; Kim, Y.S.; Ryu, S.Y. Antimicrobial activity of Mongolian medicinal plants. Nat. Prod. Sci. 2008, 14, 1–5. [Google Scholar]
- Moreno-Escobar, J.A.; Bazaldúa, S.; Villarreal, M.L.; Bonilla-Barbosa, J.R.; Mendoza, S.; López, V.R. Cytotoxic and antioxidant activities of selected Lamiales species from Mexico. Pharm. Biol. 2011, 49, 1243–1248. [Google Scholar] [CrossRef]
- Cushnie, T.T.; Cushnie, B.; Lamb, A.J. Alkaloids: An overview of their antibacterial, antibiotic-enhancing and antivirulence activities. Int. J. Antimicrob. Agents 2014, 44, 377–386. [Google Scholar] [CrossRef]
- Moreira, R.; Pereira, D.M.; Valentão, P.; Andrade, P.B. Pyrrolizidine Alkaloids: Chemistry, Pharmacology, Toxicology and Food Safety. Int. J. Mol. Sci. 2018, 19, 1668. [Google Scholar] [CrossRef]
- Korkina, L.; Kostyuk, V.; De Luca, C.; Pastore, S. Plant phenylpropanoids as emerging anti-inflammatory agents. Mini Rev. Med. Chem. 2011, 11, 823–835. [Google Scholar] [CrossRef]
- Muller-Harvey, I.; McAllan, A.B. Tannins: Their biochemistry and nutritional properties. Adv. Plant Cell Biochem. Biotechnol. 1992, 1, 151–217. [Google Scholar]
- Fu, G.; Pang, H.; Wong, Y.H. Naturally occurring phenylethanoid glycosides: Potential leads for new therapeutics. Curr. Med. Chem. 2008, 15, 2592–2613. [Google Scholar] [CrossRef]
- Panche, A.N.; Diwan, A.D.; Chandra, S.R. Flavonoids: An overview. J. Nutr. Sci. 2016, 5, 1–15. [Google Scholar] [CrossRef]
- Steiner, L.F.; Summerland, S.A. Xanthone as an Ovicide and Larvicide for the Codling moth. J. Econ. Èntomol. 1943, 36, 435–439. [Google Scholar] [CrossRef]
- Tundis, R.; Loizzo, M.R.; Menichini, F.; Statti, G.; Menichini, F. Biological and Pharmacological Activities of Iridoids: Recent Developments. Mini Rev. Med. Chem. 2008, 8, 399–420. [Google Scholar] [CrossRef]
- Ghisalberti, E. Biological and pharmacological activity of naturally occurring iridoids and secoiridoids. Phytomedicine 1998, 5, 147–163. [Google Scholar] [CrossRef]
- Li, X.X.; Zhou, Z.K. Endemic Wild Ornamental Plants from Northwestern Yunnan, China. HortScience 2005, 40, 1612–1619. [Google Scholar] [CrossRef]
- Clark, C. Inuit Ethnobotany and Ethnoecology in Nunavik and Nunatsiavut, Northeastern Canada. Ph.D. Thesis, Univeristy of Montreal, Montreal, QC, Canada, 2012. [Google Scholar]
- Tardío, J.; Morales, R.; Pardo-De-Santayana, M.; Pardo-De-Santayana, M.; Pardo-De-Santayana, M. Ethnobotanical review of wild edible plants in Spain. Bot. J. Linn. Soc. 2006, 152, 27–71. [Google Scholar] [CrossRef]
- Menges, E.S. Population Viability Analysis for an Endangered Plant. Conserv. Biol. 1990, 4, 52–62. [Google Scholar] [CrossRef]
- Cho, W.B.; Choi, I.S.; Choi, B.H. Development of microsatellite markers for the endangered Pedicularisis hidoyana (Orobanchaceae) using next-generation sequencing source. Appl. Pl. Sci. 2003, 3, 1–3. [Google Scholar]
- Ali, H. Conservation Issues of High Altitude Medicinal Plants of Pakistan. In Proceedings and Abstract of the 2nd International Symposium on Kaz Mountains (Mount Ida) and Edremit; Edremit, Turkey, 3–5 May 2013, Ikes2013: Izmir, Turkey, 2013; pp. 82–93. Available online: https://www.academia.edu/4814159/Proceedings-The_Second_International_Symposium_on_Kaz_Mountains_and_Edremit-Human_-_Environment_Interactions (accessed on 15 July 2019).
- Liu, Y.Y.; Hu, Y.K.; Yu, J.M.; Li, K.H.; Gao, G.G.; Wang, X. Study on harmfulness of Pedicularis myriophylla and its control measures. Arid Zone Res. 2008, 25, 778–782. [Google Scholar]
- Smith-Kuebel, C.; Lillybridge, T.R. Report on Sensitive plants and noxious weeds of the Wenatchee National Forest; The Cultural Resources and Vegetation Management Division of the Bonneville Power Administration: Portland, OR, USA, 1993. [Google Scholar]
- Santisuk, T.; Chayamarit, K.; Pooma, R.; Suddee, S. Thailand Red Data: Plants; Office of Natural Resources and Environmental Policy and Planning: Bangkok, Thailand, 2006; pp. 1–256. [Google Scholar]
- Conti, F.; Bartolucci, F. Specie a Rischio in Abruzzo. Elenco Delle Piante di Interesse Conservazionistico. In La Biodiversità vegetale in Abruzzo. Tutela e conservazione del patrimonio vegetale abruzzese; One Group Ed.: L’Aquila, Italy, 2012; pp. 81–109. [Google Scholar]
- Kumar, A.; Mitra, M.; Adhikari, B.S.; Rawat, G.S. Flora of Niti Valley: A cold arid region of Nanda Devi Biosphere Reserve, Western Himalaya, India. Check List. 2016, 12, 1824. [Google Scholar] [CrossRef]
- Yu, W.B.; Wang, H.; Li, D.Z. (2204) Proposal to conserve Pedicularis stenocorys against P. stenantha (Orobanchaceae). TAXON 2013, 62, 1066–1067. [Google Scholar] [CrossRef]





















| Pedicularis spp. | Studied Organs | Phytochemical Compounds | References |
|---|---|---|---|
| P. acmodonta Boiss. (u.n.) | n.s. | leucosceptoside A, echinacoside | [15] |
| P. alaschanica Maxim. (a.n.) | aerial parts | alaschanioside A, alaschanioside C, citrusin A, syringaresinol-4-O-β-d-glucoside, verbascoside, leucosceptoside A, martynoside, boschnaloside, ixoroside, euphroside, geniposidic acid, mussaenosidic acid | [16,17] |
| P. armata Maxim (a.n.) | whole plant | armaoside, citrusin B, euphroside, mussaenoside, geniposidic acid, 8-epi-loganic acid, aucubin | [18] |
| P. artselaeri Maxim. (a.n.) | whole plant | lariciresinol-4-O-β-d-glucoside, lariciresinol-4′-O-β-d-glucoside, alaschanioside A, citrusin A, artselaeroside A, artselaeroside B, 2-(p-hydroxyphenyl)-ethanol-1-O-β-d-glucopyranoside, iso-verbascoside, martynoside, artselaenin I, artselaenin III, artselaenin A, artselaenin B, artselaenin C, 8-epi-loganic acid, 8-epi-loganin, 7-deoxy-8-epi-loganic acid, plantarenaloside, mussaenoside, aucubin, 6-O-methyl-aucubin, 6-O-methyl-epi-aucubin, ixoroside, 7-deoxy-gardoside, gardoside methyl ester, caryoptoside, shanzhiside methyl ester, 3-methoxy-4-primeverosyl-acetophenone | [19,20] |
| P. bicornuta Klotzsch (u.n.) | whole plant | alkaloids, lignans glycosides, phenylpropanoid glycosides, flavonoids, iridoids (exact compounds not specified) | [21] |
| P. bracteosa Benth. (a.n.) | aerial parts | aucubin, mussaenoside | [22] |
| P. bracteosa subsp. paysoniana (Pennell) W.A. Weber (a.n.) | whole plant | alkaloids (exact compounds not specified) | [23] |
| P. capitata Adams (a.n.) | leaves | alkaloids (exact compounds not specified) | [24] |
| P. cephalantha Franch. ex. Maxim. (a.n.) | whole plant | kidjolanin, pinoresinol, martynoside, iso-martynoside, clerodenoside A, acacetin, luteolin, 7-deoxy-gardoside, plantarenaloside, mussaenosidic acid, euphroside, mussaenoside, aucubin | [25] |
| P. chamissonis Steven (a.n.) | leaves | verbascoside, luteolin-7-O-glucoside, luteolin-7-O-glucuronide | [26] |
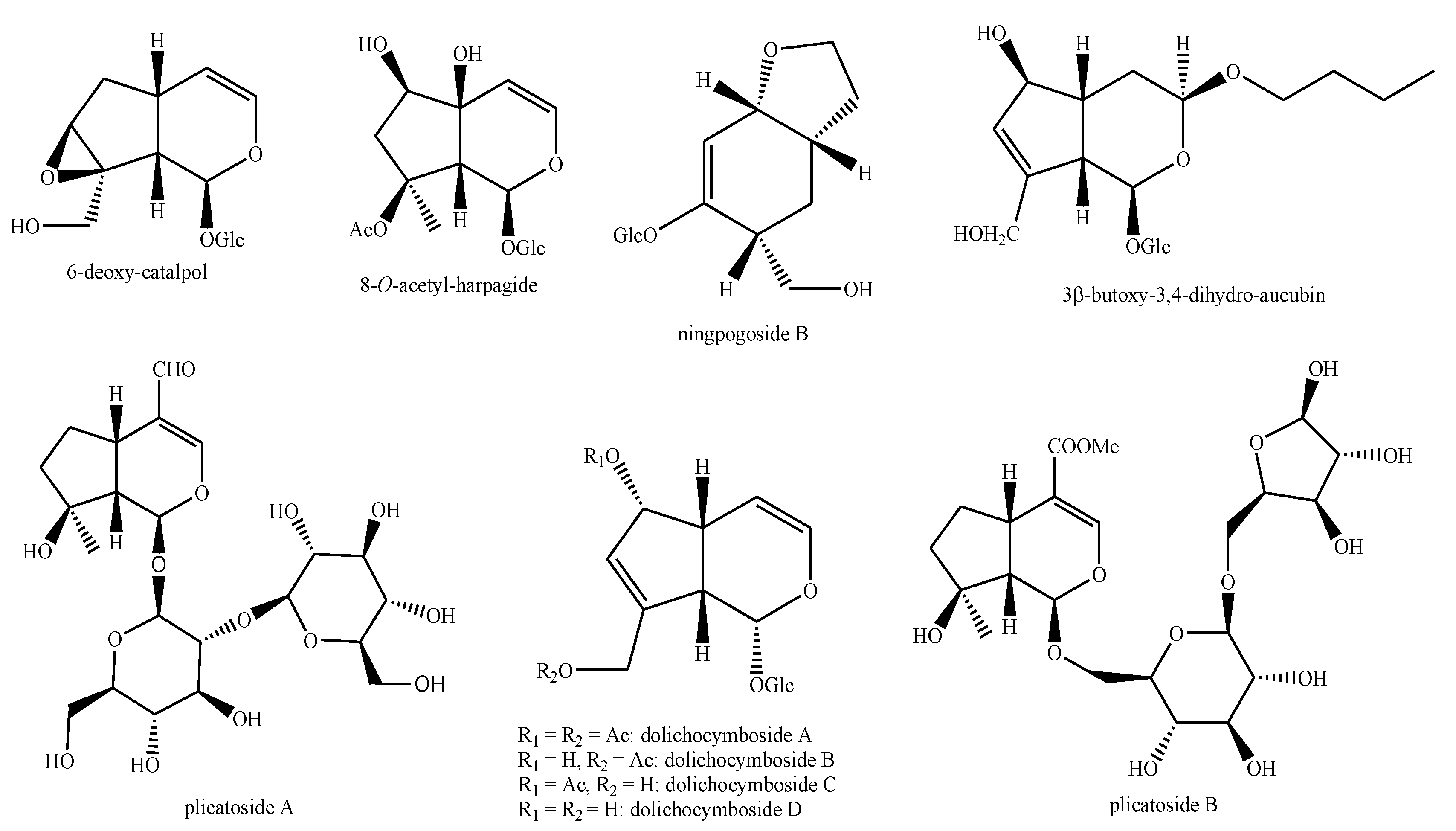
