Abstract
Ecosystems that experience elevated CO2 (eCO2) are crucial interfaces where intricate interactions between plants and microbes occur. This study addressed the impact of eCO2 and a N supply on faba bean (Vicia faba L.) growth and the soil microbial community in auto-controlled growth chambers. In doing so, two ambient CO2 concentrations (aCO2, daytime/nighttime = 410/460 ppm; eCO2, 550/610 ppm) and two N supplement levels (without a N supply—N0—and 100 mg N as urea per kg of soil—N100) were applied. The results indicated that eCO2 mitigated the inhibitory effects of a N deficiency on legume photosynthesis and affected the CO2 assimilation efficiency, in addition to causing reduced nodulation. While the N addition counteracted the reductions in the N concentrations across the faba beans’ aboveground and belowground plant tissues under eCO2, the CO2 concentrations did not significantly alter the soil NH4+-N or NO3−-N responses to a N supply. Notably, under both aCO2 and eCO2, a N supply significantly increased the relative abundance of Nitrososphaeraceae and Nitrosomonadaceae, while eCO2 specifically reduced the Rhizobiaceae abundance with no significant changes under aCO2. A redundancy analysis (RDA) highlighted that the soil pH (p < 0.01) had the most important influence on the soil microbial community. Co-occurrence networks indicated that the eCO2 conditions mitigated the impact of a N supply on the reduced structural complexity of the soil microbial communities. These findings suggest that a combination of eCO2 and a N supply to crops can provide potential benefits for managing future climate change impacts on crop production.
1. Introduction
Atmospheric CO2 (aCO2) is the primary resource for plant growth and biomass production through photosynthesis. In the face of escalating climate change, the aCO2 concentration has been steadily increasing, with an annual rate of 2.0 to 2.4 ppm between 2000 and 2019, reaching a peak of 409.9 ppm in 2019—an upsurge of 5.0% [1]. This trend highlights the acceleration of climate-related concerns, with projections estimating the surge in the CO2 concentration to reach 700 ppm by the end of the twenty-first century [1]. Elevated CO2 (eCO2) concentrations have far-reaching environmental implications, encompassing an escalation in extreme weather phenomena, alterations in pest and disease distributions, and impacts on crop growth and yield stability. Consequently, these factors intensify uncertainties in agricultural production and pose a threat to food security [2,3,4,5,6].
The faba bean (Vicia faba L.), with a cultivation history of over 2000 years in China, is a significant leguminous crop that substantially contributes to agricultural production and food safety through its comparatively high productivity and high-quality protein [7]. Studies have found that eCO2 enhances the N2-fixing capacity of leguminous plants, endowing them with greater productivity than non-N2-fixing plants [8,9]. Increased CO2 can benefit C3 crops such as faba beans by enhancing their photosynthesis, water use efficiency, and yields, particularly under nitrogen (N) fertilization [10]. With a sufficient N supply, plants under eCO2 are capable of substantially greater N absorption and experience even less foliar N loss [11]. However, higher N application rates do not necessarily increase faba bean yields at all [12,13].
Soil microorganisms play a crucial role in facilitating nutrient cycling, enhancing plant nutrient absorption, and maintaining soil health through the decomposition of organic matter. An inoculation with N2-fixing bacteria can consequently improve N uptake and faba bean growth [14]. In response to environmental changes such as increasing CO2 concentrations, soil microorganisms may adapt by modifying their metabolic pathways and community structures, thereby influencing plant growth and soil fertility. It has been observed that eCO2 can lead to a significant reduction in soil NO3−-N, possibly due to increased plant uptake or losses to groundwater and the atmosphere [15,16,17]. Studies have also observed that eCO2 significantly increases the relative abundance of genes associated with N2 fixation and denitrification in soybean soil, which may be attributed to an increased C input from litter and root exudates [18]. Similarly, in grassland ecosystems, eCO2 has been found to stimulate the relative abundance of genes associated with N2 fixation. The increase in gene expression has been shown to enhance both the growth and N2-fixing rate of leguminous plants [19,20]. When the N availability is high, microbial activity and N utilization are enhanced due to increased CO2. These phenomena have significant implications for understanding the impact of eCO2 on both C and N cycling in ecosystems [21,22].
