Nitrogen Application Timing and Levels Affect the Fate and Budget of Fertilizer Nitrogen in the Apple–Soil System
Abstract
1. Introduction
2. Results
2.1. Biomass
2.2. Annual Branch Length, Leaf Area, and Chlorophyll Content
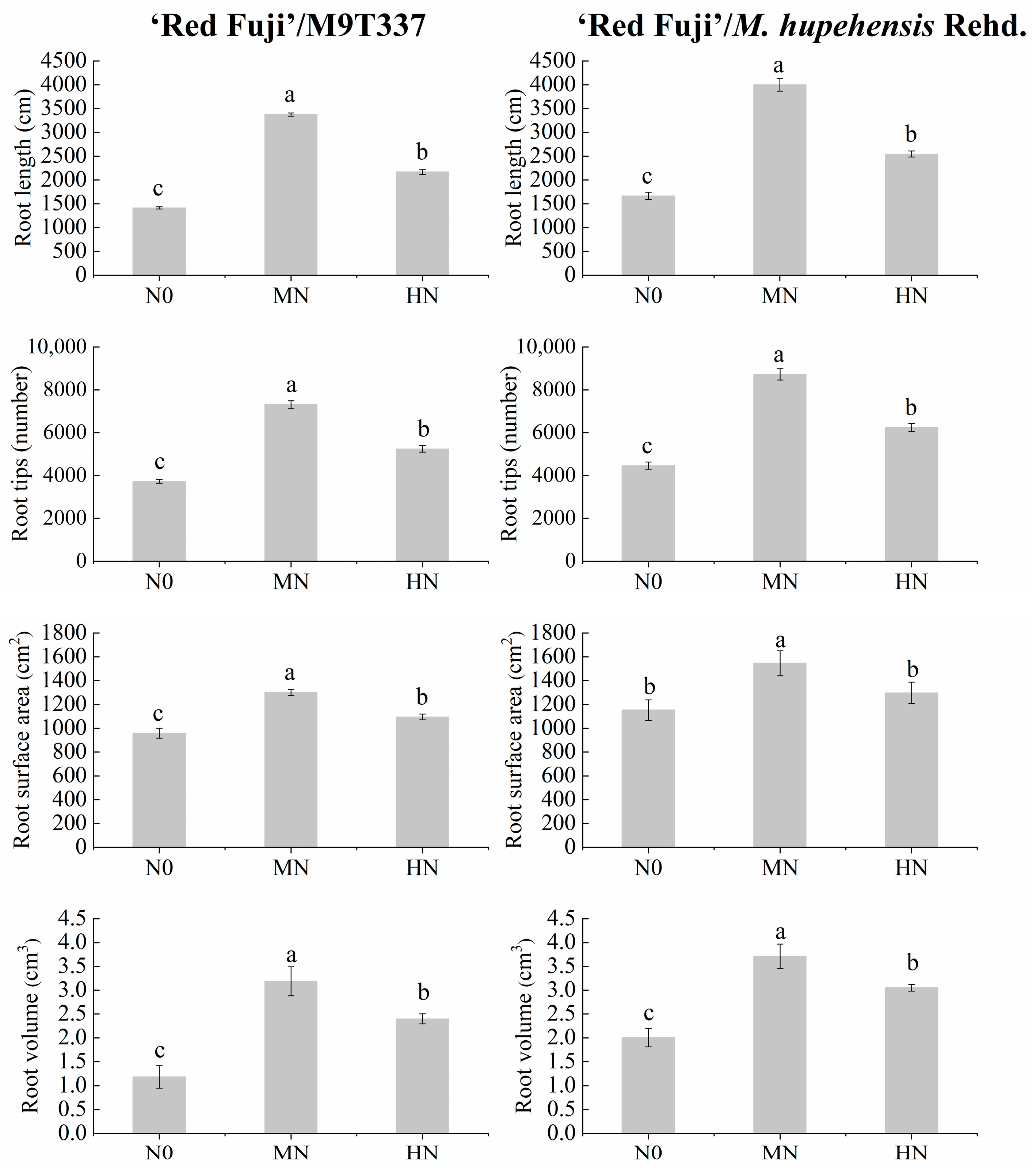
2.3. Root Activity and Root Morphology
2.4. Apple Organ N Derived from Fertilizer (%Ndff) and Soil (%Ndfs)
2.5. 15N Residue
2.6. Utilization, Residue, and Loss of 15N
2.7. MBN
3. Discussion
4. Materials and Methods
4.1. Experimental Site and Materials
4.2. Experimental Design and Sampling
4.3. Annual Branch Length, Leaf Area, and Chlorophyll Content
4.4. Root Activity and Root Morphology
4.5. 15N Abundance
4.6. Statistical Analysis
5. Conclusions
Supplementary Materials
Author Contributions
Funding
Data Availability Statement
Acknowledgments
Conflicts of Interest
References
- FAOSTAT. Statistical Database of the Food and Agricultural Organization of the United Nations. 2022. Available online: https://www.faostat.fao.org (accessed on 10 December 2023).