| P. chinensis Maxim. (a.n.) | roots | syringaresinol-4-O-β-d-glucoside, martynoside, cis-martynoside, pedicularioside N, 1-O-β-d-(3-hydroxy-4-methoxy-phenyl)-ethyl-β-d-apiosyl-l-(1→3)-rhamnosyl-(1→6)-4-trans-feruloyl-glucopyranoside, 1-O-β-d-(3-hydroxy-4-methoxy-phenyl)-ethyl-β-1-(1→3)-4-trans-feruloyl-glucopyranoside, 1-O-β-d-(3-hydroxy-4-methoxy-phenyl)-ethyl-α-l-rhamnosyl(1→3)-4-cis-feruloyl-gulopyranoside, luteolin-7-O-glucoside, aucubin, 6-O-methyl-aucubin, 6-O-butyl-aucubin, 3β-butoxy-3,4-dihydro-aucubin, 6-O-butyl-epi-aucubin, iridolactone, bartsioside, pedicularislactone, pedicularislactone glucoside, rel-(6R,5R,9R)-(2-oxa-bicyclo-[3,3,0]oct-3-one-8-en-9,8-diyl)-dimethanol | [27,28] |
| P. comosa L. (a.n.) | aerial parts | verbascoside, forsythoside B | [15] |
| P. condensata | aerial parts | verbascoside, echinacoside, aucubin, 6-O-acetyl-aucubin, 8-epi-loganin, mussaenoside, shanzhiside methyl ester, gardoside methyl ester | [29] |
| P. crenulata Benth. (a.n.) | aerial parts | anagyrine, aucubin, euphroside, plantarenaloside | [22,30] |
| P. decora Franch. (a.n.) | whole plant | β-sitosterol, β-daucosterol, iso-verbascoside, kaempferol, aucubin, lamalbid, pedicularislactone glucoside, ningpogoside B, d-mannitol, β-(3′,4′-dihydroxyphenyl-O-a-l-rhamnopyranosyl- (1–3)-β-d-glucopyranoside, salicylic acid, 2,5-dihydroxybenzoic acid, 3-hydroxy-4-methoxybenzoic acid, 3-methoxy-4-hydroxybenzoic acid, aspartic acid, threonine, serine, glutamic acid, glycine, alanine, cysteine, methionine, isoleucine, phenylalanine, valine, arginine, proline, leucine, tyrosine | [31,32,33,34,35,36] |
| P. densispica Franch. ex. Maxim. (a.n.) | whole plant | pedicutricone A, (+)-isolariciresinol 3a-O-β-d-glucopyranoside, pinoresinol-4-O-β-d-glucoside, syringaresinol-4-O-β-d-glucoside, longifloroside B, densispicoside, verbascoside, martynoside, iso-martynoside, 2″-O-acetyl-verbascoside, cis-martynoside, salidroside, darendoside B, 4-O-β-d-glucopyranosyl-sinapic acid methyl ester, 3-(4-hydroxy-3-methoxyphenyl)-1,2,3-propantriol, citrusin C, robustaside B, acacetin, kaempferol, apigenin-7-O-glucoside, kaempferol-3,7-O-α-di-rhamnopyranoside, scutellarein-7-O-glucoside, chrysoeriol-7-O-glucoside, mussaenin A, mussaenoside, argyol, densispicnin A, densispicnin B, densispicnin C, densispicnin D, shanzhiside methyl ester, 8-epi-loganin, dearabinosyl-pneumonanthoside, maltol-β-d-glucoside | [37,38,39] |
| P. dolichocymba Hand.-Mazz. (a.n.) | whole plant | plantagonine, indicaine, pediculidine, pediculine, lariciresinol-4′-O-β-d-glucoside, verbascoside, martynoside, 2′′′-O-acetyl-martynoside, leucosceptoside A, jionoside D, 2-phenylethyl-O-β-d-xylopyranosyl-(1→2)-β-d-glucopyranoside, benzyl alcohol-O-β-d-xylopyranosyl-(1→2)-β-d-glucopyranoside, apigenin, dolichocymboside A, dolichocymboside B, dolichocymboside C, dolichocymboside D, gardoside methyl ester, 7-O-acetyl-gardoside methyl ester, uridine, adenosine | [30,40,41,42] |
| P. dolichorrhiza Schrenk (a.n.) | n.s. | plantagonine, indicaine, pediculidine, pediculine | [42] |
| P. gracilis Wall. ex. Benth. (a.n.) | whole plant | tannins, terpenoids, flavonoids, glycosides (exact compounds not specified) | [43] |
| P. grayi A. Nelson (a.n.) | roots | N-methyl-cytisine | [30] |
| P. groenlandica Retz. (a.n.) | aerial parts | senecionine, aucubin, euphroside, mussaenoside | [22,30] |
| P. integrifolia Hook. f. (a.n.) | aerial parts | alkaloids, tannins (exact compounds not specified) | [44] |
| P. kanei Durand (s.n.) | leaves | alkaloids (exact compounds not specified) | [24] |
| P. kansuensis Maxim. (a.n.) | whole plant | β-sitosterol, β-daucosterol, 1,2,3,16,19,20-hexahydroxyolean-12-en-28-oic acid, alaschanioside A, alaschanioside C, verbascoside, leucosceptoside A, martynoside, iso-martynoside, cis-iso-martynoside, 2′′′,3′′′-O-diacetyl-martynoside, jionoside B1, pedicularioside A, pedicularioside M, echinacoside, forsythoside B, phenethylalcohol β-sophoroside, 1-(2,3,4-trihydroxyphenyl)ethyl-3-O-rhamnose-4-[(2E)-3-(3,4-dihydroxyphenyl)-2-propenoate]-glucopyranoside, 1-(2,3,4-trihydroxyphenyl)ethyl-3-O-rhamnose-4-[(2E)-3-(3,4-dihydroxyphenyl)-2-propenoate]-6-[(2E)-3-(3,4-dihydroxyphenyl)-2-propenoate]-glucopyranoside, 4′-methyl-chrysoeriol, luteolin, luteolin-7-O-glucoside, lagotiside, tricin-7-O-glucuronide, kansuenin, kansuenin B, kansuenoside, ixoroside, gardoside methyl ester, geniposidic acid, euphroside, mussaenoside, boschnaloside, 7-deoxy-8-epi-loganic acid, 8-epi-loganic acid, aucubin, geniposidic acid, (E)-2-hexenyl β-sophoroside, 3-methoxy-4-hydroxybenzoic acid | [45,46,47,48,49,50] |
| P. kerneri Dalla Torre (a.n.) | aerial parts | verbascoside, leucosceptoside A, echinacoside, aucubin, monomelittoside, plantarenaloside, euphroside, mussaenosidic acid, 8-epi-loganic acid, D-mannitol | [51] |
| P. langsdorffii Fisch. ex. Steven (a.n.) | leaves | alkaloids, tannins (exact compounds not specified) | [24] |
| P. lapponica L. (a.n.) | aerial parts | alkaloids (exact compounds not specified), euphroside, aucubin, mussaenoside | [24,52] |
| P. lasiophrys Maxim. (a.n.) | whole plant | verbascoside, leucosceptoside A, cistanoside D, pedicularioside E, pedicularioside F, 8-epi-loganin | [53] |
| P. longiflora Rudolph (a.n.) | whole plant | scopoletin, longifloroside A, longifloroside B, longifloroside C, longifloroside D, 7(R)-dehydro-diconiferyl alcohol-4-O-β-d-glucoside, longiflor A, longiflor B, tortoside D, tortoside E, verbascoside, iso-verbascoside, leucosceptoside A, pedicularioside A, pedicularoside I, pedicularoside M, cistanoside D, echinacoside, geniposidic acid, mussaenoside, loganic acid, longifloroside, adenosine, 6-(1′′,3′′-dihydroxy-2′′-propoxyl)-inosine | [47,54,55,56] |
| P. longiflora var. tubiformis (Klotzsch) Tsoong (a.n.) | whole plant | hexatriacontanol, nonatriacontanol, 1-hydroxy-xanthone, β-daucosterol, martynoside, apigenin, chrysoeriol, luteolin, tricin, acacetin, orientin, morelosin, apigenin-7-O-glucuronide, luteolin-7-O-glucoside, luteolin-5-O-glucoside, chrysoeriol-7-O-glucuronide, luteolin-7-O-glucuronide, tricin-7-O-glucuronide, 7-deoxy-8-epi-loganic acid, mussaenosidic acid, boschnaloside, aucubin, muconic acid, cinnamic acid, p-formyl cinnamic acid | [57,58,59] |
| P. muscicola Maxim. (a.n.) | whole plant | hentriacontane, arachidic acid, β-daucosterol, syringaresinol-4-O-β-d-glucoside, verbascoside, martynoside, cis-martynoside, pedicularioside A, mussaenoside, euphroside, geniposidic acid, aucubin, mussaenosidic acid, shanzhiside methyl ester, penstemonoside, pedicularioside, gardoside methyl ester, sesamoside, phloyoside II, caryoptoside, d-mannitol | [60,61,62] |
| P. nordmanniana Bunge (u.n.) | aerial parts | verbascoside, martynoside, leucosceptoside A, forsythoside B, iridolactone, geniposidic acid, aucubin, euphroside, mussaenoside | [63] |
| P. palustris L. | aerial parts | aucubin, euphroside, ixoroside, shanzhiside methyl ester, gardoside methyl ester, plantarenaloside, mussaenoside, pedicularioside, penstemonoside, boschnaloside, 8-epi-loganin, 7-deoxy-8-epi-loganin, 8-epi-loganic acid | [52] |
| P. pectinata Wall. ex. Benn. (a.n.) | flowers | phenolics (exact compounds not specified) | [21] |
| P. peduncularis Popov (a.n.) | aerial parts | plantagonine, indicainine, plantagonin, indicine, peducularine, N-methyl-cytisine | [64] |
