Improvement in Nitrogen-Use Efficiency Increases Salt Stress Tolerance in Rice Seedlings and Grain Yield in Salinized Soil
Abstract
1. Introduction
2. Results
2.1. Higher N Content and N Metabolism Enzyme Activities in Nitrogen-Efficient Rice Varieties Under Salt Stress Conditions
2.2. Seedlings Growth Status of Rice Varieties with Different Nitrogen Efficiencies Under Salt Stress Conditions
2.3. Better Root Growth Status of Nitrogen-Efficient Rice Varieties Under Salt Stress Conditions
2.4. More Accumulation of Osmotic Adjustment Substances and Lower ROS Contents in Nitrogen-Efficient Rice Varieties Under Salt Stress Conditions
2.5. Lower Accumulation of Na+ in Nitrogen-Efficient Rice Varieties Under Salt Stress Conditions
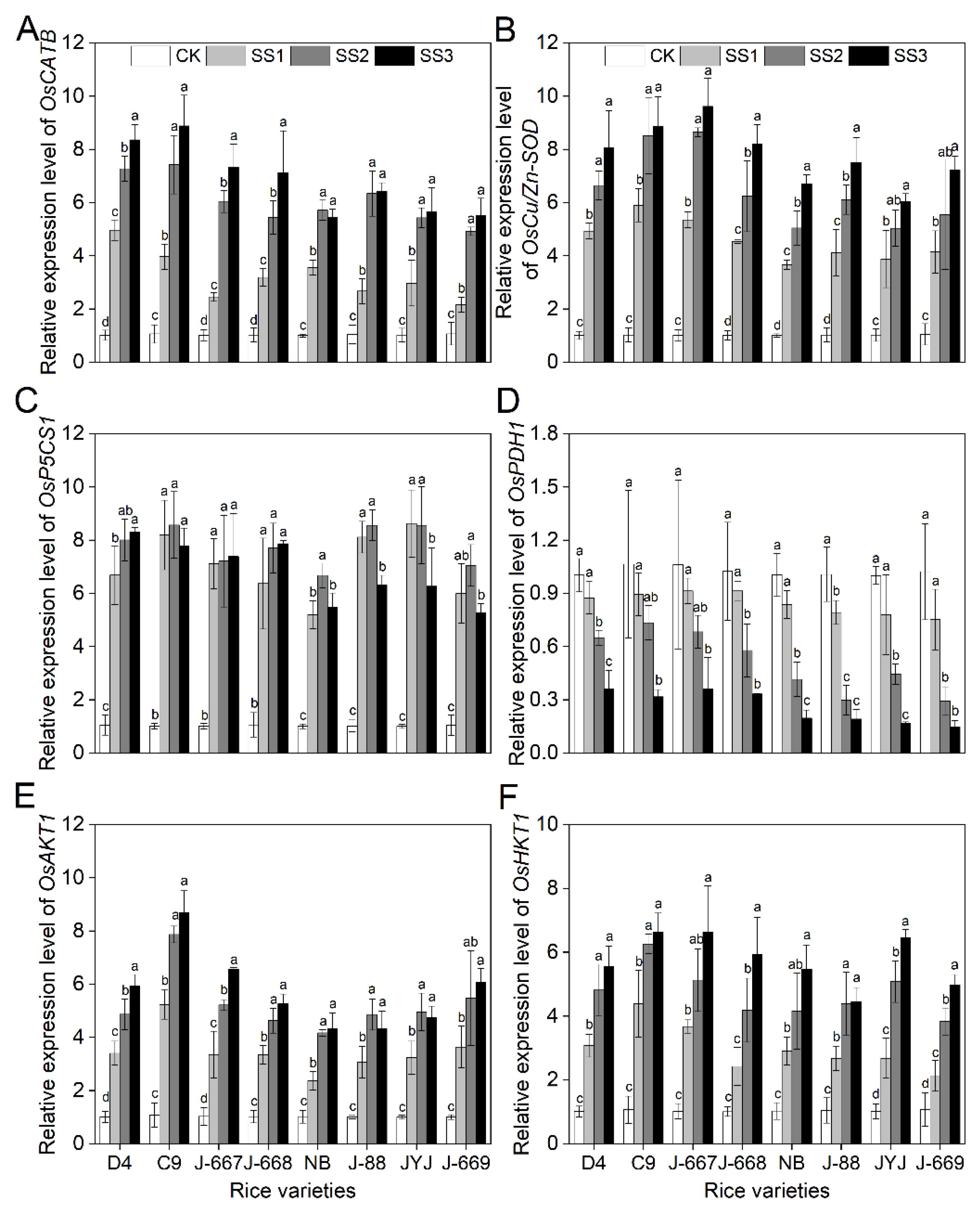
2.6. Higher Expression Levels of Stress-Related Genes in Nitrogen-Efficient Rice Varieties Under Salt Stress Conditions
2.7. Better Growth Status of Nitrogen-Efficient Rice Varieties Under Salinized Paddy Soils
2.8. Higher-Yield Component of Nitrogen-Efficient Rice Varieties Under Salinized Paddy Soils
2.9. The Way in Which Higher Nitrogen-Use Efficiency Increases Salt Stress Tolerance in Rice
3. Discussion
4. Materials and Methods
4.1. Plant Materials
4.2. Salt Stress Application at the Seedling Stage
4.3. Salt Stress Application at the Reproductive Growth Stage
4.4. Measurement of Seedling Growth
4.5. Measurement of the Chlorophyll Content of Rice Seedlings
4.6. Measurement of the Relative Water Content of Rice Seedlings
4.7. Measurement of Plant Growth, Grain Yield, and Yield Components at the Mature Stage
4.8. Measurement of Proline and Soluble Sugar Content
4.9. Measurement of Na+ and K+ Content
4.10. Measurement of ROS Levels
4.11. Measurement of Nitrate–Nitrogen and Ammonium Nitrogen Contents in Rice
4.12. Measurement of N-Metabolism-Related Enzyme Activities
4.13. RNA Isolation and Quantitative Real-Time PCR (qRT-PCR)
4.14. Experimental Design and Statistical Analyses
5. Conclusions
Author Contributions
Funding
Data Availability Statement
Conflicts of Interest
Correction Statement
Abbreviations
References
- Liang, X.; Li, J.; Yang, Y.; Jiang, C.; Guo, Y. Designing salt stress-resilient crops: Current progress and future challenges. J. Integr. Plant Biol. 2024, 66, 303–329. [Google Scholar] [CrossRef] [PubMed]
- Jamil, M.; Bashir, S.; Anwar, S.; Bibi, S.; Rha, E.S. Effect of salinity on physiological and biochemical characteristics of different varieties of rice. Pak. J. Bot. 2012, 44, 7–13. [Google Scholar]
