Soothing the Itch: The Role of Medicinal Plants in Alleviating Pruritus in Palliative Care
Abstract
1. Introduction
2. Pruritus—An Overview
2.1. Mechanism of Pruritus
2.2. Clinical Manifestations
2.3. Causes of Pruritus
2.4. Management of Pruritus
3. Research Methods
4. Antipruritic Medicinal Plants and Their Bioactive Components for Managing Pruritus
4.1. Aloe barbadensis
4.1.1. Active Compounds
4.1.2. Mechanism of Action
4.1.3. Clinical Evidence
4.1.4. Usage and Dosage
4.1.5. Safety and Side Effects
4.2. Calendula officinalis

4.2.1. Active Compounds

4.2.2. Mechanism of Action
Antipruritic Effect
4.2.3. Clinical Evidence
| Type of Study/Pathology | Dosage of Calendula | Principal Outcomes | Reference |
|---|---|---|---|
| Antipruritic effects of the vaginal gel of C. officinalis in treating vaginal dystrophy | Vaginal gel containing aglicon isoflavones 10 mg, L. sporogenes 109 CFU, Calendula officinalis 125 mg, and lactic acid 20 mg (=Estromineral Gel, Rottapharm-Madaus) | The severity of itching, burning, vulvovaginal erythema, vaginal dryness, and dyspareunia significantly reduced during vaginal gel treatment compared with the no topical treatment group. | [116] |
| Diabetic feet and injuries with signs of infection and itching | C. officinalis cream was applied twice daily. | The infection process blocked, reducing itching, redness, pain, dryness’ Disappearance of various scars. | [117] |
| Effects of C. officinalis cream on bacterial vaginosis and pruritus | C. officinalis extract-based cream administered intravaginal for 1 week | Itching was significantly more common in the C. officinalis group than in the metronidazole group. | [118] |
| Oil Mixtures for treating Xerosis with Pruritus in Elderly People | Oil mixtures (C. officinalis, Lavender, Chamomile, Rosemary) on the volar legs twice a day for 4 weeks. | Pruritus severity of the oil mixtures group was significantly decreased than Virgin Coconut Oil (VCO) Skin hydration and sebum levels of the plants’ oil mixture group were significantly increased compared to VCO. Clinical dry score, pruritus severity, skin hydration, and skin sebum levels of plant oil mixtures were significantly better than VCO. | [119] |
| Topical C. officinalis on prevalence of radiation-induced dermatitis (pruritus) | Topical C. officinalis (≤5% v/v) 2–3 days before radiation therapy | Randomized trial showed no difference between C. officinalis and standard of care (Sorbolene) for preventing dermatitis and pruritus. | [120] |
4.2.4. Usage and Dosage
4.2.5. Safety and Side Effects
4.3. Curcuma longa
4.3.1. Active Compounds
4.3.2. Mechanisms of Action
Antipruritic Effect
4.3.3. Clinical Evidence
4.3.4. Usage and Dosage
4.3.5. Safety and Side Effects
4.4. Glycyrrhiza glabra
4.4.1. Active Compounds
4.4.2. Mechanism of Action
Antipruritic Effect
4.4.3. Clinical Evidence
4.4.4. Usage and Dosage
4.4.5. Safety and Side Effects
4.5. Matricaria chamomilla
4.5.1. Active Compounds
4.5.2. Mechanism of Action
4.5.3. Clinical Evidence
4.5.4. Usage and Dosage
4.5.5. Safety and Side Effects
4.6. Lavandula angustifolia

4.6.1. Active Compounds
4.6.2. Mechanism of Action
4.6.3. Clinical Evidence
4.6.4. Usage and Dosage
4.6.5. Safety and Side Effects
4.7. Mentha piperita
4.7.1. Active Compounds
4.7.2. Mechanism of Action
Antipruritic Effect
4.7.3. Clinical Evidence
| Type of Study/Pathology | Dosage of Peppermint | Principal Outcomes | Publication |
|---|---|---|---|
| Pruritus in Pregnant Women (Pruritus Gravidarum) | Bottle containing 60 mL of peppermint oil 0.5% in sesame oil (topical) | pregnant women who were affected by moderate or severe skin itching
| [267] |
| Chronic pruritus (hepatic, renal, and diabetic origin) | 5% of peppermint oil (topical) |
| [268] |
| Wound-healing properties of the essential oil of Mentha piperita | Cream * containing 0.5% (w/w) Mentha piperita essential oil (PEO cream) (topical) * Base cream: sweet almond oil (15–16%), beeswax (3–4%), stearic acid (5–8%), cetyl alcohol (1–1.2%), ceteareth-20 (0.4–0.7%), deionized water (66), glycerine (3.4–5%), trolamine (0.6–0.8%) |
| [278,283] |
| Inhibitory effect of peppermint essential oil on psoriasis in mice through transdermal medication | Peppermint essential oil (PEO) in doses of 0.2 mL/cm2 and 0.4 mL/cm2, with dexamethasone sodium phosphate injection (DSPI) at 50 mg/cm2 as a positive control (topical) |
| [279] |
| Uremic pruritus in hemodialysis patients (chronic kidney disease) | Peppermint essential oil: 1 to 2 drops in the area of itching (topical) |
| [284] |
| Synthetic TRPM8 agonist (Cryosim-1) gel for itch (eczema, chronic urticaria, and postherpetic neuralgia with pruritus) | Gel Cryosim-1 (1-diisopropylphosphorylheptane, Chemical Abstracts Service registry no. 1487170-15-9; Dong Wha Pharmaceutical, Seoul, South Korea): cooling mimetic agent compared to vehicle-only gel on itch (topical) |
| [281,285] |
4.7.4. Usage and Dosage
4.7.5. Safety and Side Effects
4.8. Oenothera biennis
4.8.1. Active Compounds
4.8.2. Mechanism of Action
Antipruritic Effect
4.8.3. Clinical Evidence
4.8.4. Usage and Dosage
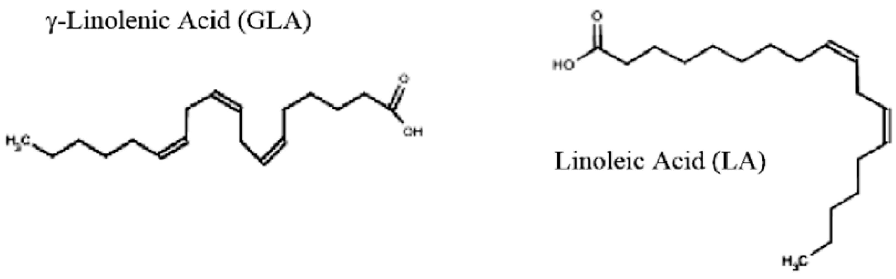
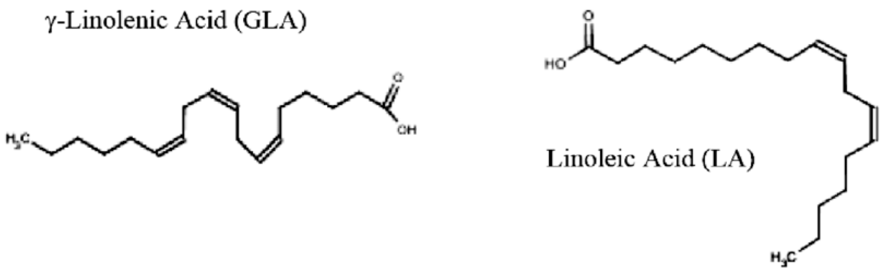
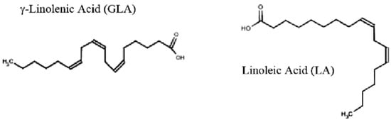
| Constituent | Part of Plant | Method of Extraction | Common Uses | Reference |
|---|---|---|---|---|
| Gamma-Linolenic Acid | Seeds | Cold-Pressed Oil | Oral supplements, topical creams | [313] |
| Linoleic Acid | Seeds | Cold-Pressed Oil | Skin health, barrier function | [303] |
| Phenolic Compounds | Leaves, Stems | Maceration, Infusion | Antioxidant formulations | [314] |
| Flavonoids (e.g., quercetin) | Leaves, Flowers | Maceration, Infusion | Anti-inflammatory applications | [201] |
4.8.5. Safety and Side Effects
5. Discussion
5.1. Potential Interactions Between Medicinal Plants and Standard Palliative Care Drugs
5.2. Challenges in Incorporating Plant-Based Therapies into Daily Medical Practice
5.3. Ethical and Cultural Considerations in Plant-Based Medicine
5.4. Limitations
5.5. Future Research
6. Conclusions
Author Contributions
Funding
Data Availability Statement
Conflicts of Interest
References
- Sofowora, A.; Ogunbodede, E.; Onayade, A. The Role and Place of Medicinal Plants in the Strategies for Disease Prevention. Afr. J. Tradit. Complement. Altern. Med. 2013, 10, 210–229. [Google Scholar] [CrossRef]
- Dawid-Pać, R. Medicinal Plants Used in Treatment of Inflammatory Skin Diseases. Postep. Dermatol. Alergol. 2013, 30, 170–177. [Google Scholar] [CrossRef] [PubMed]
- Assar, D.H.; Elhabashi, N.; Mokhbatly, A.-A.A.; Ragab, A.E.; Elbialy, Z.I.; Rizk, S.A.; Albalawi, A.E.; Althobaiti, N.A.; Al Jaouni, S.; Atiba, A. Wound Healing Potential of Licorice Extract in Rat Model: Antioxidants, Histopathological, Immunohistochemical and Gene Expression Evidences. Biomed. Pharmacother. 2021, 143, 112151. [Google Scholar] [CrossRef]
- Davis, M.P.; Hui, D. Quality of Life in Palliative Care. Expert Rev. Qual. Life Cancer Care 2017, 2, 293–302. [Google Scholar] [CrossRef]
- Seccareccia, D.; Gebara, N. Pruritus in Palliative Care. Can. Fam. Physician 2011, 57, 1010–1013. [Google Scholar] [PubMed]
- Gonçalves, S.; Martins, M.; Caramelo, A.; Magalhães, B.; Matos, R. Exploring Skin Disorders in Palliative Care: A Systematic Review. Palliat. Med. Pract. 2024. [Google Scholar] [CrossRef]
- Smith, P.; Kranyak, A.; Johnson, C.E.; Haran, K.; Liao, W.; Bhutani, T.; Koo, J. Treating Chronic Pruritus: Are We at the Threshold of a Breakthrough? Skin 2024, 8, 1711–1713. [Google Scholar] [CrossRef] [PubMed]
- Song, J.; Xian, D.; Yang, L.; Xiong, X.; Lai, R.; Zhong, J. Pruritus: Progress toward Pathogenesis and Treatment. Biomed. Res. Int. 2018, 2018, 9625936. [Google Scholar] [CrossRef] [PubMed]
- Gonçalves, S.; Castro, J.; Almeida, A.; Monteiro, M.; Rodrigues, T.; Fernandes, R.; Matos, R.S. A Systematic Review of the Therapeutic Properties of Lemon Essential Oil. Adv. Integr. Med. 2024. [Google Scholar] [CrossRef]
- Gonçalves, S.; Gaivão, I. Natural Ingredients in Skincare: A Scoping Review of Efficacy and Benefits. Biomed. Biopharm. Res. 2024, 20, 1–18. [Google Scholar] [CrossRef]
- Gonçalves, S.; Gaivão, I. Natural Ingredients Common in the Trás-Os-Montes Region (Portugal) for Use in the Cosmetic Industry: A Review about Chemical Composition and Antigenotoxic Properties. Molecules 2021, 26, 5255. [Google Scholar] [CrossRef] [PubMed]
- Mahmoud, O.; Oladipo, O.; Mahmoud, R.H.; Yosipovitch, G. Itch: From the Skin to the Brain—Peripheral and Central Neural Sensitization in Chronic Itch. Front. Mol. Neurosci. 2023, 16, 1272230. [Google Scholar] [CrossRef]
- Cevikbas, F.; Lerner, E.A. Physiology and Pathophysiology of Itch. Physiol. Rev. 2020, 100, 945–982. [Google Scholar] [CrossRef]
- Yang, T.-L.B.; Kim, B.S. Clinical Review: Pruritus in Allergy and Immunology. J. Allergy Clin. Immunol. 2019, 144, 353–360. [Google Scholar] [CrossRef] [PubMed]
- Tivoli, Y.A.; Rubenstein, R.M. Pruritus. J. Clin. Aesthet. Dermatol. 2009, 2, 30–36. [Google Scholar] [PubMed]
- Nowak, D.; Yeung, J. Diagnosis and Treatment of Pruritus. Can. Fam. Physician 2017, 63, 918–924. [Google Scholar]
- Kim, J.-C.; Shim, W.-S.; Kwak, I.-S.; Lee, D.-H.; Park, J.-S.; Lee, S.-Y.; Kang, S.-Y.; Chung, B.-Y.; Park, C.-W.; Kim, H.-O. Pathogenesis and Treatment of Pruritus Associated with Chronic Kidney Disease and Cholestasis. Int. J. Mol. Sci. 2023, 24, 1559. [Google Scholar] [CrossRef]