| P. plicata Maxim.(a.n.) | whole plant | verbascoside, martynoside, iso-martynoside, cis-leucosceptoside A, 3,4-dihydroxy-phenethyl alcohol, 1-O-β-d-(3,4-dihydroxy-β-phenylethyl)-glucopyranoside, boschnaloside, plicatoside A, plicatoside B | [65] |
| P. procera A. Gray (u.n.) | aerial parts | aucubin, mussaenoside, 6-deoxy-catalpol, shanzhiside methyl ester, 8-epi-loganic acid, gardoside, proceroside | [22,66] |
| P. punctata Decne. (a.n.) | flowers, leaves | phenolics (exact compounds not specified), verbascoside, aucubin | [8,67] |
| P. pycnantha Boiss. (u.n.) | whole plant | alkaloids, tannins (exact compounds not specified) | [68] |
| P. racemosa Douglas ex. Benth. (a.n.) | aerial parts | lupanine, tetrahydrorhombifoline, aucubin, euphroside | [22,30] |
| P. resupinata L. (a.n.) | whole plant | alaschanioside A, alaschanioside C, syringaresinol-4′′-O-β-d-glucoside, verbascoside, 2′′′,3′′′-O-diacetyl-martynoside, leucosceptoside A, plantarenaloside, euphroside, boschnaloside, gardoside methyl ester, geniposidic acid | [16,49] |
| P. rex C.B. Clarke ex. Maxim. (a.n.) | whole plant | verbascoside, martynoside, iso-martynoside, 4-hydroxy-phenylpropenyl-α-l-rhamnopyranosyl-(1→3)-4-O-feruloyl-β-d-glucopyranoside, apigenin, chrysoeriol, luteolin, luteolin-7-O-glucoside, 5,4′-di-hydroxy-3′-methoxy-flavone-7-O-6′′-n-butyryl-β-d-glucopyranoside, aucubin, 6-O-ethyl-aucubin, euphroside, 6-O-ethyl-epi-aucubin, mussaenoside, plantarenaloside, pedicurexoside | [69] |
| P. rostratocapitata Crantz (a.n.) | aerial parts | verbascoside, echinacoside, campneoside II, cistantubuloside C1, aucubin, euphroside, monomelittoside, mussaenosidic acid, 8-epi-loganic acid | [70] |
| P. sarawschanica Regel (u.n.) | fruits | plantagonine, peducularine | [71] |
| P. semibarbata A. Gray (a.n.) | whole plant | α-iso-lupanine, 17-oxo-iso-lupanine or isomer | [72] |
| P. semitorta Maxim. (a.n.) | whole plant | syringaresinol-4′′-O-β-d-glucoside, semitortoside A, semitortoside B, cis-iso-verbascoside, shanzhiside methyl ester, mussaenoside | [73] |
| P. sibthorpii | aerial parts | verbascoside, martynoside, iso-martynoside, luteolin 7-O-glucoside, aucubin, d-mannitol | [74] |
| P. siphonantha D.Don (a.n.) | whole plant | (+)-dehydro-vomifoliol, vomifoliol, ω-hydroxy-propioguaiacone, 3-hydroxy-1-(4-hydroxy-3,5-dimethoxyphenyl)-1-propanone | [25] |
| P. spicata Pall. (a.n.) | whole plant | verbascoside, permethyl-verbascoside, pedicularioside A, pedicularioside G, pedicularioside H, cis-pedicularioside H, shanzhiside methyl ester, gardoside methyl ester, 5-deoxy-puchelloside I | [75,76] |
| P. striata Pall. (a.n.) | whole plant | ecdysterone 3-O-β-d-galactoside, striatoside A, striatoside B, verbascoside, iso-verbascoside, echinacoside, pedicularioside A, pedicularioside G, pedicularioside H, decaffeoyl-verbascoside, 1′-O-β-d-(3-methoxy-4-hydroxy-phenyl)-ethyl-α-l-apiosyl-(1→3′)-α-l-rhamnosyl-(1→6′)-4′-cis-feruloyl-glucopyranoside, 8-O-acetyl-harpagide, dihydro-catalpolgenin | [77,78,79] |
| P. striata subsp. aracnoidea (Franch.) Tsoong | whole plant | verbascoside, pedicularioside A, pedicularioside M, pedicularioside N, dihydro-catalpolgenin, eremophila-10,11-dien-7a,13-diol | [80,81,82] |
| P. sudetica Willd. (a.n.) | leaves | alkaloids (exact compounds not specified) | [24] |
| P. sylvatica L.(a.n.) | aerial parts | luteolin-7-O-glucoside, euphroside, plantarenaloside, 8-epi-loganin | [11,52] |
| P. tenuirostris Benth. (a.n.) | flowers and leaves | phenolics (exact compounds not specified) | [8] |
| P. torta Maxim. (a.n.) | whole plant | longiflor A, longiflor B, tortoside A, tortoside B, tortoside C, tortoside D, tortoside E, tortoside F, dihydro-dehydro-diconiferyl alcohol-4-O-α-l-rhamnoside, dihydro-dehydro-diconiferyl alcohol-4-O-β-d-glucoside, dihydro-dehydro-diconiferyl alcohol-9-O-β-d-glucoside, (7R)-dehydro-diconiferyl alcohol-4-O-β-d-glucoside, (7S)-dehydro-diconiferyl alcohol-4-O-β-d-glucoside, verbascoside, leucosceptoside A, cistanoside D, shanzhiside methyl ester, gardoside methyl ester, 8-epi-loganin, loganic acid | [83,84] |
| P. tricolor Hand.-Mazz. (a.n.) | whole plant | pedicutricone A, 3β,19α-dihydroxy-12-ursen-28-oic acid, β-sitosterol, β-daucosterol, verbascoside, martynoside, quercetin-7-O-galactoside, apigenin, luteolin, chrysoeriol, 3,3′-di-O-methyl-quercetin, 3,5,4′-trihydroxy-3′,5′-dimethoxy-flavone-7-O-β-d-glucopyranoside, 3,5,4′,5′-tetrahydroxy-3′-methoxy-flavone-7-O-β-d-glucopyranoside, 3,5,3′,4′-tetrahydroxy-flavone-7-O-β-glucopyranoside, myricetin-3′-methyl ester 7-O-glucopyranoside, pedicutricoside A, viburtinal, 3-methoxy-4-hydroxybenzoic acid | [85] |
| P. uliginosa Bunge (a.n.) | whole plant | (rel-4aS,7R,7aR)-1,4a,5,6,7,7a-hexahydro-7-hydroxyl-7-methyl-cyclopenta[c]pyran-4-carboxaldehyde, 1,3,5,6-tetrahydro-1-methoxyl-7-methyl-cyclopenta[c]pyran-4-carboxaldehyde, (rel-1R,4S,4aS,7R,7aR)-7-methyl-hexahydro-1,4-(epoxymethano)-cyclopenta[c]pyran-3(1H)-one, 4-epi-alyxialactone, alyxialactone, artselaenin A, artselaenin B, boschnarol, (4R)-4-hydroxymethyl- boschnialactone, densispicnin B | [86] |
| P. verticillata L. (a.n.) | whole plant | verticillatoside A, verticillatoside B, verbascoside, leucosceptoside A, cistanoside D, echinacoside, angoroside A, cistantubuloside B1, wiedemannioside C, excelside B, aucubin, euphroside, monomelittoside, mussaenosidic acid, 7-deoxy-8-epi-loganic acid, 8-epi-loganic acid, plantarenaloside, geniposidic acid, boschnaloside, caryoptoside, pediverticilatasin A, pediverticilatasin B, pediverticilatasin C, kansuenin B, densispicnin B, euphrasin, scyphiphin A1, scyphiphin A2, ligustroside | [70,87,88] |
| P. wilhelmsiana | aerial parts | phenolics (exact compounds not specified) | [12] |
| Phytochemical Class | Phytochemical Compound | Pedicularis spp. | References |
|---|---|---|---|
| Alkanes | hentriacontane | P. muscicola | [62] |
| Alkyl alcohols | hexatriacontanol | P. longiflora var. tubiformis | [58,59] |
| nonatriacontanol | P. longiflora var. tubiformis | [58,59] | |
| Fatty acids | arachidic acid | P. muscicola | [62] |
| Coumarins | scopoletin | P. longiflora | [47,56] |
| Xanthones | 1-hydroxy-xanthone | P. longiflora var. tubiformis | [58,59] |
| pedicutricone A | P. densispica P. tricolor | [38,85] | |
| Terpenoids | 1,2,3,16,19,20-hexahydroxyolean-12-en-28-oic acid | P. kansuensis | [50] |
| 3β,19α-dihydroxy-12-ursen-28-oic acid | P. tricolor | [85] | |
| β-sitosterol | P. decora P. kansuensis P. tricolor | [32,33,34,35,36,45,85] | |
| β-daucosterol | P. decora P. kansuensis P. longiflora var. tubiformis P. muscicola P. tricolor | [32,33,34,35,36,45,58,59,62,85] | |
| ecdysterone 3-O-β-d-galactoside | P. striata | [78] | |
| kidjolanin | P. cephalantha | [25] | |
| Alkaloids | α-iso-lupanine | P. semibarbata | [72] |
| anagyrine | P. crenulata | [30,42] | |
| indicaine | P. dolichorrhiza P. dolichocymba | [30,42] | |
| indicainine | P. peduncularis | [64] | |
| indicine | P. peduncularis | [64] | |