- Hernández, J.A. Salinity Tolerance in Plants: Trends and Perspectives. Int. J. Mol. Sci. 2019, 20, 2408. [Google Scholar] [CrossRef]
- Hickey, L.T.N.; Hafeez, A.; Robinson, H.; Jackson, S.A.; Leal-Bertioli, S.C.M.; Tester, M.; Gao, C.; Godwin, I.D.; Hayes, B.J.; Wulff, B.B.H. Breeding crops to feed 10 billion. Nat. Biotechnol. 2019, 37, 744–754. [Google Scholar] [CrossRef] [PubMed]
- Liu, X.L.; Xu, C.; Yang, H.T.; Su, P.P.; Shao, Q.; Chen, N.; Lin, L.N.; Zhang, Z.A.; Wang, H.J. Root architectural and physiological responses in contrasting rice genotypes to saline-alkaline stress. Int. J. Agric. Biol. 2021, 26, 401–410. [Google Scholar]
- Lv, B.S.; Li, X.W.; Ma, H.Y.; Sun, Y.; Wei, L.X.; Jiang, C.J.; Liang, Z.W. Differences in growth and physiology of rice in response to different saline-alkaline stress factors. Agron. J. 2013, 105, 1119–1128. [Google Scholar] [CrossRef]
- Zhang, H.; Liu, X.L.; Zhang, R.X.; Yuan, H.Y.; Wang, M.M.; Yang, H.Y.; Ma, H.Y.; Liu, D.; Jiang, C.J.; Liang, Z.W. Root damage under alkaline stress is associated with reactive oxygen species accumulation in rice (Oryza sativa L.). Front. Plant Sci. 2017, 8, 1580. [Google Scholar] [CrossRef]
- Wang, Q.W.; Ni, L.; Cui, Z.Z.; Jiang, J.J.; Chen, C.; Jiang, M.Y. The NADPH oxidase OsRbohA increases salt tolerance by modulating K+ homeostasis in rice. Crop J. 2022, 10, 1611–1622. [Google Scholar] [CrossRef]
- Li, Q.; Yang, A.; Zhang, W.H. Comparative studies on tolerance of rice genotypes differing in their tolerance to moderate salt stress. BMC Plant Biol. 2017, 17, 141. [Google Scholar] [CrossRef] [PubMed]
- Xu, C.; Li, Q.; Liu, X.L.; Wang, H.J.; Liang, X.; Ling, F.L.; Wu, Z.H.; Zhang, Z.A.; Chen, Z.Y. Effects of nitrogen supply level on photosynthesis and chlorophyll fluorescence characteristics of rice under salt stress. Emir. J. Food Agric. 2019, 31, 741–751. [Google Scholar] [CrossRef]
- Liu, X.L.; Xu, C.; Ji, P.; Li, Q.; Zhu, M.; Zhang, Z.A.; Ling, F.L.; Wang, H.J. Lower nitrogen levels improve growth and some physiological traits of rice (Oryza sativa) under salt stress during reproductive period. Int. J. Agric. Biol. 2020, 24, 769–776. [Google Scholar]
- Tian, Z.J.; Li, J.P.; Jia, X.Y.; Yang, F.; Wang, Z.C. Assimilation and translocation of dry matter and phosphorus in rice genotypes affected by salt-alkaline stress. Sustainability 2016, 8, 568. [Google Scholar] [CrossRef]