- Tarikci, N.; Kocatürk, E.; Güngör, Ş.; Oğuz Topal, I.; Ülkümen Can, P.; Singer, R. Pruritus in Systemic Diseases: A Review of Etiological Factors and New Treatment Modalities. Sci. World J. 2015, 2015, 803752. [Google Scholar] [CrossRef] [PubMed]
- Pereira, M.P.; Wiegmann, H.; Agelopoulos, K.; Ständer, S. Neuropathic Itch: Routes to Clinical Diagnosis. Front. Med. 2021, 8, 641746. [Google Scholar] [CrossRef] [PubMed]
- Lavery, M.J.; Kinney, M.O.; Mochizuki, H.; Craig, J.; Yosipovitch, G. Pruritus: An Overview. What Drives People to Scratch an Itch? Ulster Med. J. 2016, 85, 164–173. [Google Scholar]
- Misery, L.; Dutray, S.; Chastaing, M.; Schollhammer, M.; Consoli, S.G.; Consoli, S.M. Psychogenic Itch. Transl. Psychiatry 2018, 8, 52. [Google Scholar] [CrossRef]
- Ferreira, B.R.; Katamanin, O.M.; Jafferany, M.; Misery, L. Psychodermatology of Chronic Pruritus: An Overview of the Link Between Itch and Distress. Dermatol. Ther. 2024, 14, 1799–1809. [Google Scholar] [CrossRef]
- Tey, H.L.; Wallengren, J.; Yosipovitch, G. Psychosomatic Factors in Pruritus. Clin. Dermatol. 2013, 31, 31–40. [Google Scholar] [CrossRef] [PubMed]
- Fukasawa, T.; Yoshizaki-Ogawa, A.; Enomoto, A.; Miyagawa, K.; Sato, S.; Yoshizaki, A. Pharmacotherapy of Itch—Antihistamines and Histamine Receptors as G Protein-Coupled Receptors. Int. J. Mol. Sci. 2022, 23, 6579. [Google Scholar] [CrossRef] [PubMed]
- Eichenfield, L.F.; Tom, W.L.; Chamlin, S.L.; Feldman, S.R.; Hanifin, J.M.; Simpson, E.L.; Berger, T.G.; Bergman, J.N.; Cohen, D.E.; Cooper, K.D.; et al. Guidelines of care for the management of atopic dermatitis. J. Am. Acad. Dermatol. 2014, 71, 116–132. [Google Scholar] [CrossRef]
- Johnson, B.B.; Franco, A.I.; Beck, L.A.; Prezzano, J.C. Treatment-resistant atopic dermatitis: Challenges and solutions. Clin. Cosmet. Investig. Dermatol. 2019, 12, 181–192. [Google Scholar] [CrossRef]
- van Zuuren, E.J.; Fedorowicz, Z.; Christensen, R.; Lavrijsen, A.P.; Arents, B.W. Emollients and moisturisers for eczema. Cochrane Database Syst. Rev. 2017, 2017, CD012119. [Google Scholar] [CrossRef]
- Purnamawati, S.; Indrastuti, N.; Danarti, R.; Saefudin, T. The Role of Moisturizers in Addressing Various Kinds of Dermatitis: A Review. Clin. Med. Res. 2017, 15, 75. [Google Scholar] [CrossRef] [PubMed]
- Vanessa, V.V.; Wan Ahmad Kammal, W.S.L.; Lai, Z.W.; How, K.N. A Review of Moisturizing Additives for Atopic Dermatitis. Cosmetics 2022, 9, 75. [Google Scholar] [CrossRef]
- Ravindran, A.; Kunnath, R.P.; Sunny, A.; Vimal, B. Comparison of Safety and Efficacy of Pregabalin versus Gabapentin for the treatment of Uremic Pruritus in Patients with Chronic Kidney Disease on Maintenance Haemodialysis. Indian J. Palliat. Care 2020, 26, 281–286. [Google Scholar] [CrossRef]
- Beck, T.C.; Wilson, E.M.; Wilkes, E.; Lee, L.W.; Norris, R.; Valdebran, M. Kappa opioid agonists in the treatment of itch: Just scratching the surface? Itch 2023, 8, e0072. [Google Scholar] [CrossRef]
- Steinhoff, M.; Cevikbas, F.; Ikoma, A.; Berger, T.G. Pruritus: Management Algorithms and Experimental Therapies. Semin. Cutan. Med. Surg. 2011, 30, 127–137. [Google Scholar] [CrossRef]
- Shabi, I.; Aboudar, Z.; Sidki, M.; Amal, S.; Hocar, O.; Aboudourib, M.; Hamouche, N.; Chettati, M.; Fadili, W.; Laouad, I. Effectiveness of Narrowband Ultraviolet Light in Chronic Kidney Disease-Associated Pruritus. Cureus 2024, 16, e53340. [Google Scholar] [CrossRef] [PubMed]
- Surjushe, A.; Vasani, R.; Saple, D. Aloe Vera: A Short Review. Indian J. Dermatol. 2008, 53, 163–166. [Google Scholar] [CrossRef] [PubMed]
- Chinchilla, N.; Carrera, C.; García Durán, A.; Macias, M.; Torres, A.; Macías, F. Aloe Barbadensis: How a Miraculous Plant Becomes Reality. Phytochem. Rev. 2013, 12, 581–602. [Google Scholar] [CrossRef]
- Grace, O.M.; Buerki, S.; Symonds, M.R.; Forest, F.; van Wyk, A.E.; Smith, G.F.; Klopper, R.R.; Bjorå, C.S.; Neale, S.; Demissew, S.; et al. Evolutionary History and Leaf Succulence as Explanations for Medicinal Use in Aloes and the Global Popularity of Aloe Vera. BMC Evol. Biol. 2015, 15, 29. [Google Scholar] [CrossRef] [PubMed]
- Sánchez, M.; González-Burgos, E.; Iglesias, I.; Gómez-Serranillos, M.P. Pharmacological Update Properties of Aloe Vera and Its Major Active Constituents. Molecules 2020, 25, 1324. [Google Scholar] [CrossRef] [PubMed]
- Bai, Y.; Niu, Y.; Qin, S.; Ma, G. A New Biomaterial Derived from Aloe Vera—Acemannan from Basic Studies to Clinical Application. Pharmaceutics 2023, 15, 1913. [Google Scholar] [CrossRef] [PubMed]
- Minjares-Fuentes, J.; Femenia, A.; Comas-Serra, F.; Rodríguez-González, V. Compositional and Structural Features of the Main Bioactive Polysaccharides Present in the Aloe Vera Plant. J. AOAC Int. 2018, 101, 1711–1719. [Google Scholar] [CrossRef]
- Jettanacheawchankit, S.; Sasithanasate, S.; Sangvanich, P.; Banlunara, W.; Thunyakitpisal, P. Acemannan Stimulates Gingival Fibroblast Proliferation; Expressions of Keratinocyte Growth Factor-1, Vascular Endothelial Growth Factor, and Type I Collagen; and Wound Healing. J. Pharmacol. Sci. 2009, 109, 525–531. [Google Scholar] [CrossRef]
- Nejatzadeh-Barandozi, F. Antibacterial Activities and Antioxidant Capacity of Aloe Vera. Org. Med. Chem. Lett. 2013, 3, 5. [Google Scholar] [CrossRef] [PubMed]
- Hęś, M.; Dziedzic, K.; Górecka, D.; Jędrusek-Golińska, A.; Gujska, E. Aloe vera (L.) Webb.: Natural Sources of Antioxidants—A Review. Plant Foods Hum. Nutr. 2019, 74, 255–265. [Google Scholar] [CrossRef] [PubMed]
- Upadhyay, R. Nutraceutical, Therapeutic, and Pharmaceutical Potential of Aloe Vera: A Review. Int. J. Green Pharm. 2018, 12, S51–S70. [Google Scholar]
- Budai, M.M.; Varga, A.; Milesz, S.; Tőzsér, J.; Benkő, S. Aloe vera Downregulates LPS-Induced Inflammatory Cytokine Production and Expression of NLRP3 Inflammasome in Human Macrophages. Mol. Immunol. 2013, 56, 471–479. [Google Scholar] [CrossRef] [PubMed]
- Wang, F.; Liu, J.; An, Q.; Wang, Y.; Yang, Y.; Huo, T.; Yang, S.; Ju, R.; Quan, Q. Aloe Extracts Inhibit Skin Inflammatory Responses by Regulating NF-κB, ERK, and JNK Signaling Pathways in an LPS-Induced RAW264.7 Macrophages Model. Clin. Cosmet. Investig. Dermatol. 2023, 16, 267. [Google Scholar] [CrossRef] [PubMed]
- Chelu, M.; Musuc, A.M.; Popa, M.; Moreno, J.C. Aloe Vera-Based Hydrogels for Wound Healing: Properties and Therapeutic Effects. Gels 2023, 9, 539. [Google Scholar] [CrossRef] [PubMed]
- Dal’Belo, S.; Gaspar, L.; Campos, P. Moisturizing Effect of Cosmetic Formulations Containing Aloe Vera Extract in Different Concentrations Assessed by Skin Bioengineering Techniques. Ski. Res. Technol. 2006, 12, 241–246. [Google Scholar] [CrossRef] [PubMed]
- Han, J.H.; Kim, H.S. Itch-Relieving Cosmetics. Cosmetics 2024, 11, 114. [Google Scholar] [CrossRef]
- Feily, A.; Namazi, M.R. Aloe Vera in Dermatology: A Brief Review. G. Ital. Dermatol. Venereol. 2009, 144, 85–91. [Google Scholar]
- Shenefelt, P.D. Herbal Treatment for Dermatologic Disorders. In Herbal Medicine: Biomolecular and Clinical Aspects; Benzie, I.F.F., Wachtel-Galor, S., Eds.; CRC Press/Taylor & Francis: Boca Raton, FL, USA, 2011; ISBN 978-1-4398-0713-2. [Google Scholar]
- Svitina, H.; Swanepoel, R.; Rossouw, J.; Netshimbupfe, H.; Gouws, C.; Hamman, J. Treatment of Skin Disorders with Aloe Materials. Curr. Pharm. Des. 2019, 25, 2208–2240. [Google Scholar] [CrossRef] [PubMed]
- Syed, T.A.; Ahmad, S.A.; Holt, A.H.; Ahmad, S.A.; Ahmad, S.H.; Afzal, M. Management of Psoriasis with Aloe Vera Extract in a Hydrophilic Cream: A Placebo-Controlled, Double-Blind Study. Trop. Med. Int. Health 1996, 1, 505–509. [Google Scholar] [CrossRef]
- Elkhawaga, O.Y.; Ellety, M.M.; Mofty, S.O.; Ghanem, M.S.; Mohamed, A.O. Review of Natural Compounds for Potential Psoriasis Treatment. Inflammopharmacology 2023, 31, 1183–1198. [Google Scholar] [CrossRef] [PubMed]
- Hebert, A.A.; Rippke, F.; Weber, T.M.; Nicol, N.H. Efficacy of Nonprescription Moisturizers for Atopic Dermatitis: An Updated Review of Clinical Evidence. Am. J. Clin. Dermatol. 2020, 21, 641–655. [Google Scholar] [CrossRef] [PubMed]
- Davood Hekmatpou, P.; Mehrabi, F.; Kobra Rahzani, P.; Atefeh Aminiyan, P. The Effect of Aloe Vera Clinical Trials on Prevention and Healing of Skin Wound: A Systematic Review. Iran. J. Med. Sci. 2019, 44, 1–9. [Google Scholar]
- Weber, T.M.; Kausch, M.; Rippke, F.; Schoelermann, A.M.; Filbry, A.W. Treatment of Xerosis with a Topical Formulation Containing Glyceryl Glucoside, Natural Moisturizing Factors, and Ceramide. J. Clin. Aesthetic Dermatol. 2012, 5, 29–39. [Google Scholar]
- Mahboub, M.; Attari, A.M.A.; Sheikhalipour, Z.; Attari, M.M.A.; Davami, B.; Amidfar, A.; Lotfi, M. A Comparative Study of the Impacts of Aloe Vera Gel and Silver Sulfadiazine Cream 1% on Healing, Itching and Pain of Burn Wounds: A Randomized Clinical Trial. J. Caring Sci. 2021, 11, 132–138. [Google Scholar] [CrossRef] [PubMed]
- Guo, X.; Mei, N. Aloe vera: A Review of Toxicity and Adverse Clinical Effects. J. Environ. Sci. Health Part C 2016, 34, 77–96. [Google Scholar] [CrossRef]
- WebMD ALOE: Overview, Uses, Side Effects, Precautions, Interactions, Dosing and Reviews. Available online: https://www.webmd.com/vitamins/ai/ingredientmono-607/aloe (accessed on 27 October 2024).
- Mayo Clinic Aloe. Available online: https://www.mayoclinic.org/drugs-supplements-aloe/art-20362267 (accessed on 27 October 2024).