Under eCO2 conditions, the populations of both ammonia-oxidizing archaea (AOA) and ammonia-oxidizing bacteria (AOB) experience a significant increase, thereby enhancing the nitrification potential of the topsoil [23]. However, eCO2 may hinder the denitrification process, potentially disrupting the microbial capacity for intracellular electron transport and utilization [24]. The interaction between eCO2 and an anthropogenic N supply also has a significant impact on soil microbial communities and their functional capabilities [25,26,27]. Such interactions may lead to the activation of N-cycling microorganisms in the short term, while previous studies have primarily focused on the taxonomic composition of soil microorganisms or specific functional groups, such as nitrifying bacteria. There remains a limited comprehensive assessment of both the taxonomic and functional aspects of the entire soil microbial community, which is an urgent matter for understanding their relevant functions.
As CO2 levels rise, it is imperative to re-evaluate N application rates to update nutrient management strategies for better crop productivity. This will not only ensure that crops benefit from the stimulation of eCO2, but will also minimize the loss of grain quality and reduce the risk of N pollution. Faba beans, which fix N through nodulation, can reduce the reliance on chemical N fertilizers. We hypothesized that eCO2 and a N supply could (1) increase the tissue N concentration of faba beans; (2) inhibit the nodulation of faba beans; and (3) change the soil microbial community. Current indoor studies are insufficient in considering the comprehensive effects of environmental factors or in-situ field conditions. Therefore, we designed automatically controlled environmental factors to monitor the characteristics of both plants and soil by measuring the changes in plant growth parameters, soil physicochemical properties, and the soil microbial community composition. This study aimed to enhance the yield and quality of faba beans while providing a theoretical basis for a rational N fertilization strategy under rising CO2 concentrations. The generated results would then guide agricultural practices to manage soil microorganisms for an effective adaption to climate change, thus promoting agricultural sustainability.
2. Results
2.1. Variation in Plant Growth Characteristics
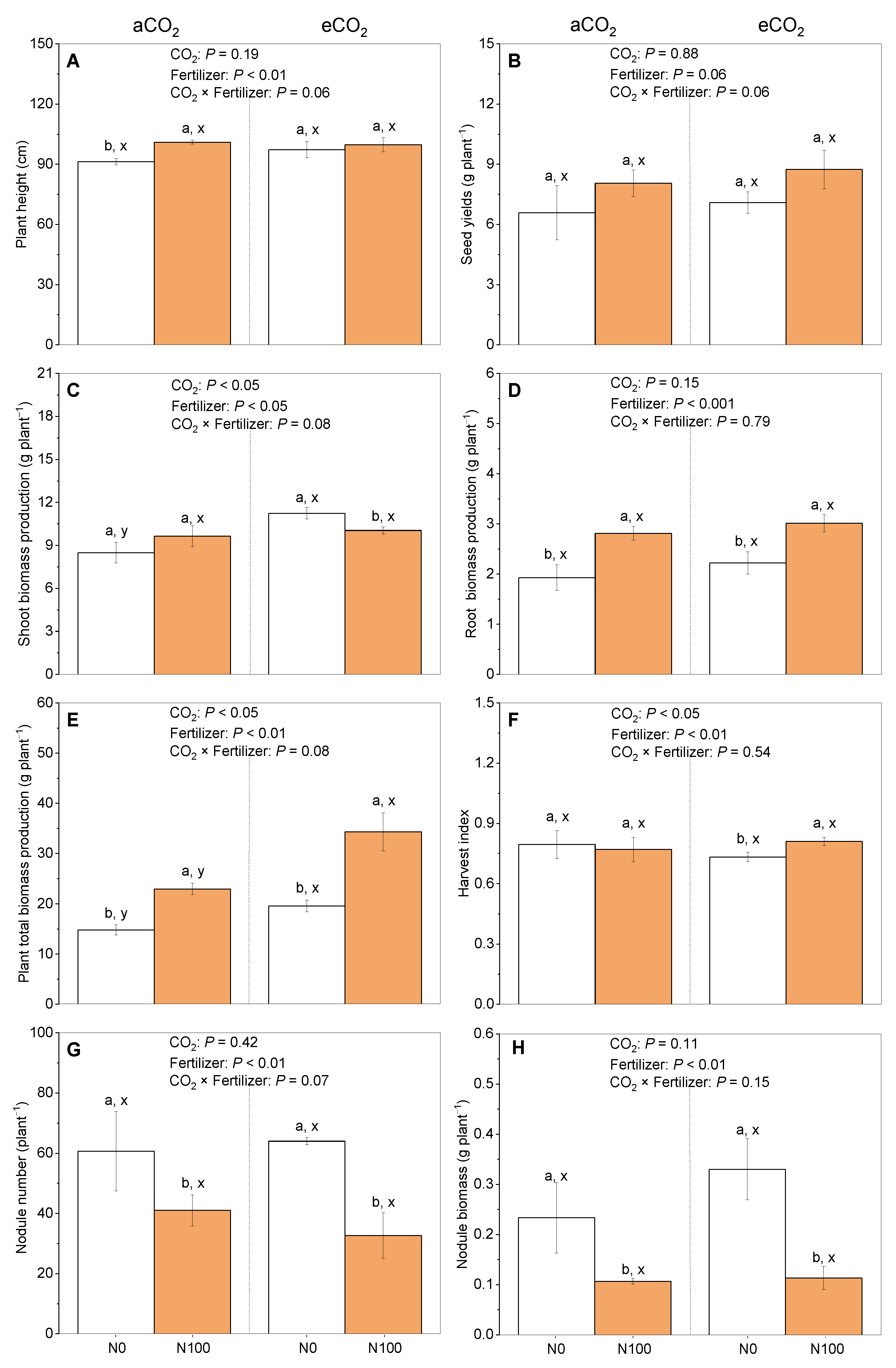