- Wang, M.M.; Yang, F.; Ma, H.Y.; Wei, L.X.; Huang, L.H.; Liu, M.; Yang, H.Y.; Li, J.P.; Li, X.W.; Liu, X.L.; et al. Cooperative effects of sand application and flushing during the sensitive stages of rice on its yield in a hard saline-sodic soil. Plant Prod. Sci. 2016, 19, 468–478. [Google Scholar] [CrossRef]
- Liu, X.L.; Xie, X.Z.; Zheng, C.K.; Wei, L.X.; Li, X.W.; Jin, Y.Y.; Zhang, G.H.; Jiang, C.J.; Liang, Z.W. RNAi-mediated suppression of the abscisic acid catabolism gene OsABA8ox1 increases abscisic acid content and tolerance to saline-alkaline stress in rice (Oryza sativa L.). Crop J. 2022, 10, 354–367. [Google Scholar] [CrossRef]
- Munns, R.; Tester, M. Mechanisms of salinity tolerance. Annu. Rev. Plant Biol. 2008, 59, 651–681. [Google Scholar] [CrossRef] [PubMed]
- Razzaq, A.; Ali, A.; Safdar, L.B.; Zafar, M.M.; Rui, Y.; Shakeel, A.; Shaukat, A.; Ashraf, M.; Gong, W.; Yuan, Y. Salt stress induces physiochemical alterations in rice grain composition and quality. J. Food Sci. 2020, 85, 14–20. [Google Scholar] [CrossRef] [PubMed]
- Reddy, I.N.B.L.; Kim, B.K.; Yoon, I.S.; Kim, K.H.; Kwon, T.R. Salt tolerance in rice: Focus on mechanisms and approaches. Rice Sci. 2017, 24, 123–144. [Google Scholar] [CrossRef]
- El, M.H.; Perez-Hormaeche, J.; De, L.A.; Villalta, I.; Espartero, J.; Gamez-Arjona, F.; Fernandez, J.L.; Bundo, M.; Mendoza, I.; Mieulet, D. A critical role of sodium flux via the plasma membrane Na+/H+ exchanger SOS1 in the salt tolerance of rice. Plant Physiol. 2019, 180, 1046–1065. [Google Scholar]
- Rao, P.S.; Mishra, B.; Gupta, S.R.; Rathore, A. Reproductive stage tolerance to salinity and alkalinity stresses in rice genotypes. Plant Breed. 2010, 127, 256–261. [Google Scholar] [CrossRef]
- Wang, M.M.; Rengasamy, P.; Wang, Z.C.; Yang, F.; Ma, H.Y.; Huang, L.H.; Liu, M.; Yang, H.Y.; Li, J.P.; An, F.H.; et al. Identification of the most limiting factor for rice yield using soil data collected before planting and during the reproductive stage. Land Degrad. Dev. 2018, 29, 2310–2320. [Google Scholar] [CrossRef]
- Lv, B.S.; Ma, H.Y.; Li, X.W.; Wei, L.X.; Lv, H.Y.; Yang, H.Y.; Jiang, C.J.; Liang, Z.W. Proline accumulation is not correlated with saline-alkaline stress tolerance in rice seedlings. Agron. J. 2015, 107, 51–60. [Google Scholar] [CrossRef]
- Zheng, C.; Liu, C.T.; Liu, L.; Tan, Y.N.; Sheng, X.B.; Yu, D.; Sun, Z.Z.; Sun, X.W.; Chen, J.; Yuan, D.Y.; et al. Effect of salinity stress on rice yield and grain quality: A meta-analysis. Eur. J. Agron. 2023, 144, 126765. [Google Scholar] [CrossRef]