- Foster, M.; Hunter, D.; Samman, S. Evaluation of the Nutritional and Metabolic Effects of Aloe Vera. In Herbal Medicine: Biomolecular and Clinical Aspects; Benzie, I.F.F., Wachtel-Galor, S., Eds.; CRC Press/Taylor & Francis: Boca Raton, FL, USA, 2011; ISBN 978-1-4398-0713-2. [Google Scholar]
- European Medicines Agency. Final Report on the Safety Assessment of Aloe Andongensis Extract, Aloe Andongensis Leaf Juice, Aloe Arborescens Leaf Extract, Aloe Arborescens Leaf Juice, Aloe Arborescens Leaf Protoplasts, Aloe Barbadensis Flower Extract, Aloe Barbadensis Leaf, Aloe Barbadensis Leaf Extract, Aloe Barbadensis Leaf Juice, Aloe Barbadensis Leaf Polysaccharides, Aloe Barbadensis Leaf Water, Aloe Ferox Leaf Extract, Aloe Ferox Leaf Juice, and Aloe Ferox Leaf Juice Extract. Int. J. Toxicol. 2007, 26, 1–50. [Google Scholar] [CrossRef]
- Weiner, C.P.; Mason, C. Drugs for Pregnant and Lactating Women. In Drugs for Pregnant and Lactating Women, 3rd ed.; Weiner, C.P., Mason, C., Eds.; Elsevier: Philadelphia, PA, USA, 2019; pp. 1–58. ISBN 978-0-323-42874-3. [Google Scholar]
- Gupta, R.C.; Chang, D.; Nammi, S.; Bensoussan, A.; Bilinski, K.; Roufogalis, B.D. Interactions between Antidiabetic Drugs and Herbs: An Overview of Mechanisms of Action and Clinical Implications. Diabetol. Metab. Syndr. 2017, 9, 59. [Google Scholar] [CrossRef] [PubMed]
- Chitrakar, B.; Zhang, M.; Bhandari, B. Edible Flowers with the Common Name “Marigold”: Their Therapeutic Values and Processing. Trends Food Sci. Technol. 2019, 89, 76–87. [Google Scholar] [CrossRef]
- Jan, N.; Andrabi, K.; John, R. Calendula officinalis—An Important Medicinal Plant with Potential Biological Properties. Proc. Indian Natl. Sci. Acad. 2017, 83, 769–787. [Google Scholar] [CrossRef]
- Jarić, S.; Kostić, O.; Mataruga, Z.; Pavlović, D.; Pavlović, M.; Mitrović, M.; Pavlović, P. Traditional Wound-Healing Plants Used in the Balkan Region (Southeast Europe). J. Ethnopharmacol. 2018, 211, 311–328. [Google Scholar] [CrossRef]
- Arora, D.; Rani, A.; Sharma, A. A Review on Phytochemistry and Ethnopharmacological Aspects of Genus Calendula. Pharmacogn. Rev. 2013, 7, 179–187. [Google Scholar] [CrossRef] [PubMed]
- Cruceriu, D.; Balacescu, O.; Rakosy, E. Calendula officinalis: Potential Roles in Cancer Treatment and Palliative Care. Integr. Cancer Ther. 2018, 17, 1068–1078. [Google Scholar] [CrossRef] [PubMed]
- Patil, K.; Sanjay, C.J.; Doggalli, N.; Devi, K.R.; Harshitha, N. A Review of Calendula officinalis-Magic in Science. J. Clin. Diagn. Res. 2022, 16, ZE23–ZE27. [Google Scholar]
- Ak, G.; Zengin, G.; Ceylan, R.; Fawzi Mahomoodally, M.; Jugreet, S.; Mollica, A.; Stefanucci, A. Chemical Composition and Biological Activities of Essential Oils from Calendula officinalis L. Flowers and Leaves. Flavour Fragr. J. 2021, 36, 554–563. [Google Scholar] [CrossRef]
- Dhingra, G.; Dhakad, P.; Tanwar, S. Review on Phytochemical Constituents and Pharmacological Activities of Plant Calendula officinalis Linn. Biol. Sci. 2022, 2, 216–228. [Google Scholar] [CrossRef]
- Vitale, S.; Colanero, S.; Placidi, M.; Di Emidio, G.; Tatone, C.; Amicarelli, F.; D’Alessandro, A.M. Phytochemistry and Biological Activity of Medicinal Plants in Wound Healing: An Overview of Current Research. Molecules 2022, 27, 3566. [Google Scholar] [CrossRef] [PubMed]
- Cruceriu, D.; Diaconeasa, Z.; Socaci, S.; Socaciu, C.; Rakosy-Tican, E.; Balacescu, O. Biochemical Profile, Selective Cytotoxicity and Molecular Effects of Calendula officinalis Extracts on Breast Cancer Cell Lines. Not. Bot. Horti Agrobot. Cluj-Napoca 2020, 48, 24–39. [Google Scholar] [CrossRef][Green Version]
- Tanideh, N.; Ghafari, V.; Ebrahimi, R.; Habibagahi, R.; Koohi-Hosseinabadi, O.; Iraji, A. Effects of Calendula officinalis and Hypericum Perforatum on Antioxidant, Anti-Inflammatory, and Histopathology Indices of Induced Periodontitis in Male Rats. J. Dent. 2020, 21, 314–321. [Google Scholar]
- Tung, Y.-T.; Wu, M.-F.; Lee, M.-C.; Wu, J.-H.; Huang, C.-C.; Huang, W.-C. Antifatigue Activity and Exercise Performance of Phenolic-Rich Extracts from Calendula officinalis, Ribes Nigrum, and Vaccinium Myrtillus. Nutrients 2019, 11, 1715. [Google Scholar] [CrossRef]
- Saumya, P.; Shyam, V. The Menace of Dermatophytosis in India: The Evidence That We Need. Indian J. Dermatol. Venereol. Leprol. 2018, 84, 6–15. [Google Scholar]
- Sahingil, D. GC/MS-Olfactometric Characterization of the Volatile Compounds, Determination Antimicrobial and Antioxidant Activity of Essential Oil from Flowers of Calendula (Calendula officinalis L.). J. Essent. Oil Bear. Plants 2019, 22, 1571–1580. [Google Scholar] [CrossRef]
- Dorni, A.I.C.; Amalraj, A.; Gopi, S.; Varma, K.; Anjana, S.N. Novel Cosmeceuticals from Plants—An Industry Guided Review. J. Appl. Res. Med. Aromat. Plants 2017, 7, 1–26. [Google Scholar]
- Martínez, L.G. Preclinical Vascular Activity of an Aqueous Extract from Flowers of Calendula officinalis. J. Pharm. Pharmacol. 2020, 8, 339–344. [Google Scholar] [CrossRef]
- Darekar, D.; Hate, M. Phytochemical Screening of Calendula officinalis (Linn.) Using Gas-Chromatography-Mass Spectroscopy with Potential Antibacterial Activity. J. Sci. Res. 2021, 65, 131–134. [Google Scholar]
- Tavallali, V.; Rahmati, S.; Bahmanzadegan, A.; Lasibi, M.J.M. Phenolic Profile and Evaluation of Antimicrobial and Anticancer Activities of Calendula officinalis L. Using Exogenous Polyamines Application. Ind. Crops Prod. 2024, 214, 118571. [Google Scholar] [CrossRef]
- Silva, D.; Ferreira, M.S.; Sousa-Lobo, J.M.; Cruz, M.T.; Almeida, I.F. Anti-Inflammatory Activity of Calendula officinalis L. Flower Extract. Cosmetics 2021, 8, 31. [Google Scholar] [CrossRef]
- Nicolaus, C.; Junghanns, S.; Hartmann, A.; Murillo, R.; Ganzera, M.; Merfort, I. In Vitro Studies to Evaluate the Wound Healing Properties of Calendula officinalis Extracts. J. Ethnopharmacol. 2017, 196, 94–103. [Google Scholar] [CrossRef] [PubMed]
- Helal, H.A.; Abd El-Rahman, A.N.A.; Younes, S.H.H. Hepatoprotective Effect Of Calendula officinalis Flowers On Ccl4 Induced Rats. J. Home Econ. 2019, 29, 4. [Google Scholar]
- Hernández-Saavedra, D.; Pérez-Ramírez, I.F.; Ramos-Gómez, M.; Mendoza-Díaz, S.; Loarca-Pina, G.; Reynoso-Camacho, R. Phytochemical Characterization and Effect of Calendula officinalis, Hypericum Perforatum, and Salvia Officinalis Infusions on Obesity-Associated Cardiovascular Risk. Med. Chem. Res. 2016, 25, 163–172. [Google Scholar] [CrossRef]
- Faustino, M.V.; Seca, A.M.L.; Silveira, P.; Silva, A.M.S.; Pinto, D.C.G.A. Gas Chromatography–Mass Spectrometry Profile of Four Calendula L. Taxa: A Comparative Analysis. Ind. Crops Prod. 2017, 104, 91–98. [Google Scholar] [CrossRef]
- Ejiohuo, O.; Folami, S.; Maigoro, A.Y. Calendula in Modern Medicine: Advancements in Wound Healing and Drug Delivery Applications. Eur. J. Med. Chem. Rep. 2024, 12, 100199. [Google Scholar] [CrossRef]
- Wan, M.L.Y.; Co, V.A.; El-Nezami, H. Dietary Polyphenol Impact on Gut Health and Microbiota. Crit. Rev. Food Sci. Nutr. 2021, 61, 690–711. [Google Scholar] [CrossRef] [PubMed]
- Shahane, K.; Kshirsagar, M.; Tambe, S.; Jain, D.; Rout, S.; Ferreira, M.K.; Mali, S.; Amin, P.; Srivastav, P.P.; Cruz, J.; et al. An Updated Review on the Multifaceted Therapeutic Potential of Calendula officinalis L. Pharmaceuticals 2023, 16, 611. [Google Scholar] [CrossRef]
- Karnwal, A. In Vitro Antibacterial Activity of Hibiscus Rosa Sinensis, Chrysanthemum Indicum, and Calendula officinalis Flower Extracts against Gram Negative and Gram Positive Food Poisoning Bacteria. Adv. Tradit. Med. 2022, 22, 607–619. [Google Scholar] [CrossRef]
- Davoudabadi, M.; Fahimirad, S.; Ganji, A.; Abtahi, H. Wound Healing and Antibacterial Capability of Electrospun Polyurethane Nanofibers Incorporating Calendula officinalis and Propolis Extracts. J. Biomater. Sci. Polym. Ed. 2023, 34, 1491–1516. [Google Scholar] [CrossRef]
- Givol, O.; Kornhaber, R.; Visentin, D.; Cleary, M.; Haik, J.; Harats, M. A Systematic Review of Calendula officinalis Extract for Wound Healing. Wound Repair Regen. 2019, 27, 548–561. [Google Scholar] [CrossRef] [PubMed]
- Deka, B.; Bhattacharjee, B.; Shakya, A.; Ikbal, A.M.A.; Goswami, C.; Sarma, S. Mechanism of Action of Wound Healing Activity of Calendula officinalis: A Comprehensive Review. Pharm. Biosci. J. 2021, 9, 28–44. [Google Scholar] [CrossRef]
- Huang, W.-H.; Hung, C.-Y.; Chiang, P.-C.; Lee, H.; Lin, I.-T.; Lai, P.-C.; Chan, Y.-H.; Feng, S.-W. Physicochemical Characterization, Biocompatibility, and Antibacterial Properties of CMC/PVA/Calendula officinalis Films for Biomedical Applications. Polymers 2023, 15, 1454. [Google Scholar] [CrossRef] [PubMed]
- Cazzola, M.; Ferraris, S.; Allizond, V.; Bertea, C.M.; Novara, C.; Cochis, A.; Geobaldo, F.; Bistolfi, A.; Cuffini, A.M.; Rimondini, L. Grafting of the Peppermint Essential Oil to a Chemically Treated Ti6Al4V Alloy to Counteract the Bacterial Adhesion. Surf. Coat. Technol. 2019, 378, 125011. [Google Scholar] [CrossRef]
- Rad, Z.P.; Mokhtari, J.; Abbasi, M. Calendula officinalis Extract/PCL/Zein/Gum Arabic Nanofibrous Bio-Composite Scaffolds via Suspension, Two-Nozzle and Multilayer Electrospinning for Skin Tissue Engineering. Int. J. Biol. Macromol. 2019, 135, 530–543. [Google Scholar]
- Barbieri, R.; Coppo, E.; Marchese, A.; Daglia, M.; Sobarzo-Sánchez, E.; Nabavi, S.F.; Nabavi, S.M. Phytochemicals for Human Disease: An Update on Plant-Derived Compounds Antibacterial Activity. Microbiol. Res. 2017, 196, 44–68. [Google Scholar] [CrossRef] [PubMed]
- Ozturk, R.Y.; Cakir, R. In Vitro Anticancer Efficacy of Calendula officinalis Extract-Loaded Chitosan Nanoparticles against Gastric and Colon Cancer Cells. Drug Dev. Ind. Pharm. 2024. [Google Scholar] [CrossRef] [PubMed]
- Osial, M.; Wilczewski, S.; Szulc, J.; Nguyen, H.D.; Nguyen, T.K.O.; Skórczewska, K.; Majkowska-Pilip, A.; Żelechowska-Matysiak, K.; Nieciecka, D.; Pregowska, A.; et al. Nanohydroxyapatite Loaded with 5-Fluorouracil and Calendula officinalis L. Plant Extract Rich in Myo-Inositols for Treatment of Ovarian Cancer Cells. Coatings 2023, 13, 1944. [Google Scholar] [CrossRef]
- Zhai, C.; Shi, C.; Hu, Y.; Xu, Z.; Wang, R. Anti-Breast Carcinoma Effects of Green Synthesized Tin Nanoparticles from Calendula officinalis Leaf Aqueous Extract Inhibits MCF7, Hs 319. T, and MCF10 Cells Proliferation. J. Exp. Nanosci. 2022, 17, 351–361. [Google Scholar] [CrossRef]
- Toropova, A.A.; Sambueva, Z.G.; Razuvaeva, Y.G.; Olennikov, D.N.; Badmaev, N.S.; Nikolaev, S.M.; Khitricheyev, V.E. Influence of Calendula officinalis L. Extract on the Development of Experimental Hepatitis. Probl. Biol. Med. Pharm. Chem. 2024, 27, 38–44. [Google Scholar] [CrossRef]
- Ullah, M.A.; Hassan, A.; Hamza, A. Calendula (Calendula officinalis) Marigold as Medicinal Plant. Orthop. Case Rep. 2023, 2, 1–9. [Google Scholar]
- Gou, J.; Lu, Y.; Xie, M.; Tang, X.; Chen, L.; Zhao, J.; Li, G.; Wang, H. Antimicrobial Activity in Asterceae: The Selected Genera Characterization and against Multidrug Resistance Bacteria. Heliyon 2023, 9, e14985. [Google Scholar] [CrossRef] [PubMed]
- Shimray, S.T.; Sharma, H.K. A Review on: Itch-Causing and Itch-Relieving Plants. Curr. Trends Pharm. Res. 2022, 9, 47–77. [Google Scholar]
- Hong, J.; Buddenkotte, J.; Berger, T.G.; Steinhoff, M. Management of Itch in Atopic Dermatitis. Semin. Cutan. Med. Surg. 2011, 30, 71. [Google Scholar] [CrossRef] [PubMed]
- Simões, F.; Santos, V.; Silva, R.; Silva, R. Effectiveness of Skin Protectors and Calendula officinalis for Prevention and Treatment of Radiodermatitis: An Integrative Review. Rev. Bras. Enferm. 2020, 73, e20190815. [Google Scholar] [CrossRef] [PubMed]
- Savita, M.; Jeevan, P.; Neha, P. Formulation and Development of Sunscreen Stick by Calendula Oil. J. Biotechnol. Food Eng. 2024, 2, 272–276. [Google Scholar]
- Venkatesh, D.P.; Gheena, S.; Ramani, P.; Rajeshkumar, S.; Ramalingam, K. In Vitro Evaluation of Antioxidant and Anti-Inflammatory Potentials of Herbal Formulation Containing Marigold Flower (Calendula officinalis L.) Tea. Cureus 2023, 15, e43308. [Google Scholar] [CrossRef] [PubMed]
- EMAE. Calendula officinalis L., Flos; European Medicines Agency: London, UK, 2008. [Google Scholar]
- ESCOP Monographs. Calendulae Flos (Calendula Flower); ESCOP: New York, NY, USA, 2019. [Google Scholar]
- Smith, S.H.; Peredo, C.E.; Takeda, Y.; Bui, T.; Neil, J.; Rickard, D.; Millerman, E.; Therrien, J.P.; Nicodeme, E.; Brusq, J.M.; et al. Development of a Topical Treatment for Psoriasis Targeting RORγ: From Bench to Skin. PLoS ONE 2016, 11, e0147979. [Google Scholar] [CrossRef]
- Tanwar, A. Natural Compounds in Psoriasis Management: A Review. Int. J. Pharmacogn. 2023, 10, 489–510. [Google Scholar]
- Nourbakhsh, S.M.A.-K. Effect of Topical Application of the Cream Containing Magnesium 2% on Treatment of Diaper Dermatitis and Diaper Rash in Children A Clinical Trial Study. J. Clin. Diagn. Res. 2016, 10, WC04. [Google Scholar] [CrossRef] [PubMed]
- Fan, M.; Feng, M.; Yuan, S. Chinese Clinical Practice Guidelines for the Prevention and Treatment of Radiation-induced Dermatitis. Precis. Radiat. Oncol. 2023, 7, 160–172. [Google Scholar] [CrossRef]
- Tedeschi, C.; Benvenuti, C.; EG, R.G. Comparison of Vaginal Gel Isoflavones versus No Topical Treatment in Vaginal Dystrophy: Results of a Preliminary Prospective Study. Gynecol. Endocrinol. 2012, 28, 652–654. [Google Scholar] [CrossRef] [PubMed]
- Cioinac, S.E. Use of Calendula Cream Balm to Medicate the Feet of Diabetic Patients: Case Series. Int. J. Nurs. Sci. 2016, 3, 102–112. [Google Scholar] [CrossRef][Green Version]
- Pazhohideh, Z.; Mohammadi, S.; Bahrami, N.; Mojab, F.; Abedi, P.; Maraghi, E. The Effect of Calendula officinalis versus Metronidazole on Bacterial Vaginosis in Women: A Double-Blind Randomized Controlled Trial. J. Adv. Pharm. Technol. Res. 2018, 9, 15–19. [Google Scholar] [PubMed]
- Yahya, Y.F.; Vani, O.; Putra, D.E.W.; Sovianti, C.S.; Trislinawati, D.; Marina, T.; Riviati, N. The Efficacy and Safety of Plant Oil Mixtures in the Treatment of Xerosis with Pruritus in Elderly People: Randomized Double Blind Controlled Trial. Biosci. Med. J. Biomed. Transl. Res. 2020, 5, 255–262. [Google Scholar] [CrossRef]
- Siddiquee, S.; McGee, M.A.; Vincent, A.D.; Giles, E.; Clothier, R.; Carruthers, S.; Penniment, M. Efficacy of Topical Calendula officinalis on Prevalence of Radiation-induced Dermatitis: A Randomised Controlled Trial. Australas. J. Dermatol. 2021, 62, e35–e40. [Google Scholar] [CrossRef]
- Panahi, Y.; Sharif, M.R.; Sharif, A.; Beiraghdar, F.; Zahiri, Z.; Amirchoopani, G.; Marzony, E.T.; Sahebkar, A. A Randomized Comparative Trial on the Therapeutic Efficacy of Topical Aloe Vera and Calendula officinalis on Diaper Dermatitis in Children. Sci. World J. 2012, 2012, 810234. [Google Scholar] [CrossRef] [PubMed]
- Gonçalves, S.; Peixoto, F.; Schoss, K.; Glavač, N.K.; Gaivão, I. Elderberry Hydrolate: Exploring Chemical Profile, Antioxidant Potency and Antigenotoxicity for Cosmetic Applications. Appl. Sci. 2024, 14, 6338. [Google Scholar] [CrossRef]
- Barnes, J.; Anderson, L.A.; Phillipson, J.D. Herbal Medicines; CABI: Wallingford, UK, 2007; ISBN 0853696233. [Google Scholar]
- European Medicines Agency. Calendulae Flos—Herbal Medicinal Product; European Medicines Agency: Amsterdam, The Netherlands, 2018.