| lupanine | P. racemosa | [30] | |
| N-methyl-cytisine | P. grayi P. peduncularis | [30,64] | |
| peducularine | P. peduncularis P. sarawschanica | [64,71] | |
| pediculidine | P. dolichocymba P. dolichorrhiza | [30,42] | |
| pediculine | P. dolichocymba P. dolichorrhiza | [30,42] | |
| plantagonin | P. peduncularis | [64] | |
| plantagonine | P. dolichocymba P. dolichorrhiza P. peduncularis P. sarawschanica | [30,42,64,71] | |
| senecionine | P. groenlandica | [30] | |
| tetrahydrorhombifoline | P. racemosa | [30] | |
| Lignans and neo-lignans | 7(R)-dehydro-diconiferyl alcohol-4-O-β-d-glucoside | P. longiflora P. torta | [54,83] |
| (7S)-dehydro-diconiferyl alcohol-4-O-β-d-glucoside | P. torta | [84] | |
| (+)-isolariciresinol 3a-O-β-d-glucopyranoside | P. densispica | [39] | |
| alaschanioside A | P. alaschanica P. artselaeri P. kansuensis P. resupinata | [17,19,47,49,50] | |
| alaschanioside C | P. alaschanica P. kansuensis P. resupinata | [17,47,49,50] | |
| armaoside | P. armata | [18] | |
| citrusin A | P. alaschanica P. artselaeri | [17,19] | |
| citrusin B | P. armata | [17,18] | |
| densispicoside | P. densispica | [39] | |
| dihydro-dehydro-diconiferyl alcohol-4-O-β-d-glucoside | P. torta | [84] | |
| dihydro-dehydro-diconiferyl alcohol-4-O-α-l-rhamnoside | P. torta | [84] | |
| dihydro-dehydro-diconiferyl alcohol-9-O-β-d-glucoside | P. torta | [84] | |
| lariciresinol-4-O-β-d-glucoside | P. artselaeri | [19] | |
| lariciresinol-4′-O-β-d-glucoside | P. artselaeri P. dolichocymba | [19,41] | |
| longiflor A | P. longiflora P. torta | [54,83] | |
| longiflor B | P. longiflora P. torta | [54,83] | |
| longifloroside A | P. longiflora | [54] | |
| longifloroside B | P. densispica P. longiflora | [39,54] | |
| longifloroside C | P. longiflora | [54] | |
| longifloroside D | P. longiflora | [54] | |
| pinoresinol | P. cephalantha | [25] | |
| semitortoside A | P. semitorta | [73] | |
| semitortoside B | P. semitorta | [73] | |
| pinoresinol-4-O-β-d-glucoside | P. densispica | [39] | |
| striatoside A | P. striata | [78] | |
| striatoside B | P. striata | [78] | |
| syringaresinol-4-O-β-d-glucoside | P. alaschanica P. chinensis P. densispica P. muscicola | [17,28,39,60,61] | |
| syringaresinol-4′′-O-β-d-glucoside | P. resupinata P. semitorta | [49,73] | |
| tortoside A | P. torta | [84] | |
| tortoside B | P. torta | [84] | |
| tortoside C | P. torta | [84] | |
| tortoside D | P. longiflora P. torta | [54,84] | |
| tortoside E | P. longiflora P. torta | [54,84] | |
| tortoside F | P. torta | [84] | |
| verticillatoside A | P. verticillata | [88] | |
| verticillatoside B | P. verticillata | [88] | |
| Phenylethanoid glycosides | 1-(2,3,4-trihydroxyphenyl)ethyl-3-O-rhamnose-4-[(2E)-3-(3,4-dihydroxyphenyl)-2-propenoate]-glucopyranoside | P. kansuensis | [47,49,50] |
| 1-(2,3,4-trihydroxyphenyl)ethyl-3-O-rhamnose-4-[(2E)-3-(3,4-dihydroxyphenyl)-2-propenoate]-6-[(2E)-3-(3,4-dihydroxyphenyl)-2-propenoate]-glucopyranoside | P. kansuensis | [47,49,50] | |
| 1-O-β-d-(3,4-dihydroxy-β-phenylethyl)-glucopyranoside | P. plicata | [65] | |
| 1-O-β-d-(3-hydroxy-4-methoxy-phenyl)-ethyl-β-d-apiosyl-l-(1→3)-rhamnosyl-(1→6)-4-trans-feruloyl-glucopyranoside | P. chinensis | [28] | |
| 1-O-β-d-(3-hydroxy-4-methoxy-phenyl)-ethyl-β-1-(1→3)-4-trans-feruloyl-glucopyranoside | P. chinensis | [28] | |
| 1-O-β-d-(3-hydroxy-4-methoxy-phenyl)-ethyl-α-l-rhamnosyl(1→3)-4-cis-feruloyl-gulopyranoside | P. chinensis | [28] | |
| 1′-O-β-d-(3-methoxy-4-hydroxy-phenyl)-ethyl-α-l-apiosyl-(1→3′)-α-l-rhamnosyl-(1→6′)-4′-cis-feruloyl-glucopyranoside | P. striata | [78] | |
| 2-(p-hydroxyphenyl)-ethanol-1-O-β-d-glucopyranoside | P. artselaeri | [19] | |
| 2-phenylethyl-O-β-d-xylopyranosyl-(1→2)-β-d-glucopyranoside | P. dolichocymba | [41] | |
| 2′′-O-acetyl-verbascoside | P. densispica | [39] | |
| 2′′′-O-acetyl-martynoside | P. dolichocymba | [41] | |
| 2′′′,3′′′-O-diacetyl-martynoside | P. kansuensis P. resupinata | [47,49,50] | |
| 3,4-dihydroxy-phenethyl alcohol | P. plicata | [65] | |
| 3-(4-hydroxy-3-methoxyphenyl)-1,2,3-propantriol | P. densispica | [39] | |
| 4-hydroxy-phenylpropenyl-α-l-rhamnopyranosyl-(1→3)-4-O-feruloyl-β-d-glucopyranoside | P. rex | [69] | |
| 4-O-β-d-glucopyranosyl-sinapic acid methyl ester | P. densispica | [39] | |
| angoroside A | P. verticillata | [70] | |
| artselaeroside A | P. artselaeri | [20] | |
| artselaeroside B | P. artselaeri | [20] | |
| benzyl alcohol-O-β-d-xylopyranosyl-(1→2)-β-d-glucopyranoside | P. dolichocymba | [41] | |
| cis-iso-martynoside | P. kansuensis | [47,49,50] | |
| cis-iso-verbascoside | P. semitorta | [73] | |
| cis-leucosceptoside A | P. plicata | [65] | |
| cis-martynoside | P. chinensis P. densispica P. muscicola | [28,39,62] | |
| cis-pedicularioside H | P. spicata | [76] | |
| campneoside II | P. rostratocapitata | [70] | |
| cistanoside D | P. lasiophrys P. longiflora P. torta P. verticillata | [53,55,84,88] | |
| cistantubuloside B1 | P. verticillata | [70] | |
| cistantubuloside C1 | P. rostratocapitata | [70] | |
| citrusin C | P. densispica | [39] | |
| clerodenoside A | P. cephalantha | [25] | |
| darendoside B | P. densispica | [39] | |
| decaffeoyl-verbascoside | P. striata | [77] | |
| forsythoside B | P. comosa P. kansuensis P. nordmanniana | [15,47,49,50,63] | |
| echinacoside | P. acmodonta P. condensata P. kansuensis P. kerneri P. longiflora P. rostratocapitata P. striata P. verticillata | [15,29,47,49,50,51,56,70,77] | |
| excelside B | P. verticillata | [70] | |
| iso-martynoside | P. cephalantha P. densispica P. kansuensis P. plicata P. rex P. sibthorpii | [25,47,49,50,65,69,74] | |
| iso-verbascoside | P. artselaeri P. decora P. longiflora P. striata | [20,33,47,56,77] | |
| jionoside B1 | P. kansuensis | [47,49,50] | |
| jionoside D | P. dolichocymba | [41] | |
| leucosceptoside A | P. acmodonta P. alaschanica P. dolichocymba P. kansuensis P. kerneri P. lasiophrys P. longiflora P. nordmanniana P. resupinata P. torta P. verticillata | [15,17,41,45,47,49,50,51,53,55,63,84,88] | |
| martynoside | P. alaschanica P. artselaeri P. cephalantha P. chinensis P. densispica P. dolichocymba P. kansuensis P. longiflora var. tubiformis P. muscicola P. nordmanniana P. plicata P. rex P. sibthorpii P. tricolor | [17,20,25,28,39,41,45,47,49,50,57,62,63,65,69,74,85] | |
| pedicularioside A | P. kansuensis P. longiflora P. muscicola P. spicata P. striata P. striata subsp. aracnoidea | [47,49,50,56,62,75,77,82] | |
| pedicularioside E | P. lasiophrys | [53] | |
| pedicularioside G | P. spicata P. striata | [76,79] | |
| pedicularioside H | P. spicata P. striata | [75,78] | |
| pedicularioside I | P. longiflora | [55] | |
| pedicularioside M | P. kansuensis P. longiflora P. striata subsp. aracnoidea | [47,49,50,56,82] | |
| pedicularioside N | P. chinensis P. striata subsp. aracnoidea | [28,82] | |
| permethyl-verbascoside | P. spicata | [76] | |
| phenethylalcohol β-sophoroside | P. kansuensis | [45] | |
| robustaside B | P. densispica | [39] | |
| salidroside | P. densispica | [39] | |