- Wei, L.X.; Lv, B.S.; Li, X.W.; Wang, M.M.; Ma, H.Y.; Yang, H.Y.; Yang, R.F.; Piao, Z.H.; Lou, J.H.; Jiang, C.J.; et al. Priming of rice (Oryza sativa L.) seedlings with abscisic acid enhances seedling survival, plant growth, and grain yield in saline-alkaline paddy fields. Field Crops Res. 2017, 203, 86–93. [Google Scholar] [CrossRef]
- Chen, S.D.; Elrys, A.S.; Zhao, C.; Cai, Z.; Zhang, J.B.; Müller, C. Global patterns and controls of yield and nitrogen use efficiency in rice. Sci. Total Environ. 2023, 898, 165484. [Google Scholar] [CrossRef]
- Cui, G.C.; Zhang, Y.; Zhang, W.J.; Lang, D.Y.; Zhang, X.J.; Li, Z.X.; Zhang, X.H. Response of carbon and nitrogen metabolism and secondary metabolites to drought stress and salt stress in plants. J. Plant Biol. 2019, 62, 387–399. [Google Scholar] [CrossRef]
- Tang, C.Y.; Han, M.Q.; Yang, X.R.; Shen, T.L.; Gao, Y.Y.; Wang, Y.; Zhang, S.G.; Chen, D.L.; He, D.; Li, Y.C. Gene expression, enzyme activity, nitrogen use efficiency, and yield of rice affected by controlled-release nitrogen. ACS Omega 2023, 8, 23772–23781. [Google Scholar] [CrossRef]
- Soliman, M.; ElKelish, A.; Souad, T.; Alhaithloul, H.; Farooq, M. Brassinosteroid seed priming with nitrogen supplementation improves salt tolerance in soybean. Physiol. Mol. Biol. Plants 2020, 26, 501–511. [Google Scholar] [CrossRef] [PubMed]
- Liu, X.L.; Xu, C.; Xu, K.Z.; Cui, J.J.; Zhang, Z.A.; Ling, F.L.; An, J.H.; Wu, Z.H. Effects of salt stress on photosynthetic characteristics and some physiological traits of rice varieties at different nitrogen levels. J. South China Agric. Univ. 2015, 36, 6–12. [Google Scholar]
- Zhang, Z.J.; Chu, G.; Liu, L.J.; Wang, Z.Q.; Wang, X.M.; Zhang, H.; Yang, J.C.; Zhang, J.H. Mid-season nitrogen application strategies for rice varieties differing in panicle size. Field Crop Res. 2013, 150, 9–18. [Google Scholar] [CrossRef]
- Gao, Y.B.; Zhang, H.; Liu, K.C.; Zhang, H.B.; Li, Y.F.; Fu, X.Q.; Xue, Y.F.; Qian, X.; Dai, H.C.; Li, Z.X. The coordination of nitrogen optimization with matched variety could enhance maize grain yield and nitrogen use efficiency of summer maize in saline land. Sci. Agric. Sin. 2020, 53, 4388–4398. [Google Scholar]
- Tantray, A.Y.; Hazzazi, Y.; Ahmad, A. Physiological, agronomical, and proteomic studies reveal crucial players in rice nitrogen use efficiency under low nitrogen supply. Int. J. Mol. Sci. 2022, 23, 6410. [Google Scholar] [CrossRef] [PubMed]
- An, J.H.; Liu, X.L.; Xu, C.; Cui, J.J.; Xu, K.Z.; Ling, F.L.; Zhang, Z.A.; Wu, Z.H. Photosynthetic physiological characteristics of rice varieties with high nitrogen use efficiencies. J. Northwest Agric. For. Univer. 2014, 42, 29–38. [Google Scholar]