- Zhao, Z.P.; Yan, S.; Liu, F.; Wang, X.Y.; Tong, Y.A. Analysis of nitrogen inputs and soil nitrogen loading in different kinds of orchards in Shaanxi Province. Acta Oncol. 2014, 34, 5642–5649. [Google Scholar] [CrossRef][Green Version]
- Wang, F.; Ge, S.; Lyu, M.; Liu, J.; Li, M.; Jiang, Y.; Xu, X.; Xing, Y.; Cao, H.; Zhu, Z.; et al. DMPP reduces nitrogen fertilizer application rate, improves fruit quality, and reduces environmental cost of intensive apple production in China. Sci. Total Environ. 2022, 802, 149813. [Google Scholar] [CrossRef]
- Raese, J.T.; Drake, S.R.; Curry, E.A. Nitrogen fertilizer influences fruit quality, soil nutrients and cover crops, leaf color and nitrogen content, biennial bearing and cold hardiness of ‘golden delicious’. J. Plant Nutr. 2007, 30, 1585–1604. [Google Scholar] [CrossRef]
- Ju, X. Direct pathway of nitrate produced from surplus nitrogen inputs to the hydrosphere. Proc. Natl. Acad. Sci. USA 2014, 111, E416. [Google Scholar] [CrossRef]
- Vinzent, B.; Fuß, R.; Maidl, F.X.; Hülsbergen, K.J. N2O emissions and nitrogen dynamics of winter rapeseed fertilized with different N forms and a nitrification inhibitor. Agric. Ecosyst. Environ. 2018, 259, 86–97. [Google Scholar] [CrossRef]
- Ting, L.; Huang, Y.; Song, X.; Deng, O.; Zhou, W.; Luo, L.; Tang, X. Biological nitrification inhibitor co-application with urease inhibitor or biochar yield different synergistic interaction effects on NH3 volatilization, N leaching, and N use efficiency in a calcareous soil under rice cropping. Environ. Pollut. 2022, 293, 118499. [Google Scholar] [CrossRef]
- López-Bellido, L.; López-Bellido, R.J.; López-Bellido, F.J. Fertilizer nitrogen efficiency in durum wheat under rainfed mediterranean conditions: Effect of split application. Agron. J. 2006, 98, 55–62. [Google Scholar] [CrossRef]
- Ge, S.; Jiang, Y.; Wei, S.; Fang, J. Nitrogen balance under different nitrogen application rates in young apple orchards. Plant Nutr. Fert. Sci. 2011, 17, 949–955. [Google Scholar] [CrossRef]
- Ju, X.; Liu, X.; Pan, J.; Zhang, F. Fate of 15N-labeled urea under a winter wheat-summer maize rotation on the North China Plain. Pedosphere 2007, 17, 52–61. [Google Scholar] [CrossRef]
- Yang, Y.; Wang, X.; Dai, K.; Jia, S.; Meng, C.; Zhao, Q.; Zhang, X.; Zhang, D.; Feng, Z.; Sun, Y.; et al. Fate of labeled urea-15N as basal and topdressing applications in an irrigated wheat–maize rotation system in North China Plain: II summer maize. Nutr. Cycl. Agroecosyst. 2011, 90, 379–389. [Google Scholar] [CrossRef]
- Zhang, D.; Li, Q.; Chu, B.; Zou, Y. Effects of nitrogen application levels on apple growth, yield and quality in different periods. Northern Horti. 2022, 17, 42–50. [Google Scholar]
- Zhang, J.; Zhang, L.; Qiu, S. Biochar amendment benefits 15N fertilizer retention and rhizosphere N enrichment in a maize-soil system. Geoderma 2022, 412, 115713. [Google Scholar] [CrossRef]
- Jiang, Z.; Cui, H.; Lin, J.; Mo, C.; Liu, Y.; Li, Y.; Yang, J. Incorporation of spring maize into paddy fields increased nitrogen uptake in late rice by enhancing soil nitrogen supply: Field 15N tracer studies. Field Crop. Res. 2023, 299, 108990. [Google Scholar] [CrossRef]
- Li, X.; Wang, Y.; Feng, G.; Xu, Z.; Meng, F.; Gao, Q. Differential fertilizer nitrogen fates in maize cropping system among three soil textures based on 15N. Field Crop. Res. 2023, 291, 108780. [Google Scholar] [CrossRef]