| verbascoside | P. alaschanica P. chamissonis P. comosa P. condensata P. densispica P. dolichocymba P. kansuensis P. kerneri P. lasiophrys P. longiflora P. muscicola P. nordmanniana P. plicata P. punctata P. resupinata P. rex P. rostratocapitata P. sibthorpii P. spicata P. striata P. striata subsp. aracnoidea P. tricolor P. torta P. verticillata | [8,15,17,26,29,39,41,45,47,49,50,51,53,55,62,63,65,69,70,74,75,77,82,84,85,88] | |
| wiedemannioside C | P. verticillata | [70] | |
| Flavonoids | 3,3′-di-O-methyl-quercetin | P. tricolor | [85] |
| 3,5,4′-trihydroxy-3′,5′-dimethoxy-flavone-7-O-β-d-glucopyranoside | P. tricolor | [85] | |
| 3,5,4′,5′-tetrahydroxy-3′-methoxy-flavone-7-O-β-d-glucopyranoside | P. tricolor | [85] | |
| 3,5,3′,4′-tetrahydroxy-flavone-7-O-β-gluopyranoside | P. tricolor | [85] | |
| 4′-methyl-chrysoeriol | P. kansuensis | [45] | |
| 5,4′-di-hydroxy-3′-methoxy-flavone-7-O-6′′-n-butyryl-β-d-glucopyranoside | P. rex | [69] | |
| acacetin | P. cephalantha P. densispica P. longiflora var. tubiformis | [25,38,57] | |
| apigenin | P. dolichocymba P. longiflora var. tubiformis P. rex P. tricolor | [41,57,69,85] | |
| apigenin-7-O-glucoside | P. densispica | [38] | |
| apigenin-7-O-glucuronide | P. longiflora var. tubiformis | [57] | |
| chrysoeriol | P. longiflora var. tubiformis P. rex P. tricolor | [57,69,85] | |
| chrysoeriol-7-O-glucoside | P. densispica | [38] | |
| chrysoeriol-7-O-glucuronide | P. longiflora var. tubiformis | [57] | |
| kaempferol | P. decora P. densispica | [32,33,34,35,36,38] | |
| kaempferol-3,7-O-α-di-rhamnopyranoside | P. densispica | [38] | |
| lagotiside | P. kansuensis | [45] | |
| luteolin | P. cephalantha P. kansuensis P. longiflora var. tubiformis P. rex P. tricolor | [25,45,57,69,85] | |
| luteolin-5-O-glucoside | P. longiflora var. tubiformis | [57,58,59] | |
| luteolin-7-O-glucoside | P. chamissonis P. chinensis P. kansuensis P. longiflora var. tubiformis P. rex P. sibthorpii P. sylvatica | [11,26,28,45,57,69,74] | |
| luteolin-7-O-glucuronide | P. chamissonis P. longiflora var. tubiformis | [26,57] | |
| morelosin | P. longiflora var. tubiformis | [57,58,59] | |
| myricetin-3′-methyl ester 7-O-glucopyranoside | P. tricolor | [85] | |
| orientin | P. longiflora var. tubiformis | [57,58,59] | |
| quercetin-7-O-galactoside | P. tricolor | [85] | |
| scutellarein-7-O-glucoside | P. densispica | [38] | |
| tricin | P. longiflora var. tubiformis | [57] | |
| tricin-7-O-glucuronide | P. kansuensis P. longiflora var. tubiformis | [45,57] | |
| Iridoids | 1,3,5,6-tetrahydro-1-methoxyl-7-methyl-cyclopenta[c]pyran-4-carboxaldehyde | P. uliginosa | [86] |
| 3β-butoxy-3,4-dihydro-aucubin | P. chinensis | [27] | |
| 4-epi-alyxialactone | P. uliginosa | [86] | |
| (4R)-4-hydroxymethyl-boschnialactone | P. uliginosa | [86] | |
| 5-deoxy-puchelloside I | P. spicata | [75] | |
| 6-O-acetyl-aucubin | P. condensata | [29] | |
| 6-O-methyl-aucubin | P. artselaeri P. chinensis | [20,28] | |
| 6-O-butyl-aucubin | P. chinensis | [27] | |
| 6-O-butyl-epi-aucubin | P. chinensis | [27] | |
| 6-O-ethyl-aucubin | P. rex | [69] | |
| 6-O-ethyl-epi-aucubin | P. rex | [69] | |
| 6-O-methyl-epi-aucubin | P. artselaeri | [20] | |
| 6-deoxy-catalpol | P. procera | [22] | |
| 7-O-acetyl-gardoside methyl ester | P. dolichocymba | [41] | |
| 7-deoxy-8-epi-loganic acid | P. artselaeri P. kansuensis P. palustris P. longiflora var. tubiformis P. verticillata | [19,46,52,57,88] | |
| 7-deoxy-gardoside | P. artselaeri P. cephalantha | [20,25] | |
| 8-O-acetyl-harpagide | P. striata | [77] | |
| 8-epi-loganic acid | P. armata P. artselaeri P. kansuensis P. kerneri P. palustris P. procera P. rostratocapitata P. verticillata | [18,19,22,46,51,52,70,88] | |
| 8-epi-loganin | P. artselaeri P. condensata P. densispica P. lasiophrys P. palustris P. sylvatica P. torta | [20,29,39,52,53,84] | |
| (rel-1R,4S,4aS,7R,7aR)-7-methyl-hexahydro-1,4-(epoxymethano)-cyclopenta[c]pyran-3(1H)-one | P. uliginosa | [86] | |
| (rel-4aS,7R,7aR)-1,4a,5,6,7,7a-hexahydro-7-hydroxyl-7-methyl-cyclopenta[c]pyran-4-carboxaldehyde | P. uliginosa | [86] | |
| rel-(6R,5R,9R)-(2-oxa-bicyclo-[3,3,0]oct-3-one-8-en-9,8-diyl)-dimethanol | P. chinensis | [28] | |
| alyxialactone | P. uliginosa | [86] | |
| argyol | P. densispica | [37] | |
| artselaenin I | P. artselaeri | [19] | |
| artselaenin III | P. artselaeri | [19] | |
| artselaenin A | P. artselaeri P. uliginosa | [19,86] | |
| artselaenin B | P. artselaeri P. uliginosa | [20,86] | |
| artselaenin C | P. artselaeri | [20] | |
| aucubin | P. armata P. artselaeri P. bracteosa P. cephalantha P. chinensis P. condensata P. crenulata P. decora P. groenlandica P. kansuensis P. kerneri P. lapponica P. longiflora var. tubiformis P. muscicola P. nordmanniana P. palustris P. procera P. punctata P. racemosa P. rex P. rostratocapitata P. sibthorpii P. verticillata | [18,20,22,25,27,29,32,33,34,35,36,46,51,52,57,62,63,67,69,70,74,88] | |
| bartsioside | P. chinensis | [27] | |
| boschnaloside | P. alaschanica P. longiflora var. tubiformis P. kansuensis P. palustris P. plicata P. resupinata P. verticillata | [16,17,46,52,57,65,88] | |
| boschnarol | P. uliginosa | [86] | |
| caryoptoside | P. artselaeri P. muscicola P. verticillata | [20,60,61,88] | |
| densispicnin A | P. densispica | [37] | |
| densispicnin B | P. densispica P. uliginosa P. verticillata | [37,86,87] | |
| densispicnin C | P. densispica | [39] | |
| densispicnin D | P. densispica | [39] | |
| dihydro-catalpolgenin | P. striata P. striata subsp. aracnoidea | [78,81] | |
| dolichocymboside A | P. dolichocymba | [40] | |
| dolichocymboside B | P. dolichocymba | [40] | |
| dolichocymboside C | P. dolichocymba | [40] | |
| dolichocymboside D | P. dolichocymba | [40] | |
| euphrasin | P. verticillata | [87] | |
| euphroside | P. alaschanica P. armata P. cephalantha P. crenulata P. groenlandica P. kansuensis P. kerneri P. lapponica P. muscicola P. nordmanniana P. palustris P. racemosa P. resupinata P. rex P. rostratocapitata P. sylvatica P. verticillata | [16,17,18,22,25,46,51,52,62,63,69,70,88] | |
| gardoside | P. procera | [22] | |
| gardoside methyl ester | P. artselaeri P. condensata P. dolichocymba P. kansuensis P. muscicola P. palustris P. resupinata P. spicata P. torta | [16,20,29,41,52,62,75,84] | |
| geniposidic acid | P. alaschanica P. armata P. kansuensis P. longiflora P. muscicola P. nordmanniana P. resupinata P. verticillata | [16,17,18,46,48,55,62,63,88] | |
| iridolactone | P. chinensis P. nordmanniana | [27,63] | |
| ixoroside | P. alaschanica P. artselaeri P. kansuensis P. palustris | [16,17,20,46,52] | |
| kansuenin | P. kansuensis | [46] | |
| kansuenin B | P. kansuensis P. verticillata | [45,87] | |
| kansuenoside | P. kansuensis | [46] | |
| lamalbid | P. decora | [32,33,34,35,36] | |
| ligustroside | P. verticillata | [70] | |
| loganic acid | P. longiflora P. torta | [55,84] | |
| longifloroside | P. longiflora | [55] | |
| monomelittoside | P. kerneri P. rostratocapitata P. verticillata | [51,70] | |