- Qi, Z.X.; Ling, F.L.; Jia, D.S.; Cui, J.J.; Zhang, Z.A.; Xu, C.; Yu, L.T.; Guan, C.L.; Wang, Y.; Zhang, M.R.; et al. Effects of low nitrogen on seedling growth, photosynthetic characteristics and antioxidant system of rice varieties with different nitrogen efficiencies. Sci. Rep. 2023, 13, 19780. [Google Scholar] [CrossRef] [PubMed]
- Lee, S.; Marmagne, A.; Park, J.; Fabien, C.; Yim, Y.; Kim, S.J.; Kim, T.H.; Lim, P.O.; Masclaux-Daubresse, C.; Nam, H.G. Concurrent activation of OsAMT1;2 and OsGOGAT1 in rice leads to enhanced nitrogen use efficiency under nitrogen limitation. Plant J. 2020, 103, 7–20. [Google Scholar] [CrossRef] [PubMed]
- Zhang, Y.J.; Tan, L.B.; Zhu, Z.F.; Yuan, L.X.; Xie, D.X.; Sun, C.Q. TOND1 confers tolerance of nitrogen deficiency in rice. Plant J. 2014, 81, 367–376. [Google Scholar] [CrossRef] [PubMed]
- Tang, W.J.; Ye, J.; Yao, X.M.; Zhao, P.Z.; Xuan, W.; Tian, Y.L.; Zhang, Y.Y.; Xu, S.; An, H.Z.; Chen, G.M.; et al. Genome-wide associated study identifies NAC42-activated nitrate transporter conferring high nitrogen use efficiency in rice. Nat. Commun. 2019, 10, 5279. [Google Scholar] [CrossRef]
- Fang, S.M.; Hou, X.; Liang, X.L. Response mechanisms of plants under saline-alkali stress. Front. Plant Sci. 2021, 12, 667458. [Google Scholar] [CrossRef] [PubMed]
- Jiang, C.J.; Liang, Z.W.; Xie, X.Z. Priming for saline-alkaline tolerance in rice: Current knowledge and future challenges. Rice Sci. 2023, 30, 417–425. [Google Scholar]
- Zhang, Q.; Liu, Y.; Jiang, Y.; Li, A.; Cheng, B.; Wu, J. OsASR6 Enhances salt stress tolerance in rice. Int. J. Mol. Sci. 2022, 23, 9340. [Google Scholar] [CrossRef] [PubMed]
- Xu, J.; Huang, X.; Lan, H.; Zhang, H.; Huang, J. Rearrangement of nitrogen metabolism in rice (Oryza sativa L.) under salt stress. Plant Signal. Behav. 2016, 11, e1138194. [Google Scholar] [CrossRef] [PubMed]
- Xuan, W.; Beeckman, T.; Xu, G. Plant nitrogen nutrition: Sensing and signaling. Curr. Opin. Plant Biol. 2017, 39, 57–65. [Google Scholar] [CrossRef] [PubMed]
- Alfatih, A.; Zhang, J.; Song, Y.; Jan, S.U.; Zhang, Z.S.; Xia, J.Q.; Zhang, Z.Y.; Nazish, T.; Wu, J.; Zhao, P.X.; et al. Nitrate-responsive OsMADS27 promotes salt tolerance in rice. Plant Commun. 2023, 4, 100458. [Google Scholar] [CrossRef] [PubMed]
- Hoai, N.T.T.; Shim, I.S.; Kobayashi, K.; Kenji, U. Accumulation of some nitrogen compounds in response to salt stress and their relationships with salt tolerance in rice (Oryza sativa L.) seedlings. Plant Growth Regul. 2003, 41, 159–164. [Google Scholar] [CrossRef]