- Halusková, L.; Valentovicová, K.; Huttová, J.; Mistrík, I.; Tamás, L. Effect of abiotic stresses on glutathione peroxidase and glutathione S-transferase activity in barley root tips. Plant Physiol. Biochem. 2009, 47, 1069–1074. [Google Scholar] [CrossRef]
- Chen, G.; Wang, L.; Fabricel, M.R.; Tian, Y.; Qi, K.; Chen, Q. Physiological and nutritional responses of pear seedlings to nitrate concentrations. Front. Plant Sci. 2018, 9, 1679. [Google Scholar] [CrossRef] [PubMed]
- Stevens, W.B.; Hoeft, R.G.; Mulvaney, R.L. Fate of nitrogen-15 in a long-term nitrogen rate study: I. interactions with soil nitrogen. Agron. J. 2005, 97, 1037–1045. [Google Scholar] [CrossRef]
- Ladha, J.K.; Pathak, H.; Krupnik, T.J.; Six, J.; Kessel, C.V. Efficiency of fertilizer nitrogen in cereal production: Retrospects and prospects. Adv. Agron. 2005, 87, 85–156. [Google Scholar] [CrossRef]
- Sun, C.X.; Hao, L.; Wang, D.; Li, C.; Zhang, C.; Chen, X.; Fu, J.; Zhang, Y.L. Nitrogen utilisation and metabolism in maize (Zea mays L.) plants under different rates of biochar addition and nitrogen input conditions. Plant Biol. 2019, 21, 882–890. [Google Scholar] [CrossRef]
- Webster, A.D. Vigour mechanisms in dwarfing rootstocks for temperate fruit trees. Acta Hortic. 2004, 658, 29–41. [Google Scholar] [CrossRef]
- Zhu, Z.L. Nitrogen management and food production and environment. Acta Pedol. Sin. 2022, 39, 3–11. [Google Scholar]
- Zhao, J.; Yu, Z.; Li, Y.; Wang, X. Effects of nitrogen application rate on soil inorganic nitrogen distribution microbial biomass nitrogen content and yield of wheat. Plant Nutr. Fertil. Sci. 2006, 12, 466–472. [Google Scholar]
- Wang, C.; Lu, X.; Mori, T.; Mao, Q.; Zhou, K.; Zhou, G.; Nie, Y.; Mo, J. Responses of soil microbial community to continuous experimental nitrogen additions for 13 years in a nitrogen-rich tropical forest. Soil Biol. Biochem. 2018, 121, 103–112. [Google Scholar] [CrossRef]
- Mo, X.; Peng, H.; Xin, J.; Wang, S. Analysis of urea nitrogen leaching under high-intensity rainfall using HYDRUS-1D. J. Environ. Manag. 2022, 312, 114900. [Google Scholar] [CrossRef]
- Wang, X.; Wang, Z.; Li, H.; Wang, R.; Li, S. Dynamics and availability to crops of residual fertilizer nitrogen in upland soil. Acta Pedol. Sin. 2016, 53, 1202–1212. [Google Scholar] [CrossRef]
- Cheng, Q.; Ma, J.; Ren, R.; Zheng, L.; Guo, X.; Sun, X. Effects of fertilization management under wspi on soil nitrogen distribution and nitrogen absorption in apple orchard in loess plateau. Agronomy 2020, 10, 1386. [Google Scholar] [CrossRef]
- Jia, S.; Wang, X.; Yang, Y.; Dai, K.; Meng, C.; Zhao, Q.; Zhang, X.; Zhang, D.; Feng, Z.; Sun, Y.; et al. Fate of labeled urea-15N as basal and topdressing applications in an irrigated wheat–maize rotation system in North China Plain: I winter wheat. Nutr. Cycl. Agroecosyst. 2011, 90, 331–346. [Google Scholar] [CrossRef]
- Wang, F.; Ge, S.; Xu, X.; Xing, Y.; Du, X.; Zhang, X.; Lv, M.; Liu, J.; Zhu, Z.; Jiang, Y. Multiomics analysis reveals new insights into the apple fruit quality decline under high nitrogen conditions. J. Agric. Food Chem. 2021, 69, 5559–5572. [Google Scholar] [CrossRef] [PubMed]
- Li, J.; Liu, J.; Wang, G.; Cha, J.Y.; Li, G.; Chen, S.; Li, Z.; Guo, J.; Zhang, C.; Yang, Y.; et al. A chaperone function of NO CATALASE ACTIVITY1 is required to maintain catalase activity and for multiple stress responses in Arabidopsis. Plant Cell 2015, 27, 908–925. [Google Scholar] [CrossRef] [PubMed]