| mussaenin A | P. densispica | [37] | |
| mussaenoside | P. armata P. artselaeri P. bracteosa P. cephalantha P. condensata P. densispica P. groenlandica P. kansuensis P. lapponica P. longiflora P. muscicola P. nordmanniana P. palustris P. procera P. rex P. semitorta | [18,19,22,25,29,37,46,52,55,62,63,69,73] | |
| mussaenosidic acid | P. alaschanica P. cephalantha P. kerneri P. longiflora var. tubiformis P. muscicola P. rostratocapitata P. verticillata | [16,17,25,51,57,62,70] | |
| ningpogoside B | P. decora | [32,33,34,35,36] | |
| pedicularioside | P. muscicola P. palustris | [52,62] | |
| pedicularioside F | P. lasiophrys | [53] | |
| pedicularislactone | P. chinensis | [27] | |
| pedicularislactone glucoside | P. chinensis P. decora | [28,32,33,34,35,36] | |
| pedicutricoside A | P. tricolor | [85] | |
| pediverticilatasin A | P. verticillata | [87] | |
| pediverticilatasin B | P. verticillata | [87] | |
| pediverticilatasin C | P. verticillata | [87] | |
| penstemonoside | P. muscicola P. palustris | [52,62] | |
| plantarenaloside | P. artselaeri P. cephalantha P. crenulata P. decora P. kerneri P. palustris P. resupinata P. rex P. rostratocapitata P. sylvatica P. verticillata | [16,19,22,25,37,51,52,69,88] | |
| phloyoside II | P. muscicola | [60,61] | |
| plicatoside A | P. plicata | [65] | |
| plicatoside B | P. plicata | [65] | |
| proceroside | P. procera | [66] | |
| scyphiphin A1 | P. verticillata | [87] | |
| scyphiphin A2 | P. verticillata | [87] | |
| sesamoside | P. muscicola | [60,61] | |
| shanzhiside methyl ester | P. artselaeri P. condensata P. densispica P. muscicola P. palustris P. procera P. semitorta P. spicata P. torta | [20,22,29,39,52,62,73,75,84] | |
| viburtinal | P. tricolor | [85] | |
| Other | (+)-dehydro-vomifoliol | P. siphonantha | [25] |
| 2,5-dihydroxybenzoic acid | P. decora | [31] | |
| 3-hydroxy-1-(4-hydroxy-3,5-dimethoxyphenyl)-1-propanone | P. siphonantha | [25] | |
| 3-hydroxy-4-methoxybenzoic acid | P. decora | [31] | |
| 3-methoxy-4-hydroxybenzoic acid | P. decora P. kansuensis P. tricolor | [31,45,47,49,50,85] | |
| 3-methoxy-4-primeverosyl-acetophenone | P. artselaeri | [19] | |
| 6-(1′′,3′′-dihydroxy-2′′-propoxyl)-inosine | P. longiflora | [47,56] | |
| β-(3′,4′-dihydroxyphenyl-O-a-l-rhamnopyranosyl-(1–3)-β-d-glucopyranoside | P. decora | [31] | |
| (E)-2-hexenyl β-sophoroside | P. kansuensis | [45] | |
| p-formyl cinnamic acid | P. longiflora var. tubiformis | [58,59] | |
| ω-hydroxy-propioguaiacone | P. siphonantha | [25] | |
| adenosine | P. dolichocymba P. longiflora | [41,47,56] | |
| alanine | P. decora | [31] | |
| arginine | P. decora | [31] | |
| aspartic acid | P. decora | [31] | |
| cinnamic acid | P. longiflora var. tubiformis | [58,59] | |
| cysteine | P. decora | [31] | |
| d-mannitol | P. decora P. kerneri P. muscicola P. sibthorpii | [31,51,62,74] | |
| dearabinosyl-pneumonanthoside | P. densispica | [38] | |
| eremophila-10,11-dien-7a,13-diol | P. striata subsp. aracnoidea | [80,81] | |
| glutamic acid | P. decora | [31] | |
| glycine | P. decora | [31] | |
| isoleucine | P. decora | [31] | |
| leucine | P. decora | [31] | |
| maltol-β-d-glucoside | P. densispica | [38] | |
| methionine | P. decora | [31] | |
| muconic acid | P. longiflora var. tubiformis | [58,59] | |
| pedicurexoside | P. rex | [69] | |
| phenylalanine | P. decora | [31] | |
| proline | P. decora | [31] | |
| salicylic acid | P. decora | [31] | |
| serine | P. decora | [31] | |
| threonine | P. decora | [31] | |
| tyrosine | P. decora | [31] | |
| uridine | P. dolichocymba | [41] | |
| valine | P. decora | [31] | |
| vomifoliol | P. siphonantha | [25] |
| Pedicularis spp. | Ethnopharmacological Uses | Organ/Form | Area of the World | References |
|---|---|---|---|---|
| P. artselaeri | to treat diuresis, exhaustion, collapse, senility | aerial parts/ n.r. | Northwestern China | [119] |
| P. bicornuta | - to treat vaginal and seminal discharges - to treat burns, rheumatism, gout, general inflammation, acidity | - inflorescence/ paste - whole plant/ decoction | - Nepal (Central Himalaya) - China, India | - [120] - [8,121] |
| P. bifida (Buch.-Ham.) Pennell (u.n.) | - to treat stomachache - to relieve joint paints | roots/ liquid and powder | Nepal (Newar community of Pharping Village, Kathmandu District) | [122] |
| P. capitata | - to sedate and relax - to stop bleeding in minor injuries | whole plant/ infusion | Canada (Inuit people of Kugluktuk, Nunavut regions) | [123] |
| P. cheilanthifolia Schrenk (a.n.) | - to cure stomachache, vaginal discharge, leucorrhoea, menorrhagia | whole plant, wood/ ethanolic extract, powder | India/Kashmir (Ladakh region) | [124,125] |
| P. chenocephala Diels (a.n.) | - to relieve pain - to treat oedema, oliguria, asthma, malnutrition, pains induced by osteomyelitis | flowers/ decoction | China | [8] |
| P. chinensis | - to nourish yin - to invigorate kidney - to strengthen spleen and stomach | roots/ decoction | China | [8] |
| P. comosa | - to be used as food stuff | flowers/ nectar | Turkey | [126] |
| P. cranolopha Maxim. (a.n.) | - to clear away heat evil - to expel superficial evils - to treat fever, urinary tract infections, hepatitis, pneumonia, sore pain due to external injury | whole plant/ decoction | China | [8] |
| P. davidii Franch. (a.n.) | - to strengthen spleen and stomach - to nourish yin - to relieve pain - to treat inanition, kidney deficiency, osteopyrexia, fever, joint pain, anorexia | rhizomes/ decoction | China | [8] |
| P. decora | - to treat general debility, collapse, exhaustion, seminal emission, spontaneous sweating and senility - to invigorate the mind and the circulation of blood - to strengthen spleen and stomach | roots/ decoction | China | [8,127] |
| P. decorissima Diels (a.n.) | - to clear away heat evil - to expel superficial evils - to treat acute gastroenteritis and food poisoning | whole plant, flowers/ decoction | China | [8] |
| P. dissecta (Bonati) Pennell & H.L. Li (a.n.) | - to supplement qi - to nourish yin - to detoxificate - to relieve pain - to treat asthenia due to disease, yin deficiency, sore, joint pains | roots/ decoction | China | [8] |
| P. dunniana Bonati (a.n.) | - to nourish yin - to relieve pain - to treat inanition, kidney deficiency, osteopyrexia, fever, joint pains, anorexia | rhizomes/ decoction | China | [8] |
| P. flagellaris Benth. (u.n.) | - to treat excessive diuresis and wounds - to treat excessive diuresis, wounds, rheumatisms - to regulate menstruation | - aerial parts/ infusion, decoction - aerial parts/infusion, decoction | - Himalaya - Bhutan | - [128] - [128] |
| P. flava Pall. (a.n.) | - to treat general body pains, stomachaches - to be used as sedative | leaves/ decoction | Pakistan | [129] |
| P. gracilis | to treat stomachache | roots/ liquid | Nepal (Newar community of Pharping village, Kathmandu District; Western regions) | [122,130] |
| P. gracilis subsp. gracilis (s.n.) | to relieve joint pain | roots /powder | Nepal (Central Himalaya) | [122] |