- Cao, Y.; Song, H.; Zhang, L. New insight into plant saline-alkali tolerance mechanisms and application to breeding. Int. J. Mol. Sci. 2022, 23, 16048. [Google Scholar] [CrossRef] [PubMed]
- Feng, Z.H.; Lu, G.R.; Sun, M.; Jin, Y.; Xu, Y.; Liu, X.; Wang, M.; Liu, M.; Yang, H.; Guan, Y.; et al. Comparative study of the priming effect of abscisic acid on tolerance to saline and alkaline stresses in rice seedlings. Agronomy 2023, 13, 2698. [Google Scholar] [CrossRef]
- Frukh, A.; Siddiqi, T.O.; Khan, M.I.R.; Ahmad, A. Modulation in growth, biochemical attributes and proteome profile of rice cultivars under salt stress. Plant Physiol. Biochem. 2020, 146, 55–70. [Google Scholar] [CrossRef]
- Yan, J.Q.; Gu, Y.B.; Xue, Z.Y.; Zhou, T.Y.; Ge, Q.Q.; Zhang, H.; Liu, L.J.; Wang, Z.Q.; Gu, J.F.; Yang, J.C.; et al. Different responses of rice cultivars to salt stress and the underlying mechanisms. Acta Agron. Sin. 2022, 48, 1462–1475. [Google Scholar] [CrossRef]
- Deng, P.; Jing, W.; Cao, C.; Sun, M.; Chi, W.; Zhao, S.; Dai, J.; Shi, X.; Wu, Q.; Zhang, B.; et al. Transcriptional repressor RST1 controls salt tolerance and grain yield in rice by regulating gene expression of asparagine synthetase. Proc. Natl. Acad. Sci. USA 2022, 13, e2210338119. [Google Scholar] [CrossRef]
- Khumairah, F.H.; Setiawati, M.R.; Fitriatin, B.N.; Simarmata, T.; Alfaraj, S.; Ansari, M.J.; Enshasy, H.A.E.; Sayyed, R.Z.; Najafi, S. Halotolerant plant growth-promoting rhizobacteria isolated from saline soil improve nitrogen fixation and alleviate salt stress in rice plants. Front. Microbiol. 2022, 6, 905210. [Google Scholar] [CrossRef] [PubMed]
- Hou, M.; Yu, M.; Li, Z.; Ai, Z.; Chen, J. Molecular regulatory networks for improving nitrogen use efficiency in rice. Int. J. Mol. Sci. 2021, 22, 9040. [Google Scholar] [CrossRef]
- Wu, L.L.; Yuan, S.; Huang, L.Y.; Sun, F.; Zhu, G.L.; Li, G.H.; Fahad, S.; Peng, S.B.; Wang, F. Physiological mechanisms underlying the high-grain yield and high-nitrogen use efficiency of elite rice varieties under a low rate of nitrogen application in China. Front. Plant Sci. 2016, 7, 1024. [Google Scholar] [CrossRef] [PubMed]
- Liu, X.L.; Ji, P.; Yang, H.T.; Jiang, C.J.; Liang, Z.W.; Chen, Q.Z.; Lu, F.; Chen, X.; Yang, Y.Y.; Zhang, X.B. Priming effect of exogenous ABA on heat stress tolerance in rice seedlings is associated with the upregulation of antioxidative defense capability and heat shock related genes. Plant Growth Regul. 2022, 98, 23–38. [Google Scholar] [CrossRef]