- Bradley, P. British Herbal Compendium: A Handbook of Scientific Information on Widely Used Plant Drugs; British Herbal Medicine Association: Exeter, UK, 1992; Volume 2, ISBN 0903032120/9780903032124. [Google Scholar]
- Singh, R.P.; Jain, D.A. Evaluation of Antimicrobial Activity of Curcuminoids Isolated from Turmeric. Int. J. Pharm. Life Sci. 2012, 3, 1368–1376. [Google Scholar]
- Amalraj, A.; Pius, A.; Gopi, S.; Gopi, S. Biological Activities of Curcuminoids, Other Biomolecules from Turmeric and Their Derivatives—A Review. J. Tradit. Complement. Med. 2017, 7, 205–233. [Google Scholar] [CrossRef] [PubMed]
- UTAD, J.B. Jardim Botânico UTAD | Multimedia 41331. Available online: https://jb.utad.pt/multimedia/41331 (accessed on 31 October 2024).
- Zhang, H.A.; Kitts, D.D. Turmeric and Its Bioactive Constituents Trigger Cell Signaling Mechanisms That Protect against Diabetes and Cardiovascular Diseases. Mol. Cell. Biochem. 2021, 476, 3785–3814. [Google Scholar] [CrossRef]
- Tanvir, E.M.; Hossen, M.S.; Hossain, M.F.; Afroz, R.; Gan, S.H.; Khalil, M.I.; Karim, N. Antioxidant Properties of Popular Turmeric (Curcuma Longa) Varieties from Bangladesh. J. Food Qual. 2017, 2017, 8471785. [Google Scholar] [CrossRef]
- Peng, Y.; Ao, M.; Dong, B.; Jiang, Y.; Yu, L.; Chen, Z.; Hu, C.; Xu, R. Anti-Inflammatory Effects of Curcumin in the Inflammatory Diseases: Status, Limitations and Countermeasures. Drug Des. Dev. Ther. 2021, 15, 4503–4525. [Google Scholar] [CrossRef]
- Ragunathan, I.; Panneerselvam, N. Antimutagenic Potential of Curcumin on Chromosomal Aberrations in Allium Cepa. J. Zhejiang Univ. Sci. B 2007, 8, 470–475. [Google Scholar] [CrossRef][Green Version]
- Hussain, Y.; Alam, W.; Ullah, H.; Dacrema, M.; Daglia, M.; Khan, H.; Arciola, C.R. Antimicrobial Potential of Curcumin: Therapeutic Potential and Challenges to Clinical Applications. Antibiotics 2022, 11, 322. [Google Scholar] [CrossRef]
- Tomeh, M.A.; Hadianamrei, R.; Zhao, X. A Review of Curcumin and Its Derivatives as Anticancer Agents. Int. J. Mol. Sci. 2019, 20, 1033. [Google Scholar] [CrossRef]
- Nisar, T.; Iqbal, M.; Raza, A.; Safdar, M.; Iftikhar, F.; Waheed, M. Turmeric: A Promising Spice for Phytochemical and Antimicrobial Activities. J. Agric. Environ. Sci. 2015, 15, 1278–1288. [Google Scholar]
- Lee, H.K.; Park, S.B.; Chang, S.-Y.; Jung, S.J. Antipruritic Effect of Curcumin on Histamine-Induced Itching in Mice. Korean J. Physiol. Pharmacol. 2018, 22, 547–554. [Google Scholar] [CrossRef] [PubMed]
- Vaughn, A.R.; Branum, A.; Sivamani, R.K. Effects of Turmeric (Curcuma Longa) on Skin Health: A Systematic Review of the Clinical Evidence. Phytother. Res. 2016, 1264, 1243–1264. [Google Scholar] [CrossRef] [PubMed]
- Kumar, B.; Aggarwal, R.; Prakash, U.; Sahoo, P.K. Emerging Therapeutic Potential of Curcumin in the Management of Dermatological Diseases: An Extensive Review of Drug and Pharmacological Activities. Future J. Pharm. Sci. 2023, 9, 42. [Google Scholar] [CrossRef]
- Mohammadi, S.G.; Kafeshani, M.; Bagherniya, M.; Kesharwani, P.; Sahebkar, A. Exploring Curcumin’s Healing Properties in the Treatment of Atopic Dermatitis. Food Biosci. 2024, 59, 104144. [Google Scholar] [CrossRef]
- Panahi, Y.; Sahebkar, A.; Amiri, M.; Davoudi, S.M.; Beiraghdar, F.; Hoseininejad, S.L.; Kolivand, M. Improvement of Sulphur Mustard-Induced Chronic Pruritus, Quality of Life and Antioxidant Status by Curcumin: Results of a Randomised, Double-Blind, Placebo-Controlled Trial. Br. J. Nutr. 2012, 108, 1272–1279. [Google Scholar] [CrossRef] [PubMed]
- Kasprzak-Drozd, K.; Niziński, P.; Hawrył, A.; Gancarz, M.; Hawrył, D.; Oliwa, W.; Pałka, M.; Markowska, J.; Oniszczuk, A. Potential of Curcumin in the Management of Skin Diseases. Int. J. Mol. Sci. 2024, 25, 3617. [Google Scholar] [CrossRef] [PubMed]
- Kunnumakkara, A.B.; Hegde, M.; Parama, D.; Girisa, S.; Kumar, A.; Daimary, U.D.; Garodia, P.; Yenisetti, S.C.; Oommen, O.V.; Aggarwal, B.B. Role of Turmeric and Curcumin in Prevention and Treatment of Chronic Diseases: Lessons Learned from Clinical Trials. ACS Pharmacol. Transl. Sci. 2023, 6, 447–518. [Google Scholar] [CrossRef] [PubMed]
- Chainani-Wu, N. Safety and Anti-Inflammatory Activity of Curcumin: A Component of Tumeric (Curcuma Longa). J. Altern. Complement. Med. 2003, 9, 161–168. [Google Scholar] [CrossRef] [PubMed]
- Pandit, S.; Kim, H.J.; Kim, J.E.; Jeon, J.G. Separation of an Effective Fraction from Turmeric against Streptococcus Mutans Biofilms by the Comparison of Curcuminoid Content and Anti-Acidogenic Activity. Food Chem. 2011, 126, 1565–1570. [Google Scholar] [CrossRef] [PubMed]
- Vollono, L.; Falconi, M.; GAziano, R.; Iacovelli, F.; Dika, E.; Terraciano, C.; Bianchi, L.; Campione, E. Potential of Curcumin in Skin Disorders. Nutrients 2019, 11, 2169. [Google Scholar] [CrossRef]
- Paramasivam, M.; Poi, R.; Banerjee, H.; Bandyopadhyay, A. High-Performance Thin Layer Chromatographic Method for Quantitative Determination of Curcuminoids in Curcuma Longa Germplasm. Food Chem. 2009, 113, 640–644. [Google Scholar] [CrossRef]
- Hewlings, S.J.; Kalman, D.S. Curcumin: A Review of Its Effects on Human Health. Foods 2017, 6, 92–98. [Google Scholar] [CrossRef] [PubMed]
- El-Saadony, M.T.; Yang, T.; Korma, S.A.; Sitohy, M.; Abd El-Mageed, T.A.; Selim, S.; Al Jaouni, S.K.; Salem, H.M.; Mahmmod, Y.; Soliman, S.M.; et al. Impacts of Turmeric and Its Principal Bioactive Curcumin on Human Health: Pharmaceutical, Medicinal, and Food Applications: A Comprehensive Review. Front. Nutr. 2023, 9, 1040259. [Google Scholar] [CrossRef]
- Guimarães, A.F.; Andrade Vinhas, A.C.; Ferraz Gomes, A.; Humberto Souza, L.; Krepsky, P.B. Essential Oil of Curcuma Longa L. Rhizomes Chemical Composition, Yeald Variation and Stability. Quim. Nova 2020, 43, 909–913. [Google Scholar] [CrossRef]
- Shahidi, F.; Hossain, A. Bioactives in Spices, and Spice Oleoresins: Phytochemicals and Their Beneficial Effects in Food Preservation and Health Promotion. J. Food Bioact. 2018, 3, 8–75. [Google Scholar] [CrossRef]
- Kohli, K.; Ali, J.; Ansari, M.J.; Raheman, Z. Curcumin: A Natural Antiinflammatory Agent. Indian J. Pharmacol. 2005, 37, 141–147. [Google Scholar] [CrossRef]
- Shishodia, S.; Amin, H.M.; Lai, R.; Aggarwal, B.B. Curcumin (Diferuloylmethane) Inhibits Constitutive NF-κB Activation, Induces G1/S Arrest, Suppresses Proliferation, and Induces Apoptosis in Mantle Cell Lymphoma. Biochem. Pharmacol. 2005, 70, 700–713. [Google Scholar] [CrossRef] [PubMed]
- Sterniczuk, B.; Rossouw, P.E.; Michelogiannakis, D.; Javed, F. Effectiveness of Curcumin in Reducing Self-Rated Pain-Levels in the Orofacial Region: A Systematic Review of Randomized-Controlled Trials. Int. J. Environ. Res. Public Health 2022, 19, 6443. [Google Scholar] [CrossRef]
- Nelson, K.M.; Dahlin, J.L.; Bisson, J.; Graham, J.; Pauli, G.F.; Walters, M.A. The Essential Medicinal Chemistry of Curcumin. J. Med. Chem. 2017, 60, 1620–1637. [Google Scholar] [CrossRef]
- Daniel, S.; Limson, J.L.; Dairam, A.; Watkins, G.M.; Daya, S. Through Metal Binding, Curcumin Protects against Lead- and Cadmium-Induced Lipid Peroxidation in Rat Brain Homogenates and against Lead-Induced Tissue Damage in Rat Brain. J. Inorg. Biochem. 2004, 98, 266–275. [Google Scholar] [CrossRef]
- Garodia, P.; Hegde, M.; Kunnumakkara, A.B.; Aggarwal, B.B. Curcumin, Inflammation, and Neurological Disorders: How Are They Linked? Integr. Med. Res. 2023, 12, 100968. [Google Scholar] [CrossRef] [PubMed]
- Benameur, T.; Giacomucci, G.; Panaro, M.A.; Ruggiero, M.; Trotta, T.; Monda, V.; Pizzolorusso, I.; Lofrumento, D.D.; Porro, C.; Messina, G. New Promising Therapeutic Avenues of Curcumin in Brain Diseases. Molecules 2022, 27, 236. [Google Scholar] [CrossRef] [PubMed]
- Safari, S.; Davoodi, P.; Soltani, A.; Fadavipour, M.; Rezaeian, A.R.; Heydari, F.; Khazeei Tabari, M.A.; Akhlaghdoust, M. Curcumin Effects on Chronic Obstructive Pulmonary Disease: A Systematic Review. Health Sci. Rep. 2023, 6, e1145. [Google Scholar] [CrossRef]
- Lelli, D.; Sahebkar, A.; Johnston, T.P.; Pedone, C. Curcumin Use in Pulmonary Diseases: State of the Art and Future Perspectives. Pharmacol. Res. 2017, 115, 133–148. [Google Scholar] [CrossRef] [PubMed]
- Al-Dujaili, E.A.S.; Hajleh, M.N.A. Effects of Curcumin Intake on CVD Risk Factors and Exercise-Induced Oxidative Stress in Healthy Volunteers—An Exploratory Study. Biol. Life Sci. Forum 2022, 12, 29. [Google Scholar] [CrossRef]
- Cox, F.F.; Misiou, A.; Vierkant, A.; Ale-Agha, N.; Grandoch, M.; Haendeler, J.; Altschmied, J. Protective Effects of Curcumin in Cardiovascular Diseases—Impact on Oxidative Stress and Mitochondria. Cells 2022, 11, 342. [Google Scholar] [CrossRef] [PubMed]
- Rajasekaran, S.A. Therapeutic Potential of Curcumin in Gastrointestinal Diseases. World J. Gastrointest. Pathophysiol. 2011, 2, 1–14. [Google Scholar] [CrossRef]
- Ji, J.; Ma, Z.; Wang, Y. Advancing Gastrointestinal Health: Curcumin’s Efficacy and Nanopreparations. Molecules 2024, 29, 1659. [Google Scholar] [CrossRef]
- Farzaei, M.H.; Zobeiri, M.; Parvizi, F.; El-Senduny, F.F.; Marmouzi, I.; Coy-Barrera, E.; Naseri, R.; Nabavi, S.M.; Rahimi, R.; Abdollahi, M. Curcumin in Liver Diseases: A Systematic Review of the Cellular Mechanisms of Oxidative Stress and Clinical Perspective. Nutrients 2018, 10, 855. [Google Scholar] [CrossRef] [PubMed]
- Jalali, M.; Mahmoodi, M.; Mosallanezhad, Z.; Jalali, R.; Imanieh, M.H.; Moosavian, S.P. The Effects of Curcumin Supplementation on Liver Function, Metabolic Profile and Body Composition in Patients with Non-Alcoholic Fatty Liver Disease: A Systematic Review and Meta-Analysis of Randomized Controlled Trials. Complement. Ther. Med. 2020, 48, 102283. [Google Scholar] [CrossRef] [PubMed]
- Zeng, Y.; Luo, Y.; Wang, L.; Zhang, K.; Peng, J.; Fan, G. Therapeutic Effect of Curcumin on Metabolic Diseases: Evidence from Clinical Studies. Int. J. Mol. Sci. 2023, 24, 3323. [Google Scholar] [CrossRef] [PubMed]
- Nurcahyanti, A.D.R.; Cokro, F.; Wulanjati, M.P.; Mahmoud, M.F.; Wink, M.; Sobeh, M. Curcuminoids for Metabolic Syndrome: Meta-Analysis Evidences Toward Personalized Prevention and Treatment Management. Front. Nutr. 2022, 9, 891339. [Google Scholar] [CrossRef]
- Zoi, V.; Galani, V.; Lianos, G.D.; Voulgaris, S.; Kyritsis, A.P.; Alexiou, G.A. The Role of Curcumin in Cancer Treatment. Biomedicines 2021, 9, 1086. [Google Scholar] [CrossRef] [PubMed]
- Kabir, M.T.; Rahman, M.H.; Akter, R.; Behl, T.; Kaushik, D.; Mittal, V.; Pandey, P.; Akhtar, M.F.; Saleem, A.; Albadrani, G.M.; et al. Potential Role of Curcumin and Its Nanoformulations to Treat Various Types of Cancers. Biomolecules 2021, 11, 392. [Google Scholar] [CrossRef] [PubMed]
- Ferreira, V.H.; Nazli, A.; Dizzell, S.E.; Mueller, K.; Kaushic, C. The Anti-Inflammatory Activity of Curcumin Protects the Genital Mucosal Epithelial Barrier from Disruption and Blocks Replication of HIV-1 and HSV-2. PLoS ONE 2015, 10, e0124903. [Google Scholar] [CrossRef] [PubMed]
- Xue, W.Y.; Qi, J.C.; Du, L. Intervention Effect and Mechanism of Curcumin in Chronic Urinary Tract Infection in Rats. Asian Pac. J. Trop. Med. 2017, 10, 594–598. [Google Scholar] [CrossRef] [PubMed]