Under aCO2, a N supply to 5-month-old faba beans significantly increased the plant height and the root and plant total biomass production (Figure 1A,B,E), with no impact on the seed yields, shoot biomass, or harvest index (Figure 1B,C,F), but it significantly decreased the number and biomass production of nodules (Figure 1G,H). In contrast, under eCO2, a N supply significantly increased the root and plant total biomass production and the harvest index (Figure 1D–F), with no impact on the plant height or seed yields (Figure 1A,B) but it had a negative impact on shoot biomass production and the number and biomass of nodules (Figure 1C,G,H). Interestingly, a significantly interactive effect of eCO2 and a N supply on the plant total biomass production was shown under both N0 and N100, i.e., irrespective of a N supply (Figure 1E), but was shown for shoot biomass production under N0 only (Figure 1C). These results indicate that eCO2 generally enhanced the positive effects of N on faba bean growth while having an inhibitory effect on faba bean nodule formation.
Figure 1.
The effects of CO2 and a N supply on 5-month-old faba beans at harvest. (A) Plant height; (B) seed yields; (C) shoot biomass production (stem and leaf); (D) root biomass production (root and nodules); (E) plant total biomass production; (F) harvest index = seeds/shoot biomass; (G) nodule number; and (H) nodule biomass. The data are the means ± SE (n = 3). Lower-case letters above the bars indicate significant differences between N supply levels for the same CO2 treatment (a, b) and between CO2 concentrations for the same N treatment (x, y) at p < 0.05. The results of the two-way ANOVA are also presented at different p levels to show the interactive effects of CO2 × N supply on the measured variables. Abbreviations: aCO2, atmospheric CO2; eCO2, elevated CO2; N0, no N supply; N100, 100 mg N kg−1 DW soil.
2.2. Variation in Basic Photosynthetic Characteristics
The effects of CO2 levels and N on photosynthesis parameters during the flowering stage of faba beans showed diverse differences. An application of N fertilizer significantly decreased the net photosynthetic rate (Figure 2A), intercellular CO2 concentration (Figure 2B), transpiration rate (Figure 2C), and stomatal conductance (Figure 2D) under aCO2, while significantly increasing the intercellular CO2 concentration had no impact on the net photosynthetic rate, but decreased both the transpiration rate and stomatal conductance under eCO2. In addition, at N0, the net photosynthetic rate and intercellular CO2 concentration were significantly greater under aCO2 than under eCO2 (Figure 2A vs. Figure 2B), but the opposite was true for the transpiration rate and stomatal conductance under aCO2 than under eCO2 (Figure 2A vs. Figure 2B). At N100, the tested parameters, including the intercellular CO2 concentrations, transpiration rate, and stomatal conductance, were significantly greater under eCO2 than under aCO2.