- Liu, X.L.; Zhong, X.; Liao, J.P.; Ji, P.; Yang, J.S.; Cao, Z.R.; Duan, X.M.; Xiong, J.R.; Wang, Y.; Xu, C.; et al. Exogenous abscisic acid improves grain filling capacity under heat stress by enhancing antioxidative defense capability in rice. BMC Plant Biol. 2023, 23, 619. [Google Scholar] [CrossRef] [PubMed]
- Wellburn, A.; Lichtenthaler, H. Formulae and program to determine total carotenoids and chlorophylls A and B of leaf extracts in diferent solvents. Adv. Photosynth. Res. 1984, 2, 9–12. [Google Scholar]
- Wei, L.X.; Lv, B.S.; Wang, M.M.; Ma, H.Y.; Yang, H.Y.; Liu, X.L.; Jiang, C.J.; Liang, Z.W. Priming effect of abscisic acid on alkaline stress tolerance in rice (Oryza sativa L.) seedlings. Plant Physiol. Bioch. 2015, 90, 50–57. [Google Scholar] [CrossRef] [PubMed]
- Elstner, E.F.; Heupel, A. Inhibition of nitrite formation from hydroxylammoniumchloride: A simple assay for superoxide dismutase. Anal. Biochem. 1976, 70, 616–620. [Google Scholar] [CrossRef]
- Brennan, T.; Frenkel, C. Involvement of hydrogen peroxide in the regulation of senescence in pear. Plant Physiol. 1977, 59, 411–416. [Google Scholar] [CrossRef]
- Liu, G.Y.; Du, Q.J.; Li, J.M. Interactive effects of nitrate-ammonium ratios and temperatures ongrowth, photosynthesis, and nitrogen metabolism of tomato seedlings. Sci. Hortic. 2017, 214, 41–50. [Google Scholar] [CrossRef]
- Cataldo, D.; Maroon, M.; Schrader, L.; Youngs, V. Rapid colorimetric determination of nitrate in plant tissue by nitration of salicylic acid 1. Commun. Soil Sci. Plant Anal. 1975, 6, 71–80. [Google Scholar] [CrossRef]
- Piwpuan, N.; Zhai, X.; Brix, H. Nitrogen nutrition of cyperus laevigatus and phormium tenax effects of ammonium versus nitrate on growth, nitrate reductase activity and n uptake kinetics. Aquat. Bot. 2013, 106, 42–51. [Google Scholar] [CrossRef]
- Lin, C.C.; Kao, C.H. Disturbed ammonium assimilation is associated with growth inhibition of roots in rice seedlings caused by NaCl. Plant Growth Regul. 1996, 18, 233–238. [Google Scholar] [CrossRef]
- Liu, X.L.; Zhang, H.; Jin, Y.Y.; Wang, M.M.; Yang, H.Y.; Ma, H.Y.; Jiang, C.J.; Liang, Z.W. Abscisic acid primes rice seedlings for enhanced tolerance to alkaline stress by upregulating antioxidant defense and stress tolerance-related genes. Plant Soil 2019, 438, 39–55. [Google Scholar] [CrossRef]
- Livak, K.J.; Schmittgen, T.D. Analysis of relative gene expression data using real-time quantitative PCR and the 2−∆∆CT method. Methods 2001, 25, 402–408. [Google Scholar] [CrossRef] [PubMed]