- Di Nardo, V.; Gianfaldoni, S.; Tchernev, G.; Wollina, U.; Barygina, V.; Lotti, J.; Daaboul, F.; Lotti, T. Use of Curcumin in Psoriasis. Open Access Maced. J. Med. Sci. 2018, 6, 218–220. [Google Scholar] [CrossRef] [PubMed]
- Zhang, S.; Wang, J.; Liu, L.; Sun, X.; Zhou, Y.; Chen, S.; Lu, Y.; Cai, X.; Hu, M.; Yan, G.; et al. Efficacy and Safety of Curcumin in Psoriasis: Preclinical and Clinical Evidence and Possible Mechanisms. Front. Pharmacol. 2022, 13, 903160. [Google Scholar] [CrossRef] [PubMed]
- Boscariol, R.; Oliveira Junior, J.M.; Baldo, D.A.; Balcão, V.M.; Vila, M.M.D.C. Transdermal Permeation of Curcumin Promoted by Choline Geranate Ionic Liquid: Potential for the Treatment of Skin Diseases. Saudi Pharm. J. 2022, 30, 382–397. [Google Scholar] [CrossRef] [PubMed]
- Benameur, T.; Soleti, R.; Panaro, M.A.; La Torre, M.E.; Monda, V.; Messina, G.; Porro, C. Curcumin as Prospective Anti-Aging Natural Compound: Focus on Brain. Molecules 2021, 26, 4794. [Google Scholar] [CrossRef]
- Zia, A.; Farkhondeh, T.; Pourbagher-Shahri, A.M.; Samarghandian, S. The Role of Curcumin in Aging and Senescence: Molecular Mechanisms. Biomed. Pharmacother. 2021, 134, 111119. [Google Scholar] [CrossRef] [PubMed]
- Kumari, A.; Raina, N.; Wahi, A.; Goh, K.W.; Sharma, P.; Nagpal, R.; Jain, A.; Ming, L.C.; Gupta, M. Wound-Healing Effects of Curcumin and Its Nanoformulations: A Comprehensive Review. Pharmaceutics 2022, 14, 2288. [Google Scholar] [CrossRef]
- Akbik, D.; Ghadiri, M.; Chrzanowski, W.; Rohanizadeh, R. Curcumin as a Wound Healing Agent. Life Sci. 2014, 116, 1–7. [Google Scholar] [CrossRef]
- Zhang, Y.F.; Wang, D.X.; Liao, C.H.; Liu, X.J.; Zhang, L.L.; Wang, P.R.; Wang, X. Curcumin-Mediated Photodynamic Therapy for Mild to Moderate Acne: A Self-Controlled Split-Face Randomized Study. Photodiagnosis Photodyn. Ther. 2024, 45, 103887. [Google Scholar] [CrossRef]
- Barchitta, M.; Maugeri, A.; Favara, G.; San Lio, R.M.; Evola, G.; Agodi, A.; Basile, G. Nutrition and Wound Healing: An Overview Focusing on the Beneficial Effects of Curcumin. Int. J. Mol. Sci. 2019, 20, 1119. [Google Scholar] [CrossRef] [PubMed]
- Gupta, K.; Harvima, I.T. Mast Cell-Neural Interactions Contribute to Pain and Itch. Immunol. Rev. 2018, 282, 168–187. [Google Scholar] [CrossRef]
- Oetjen, L.K.; Mack, M.R.; Feng, J.; Whelan, T.M.; Niu, H.; Guo, C.J.; Chen, S.; Trier, A.M.; Xu, A.Z.; Tripathi, S.V.; et al. Sensory Neurons Co-Opt Classical Immune Signaling Pathways to Mediate Chronic Itch. Cell 2017, 171, 217–228.e13. [Google Scholar] [CrossRef] [PubMed]
- Trinh, H.T.; Bae, E.A.; Lee, J.J.; Kim, D.H. Inhibitory Effects of Curcuminoids on Passive Cutaneous Anaphylaxis Reaction and Scratching Behavior in Mice. Arch. Pharmacal Res. 2009, 32, 1783–1787. [Google Scholar] [CrossRef] [PubMed]
- Pakfetrat, M.; Basiri, F.; Malekmakan, L.; Roozbeh, J. Effects of Turmeric on Uremic Pruritus in End Stage Renal Disease Patients: A Double-Blind Randomized Clinical Trial. J. Nephrol. 2014, 27, 203–207. [Google Scholar] [CrossRef] [PubMed]
- Chatterjee, S.; Datta, R.N.; Bhattacharyya, D.; Bandopadhyay, S.K. Emollient and Antipruritic Effect of Itch Cream in Dermatological Disorders: A Randomized Controlled Trial. Indian J. Pharmacol. 2005, 37, 253–254. [Google Scholar] [CrossRef]
- Calapai, G.; Miroddi, M.; Minciullo, P.L.; Caputi, A.P.; Gangemi, S.; Schmidt, R.J. Contact Dermatitis as an Adverse Reaction to Some Topically Used European Herbal Medicinal Products—Part 1: Achillea Millefolium-Curcuma Longa. Contact Dermat. 2014, 71, 1–12. [Google Scholar] [CrossRef]
- Shoba, G.; Joy, D.; Joseph, T.; Majeed, M.; Rajendran, R.; Srinivas, P.S.S.R. Influence of Piperine on the Pharmacokinetics of Curcumin in Animals and Human Volunteers. Planta Med. 1998, 64, 353–356. [Google Scholar] [CrossRef]
- Gupta, S.C.; Patchva, S.; Aggarwal, B.B. Therapeutic Roles of Curcumin: Lessons Learned from Clinical Trials. AAPS J. 2013, 15, 195–218. [Google Scholar] [CrossRef] [PubMed]
- Basnet, P.; Skalko-Basnet, N. Curcumin: An Anti-Inflammatory Molecule from a Curry Spice on the Path to Cancer Treatment. Molecules 2011, 16, 4567–4598. [Google Scholar] [CrossRef] [PubMed]
- Lao, C.D.; Ruffin IV, M.T.; Normolle, D.; Heath, D.D.; Murray, S.I.; Bailey, J.M.; Boggs, M.E.; Crowell, J.; Rock, C.L.; Brenner, D.E. Dose Escalation of a Curcuminoid Formulation. BMC Complement. Altern. Med. 2006, 6, 4–7. [Google Scholar] [CrossRef]
- Wahab, S.; Annadurai, S.; Abullais, S.S.; Das, G.; Ahmad, W.; Ahmad, M.F.; Kandasamy, G.; Vasudevan, R.; Ali, M.S.; Amir, M. Glycyrrhiza Glabra (Licorice): A Comprehensive Review on Its Phytochemistry, Biological Activities, Clinical Evidence and Toxicology. Plants 2021, 10, 2751. [Google Scholar] [CrossRef] [PubMed]
- Yang, R.; Yuan, B.-C.; Ma, Y.-S.; Zhou, S.; Liu, Y. The Anti-Inflammatory Activity of Licorice, a Widely Used Chinese Herb. Pharm. Biol. 2016, 55, 5–18. [Google Scholar] [CrossRef] [PubMed]
- Pastorino, G.; Cornara, L.; Soares, S.; Rodrigues, F.; Oliveira, M.B.P. Liquorice (Glycyrrhiza Glabra): A Phytochemical and Pharmacological Review. Phytother. Res. 2018, 32, 2323. [Google Scholar] [CrossRef]
- Ji, X.; Liu, N.; Huang, S.; Zhang, C. A Comprehensive Review of Licorice: The Preparation, Chemical Composition, Bioactivities and Its Applications. Am. J. Chin. Med. 2024, 52, 667–716. [Google Scholar] [CrossRef] [PubMed]
- Hoffmann, J.; Gendrisch, F.; Schempp, C.M.; Wölfle, U. New Herbal Biomedicines for the Topical Treatment of Dermatological Disorders. Biomedicines 2020, 8, 27. [Google Scholar] [CrossRef] [PubMed]
- Saeedi, M.; Morteza-Semnani, K.; Ghoreishi, M.-R. The Treatment of Atopic Dermatitis with Licorice Gel. J. Dermatol. Treat. 2003, 14, 153–157. [Google Scholar] [CrossRef]
- Licorice Root: Usefulness and Safety. Available online: https://www.nccih.nih.gov/health/licorice-root (accessed on 4 November 2024).
- Bisht, D.; Rashid, M.; Arya, R.K.K.; Kumar, D.; Chaudhary, S.K.; Rana, V.S.; Sethiya, N.K. Revisiting Liquorice (Glycyrrhiza glabra L.) as Anti-Inflammatory, Antivirals and Immunomodulators: Potential Pharmacological Applications with Mechanistic Insight. Phytomedicine Plus 2021, 2, 100206. [Google Scholar] [CrossRef] [PubMed]
- Wang, Y.; Zhang, Y.; Peng, G.; Han, X. Glycyrrhizin Ameliorates Atopic Dermatitis-like Symptoms through Inhibition of HMGB1. Int. Immunopharmacol. 2018, 60, 9–17. [Google Scholar] [CrossRef] [PubMed]
- Hasan, M.K.; Ara, I.; Mondal, M.S.A.; Kabir, Y. Phytochemistry, Pharmacological Activity, and Potential Health Benefits of Glycyrrhiza Glabra. Heliyon 2021, 7, e07240. [Google Scholar] [CrossRef] [PubMed]
- Ullah, A.; Munir, S.; Badshah, S.L.; Khan, N.; Ghani, L.; Poulson, B.G.; Emwas, A.-H.; Jaremko, M. Important Flavonoids and Their Role as a Therapeutic Agent. Molecules 2020, 25, 5243. [Google Scholar] [CrossRef]
- Leite, C.d.S.; Bonafé, G.A.; Pires, O.C.; dos Santos, T.W.; Pereira, G.P.; Pereira, J.A.; Rocha, T.; Martinez, C.A.R.; Ortega, M.M.; Ribeiro, M.L. Dipotassium Glycyrrhizininate Improves Skin Wound Healing by Modulating Inflammatory Process. Int. J. Mol. Sci. 2023, 24, 3839. [Google Scholar] [CrossRef]
- Aghababaei, F.; Hadidi, M. Recent Advances in Potential Health Benefits of Quercetin. Pharmaceuticals 2023, 16, 1020. [Google Scholar] [CrossRef]
- Cao, L.-J.; Hou, Z.-Y.; Zhang, B.-K.; Fang, P.-F.; Xiang, D.; Li, Z.-H.; Gong, H.; Deng, Y.; Ma, Y.-X.; Tang, H.-B.; et al. The Ethanol Extract of Licorice (Glycyrrhiza Uralensis) Protects against Triptolide-Induced Oxidative Stress through Activation of Nrf2. Evid.-Based Complement. Altern. Med. 2017, 2017, 2752389. [Google Scholar] [CrossRef] [PubMed]
- Batiha, G.E.-S.; Beshbishy, A.M.; El-Mleeh, A.; Abdel-Daim, M.M.; Devkota, H.P. Traditional Uses, Bioactive Chemical Constituents, and Pharmacological and Toxicological Activities of Glycyrrhiza Glabra L. (Fabaceae). Biomolecules 2020, 10, 352. [Google Scholar] [CrossRef] [PubMed]
- Furuhashi, I.; Iwata, S.; Shibata, S.; Sato, T.; Inoue, H. Inhibition by Licochalcone A, a Novel Flavonoid Isolated from Liquorice Root, of IL-1β-Induced PGE 2 Production in Human Skin Fibroblasts. J. Pharm. Pharmacol. 2006, 57, 1661–1666. [Google Scholar] [CrossRef]
- Huang, Q.-C.; Wang, M.-J.; Chen, X.-M.; Yu, W.-L.; Chu, Y.-L.; He, X.-H.; Huang, R.-Y. Can Active Components of Licorice, Glycyrrhizin and Glycyrrhetinic Acid, Lick Rheumatoid Arthritis? Oncotarget 2015, 7, 1193. [Google Scholar] [CrossRef] [PubMed]
- Kim, H.J.; Seo, J.-Y.; Suh, H.-J.; Lim, S.S.; Kim, J.-S. Antioxidant Activities of Licorice-Derived Prenylflavonoids. Nutr. Res. Pract. 2012, 6, 491. [Google Scholar] [CrossRef]
- Shu, J.; Cui, X.; Liu, X.; Yu, W.; Zhang, W.; Huo, X.; Lu, C. Licochalcone A Inhibits IgE-Mediated Allergic Reaction through PLC/ERK/STAT3 Pathway. Int. J. Immunopathol. Pharmacol. 2022, 36, 03946320221135462. [Google Scholar] [CrossRef] [PubMed]
- Hu, H.; Lei, Y.; Zhang, W.; Xiong, P.; Song, L.; Luo, X.; Jia, B.; Zhang, F. Anti-Inflammatory Activity and Safety of Compound Glycyrrhizin in Ulcerative Colitis: A Systematic Review and Meta-Analysis of Randomized Controlled Trials. J. Funct. Foods 2022, 91, 105004. [Google Scholar] [CrossRef]
- Min, M.; Tarmaster, A.; Bodemer, A.; Sivamani, R.K. The Influence of a Plant-Based Diet on Skin Health: Inflammatory Skin Diseases, Skin Healing, and Plant-Based Sources of Micro- and Macro-Nutrients. Life 2024, 14, 1439. [Google Scholar] [CrossRef] [PubMed]
- Noriaki, I.; Hiroshi, K.; Yasuhiro, H.; Kimio, Y.; Atsushi, I. Effects of Glycyrrhizin and Glycyrrhetinic Acid on Dexamethasone-Induced Changes in Histamine Synthesis of Mouse Mastocytoma P-815 Cells and in Histamine Release from Rat Peritoneal Mast Cells. Biochem. Pharmacol. 1989, 38, 2521–2526. [Google Scholar] [CrossRef] [PubMed]
- Xu, W.; Li, Y.; Ju, M.; Lai, W.; Lu, X.; Shi, H.; Shi, W.; Gu, H.; Li, L. A Multicenter, Randomized, Double-Blind, Placebo-Controlled Study of Compound Glycyrrhizin Capsules Combined with a Topical Corticosteroid in Adults with Chronic Eczema. Evid.-Based Complement. Altern. Med. 2020, 2020, 6127327. [Google Scholar] [CrossRef]
- Dorsareh, F.; Vahid-Dastjerdi, G.; Bouyahya, A.; Zarshenas, M.M.; Rezaie, M.; Yang, W.M.; Amiri-Ardekani, E. Topical Licorice for Aphthous: A Systematic Review of Clinical Trials. Iran. J. Med. Sci. 2023, 48, 437–447. [Google Scholar] [CrossRef]
- Kwon, Y.-J.; Son, D.-H.; Chung, T.-H.; Lee, Y.-J. A Review of the Pharmacological Efficacy and Safety of Licorice Root from Corroborative Clinical Trial Findings. J. Med. Food 2020, 23, 12–20. [Google Scholar] [CrossRef] [PubMed]
- AlDehlawi, H.; Jazzar, A. The Power of Licorice (Radix glycyrrhizae) to Improve Oral Health: A Comprehensive Review of Its Pharmacological Properties and Clinical Implications. Healthcare 2023, 11, 2887. [Google Scholar] [CrossRef] [PubMed]
- Singh, O.; Khanam, Z.; Misra, N.; Srivastava, M.K. Chamomile (Matricaria chamomilla L.): An Overview. Pharmacogn. Rev. 2011, 5, 82–95. [Google Scholar] [CrossRef]
- Sah, A.; Naseef, P.P.; Kuruniyan, M.S.; Jain, G.K.; Zakir, F.; Aggarwal, G. A Comprehensive Study of Therapeutic Applications of Chamomile. Pharmaceuticals 2022, 15, 1284. [Google Scholar] [CrossRef] [PubMed]
- UTAD, J.B. Jardim Botânico UTAD | Espécie Matricaria Recutita. Available online: https://jb.utad.pt/especie/Matricaria_recutita (accessed on 5 November 2024).