Figure 2.
The effects of CO2 and a N supply on photosynthesis parameters during the flowering stage of faba beans. (A) Net photosynthetic rate; (B) intercellular carbon dioxide concentration; (C) transpiration rate; and (D) stomatal conductance. The data are the means ± SE (n = 3). Lower-case letters above the bars indicate significant differences between N supply levels for the same CO2 treatment (a, b) and between CO2 concentrations for the same N treatment (x, y) at p < 0.05. The results of the two-way ANOVA are also presented at different p levels to show the interactive effects of CO2 × N supply on the measured variables. Abbreviations: aCO2, atmospheric CO2; eCO2, elevated CO2; N0, no N supply; N100, 100 mg N kg−1 DW soil.
2.3. Variation in Tissue N Concentrations
Under aCO2, N100 had an insignificant influence on the seed and shoot N concentrations, which were, respectively, 2% and 10% higher than under N0 (Figure 3A,B), but N100 significantly decreased the root N concentrations (Figure 3C). Compared to N0, the N accumulation under a N supply increased by 4% in the seeds, decreased by 4% in the roots, and did not change at all in the shoots under aCO2 (Figure 3D). In contrast, under eCO2, a N supply significantly decreased the N concentrations in the shoots, roots, and seeds. Under eCO2, the N accumulation under a N supply greatly increased by 16% in the seeds and decreased by 6% in the shoots, but no changes were observed at all in the roots (Figure 3E,F). Additionally, eCO2 significantly increased the shoot N concentrations and seed N concentrations in the N0 treatment. However, eCO2 significantly decreased the root N concentrations under both the N0 and N100 treatments and the shoot N concentrations under the N100 treatment (Figure 3B,C).
Figure 3.
The effects of CO2 and a N supply on the tissue N concentrations and accumulations in seeds (A,D), shoots (stems and leaves) (B,E), and roots (C,F) of 5-month-old faba beans at harvest. The data are the means ± SE (n = 3). Lower-case letters above the bars indicate significant differences between N supply levels for the same CO2 treatment (a, b) and between CO2 treatments for the same N treatment (x, y) at p < 0.05. The results of the two-way ANOVA are also presented at different p levels to show the interactive effects of CO2 × N supply on the measured variables. Abbreviations: aCO2, atmospheric CO2; eCO2, elevated CO2; N0, no N supply; N100, 100 mg N kg−1 DW soil.
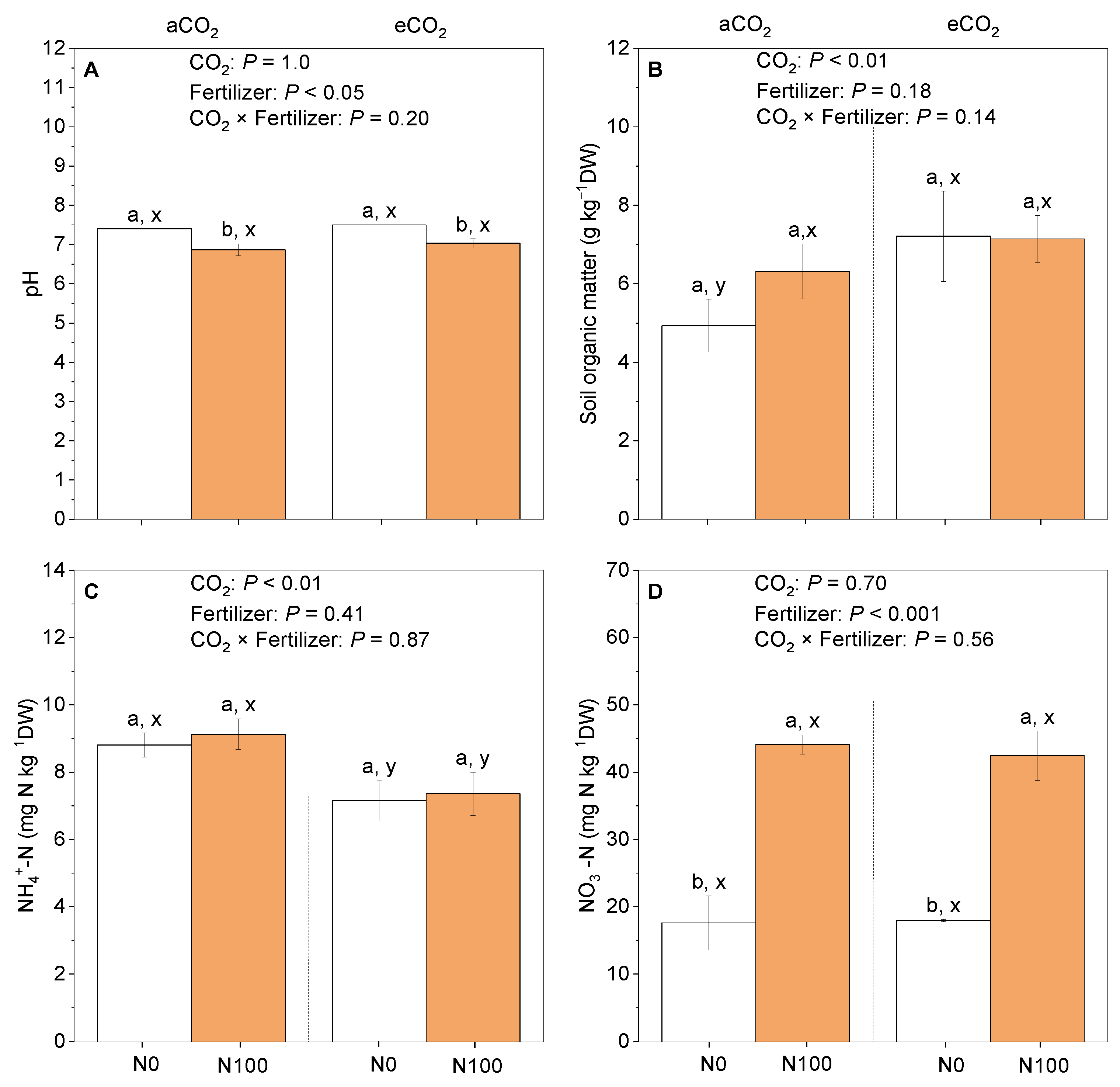