| Name | Primers Sequences (F: Forward R: Reverse) |
|---|---|
| OsACT1 | F: TTCCAGCCTTCCTTCATA |
| R: AACGATGTTGCCATATAGAT | |
| TOND1 | F: CCATGAGCTTCTCCTGCAGCT |
| R: AGGAGCGCAGCTTGGAATCGT | |
| OsNPF6.1 | F: GGAGCGGCAAGATCGAGCACACG |
| R: GAGGATGGCGAGGCAGGGGAAGAC | |
| OsP5CS1 | F: TGTGTACCAACGCGCTATGT |
| R: TATATGCATCCACGGCGATA | |
| OsPDH1 | F: GCTACTGGGACTTGGGAGTG |
| R: TCGATTGATACACCAATGTCTG | |
| OsCu/Zn-SOD | F: TGTGACGGGACTTACTCCTGG |
| R: CACCCATTCGTAGTATCGCCA | |
| OsCATB | F: GCTGGTGAGAGATACCGGTCA |
| R: TCAACCCACCGCTGGAGA | |
| OsAKT1 | F: AGAGATCCTTGATTCACTGCC |
| R: TCTACTAACTCCACACTACCAG | |
| OsHKT1 | F: ACACCCAATATTATTCCTCTTAA |
| R: CGGGAATACGCTAAAGG |
Disclaimer/Publisher’s Note: The statements, opinions and data contained in all publications are solely those of the individual author(s) and contributor(s) and not of MDPI and/or the editor(s). MDPI and/or the editor(s) disclaim responsibility for any injury to people or property resulting from any ideas, methods, instructions or products referred to in the content. |
© 2025 by the authors. Licensee MDPI, Basel, Switzerland. This article is an open access article distributed under the terms and conditions of the Creative Commons Attribution (CC BY) license (https://creativecommons.org/licenses/by/4.0/).
Share and Cite
Ji, P.; Xu, C.; Ling, F.; Li, X.; Qi, Z.; Chen, Y.; Liu, X.; Zhang, Z.; Wang, J.; Luo, Z.; et al. Improvement in Nitrogen-Use Efficiency Increases Salt Stress Tolerance in Rice Seedlings and Grain Yield in Salinized Soil. Plants 2025, 14, 556. https://doi.org/10.3390/plants14040556
Ji P, Xu C, Ling F, Li X, Qi Z, Chen Y, Liu X, Zhang Z, Wang J, Luo Z, et al. Improvement in Nitrogen-Use Efficiency Increases Salt Stress Tolerance in Rice Seedlings and Grain Yield in Salinized Soil. Plants. 2025; 14(4):556. https://doi.org/10.3390/plants14040556
Chicago/Turabian StyleJi, Ping, Chen Xu, Fenglou Ling, Xingjie Li, Zexin Qi, Yunfeng Chen, Xiaolong Liu, Zhian Zhang, Jinze Wang, Zhiyang Luo, and et al. 2025. "Improvement in Nitrogen-Use Efficiency Increases Salt Stress Tolerance in Rice Seedlings and Grain Yield in Salinized Soil" Plants 14, no. 4: 556. https://doi.org/10.3390/plants14040556
APA StyleJi, P., Xu, C., Ling, F., Li, X., Qi, Z., Chen, Y., Liu, X., Zhang, Z., Wang, J., Luo, Z., Cheng, Z., & Chen, J. (2025). Improvement in Nitrogen-Use Efficiency Increases Salt Stress Tolerance in Rice Seedlings and Grain Yield in Salinized Soil. Plants, 14(4), 556. https://doi.org/10.3390/plants14040556