- Srivastava, J.K.; Shankar, E.; Gupta, S. Chamomile: A Herbal Medicine of the Past with Bright Future. Mol. Med. Rep. 2010, 3, 895–901. [Google Scholar] [CrossRef]
- Salehi, B.; Venditti, A.; Sharifi-Rad, M.; Kręgiel, D.; Sharifi-Rad, J.; Durazzo, A.; Lucarini, M.; Santini, A.; Souto, E.B.; Novellino, E.; et al. The Therapeutic Potential of Apigenin. Int. J. Mol. Sci. 2019, 20, 1305. [Google Scholar] [CrossRef]
- Li, G.; Wu, H.; Sun, L.; Cheng, K.; Lv, Z.; Chen, K.; Qian, F.; Li, Y. (-)-α-Bisabolol Alleviates Atopic Dermatitis by Inhibiting MAPK and NF-κB Signaling in Mast Cell. Molecules 2022, 27, 3985. [Google Scholar] [CrossRef] [PubMed]
- Eddin, L.B.; Jha, N.K.; Goyal, S.N.; Agrawal, Y.O.; Subramanya, S.B.; Bastaki, S.M.A.; Ojha, S. Health Benefits, Pharmacological Effects, Molecular Mechanisms, and Therapeutic Potential of α-Bisabolol. Nutrients 2022, 14, 1370. [Google Scholar] [CrossRef]
- El Mihyaoui, A.; Esteves da Silva, J.C.G.; Charfi, S.; Candela Castillo, M.E.; Lamarti, A.; Arnao, M.B. Chamomile (Matricaria chamomilla L.): A Review of Ethnomedicinal Use, Phytochemistry and Pharmacological Uses. Life 2022, 12, 479. [Google Scholar] [CrossRef] [PubMed]
- Zhang, L.; Liang, X.; Wang, B.; Lin, Z.; Ye, M.; Ma, R.; Zheng, M.; Xiang, H.; Xu, P. Six Herbs Essential Oils Suppressing Inflammatory Responses via Inhibiting COX-2/TNF-α/IL-6/NF-κB Activation. Microchem. J. 2020, 156, 104769. [Google Scholar] [CrossRef]
- Chamomile—Special Subjects. Available online: https://www.msdmanuals.com/professional/special-subjects/dietary-supplements/chamomile (accessed on 23 November 2024).
- Charousaei, F.; Dabirian, A.; Mojab, F. Using Chamomile Solution or a 1% Topical Hydrocortisone Ointment in the Management of Peristomal Skin Lesions in Colostomy Patients: Results of a Controlled Clinical Study. Ostomy Wound Manag. 2011, 57, 28–36. [Google Scholar]
- Maleki, M.; Mardani, A.; Manouchehri, M.; Ashghali Farahani, M.; Vaismoradi, M.; Glarcher, M. Effect of Chamomile on the Complications of Cancer: A Systematic Review. Integr. Cancer Ther. 2023, 22, 15347354231164600. [Google Scholar] [CrossRef] [PubMed]
- Lee, S.-H.; Heo, Y.; Kim, Y.-C. Effect of German Chamomile Oil Application on Alleviating Atopic Dermatitis-like Immune Alterations in Mice. J. Vet. Sci. 2010, 11, 35–41. [Google Scholar] [CrossRef] [PubMed]
- 7 Ways to Soothe Your Skin with the Benefits of Chamomile. Available online: https://www.healthline.com/health/beauty-skin-care/chamomile-benefits-for-skin (accessed on 23 November 2024).
- Kolanos, R.; Stice, S.A. Chapter 44—German Chamomile. In Nutraceuticals, 2nd ed.; Gupta, R.C., Lall, R., Srivastava, A., Eds.; Academic Press: Cambridge, MA, USA, 2021; pp. 757–772. ISBN 978-0-12-821038-3. [Google Scholar]
- Batiha, G.E.-S.; Teibo, J.O.; Wasef, L.; Shaheen, H.M.; Akomolafe, A.P.; Teibo, T.K.A.; Al-kuraishy, H.M.; Al-Garbeeb, A.I.; Alexiou, A.; Papadakis, M. A Review of the Bioactive Components and Pharmacological Properties of Lavandula Species. Naunyn-Schmiedeberg’s Arch. Pharmacol. 2023, 396, 877. [Google Scholar] [CrossRef] [PubMed]
- Larit, F.; León, F. Therapeutics to Treat Psychiatric and Neurological Disorders: A Promising Perspective from Algerian Traditional Medicine. Plants 2023, 12, 3860. [Google Scholar] [CrossRef]
- Koulivand, P.H.; Ghadiri, M.K.; Gorji, A. Lavender and the Nervous System. Evid.-Based Complement. Altern. Med. 2013, 2013, 681304. [Google Scholar] [CrossRef] [PubMed]
- Sato, H.; Kato, K.; Koreishi, M.; Nakamura, Y.; Tsujino, Y.; Satoh, A. Aromatic Oil from Lavender as an Atopic Dermatitis Suppressant. PLoS ONE 2024, 19, e0296408. [Google Scholar] [CrossRef]
- Roh, Y.S.; Choi, J.; Sutaria, N.; Kwatra, S.G. Itch: Epidemiology, Clinical Presentation, and Diagnostic Workup. J. Am. Acad. Dermatol. 2021, 86, 1–14. [Google Scholar] [CrossRef]
- Maintz, L.; Bieber, T.; Simpson, H.D.; Demessant-Flavigny, A.-L. From Skin Barrier Dysfunction to Systemic Impact of Atopic Dermatitis: Implications for a Precision Approach in Dermocosmetics and Medicine. J. Pers. Med. 2022, 12, 893. [Google Scholar] [CrossRef]
- UTAD, J.B. Jardim Botânico UTAD | Espécie Lavandula Angustifolia. Available online: https://jb.utad.pt/especie/Lavandula_angustifolia (accessed on 5 November 2024).
- Diass, K.; Merzouki, M.; Elfazazi, K.; Azzouzi, H.; Challioui, A.; Azzaoui, K.; Hammouti, B.; Touzani, R.; Depeint, F.; Ayerdi Gotor, A.; et al. Essential Oil of Lavandula Officinalis: Chemical Composition and Antibacterial Activities. Plants 2023, 12, 1571. [Google Scholar] [CrossRef] [PubMed]
- Peana, A.T.; D’Aquila, P.S.; Panin, F.; Serra, G.; Pippia, P.; Moretti, M.D.L. Anti-Inflammatory Activity of Linalool and Linalyl Acetate Constituents of Essential Oils. Phytomedicine 2002, 9, 721–726. [Google Scholar] [CrossRef]
- Koto, R.; Imamura, M.; Watanabe, C.; Obayashi, S.; Shiraishi, M.; Sasaki, Y.; Azuma, H. Linalyl Acetate as a Major Ingredient of Lavender Essential Oil Relaxes the Rabbit Vascular Smooth Muscle through Dephosphorylation of Myosin Light Chain. J. Cardiovasc. Pharmacol. 2006, 48, 850–856. [Google Scholar] [CrossRef]
- Pries, R.; Jeschke, S.; Leichtle, A.; Bruchhage, K.-L. Modes of Action of 1,8-Cineol in Infections and Inflammation. Metabolites 2023, 13, 751. [Google Scholar] [CrossRef] [PubMed]
- Francomano, F.; Caruso, A.; Barbarossa, A.; Fazio, A.; La Torre, C.; Ceramella, J.; Mallamaci, R.; Saturnino, C.; Iacopetta, D.; Sinicropi, M.S. β-Caryophyllene: A Sesquiterpene with Countless Biological Properties. Appl. Sci. 2019, 9, 5420. [Google Scholar] [CrossRef]
- Jha, N.K.; Sharma, C.; Hashiesh, H.M.; Arunachalam, S.; Meeran, M.N.; Javed, H.; Patil, C.R.; Goyal, S.N.; Ojha, S. β-Caryophyllene, A Natural Dietary CB2 Receptor Selective Cannabinoid Can Be a Candidate to Target the Trinity of Infection, Immunity, and Inflammation in COVID-19. Front. Pharmacol. 2021, 12, 590201. [Google Scholar] [CrossRef]
- Mahmood, Z.; Sami, S.; Ahmed, D. Reviews A Review about Lavender Importance. Russ. J. Biol. Res. 2020, 7, 14–20. [Google Scholar] [CrossRef]
- Kandilarov, I.; Gardjeva, P.; Georgieva-Kotetarova, M.; Zlatanova, H.; Vilmosh, N.; Kostadinova, I.; Katsarova, M.; Atliev, K.; Dimitrova, S. Effect of Plant Extracts Combinations on TNF-α, IL-6 and IL-10 Levels in Serum of Rats Exposed to Acute and Chronic Stress. Plants 2023, 12, 3049. [Google Scholar] [CrossRef] [PubMed]
- Nara, H.; Watanabe, R. Anti-Inflammatory Effect of Muscle-Derived Interleukin-6 and Its Involvement in Lipid Metabolism. Int. J. Mol. Sci. 2021, 22, 9889. [Google Scholar] [CrossRef]
- Tanaka, T.; Narazaki, M.; Kishimoto, T. IL-6 in Inflammation, Immunity, and Disease. Cold Spring Harb. Perspect. Biol. 2014, 6, a016295. [Google Scholar] [CrossRef]
- dos Santos, É.R.Q.; Maia, J.G.S.; Fontes-Júnior, T.; do Socorro Ferraz Maia, E.A. Linalool as a Therapeutic and Medicinal Tool in Depression Treatment: A Review. Curr. Neuropharmacol. 2022, 20, 1073. [Google Scholar] [CrossRef] [PubMed]
- López, V.; Nielsen, B.; Solas, M.; Ramírez, M.J.; Jäger, A.K. Exploring Pharmacological Mechanisms of Lavender (Lavandula Angustifolia) Essential Oil on Central Nervous System Targets. Front. Pharmacol. 2017, 8, 280. [Google Scholar] [CrossRef] [PubMed]
- Orchard, A.; van Vuuren, S. Commercial Essential Oils as Potential Antimicrobials to Treat Skin Diseases. Evid.-Based Complement. Altern. Med. 2017, 2017, 4517971. [Google Scholar] [CrossRef] [PubMed]
- Ro, Y.-J.; Ha, H.-C.; Kim, C.-G.; Yeom, H.-A. The Effects of Aromatherapy on Pruritus in Patients Undergoing Hemodialysis. Dermatol. Nurs. 2002, 14, 231–234, 237–238, 256; quiz 239. [Google Scholar]
- Dale, A.; Cornwell, S. The Role of Lavender Oil in Relieving Perineal Discomfort Following Childbirth: A Blind Randomized Clinical Trial. J. Adv. Nurs. 1994, 19, 89–96. [Google Scholar] [CrossRef]
- da Silva, G.L.; Luft, C.; Lunardelli, A.; Amaral, R.H.; Melo, D.A.d.S.; Donadio, M.V.F.; Nunes, F.B.; de Azambuja, M.S.; Santana, J.C.; Moraes, C.M.B.; et al. Antioxidant, Analgesic and Anti-Inflammatory Effects of Lavender Essential Oil. An. Acad. Bras. Cienc. 2015, 87, 1397–1408. [Google Scholar] [CrossRef]
- Panahi, Y.; Akhavan, A.; Sahebkar, A.; Hosseini, S.M.; Taghizadeh, M.; Akbari, H.; Sharif, M.R.; Imani, S. Investigation of the Effectiveness of Syzygium Aromaticum, Lavandula Angustifolia and Geranium Robertianum Essential Oils in the Treatment of Acute External Otitis: A Comparative Trial with Ciprofloxacin. J. Microbiol. Immunol. Infect. 2014, 47, 211–216. [Google Scholar] [CrossRef] [PubMed]
- Abedian, S.; Abedi, P.; Jahanfar, S.; Iravani, M.; Zahedian, M. The Effect of Lavender on Pain and Healing of Episiotomy: A Systematic Review. Complement. Ther. Med. 2020, 53, 102510. [Google Scholar] [CrossRef]
- Sheikhan, F.; Jahdi, F.; Khoei, E.M.; Shamsalizadeh, N.; Sheikhan, M.; Haghani, H. Episiotomy Pain Relief: Use of Lavender Oil Essence in Primiparous Iranian Women. Complement. Ther. Clin. Pract. 2012, 18, 66–70. [Google Scholar] [CrossRef]
- Fahimnia, F.; Nemattalab, M.; Hesari, Z. Development and Characterization of a Topical Gel, Containing Lavender (Lavandula angustifolia) Oil Loaded Solid Lipid Nanoparticles. BMC Complement. Med. Ther. 2024, 24, 155. [Google Scholar] [CrossRef]
- Jones, C. The Efficacy of Lavender Oil on Perineal Trauma: A Review of the Evidence. Complement. Ther. Clin. Pract. 2011, 17, 215–220. [Google Scholar] [CrossRef]
- Simaei, S.R.; Askari, V.R.; Rostami, M.; Kamalinejad, M.; Farzaei, M.H.; Morovati, M.; Heydarpour, F.; Jafari, Z.; Baradaran Rahimi, V. Lavender and Metformin Effectively Propagate Progesterone Levels in Patients with Polycystic Ovary Syndrome: A Randomized, Double-Blind Clinical Trial. Fitoterapia 2024, 172, 105720. [Google Scholar] [CrossRef]
- Kim, H.M.; Cho, S.H. Lavender Oil Inhibits Immediate-Type Allergic Reaction in Mice and Rats. J. Pharm. Pharmacol. 1999, 51, 221–226. [Google Scholar] [CrossRef]
- Lavender Oil for Skin. Available online: https://www.healthline.com/health/lavender-oil-for-skin (accessed on 31 October 2024).