| P. henryi Maxim. (a.n.) | - to nourish yin and qi - to strengthen tendons and bones with vital essence - to activate collaterals - to treat hemiplegia and arthralgia due to blood stagnation | roots/ decoction | China | [8] |
| P. hoffmeisteri Klotzsch (a.n.) | - to cure flatulence and stomach disorders in animals - to cure food poisoning | - whole plant/ n.r. - whole plant/ n.r. | - India (Uttaranchal State) - India (Western Himalaya) | [131,132] |
| P. integrifolia | - to treat dropsy, excessive diuresis, asthma, rheumatisms - to heal wounds and oedema - to nourish body | aerial parts/ ethanolic extract | Bhutan | [44] |
| P. kansuensis | - to treat collapse, exhaustion, senility, edema and boils - to relieve heat and toxicity - to treat edema, inflammation, urinaryobstructions | - aerial parts/ n.r. - flowers/ n.r. | - China - Tibet, China | - [50,119] - [8] |
| P. lanata Willd. ex Cham. & Schltdl. (a.n.) | to treat headache, migraine | n.r./n.r. | Canada (Aborigens of the Boreal forest) | [133] |
| P. longicaulis Franch. ex Maxim. (a.n.) | - to nourish yin and qi - to activate collaterals - to treat dizziness tinnitus, bones and muscles pain, deficiency heat | roots/decoction | China | [8] |
| P. longiflora | - to cure hepatic, pancreatic, kidney, urinary diseases, vaginal discharge, leucorrhoea, menorrhagia - to treat rheumatisms, excessive diuresis and coagulation, wounds, hypertension, dehydration - to treat edema, tinnitus, carbuncles wollen, hepatitis, spermatorrhea, urine with pus and blood, cholecystitis, dry mouth, carbuncle swollen - to treat vertigo, dry tongue, excessive seminal discharge, edema, liver and gall bladder problems | - whole plant, wood/ decoction, powder - aerial parts/ ethanolic extract - whole plant, flowers/ decoction - leaves, stems/ decoctions | - Himalaya (Ladakh region) - Bhutan - China - India | - [7,125] - [44] - [8] - [121] |
| P. longiflora var. tubiformis | - to treat cough, sore throats, hepatitis, lymphatic disorders, poisioning, seminal and vaginal discharges, dropsy, spermatorrhoea, tinnitus, carbuncle disorders associated with alcoholism | whole plant/ raw food | Nepal (Central Himalaya) | [57,134] |
| P. megalantha D.Don (a.n.) | - to soothe meat poisoning, intestinal disorders, acidity | aerial parts/ decoction | Bhutan, Tibet | [135] |
| P. megalochila H.L. Li | to treat dysentery, diarrhea, hepatitis, urinary tract infections | whole plant/ decoction | China | [8] |
| P. muscicola Maxim. (a.n.) | - to nourish qi - to treat consumptiondiseases, blood deficiency, hidrosis, hypotension | roots/ decoction | China | [8] |
| P. oederi Vahl (a.n.) | - to treat rheumatic arthritis, lithangiuria, scabies, micturition difficulties - to treat food poisoning, headache, backache, bodyache - to be used as sedative | - roots/ decoction - whole plant/ raw vegetable | - China - India (Trans Himalaya region) | - [8] - [121,136] |
| P. oederi var. sinensis (Maxim.) Hurus. (a.n.) | to treat urinary obstructions and edema in animals | flowers/ n.r. | Tibet, China | [137] |
| P. oliveriana Prain (a.n.) | - to reduce inflammation - to ease gastric pains or disorders - to treat poisoning, micturition difficulties - to cure food poisoning, stomach ulcer, duodenal ulcer, diarrhea, rheumatic joint pains, lithangiuria, abnormal leucorrhea, scabies | - inflorescence/ extract - flowers, whole plant/ decoctions | - Nepal (Central Himalaya) - China | - [138] - [8] |
| P. pectinata | - to increase urine flow - to cure swelling and stomach pains due to intestinal infections - to alleviate stomach pain, flatulence, intestinal infections, intestinal swelling, high blood pressure, backache, bodyache, fever - to increase urine flow - to cure haemoptysis, alopecia | - aerial parts/ powdered raw food in cold water - flowers/ powdered raw food in cold water - flowers/ decoction | - Kashmir - Western Himalaya (Lahaul-Spiti tribe) - India, Kashmir | - [139] - [140] - [141,142,143] |
| P. pectinatiformis Bonati (a.n.) | - to relieve pain - to relax | leaves/ infusion | Pakistan (Gilgit-Baltistan region) | [144] |
| P. peduncularis | - to treat uterine bleeding - to favour diuresis - to treat various skin diseases | - aerial parts/ decoction - flowers/ decoction - aerial parts/ bath | Tajikistan | [64] |
| P. punctata | - to treat fever, cancer and premature graying of hair - to improve digestion - to control blood pressure - to treat hypertension, fever, gastrointestinal disorders - to relax skeletal muscles | - inflorescence/ extract - aerial parts/powdered raw food in cold water - flowers/ powder in cold water | - Nepal (Central Himalaya) - Western Himalaya (Lahaul-Spiti tribe) - Pakistan | - [138] - [140,145] - [146,147] |
| P. pyramidata Royle ex Benth. (a.n.) | to treat fluid retention, headache, bone inflammations, serous fluids accumulation | whole plant/ raw food | Nepal (Central Himalaya), India | [138,143] |
| P. resupinata | - to treat malignant abscesses - to treat rheumatoid arthritis, rheumatic pains, joint pains, scabies, micturition difficulties - to cure lithangiuria abnormal leucorrhea, acute gastroenteritis, food poisoning | - aerial parts/n.r. - roots, stem/ powder, decoctions | - South Korea - China | - [148] - [8] |
| P. rex | - to invigorate qi and blood - to strengthen spleen - to treat yin deficiency, hectic fever, rheumatism, cirrhosis, ascites - to cure smallpox, measles, seasonal prevalent diseases | roots, whole plant/ decoctions | China | [8] |
| P. rhinanthoides Schrenk (a.n.) | - to treat cough, sore throat, hepatitis, lymphatic disorders, poisoning - to treat diabetes | whole plant/ raw food - whole plant/ decoction | - Nepal (Central Himalaya) - India | - [138] - [149] |
| P. rudis Maxim. (a.n.) | - to nourish yin - to relieve pain - to treat inanition, kidney deficiency, osteopyrexia, fever, joint pain, anorexia | rhizomes/ decoction | China | [8] |
| P. scullyana Prain ex Maxim. (u.n.) | to remove pimples | whole plant/ paste | Nepal (Western regions) | [130] |
| P. siphonantha | to treat cough, sore throat, hepatitis, lymphatic disorders, poisoning | whole plant/ raw food | Nepal (Central Himalaya) | [134,150] |
| P. spicata | - to nourish qi - to treat consumption diseases, blood deficiency, hidrosis, hypotension | roots/decoction | China | [8] |
| P. striata | to treat kidney-yang deficiency, edema, micturition difficulties | whole plant/ decoction | China | [8] |
| P. tenuirostris | to cure swelling and stomach pain due to intestinal infections | flowers/ powdered raw food in cold water | Western Himalaya (Lahaul-Spiti tribe) | [140] |
| P. torta | to treat inflammations and urinary obstructions in animals | flowers/ n.r. | Tibet, China | [137] |
| P. verticillata | - to nourish qi - to treat consumption diseases, blood deficiency, hidrosis, hypotension | roots/decoction | China | [8] |
| Pedicularis spp. | Pharmacological Properties | Organs/Forms | Collection Area | References |
|---|---|---|---|---|