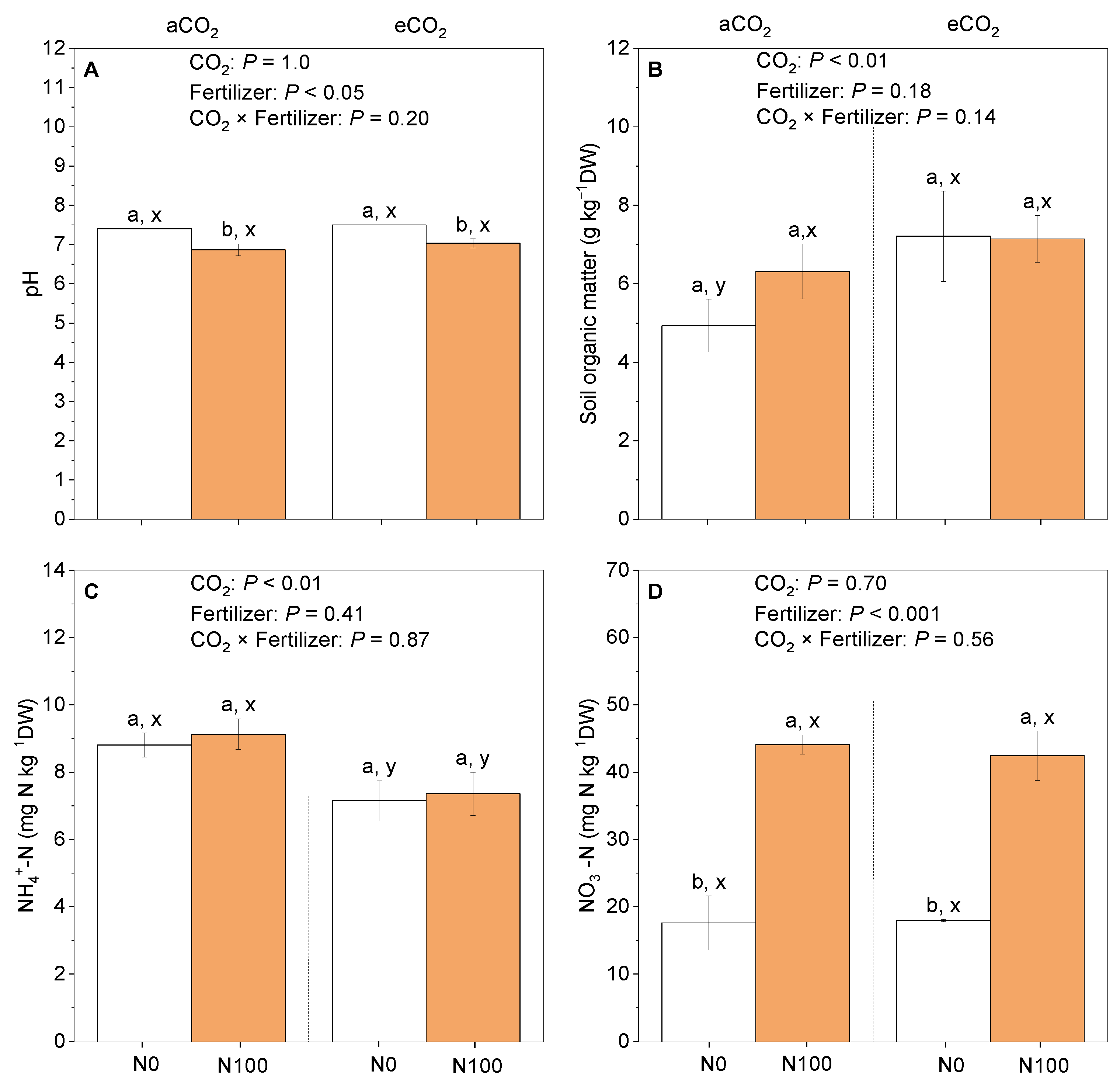
2.4. Changes in Soil pH, Organic Matter, and Concentrations of NH4+-N and NO3−-N
Under aCO2 or eCO2, a N supply resulted in a significant decrease in the soil pH (Figure 4A) and no changes in the soil organic matter or soil NH4+-N concentrations (Figure 4C), while a significant increase in the soil NO3−-N concentrations was observed (Figure 4D). In contrast, irrespective of the N supply, the soil NH4+-N concentrations were significantly lower under eCO2 than under aCO2 (Figure 4C). Overall, the soil pH was decreased by a N supply, while the soil NH4+-N was decreased by eCO2.
Figure 4.
The effects of CO2 and a N supply on (A) soil pH; (B) soil organic matter; (C) NH4+-N; and (D) NO3−-N at the harvest of 5-month-old faba beans. The data are the means ± SE (n = 3). Lower-case letters above the bars indicate significant differences between N supply levels for the same CO2 treatment (a, b) and between CO2 concentrations for the same N treatment (x, y) at p < 0.05. The results of the two-way ANOVA are also presented at different p levels to show the interactive effects of CO2 × N supply on the measured variables. Abbreviations: aCO2, atmospheric CO2; eCO2, elevated CO2; N0, no N supply; N100, 100 mg N kg−1 DW soil.