- Essential Oil for Burns: Lavender, Peppermint, Best, and More. Available online: https://www.healthline.com/health/essential-oil-for-burns (accessed on 31 October 2024).
- Tisserand, R.; Young, R. Essential Oil Safety, 2nd ed.; Churchill Livingstone: London, UK, 2013; ISBN 978-0-443-06241-4. [Google Scholar]
- Lavender Allergy: Symptoms, Causes, Treatment & More. Available online: https://www.healthline.com/health/lavender-allergy (accessed on 31 October 2024).
- Ueno-Iio, T.; Shibakura, M.; Yokota, K.; Aoe, M.; Hyoda, T.; Shinohata, R.; Kanehiro, A.; Tanimoto, M.; Kataoka, M. Lavender Essential Oil Inhalation Suppresses Allergic Airway Inflammation and Mucous Cell Hyperplasia in a Murine Model of Asthma. Life Sci. 2014, 108, 109–115. [Google Scholar] [CrossRef]
- Akhavan Amjadi, M.; Mojab, F.; Kamranpour, S.B. The Effect of Peppermint Oil on Symptomatic Treatment of Pruritus in Pregnant Women. Iran. J. Pharm. Res. 2012, 11, 1073–1077. [Google Scholar]
- Elsaie, L.T.; El Mohsen, A.M.; Ibrahim, I.M.; Mohey-Eddin, M.H.; Elsaie, M.L. Effectiveness of Topical Peppermint Oil on Symptomatic Treatment of Chronic Pruritus. Clin. Cosmet. Investig. Dermatol. 2016, 9, 333–338. [Google Scholar] [CrossRef]
- Nogueira, T.; Cunha, A.P.; Roque, O.R. Plantas Aromáticas e Óleos Essenciais: Composição e Aplicações; Fundação Calouste Gulbenkian: Lisboa, Portugal, 2012; ISBN 978-972-31-1450-8. [Google Scholar]
- Cunha, P.; Silva, A.P.; Roque, O.R. Plantas e Produtos Vegetais em Fitoterapia, 4th ed.; Fundação Calouste Gulbenkian: Lisboa, Portugal, 2012. [Google Scholar]
- Baudoux, D. O Grande Manual Da Aromaterapia de Dominique Baudoux; Editora Laszlo: Belo Horizonte, Brazil, 2019. [Google Scholar]
- Tayarani-Najaran, Z.; Talasaz-Firoozi, E.; Nasiri, R.; Jalali, N.; Hassanzadeh, M. Antiemetic Activity of Volatile Oil from Mentha Spicata and Mentha × Piperita in Chemotherapy-Induced Nausea and Vomiting. Ecancermedicalscience 2013, 7, 290. [Google Scholar] [CrossRef]
- Göbel, H.; Schmidt, G.; Soyka, D. Effect of Peppermint and Eucalyptus Oil Preparations on Neurophysiological and Experimental Algesimetric Headache Parameters. Cephalalgia 1994, 14, 228–234; discussion 182. [Google Scholar] [CrossRef] [PubMed]
- Göbel, H.; Fresenius, J.; Heinze, A.; Dworschak, M.; Soyka, D. Effectiveness of Oleum menthae piperitae and paracetamol in therapy of headache of the tension type. Nervenarzt 1996, 67, 672–681. [Google Scholar] [CrossRef]
- Price, S. Aromaterapia e as Emoções: Como Usar Óleos Essenciais Para Equilibrar o Corpo e a Mente; Bertrand Brasil: Rio de Janeiro, Brazil, 2002. [Google Scholar]
- Fernández-Carvajal, A.; Fernández-Ballester, G.; Ferrer-Montiel, A. TRPV1 in Chronic Pruritus and Pain: Soft Modulation as a Therapeutic Strategy. Front. Mol. Neurosci. 2022, 15, 930964. [Google Scholar] [CrossRef] [PubMed]
- Oh, J.Y.; Park, M.A.; Kim, Y.C. Peppermint Oil Promotes Hair Growth without Toxic Signs. Toxicol. Res. 2014, 30, 297–304. [Google Scholar] [CrossRef]
- Hudz, N.; Kobylinska, L.; Pokajewicz, K.; Horčinová Sedláčková, V.; Fedin, R.; Voloshyn, M.; Myskiv, I.; Brindza, J.; Wieczorek, P.P.; Lipok, J. Mentha piperita: Essential Oil and Extracts, Their Biological Activities, and Perspectives on the Development of New Medicinal and Cosmetic Products. Molecules 2023, 28, 7444. [Google Scholar] [CrossRef] [PubMed]
- Zhao, H.; Ren, S.; Yang, H.; Tang, S.; Guo, C.; Liu, M.; Tao, Q.; Ming, T.; Xu, H. Peppermint Essential Oil: Its Phytochemistry, Biological Activity, Pharmacological Effect and Application. Biomed. Pharmacother. 2022, 154, 113559. [Google Scholar] [CrossRef]
- Singh, P.; Pandey, A. Prospective of Essential Oils of the Genus Mentha as Biopesticides: A Review. Front. Plant Sci. 2018, 9, 1295. [Google Scholar] [CrossRef]
- Mahmoud, O.; Soares, G.B.; Yosipovitch, G. Transient Receptor Potential Channels and Itch. Int. J. Mol. Sci. 2022, 24, 420. [Google Scholar] [CrossRef]
- Peier, A.M.; Moqrich, A.; Hergarden, A.C.; Reeve, A.J.; Andersson, D.A.; Story, G.M.; Earley, T.J.; Dragoni, I.; McIntyre, P.; Bevan, S.; et al. A TRP Channel That Senses Cold Stimuli and Menthol. Cell 2002, 108, 705–715. [Google Scholar] [CrossRef] [PubMed]
- Kehili, S.; Boukhatem, M.N.; Belkadi, A.; Ferhat, M.A.; Setzer, W.N. Peppermint (Mentha piperita L.) Essential Oil as a Potent Anti-Inflammatory, Wound Healing and Anti-Nociceptive Drug. Eur. J. Biol. Res. 2020, 10, 132–149. [Google Scholar]
- Sembiring, F.; Nasution, S.S.; Ariani, Y. The Influence of Peppermint Aromatherapy on Reducing Uremic Pruritus in Patients with Chronic Kidney Disease Undergoing Hemodialysis. J. Keperawatan Soedirman 2021, 16, 31–36. [Google Scholar] [CrossRef]
- Jung, M.J.; Kim, J.C.; Wei, E.T.; Selescu, T.; Chung, B.Y.; Park, C.W.; Kim, H.O. A Randomized, Vehicle-Controlled Clinical Trial of a Synthetic TRPM8 Agonist (Cryosim-1) Gel for Itch. J. Am. Acad. Dermatol. 2021, 84, 869–871. [Google Scholar] [CrossRef] [PubMed]
- Aromatherapy Hydrosols—The Gentle, Watery Cousins. Oshadhi Essential Oils. Available online: https://oshadhi.co.uk/kb/all-about-aromatherapy-hydrosols/?srsltid=AfmBOoqkjxkLGoMwvizflv1gbNaJrfxLPfO0fW6byHR7IAtmJG-GnCF3 (accessed on 26 October 2024).
- Steckel, L.; Sosnoskie, L.; Steckel, S. Common Evening-Primrose (Oenothera biennis L.). Weed Technol. 2019, 33, 757–760. [Google Scholar] [CrossRef]
- Farag, M.A.; Reda, A.; Nabil, M.; Elimam, D.M.; Zayed, A. Evening Primrose Oil: A Comprehensive Review of Its Bioactives, Extraction, Analysis, Oil Quality, Therapeutic Merits, and Safety. Food Funct. 2023, 14, 8049–8070. [Google Scholar] [CrossRef]
- Williams, H.C. Evening Primrose Oil for Atopic Dermatitis: Time to Say Goodnight. BMJ Br. Med. J. 2003, 327, 1358–1359. [Google Scholar] [CrossRef] [PubMed]
- Sharifi, M.; Nourani, N.; Sanaie, S.; Hamedeyazdan, S. The Effect of Oenothera biennis (Evening Primrose) Oil on Inflammatory Diseases: A Systematic Review of Clinical Trials. BMC Complement. Med. Ther. 2024, 24, 89. [Google Scholar] [CrossRef]
- Common Evening Primrose (Oenothera lamarckiana) | Applewood Seed. Available online: https://www.applewoodseed.com/product/evening-primrose-common/ (accessed on 28 October 2024).
- Knez, M.; Stangoulis, J.C.R.; Glibetic, M.; Tako, E. The Linoleic Acid: Dihomo-γ-Linolenic Acid Ratio (LA:DGLA)—An Emerging Biomarker of Zn Status. Nutrients 2017, 9, 825. [Google Scholar] [CrossRef] [PubMed]
- Mustonen, A.-M.; Nieminen, P. Dihomo-γ-Linolenic Acid (20:3n-6)—Metabolism, Derivatives, and Potential Significance in Chronic Inflammation. Int. J. Mol. Sci. 2023, 24, 2116. [Google Scholar] [CrossRef] [PubMed]
- Kwon, J.; Choi, Y.I.; Jo, H.J.; Lee, S.H.; Lee, H.K.; Kim, H.; Moon, J.Y.; Jung, S.J. The Role of Prostaglandin E1 as a Pain Mediator through Facilitation of Hyperpolarization-Activated Cyclic Nucleotide-Gated Channel 2 via the EP2 Receptor in Trigeminal Ganglion Neurons of Mice. Int. J. Mol. Sci. 2021, 22, 13534. [Google Scholar] [CrossRef] [PubMed]
- Fecker, R.; Magyari-Pavel, I.Z.; Cocan, I.; Alexa, E.; Popescu, I.M.; Lombrea, A.; Bora, L.; Dehelean, C.A.; Buda, V.; Folescu, R.; et al. Oxidative Stability and Protective Effect of the Mixture between Helianthus annuus L. and Oenothera biennis L. Oils on 3D Tissue Models of Skin Irritation and Phototoxicity. Plants 2022, 11, 2977. [Google Scholar] [CrossRef]
- Timoszuk, M.; Bielawska, K.; Skrzydlewska, E. Evening Primrose (Oenothera biennis) Biological Activity Dependent on Chemical Composition. Antioxidants 2018, 7, 108. [Google Scholar] [CrossRef]
- Čižmárová, B.; Hubková, B.; Tomečková, V.; Birková, A. Flavonoids as Promising Natural Compounds in the Prevention and Treatment of Selected Skin Diseases. Int. J. Mol. Sci. 2023, 24, 6324. [Google Scholar] [CrossRef] [PubMed]
- Działo, M.; Mierziak, J.; Korzun, U.; Preisner, M.; Szopa, J.; Kulma, A. The Potential of Plant Phenolics in Prevention and Therapy of Skin Disorders. Int. J. Mol. Sci. 2016, 17, 160. [Google Scholar] [CrossRef] [PubMed]
- Muscolo, A.; Mariateresa, O.; Giulio, T.; Mariateresa, R. Oxidative Stress: The Role of Antioxidant Phytochemicals in the Prevention and Treatment of Diseases. Int. J. Mol. Sci. 2024, 25, 3264. [Google Scholar] [CrossRef]
- Farhan, M. The Promising Role of Polyphenols in Skin Disorders. Molecules 2024, 29, 865. [Google Scholar] [CrossRef] [PubMed]
- Glavas Dodov, M.; Kulevanova, S. A Review of Phytotherapy of Acne Vulgaris. Maced. Pharm. Bull. 2009, 55, 3–22. [Google Scholar] [CrossRef]
- Kaźmierska, A.; Bolesławska, I.; Polańska, A.; Dańczak-Pazdrowska, A.; Jagielski, P.; Drzymała-Czyż, S.; Adamski, Z.; Przysławski, J. Effect of Evening Primrose Oil Supplementation on Selected Parameters of Skin Condition in a Group of Patients Treated with Isotretinoin—A Randomized Double-Blind Trial. Nutrients 2022, 14, 2980. [Google Scholar] [CrossRef] [PubMed]
- Lin, T.-K.; Zhong, L.; Santiago, J.L. Anti-Inflammatory and Skin Barrier Repair Effects of Topical Application of Some Plant Oils. Int. J. Mol. Sci. 2017, 19, 70. [Google Scholar] [CrossRef]
- Senapati, S.; Banerjee, S.; Gangopadhyay, D.N. Evening Primrose Oil Is Effective in Atopic Dermatitis: A Randomized Placebo-Controlled Trial. Indian J. Dermatol. Venereol. Leprol. 2008, 74, 447. [Google Scholar] [PubMed]
- Chung, B.; Park, S.; Jung, M.; Kim, H.O.; Park, C. Effect of Evening Primrose Oil on Korean Patients With Mild Atopic Dermatitis: A Randomized, Double-Blinded, Placebo-Controlled Clinical Study. Ann. Dermatol. 2018, 30, 409. [Google Scholar] [CrossRef] [PubMed]
- Chung, B.Y.; Kim, J.H.; Cho, S.I.; Ahn, I.S.; Kim, H.O.; Park, C.W.; Lee, C.H. Dose-Dependent Effects of Evening Primrose Oil in Children and Adolescents with Atopic Dermatitis. Ann. Dermatol. 2013, 25, 285. [Google Scholar] [CrossRef]
- Bamford, J.T.; Ray, S.; Musekiwa, A.; Gool, C.; Humphreys, R.; Ernst, E. Oral Evening Primrose Oil and Borage Oil for Eczema. Cochrane Database Syst. Rev. 2013, 2013, CD004416. [Google Scholar] [CrossRef]
- Schalin-Karrila, M.; Mattila, L.; Jansen, C.T.; Uotila, P. Evening Primrose Oil in the Treatment of Atopic Eczema: Effect on Clinical Status, Plasma Phospholipid Fatty Acids and Circulating Blood Prostaglandins. Br. J. Dermatol. 1987, 117, 11–19. [Google Scholar] [CrossRef]
- Yoon, S.; Lee, J.; Lee, S. The Therapeutic Effect of Evening Primrose Oil in Atopic Dermatitis Patients with Dry Scaly Skin Lesions Is Associated with the Normalization of Serum Gamma-Interferon Levels. Ski. Pharmacol. Appl. Ski. Physiol. 2002, 15, 20–25. [Google Scholar] [CrossRef]
- Hutcherson, T.C.; Cieri-Hutcherson, N.E.; Lycouras, M.M.; Koehler, D.; Mortimer, M.; Schaefer, C.J.; Costa, O.S.; Bohlmann, A.L.; Singhal, M.K. Systematic Review of Evening Primrose (Oenothera biennis) Preparations for the Facilitation of Parturition. Pharmacy 2022, 10, 172. [Google Scholar] [CrossRef]
- Stonemetz, D. A Review of the Clinical Efficacy of Evening Primrose. Holist. Nurs. Pract. 2008, 22, 171–174. [Google Scholar] [CrossRef]
- Kloter, E.; Albanese, F.; Schweighoffer, R.; Wolf, U. Phytotherapy in Paediatric Skin Disorders—A Systematic Literature Review. Complement. Ther. Med. 2023, 74, 102942. [Google Scholar] [CrossRef] [PubMed]
- Shahunja, K.M.; Sévin, D.C.; Kendall, L.; Ahmed, T.; Hossain, M.I.; Mahfuz, M.; Zhu, X.; Singh, K.; Singh, S.; Crowther, J.M.; et al. Effect of Topical Applications of Sunflower Seed Oil on Systemic Fatty Acid Levels in Under-Two Children under Rehabilitation for Severe Acute Malnutrition in Bangladesh: A Randomized Controlled Trial. Nutr. J. 2021, 20, 51. [Google Scholar] [CrossRef] [PubMed]
- Cacique, A.; Barbosa, É.; Pinho, G.; Oliveira Silvério, F. Maceration Extraction Conditions for Determining the Phenolic Compounds and the Antioxidant Activity of Catharanthus roseus (L.) G. Don. Ciência Agrotecnologia 2020, 44, e017420. [Google Scholar] [CrossRef]
- Bayles, B.; Usatine, R. Evening Primrose Oil. Am. Fam. Physician 2009, 80, 1405–1408. [Google Scholar] [PubMed]
- Evening Primrose Oil: Usefulness and Safety. Available online: https://www.nccih.nih.gov/health/evening-primrose-oil (accessed on 26 October 2024).