| P. artselaeri | - strong antioxidant - hepatoprotective | - aerial parts/ butanol and water extracts - water and ethanolic extracts | China | - [154] - [155] |
| P. cadmea Boiss. (u.n.) | weak antibacterial | aerial parts/ methanolic extract | Turkey | [156] |
| P. condensata | antibacterial, weak antioxidant, antifungal | aerial parts/ essential oil | Turkey | [10] |
| P. davidii | - strong antioxidant - hepatoprotective | - rhizomes/ butanol and water extracts - water and ethanolic extracts | China | - [154] - [155] |
| P. decora | antioxidant, antidiabetic, hepatoprotective, anti-inflammatory | roots/ethanolic, n-butanol and water extracts | China | [7,157,158] |
| P. flava | medium antimicrobial | whole plant/ ethanolic extract | Mongolia | [159] |
| P. longiflora | antidiabetic, antioxidant, radical scavenging | whole plant/ ethanolic extract | Himalaya (Ladakh region), China | [7,56] |
| P. olympica Boiss. (u.n.) | weak antimicrobial | aerial parts/ methanolic extract | Turkey | [155] |
| P. mexicana Zucc. ex Bunge (a.n.) | antioxidant, medium cytotoxic | whole plant/ methanolic extract | Mexico | [160] |
| P. sibthorpii | strong antioxidant, free-radical scavenging, antibacterial | aerial parts/ methanolic extract | Iran | [74] |
| P. wilhelmsiana | strong antioxidant, antibacterial | aerial parts/ methanolic extract | Iran | [12] |
| Pedicularis spp. | Other Uses | Organs/Forms | Area of Employment | References |
|---|---|---|---|---|
| P. atuntsiensis Bonati (a.n.) | purely ornamental | - | China (Northwestern Yunnan) | [170] |
| P. capitata | to make an olive green dye | flower stalks | Canada (Inuit people of Kugluktuk, Nunavut regions) | [123] |
| P. crenularis H.L. Li (a.n.) | purely ornamental | - | China (Northwestern Yunnan) | [170] |
| P. cyclorhyncha H.L. Li (a.n.) | purely ornamental | - | China (Northwestern Yunnan) | [170] |
| P. dichrocephala Hand.-Mazz. (a.n.) | purely ornamental | - | China (Northwestern Yunnan) | [170] |
| P. fastigiata Franch. (a.n.) | purely ornamental | - | China (Northwestern Yunnan) | [170] |
| P. filicula Franch. ex. Maxim. (a.n.) | purely ornamental | - | China (Northwestern Yunnan) | [170] |
| P. flava | forage | - | Pakistan | [129] |
| P. gracilicaulis H.L. Li (a.n.) | purely ornamental | - | China (Northwestern Yunnan) | [170] |
| P. groenlandica | edible plant | whole plant/tea | Canada (Inuit people, Kangiqsualujjuaq community) | [171] |
| P. habachanensis Bonati (a.n.) | purely ornamental | - | China (Northwestern Yunnan) | [170] |
| P. humilis Bonati (a.n.) | purely ornamental | - | China (Northwestern Yunnan) | [170] |
| P. kariensis Bonati (a.n.) | purely ornamental | - | China (Northwestern Yunnan) | [170] |
| P. labradorica Wirsing (a.n.) | edible plant | roots | Canada (Inuit people, Nain community) | [170] |
| P. lamioides Hand.-Mazz. (a.n.) | purely ornamental | - | China (Northwestern Yunnan) | [169] |
| P. lanpingensis H.P. Yang (a.n.) | purely ornamental | - | China (Northwestern Yunnan) | [169] |
| P. lecomtei Bonati (a.n.) | purely ornamental | - | China (Northwestern Yunnan) | [169] |
| P. macrorhyncha H.L. Li (a.n.) | purely ornamental | - | China (Northwestern Yunnan) | [170] |
| P. maxonii Bonati (a.n.) | purely ornamental | - | China (Northwestern Yunnan) | [170] |
| P. mayana Hand.-Mazz. (a.n.) | purely ornamental | - | China (Northwestern Yunnan) | [170] |
| P. meteororhyncha H.L. Li (a.n.) | purely ornamental | - | China (Northwestern Yunnan) | [170] |
| P. micrantha H.L. Li (a.n.) | purely ornamental | - | China (Northwestern Yunnan) | [170] |
| P. mussotii Franch. (a.n.) | purely ornamental | - | China (Northwestern Yunnan) | [170] |
| P. obscura Bonati (a.n.) | purely ornamental | - | China (Northwestern Yunnan) | [170] |
| P. oederi | fodder | whole plant/raw food | Nepal (Central Himalaya) | [138] |
| P. oligantha Franch. ex. Maxim. (a.n.) | purely ornamental | - | China (Northwestern Yunnan) | [170] |
| P. orthocoryne H.L. Li (a.n.) | purely ornamental | - | China (Northwestern Yunnan) | [170] |
| P. pinetorum Hand.-Mazz. (a.n.) | purely ornamental | - | China (Northwestern Yunnan) | [170] |
| P. praeruptorum Bonati (a.n.) | purely ornamental | - | China (Northwestern Yunnan) | [170] |
| P. pseudoversicolor Hand.-Mazz. (a.n.) | purely ornamental | - | China (Northwestern Yunnan) | [170] |
| P. remotiloba Hand.-Mazz. (a.n.) | purely ornamental | - | China (Northwestern Yunnan) | [170] |
| P. salicifolia Bonati (a.n.) | purely ornamental | - | China (Northwestern Yunnan) | [170] |
| P. schizocalyx (Lange) Steininger (a.n.) | edible | flowers/raw plant | Spain (Cantabria region) | [172] |
| P. sigmoidea Franch. ex. Maxim. (a.n.) | purely ornamental | - | China (Northwestern Yunnan) | [170] |
| P. sylvatica | edible | flowers/raw plant | Spain (Galicia region) | [170] |
| P. tomentosa H.L. Li (a.n.) | purely ornamental | - | China (Northwestern Yunnan) | [170] |
| P. tsaii H.L. Li (a.n.) | purely ornamental | - | China (Northwestern Yunnan) | [170] |
| P. umbelliformis H.L. Li (a.n.) | purely ornamental | - | China (Northwestern Yunnan) | [170] |
| P. weixiensis H.P. Yang (a.n.) | purely ornamental | - | China (Northwestern Yunnan) | [170] |
| P. yui H.L. Li (a.n.) | purely ornamental | - | China (Northwestern Yunnan) | [170] |
| P. zhongdianensis H.P. Yang (a.n.) | purely ornamental | - | China (Northwestern Yunnan) | [170] |
© 2019 by the authors. Licensee MDPI, Basel, Switzerland. This article is an open access article distributed under the terms and conditions of the Creative Commons Attribution (CC BY) license (http://creativecommons.org/licenses/by/4.0/).
Share and Cite
Frezza, C.; Venditti, A.; Toniolo, C.; De Vita, D.; Serafini, I.; Ciccòla, A.; Franceschin, M.; Ventrone, A.; Tomassini, L.; Foddai, S.; et al. Pedicularis L. Genus: Systematics, Botany, Phytochemistry, Chemotaxonomy, Ethnopharmacology, and Other. Plants 2019, 8, 306. https://doi.org/10.3390/plants8090306
Frezza C, Venditti A, Toniolo C, De Vita D, Serafini I, Ciccòla A, Franceschin M, Ventrone A, Tomassini L, Foddai S, et al. Pedicularis L. Genus: Systematics, Botany, Phytochemistry, Chemotaxonomy, Ethnopharmacology, and Other. Plants. 2019; 8(9):306. https://doi.org/10.3390/plants8090306
Chicago/Turabian StyleFrezza, Claudio, Alessandro Venditti, Chiara Toniolo, Daniela De Vita, Ilaria Serafini, Alessandro Ciccòla, Marco Franceschin, Antonio Ventrone, Lamberto Tomassini, Sebastiano Foddai, and et al. 2019. "Pedicularis L. Genus: Systematics, Botany, Phytochemistry, Chemotaxonomy, Ethnopharmacology, and Other" Plants 8, no. 9: 306. https://doi.org/10.3390/plants8090306
APA StyleFrezza, C., Venditti, A., Toniolo, C., De Vita, D., Serafini, I., Ciccòla, A., Franceschin, M., Ventrone, A., Tomassini, L., Foddai, S., Guiso, M., Nicoletti, M., Bianco, A., & Serafini, M. (2019). Pedicularis L. Genus: Systematics, Botany, Phytochemistry, Chemotaxonomy, Ethnopharmacology, and Other. Plants, 8(9), 306. https://doi.org/10.3390/plants8090306