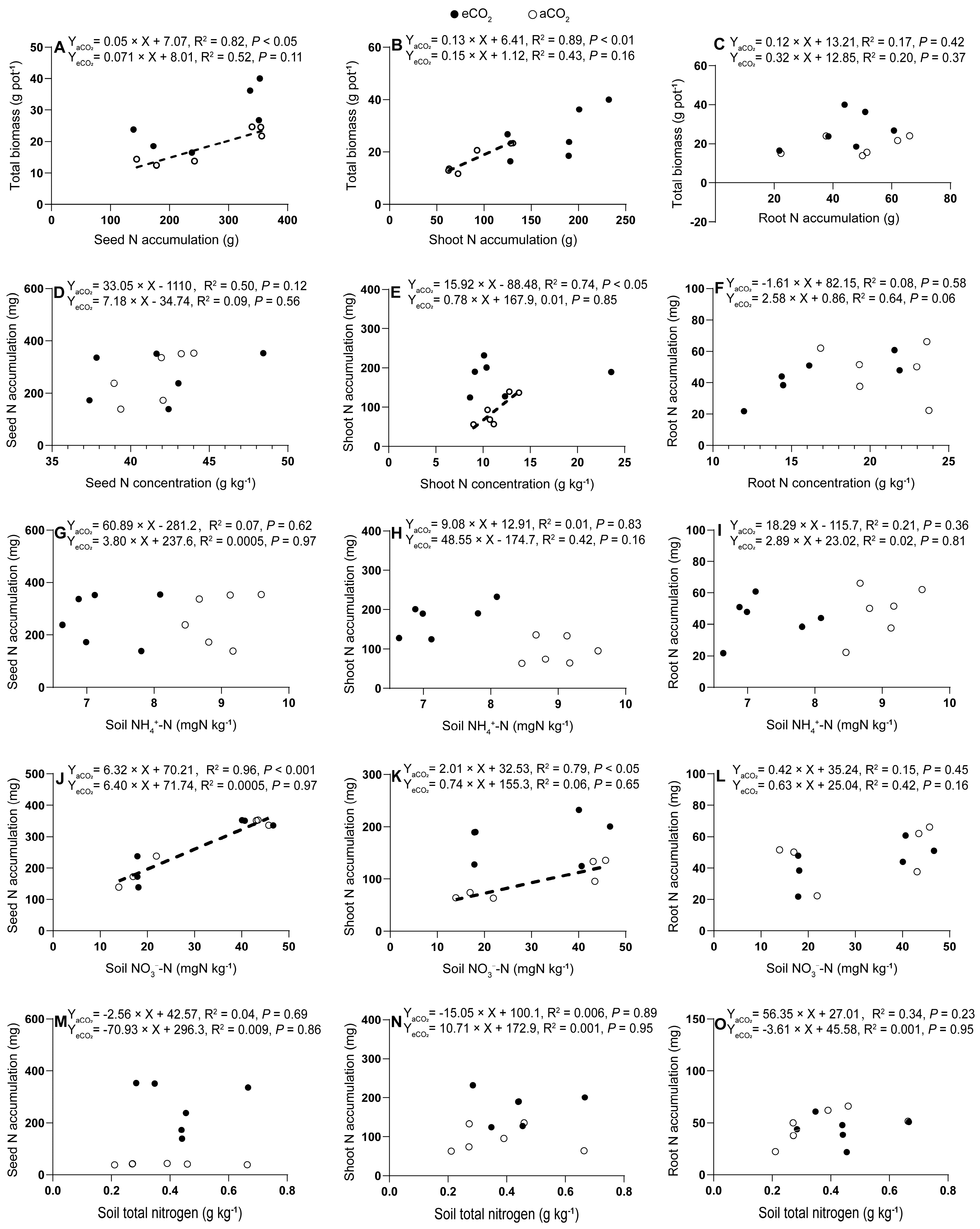
2.5. Relationships between Soil Inorganic N and Plant N Characteristics
The faba bean total biomass production did not show correlations with the soil NH4+-N (p = 0.27–0.53, Figure 5A), soil total N concentrations, or plant tissue total N concentrations (p = 0.95–0.98, Figure 5C), while it was significantly positively correlated with the soil NO3−-N under both aCO2 (p < 0.01) and eCO2 (p < 0.05) (Figure 5B). The nitrogen concentrations in faba bean tissues, including the seeds, shoots, and roots, had no correlations with the total biomass production (p = 0.09–0.82, Figure 5D–F). No correlations were observed between the seed N concentrations, shoot N concentrations, or root N concentrations and the soil total N (p = 0.10–0.90, Figure 5G–I), soil NH4+-N (p = 0.16–0.73, Figure 5J–L), or soil NO3−-N (p = 0.09–0.84, Figure 5M–O) under either aCO2 or eCO2, except for a positive correlation between the root N concentration and the soil NH4+-N concentrations under aCO2 (p = 0.01, Figure 5L).
Figure 5.
Relationships between soil NH4+-N (A), soil NO3−-N (B) or soil total nitrogen (C) and plant total biomass production (A–C); between tissue N concentrations in seed (D), shoot (E) or root (F) and plant total biomass production (D–F); between tissue N concentrations in seed (G), shoot (H) or root (I) and soil total nitrogen (G–I); between tissue N concentrations in seed (J), shoot (K) or root (L) and soil NH4+-N (J–L); between tissue N concentrations in seed (M), shoot (N) or root (O) and soil NO3−-N (M–O) in 5-month-old faba beans grown under atmospheric CO2 (aCO2) and elevated CO2 (eCO2). The open and closed circles represent data under aCO2 and eCO2, respectively. Regressions are shown for the aCO2 (dotted lines) and eCO2 (solid lines) treatments; n = 6.