- Fecker, R.; Buda, V.; Alexa, E.; Avram, S.; Pavel, I.Z.; Muntean, D.; Cocan, I.; Watz, C.; Minda, D.; Dehelean, C.A.; et al. Phytochemical and Biological Screening of Oenothera biennis L. Hydroalcoholic Extract. Biomolecules 2020, 10, 818. [Google Scholar] [CrossRef] [PubMed]
- Puri, B.K. The Safety of Evening Primrose Oil in Epilepsy. Prostaglandins Leukot. Essent. Fat. Acids 2007, 77, 101–103. [Google Scholar] [CrossRef] [PubMed]
- Abebe, W. Review of Herbal Medications with the Potential to Cause Bleeding: Dental Implications, and Risk Prediction and Prevention Avenues. EPMA J. 2019, 10, 51. [Google Scholar] [CrossRef]
- Drugs and Lactation Database (LactMed®) Evening Primrose. In Evening Primrose; National Institute of Child Health and Human Development: Bethesda, MD, USA, 2006.
- Gonçalves, S.; Peixoto, F.; da Silveria, T.F.F.; Barros, L.; Gaivão, I. Antigenotoxic and Cosmetic Potential of Elderberry (Sambucus Nigra) Extract: Protection against Oxidative DNA Damage. Food Funct. 2024, 15, 10795–10810. [Google Scholar] [CrossRef] [PubMed]
- Gonçalves, S.; Monteiro, M.; Gaivão, I.; Matos, R.S. Preliminary Insights into the Antigenotoxic Potential of Lemon Essential Oil and Olive Oil in Human Peripheral Blood Mononuclear Cells. Plants 2024, 13, 1623. [Google Scholar] [CrossRef] [PubMed]
- Kayraldiz, A.; Kocaman, A.; Rencüzoğullari, E.; Istifli, E.; Ila, H.; Topaktaş, M.; Dağlioğlu, Y. The Genotoxic and Antigenotoxic Effects of Aloe Vera Leaf Extract in Vivo and in Vitro. Turk. J. Biol. 2010, 34, 235–246. [Google Scholar] [CrossRef]
- Yavuz Kocaman, A.; Güzelkokar, M. The Genotoxic and Antigenotoxic Potential of the Methanolic Root Extract of Glycyrrhiza Glabra L. on Human Peripheral Blood Lymphocytes. Drug Chem. Toxicol. 2018, 41, 368–375. [Google Scholar] [CrossRef] [PubMed]
- Mottola, F.; Finelli, R.; Iovine, C.; Carannante, M.; Santonastaso, M.; Rocco, L. Anti-Genotoxicity Evaluation of Ellagic Acid and Curcumin—An In Vitro Study on Zebrafish Blood Cells. Appl. Sci. 2021, 11, 8142. [Google Scholar] [CrossRef]
- Samuels, N.; Ben-Arye, E. Exploring Herbal Medicine Use during Palliative Cancer Care: The Integrative Physician as a Facilitator of Pharmacist–Patient–Oncologist Communication. Pharmaceuticals 2020, 13, 455. [Google Scholar] [CrossRef]
- Feliciano, D.R.; Reis-Pina, P. Enhancing End-of-Life Care With Home-Based Palliative Interventions: A Systematic Review. J. Pain. Symptom Manag. 2024, 68, e356–e372. [Google Scholar] [CrossRef]
- Niazi, P.; Monib, A. The Role of Plants in Traditional and Modern Medicine. J. Pharmacogn. Phytochem. 2024, 13, 643–647. [Google Scholar] [CrossRef]
- Siemens, W.; Xander, C.; Meerpohl, J.J.; Buroh, S.; Antes, G.; Schwarzer, G.; Becker, G. Pharmacological Interventions for Pruritus in Adult Palliative Care Patients. Cochrane Database Syst. Rev. 2016, 2016, CD008320. [Google Scholar] [CrossRef] [PubMed]
- Yoshino, T.; Shimada, S.; Homma, M.; Makino, T.; Mimura, M.; Watanabe, K. Clinical Risk Factors of Licorice-Induced Pseudoaldosteronism Based on Glycyrrhizin-Metabolite Concentrations: A Narrative Review. Front. Nutr. 2021, 8, 719197. [Google Scholar] [CrossRef]
- Chumpitazi, B.P.; Kearns, G.; Shulman, R.J. Review Article: The Physiologic Effects and Safety of Peppermint Oil and Its Efficacy in Irritable Bowel Syndrome and Other Functional Disorders. Aliment. Pharmacol. Ther. 2018, 47, 738–752. [Google Scholar] [CrossRef]
- Gonçalves, S.; Marques, P.; Matos, R.S. Exploring Aromatherapy as a Complementary Approach in Palliative Care: A Systematic Review. J. Palliat. Med. 2024. [Google Scholar] [CrossRef] [PubMed]
- Barbosa, F.; Tadine, R.; Rezende, J.; Lopes, G.; Neto, E. Current Challenges for the Use of Phytotherapy: A Narrative. Contrib. Cienc. Soc. 2023, 16, 2066–2078. [Google Scholar] [CrossRef]
- Krsnik, S.; Erjavec, K. Factors Influencing Use of Medicinal Herbs. J. Patient Exp. 2024, 11, 23743735241241181. [Google Scholar] [CrossRef]
- Arellano, L.; Alcubilla, P.; Leguízamo, L.; Arellano, L.; Alcubilla, P.; Leguízamo, L. Ethical Considerations in Informed Consent. In Ethics-Scientific Research, Ethical Issues, Artificial Intelligence and Education; IntechOpen: London, UK, 2023; ISBN 978-1-83769-525-6. [Google Scholar]
- Ensuring Equity in Access to Palliative Care. Available online: https://www.ajmc.com/view/ensuring-equity-in-access-to-palliative-care (accessed on 7 December 2024).















| Plant Name | Country/Region | Common Name | Active Compounds | Mechanism of Action | Pruritus Application | Safety and Side Effects | Parts Used | Form Available | Mode of Usage/Preparation |
|---|---|---|---|---|---|---|---|---|---|
| Aloe barbadensis | Tropical/Subtropical |
|
|
| Xerosis-induced pruritus | Generally safe, mild skin irritation possible | Gel |
|
|
| Calendula officinalis | Europe, North America |
|
|
| Dermatitis-associated pruritus | Safe, but avoid use on open wounds without dilution | Flowers |
|
|
| Curcuma longa | India, Southeast Asia |
|
|
| Histamine-independent pruritus (e.g., chronic pruritus) | Safe, but can cause staining and mild skin irritation | Rhizome |
|
|
| Glycyrrhiza glabra | Europe, Asia |
|
|
| Allergic or inflammatory pruritus (e.g., eczema) | Generally safe, high concentrations may cause irritation | Root |
|
|
| Lavandula angustifolia | Mediterranean |
|
|
| Stress-induced or inflammatory pruritus | Generally safe, but can cause allergic reactions in some individuals | Flowers |
|
|
| Matricaria chamomilla | Europe, Asia |
|
|
| Cytokine-mediated pruritus (e.g., atopic dermatitis) | Safe, but can cause allergic reactions in some individuals | Flowers |
|
|
| Mentha piperita | Europe, North America |
|
|
| Urticaria and itch from skin conditions | Safe, but can cause skin irritation if not properly diluted | Leaves, oil |
|
|
| Oenothera biennis | North America, Europe |
|
|
| Atopic dermatitis-related pruritus | Safe, but can cause mild gastrointestinal issues if ingested | Seeds (oil) |
|
|
| Type of Study/Pathology | Dosage of Curcumin/ Curcuminoids | Principal Outcomes | Publication |
|---|---|---|---|
| Uremic pruritus in hemodialysis patients | 66.3 mg per day (ingested) |
| [184] |
| Sulfur mustard-induced chronic pruritus | 950 mg per day (ingested) |
| [140] |
| Antipruritic effect of itch cream in dermatological disorders | ‘Itch cream’ containing 16% turmeric (topical) |
| [185] |
| Antipruritic effect of curcumin on histamine-induced itching in mice | Curcumin solution in Vaseline (topical) |
| [136] |
| Contact dermatitis as an adverse reaction to some topically used European herbal medicinal products | Cream Herbavate® + C. longa (topical) |
| [186] |
| Internal Use | External Use |
|---|---|
| Infusion: one dessert spoon per cup, 2 or 3 cups per day. Nervous people and/or people prone to insomnia should drink the most diluted infusion. | Liniment: with 1 to 5% essential oil. |
| Tincture (1:5): 50 drops, 1 to 3x/d. | |
| Essential oil: in a cup of infusion, 1 to 3 drops in a suitable dilution vehicle (a lump of sugar, alcoholic, or oily solution), 2 or 3x/d, with an average daily dose of 2 to 9 drops. | |
| Capsules: with 25 to 50 mg of essential oil, 1 to 2x/d. | |
| Suppositories: with 0.1 to 0.4 g of essential oil per suppository, 2 or 3x/d. | |
| Dry or wet inhalations: 5 to 10 drops of essential oil in 0.5 l of hot water. | |
| Aerosol: for 50 mL of appropriate diluent, 1 to 2 g of essential oil. |
| Internal Use | External Use |
|---|---|
| Infusion: 1.5 to 3 g of leaves in 150 mL of water, 3x/d. | Liquid or semi-solid preparations:
|
| Tincture (1:5, in 45% alcohol): 2 to 3 mL, 3x/d. | |
Essential oil:
| |
| Hydrolate: 5–15 mL diluted in water or tea, up to 3x/d (if labeled safe for ingestion). |
|
Disclaimer/Publisher’s Note: The statements, opinions and data contained in all publications are solely those of the individual author(s) and contributor(s) and not of MDPI and/or the editor(s). MDPI and/or the editor(s) disclaim responsibility for any injury to people or property resulting from any ideas, methods, instructions or products referred to in the content. |
© 2024 by the authors. Licensee MDPI, Basel, Switzerland. This article is an open access article distributed under the terms and conditions of the Creative Commons Attribution (CC BY) license (https://creativecommons.org/licenses/by/4.0/).
Share and Cite
Gonçalves, S.; Fernandes, L.; Caramelo, A.; Martins, M.; Rodrigues, T.; Matos, R.S. Soothing the Itch: The Role of Medicinal Plants in Alleviating Pruritus in Palliative Care. Plants 2024, 13, 3515. https://doi.org/10.3390/plants13243515
Gonçalves S, Fernandes L, Caramelo A, Martins M, Rodrigues T, Matos RS. Soothing the Itch: The Role of Medicinal Plants in Alleviating Pruritus in Palliative Care. Plants. 2024; 13(24):3515. https://doi.org/10.3390/plants13243515
Chicago/Turabian StyleGonçalves, Sara, Lisete Fernandes, Ana Caramelo, Maria Martins, Tânia Rodrigues, and Rita S. Matos. 2024. "Soothing the Itch: The Role of Medicinal Plants in Alleviating Pruritus in Palliative Care" Plants 13, no. 24: 3515. https://doi.org/10.3390/plants13243515
APA StyleGonçalves, S., Fernandes, L., Caramelo, A., Martins, M., Rodrigues, T., & Matos, R. S. (2024). Soothing the Itch: The Role of Medicinal Plants in Alleviating Pruritus in Palliative Care. Plants, 13(24), 3515. https://doi.org/10.3390/plants13243515