- Liang, H.; Liu, Q.; Gu, J.; Gong, J.; Guan, C.; Lepo, J.E.; Rong, X.; Song, H.; Zhang, Z. V-ATPase and V-PPase at the tonoplast affect NO3− content in Brassica Napus by controlling distribution of NO3− between the cytoplasm and vacuole. J. Plant Growth Regul. 2014, 34, 22–34. [Google Scholar] [CrossRef]
- Liu, C.; Zhou, G.; Qin, H.; Guan, Y.; Wang, T.; Ni, W.; Xie, H.; Xing, Y.; Tian, G.; Lyu, M.; et al. Metabolomics combined with physiology and transcriptomics reveal key metabolic pathway responses in apple plants exposure to different selenium concentrations. J. Hazard. Mater. 2024, 464, 132953. [Google Scholar] [CrossRef] [PubMed]
- Tuo, Y.; Wang, Z.; Zheng, Y. Effect of water and fertilizer regulation on the soil microbial biomass carbon and nitrogen, enzyme activity, and saponin content of Panax notoginseng. Agric. Water Manag. 2023, 278, 108145. [Google Scholar] [CrossRef]
- Liu, L.; Xiao, W.; Li, L. Effect of exogenously applied molybdenum on its absorption and nitrate metabolism in strawberry seedlings. Plant Physiol. Biochem. 2017, 115, 200–211. [Google Scholar] [CrossRef] [PubMed]










| Types of Trees | Treatment | Total N Uptake by Trees (g Plant−1) | N Absorbed from Fertilizer (g Plant−1) | N Absorbed from Soil (g Plant−1) | ||
|---|---|---|---|---|---|---|
| Absorption of Spring N Application | Absorption of Summer N Application | Total | ||||
| ‘Red Fuji’/M9T337 | MN | 55.03 | 7.97 | 10.07 | 18.04 | 36.99 |
| HN | 64.15 *** | 8.65 * | 11.96 ** | 20.62 ** | 43.53 ** | |
| ‘Red Fuji’/M. hupehensis Rehd. | MN | 59.27 | 10.06 | 13.81 | 23.87 | 35.40 |
| HN | 70.56 ** | 10.99 * | 16.73 ** | 27.72 ** | 42.84 * | |
Disclaimer/Publisher’s Note: The statements, opinions and data contained in all publications are solely those of the individual author(s) and contributor(s) and not of MDPI and/or the editor(s). MDPI and/or the editor(s) disclaim responsibility for any injury to people or property resulting from any ideas, methods, instructions or products referred to in the content. |
© 2024 by the authors. Licensee MDPI, Basel, Switzerland. This article is an open access article distributed under the terms and conditions of the Creative Commons Attribution (CC BY) license (https://creativecommons.org/licenses/by/4.0/).
Share and Cite
Wang, F.; Wang, C.; Yang, B.; Luo, X.; Qi, G.; Ji, F.; Guo, X.; Yang, T.; Zhao, X.; Li, M.; et al. Nitrogen Application Timing and Levels Affect the Fate and Budget of Fertilizer Nitrogen in the Apple–Soil System. Plants 2024, 13, 813. https://doi.org/10.3390/plants13060813
Wang F, Wang C, Yang B, Luo X, Qi G, Ji F, Guo X, Yang T, Zhao X, Li M, et al. Nitrogen Application Timing and Levels Affect the Fate and Budget of Fertilizer Nitrogen in the Apple–Soil System. Plants. 2024; 13(6):813. https://doi.org/10.3390/plants13060813
Chicago/Turabian StyleWang, Fen, Chaoran Wang, Binghao Yang, Xinyu Luo, Gaowei Qi, Fajin Ji, Xinkai Guo, Tao Yang, Xuehui Zhao, Ming Li, and et al. 2024. "Nitrogen Application Timing and Levels Affect the Fate and Budget of Fertilizer Nitrogen in the Apple–Soil System" Plants 13, no. 6: 813. https://doi.org/10.3390/plants13060813
APA StyleWang, F., Wang, C., Yang, B., Luo, X., Qi, G., Ji, F., Guo, X., Yang, T., Zhao, X., Li, M., Jiang, Q., Peng, L., & Cao, H. (2024). Nitrogen Application Timing and Levels Affect the Fate and Budget of Fertilizer Nitrogen in the Apple–Soil System. Plants, 13(6), 813. https://doi.org/10.3390/plants13060813