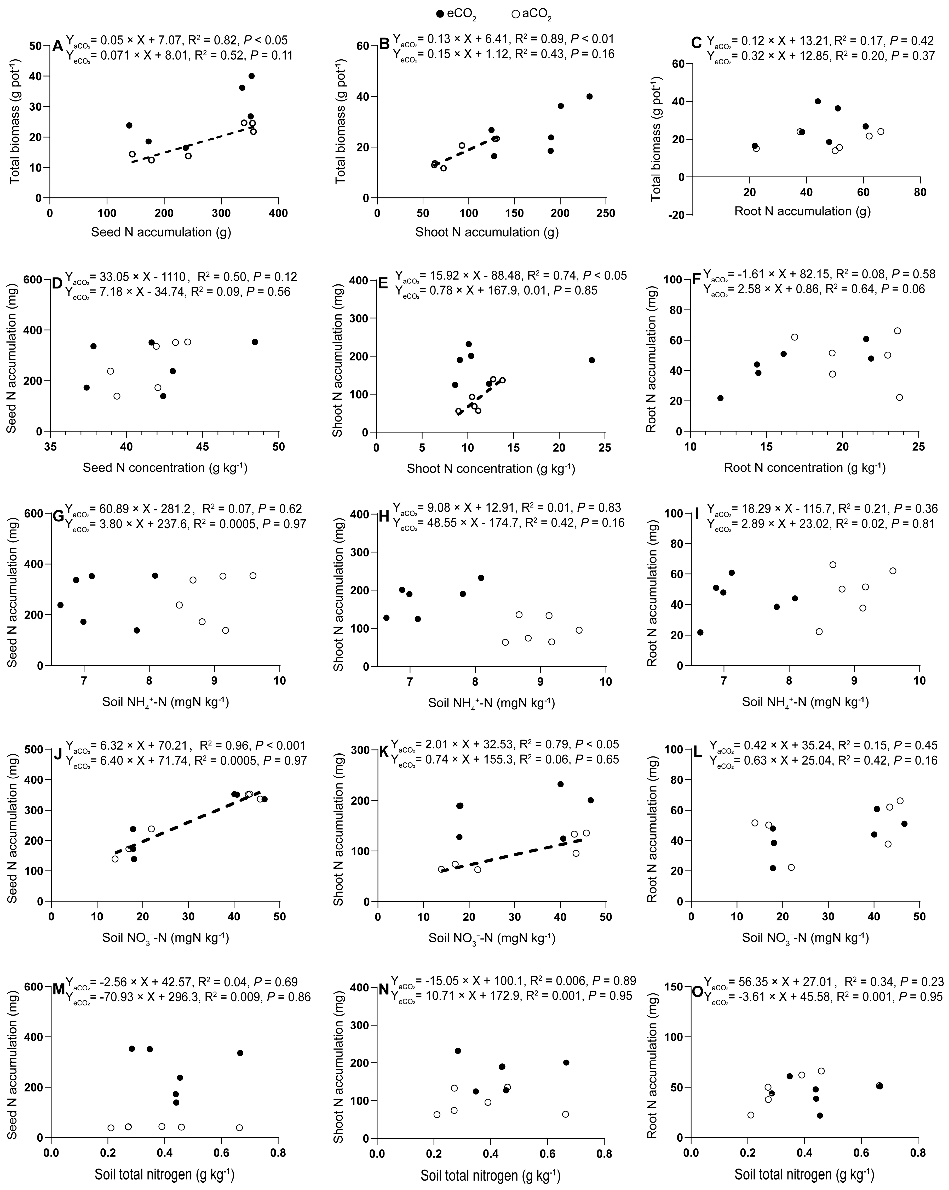
The faba bean total biomass production was correlated with the seed N and shoot N accumulations only under aCO2 (p < 0.05, Figure 6A; p < 0.01, Figure 6B), but not with the root N accumulations under either aCO2 or eCO2 (p = 0.37–0.42, Figure 6C). However, the seed and root N accumulations did not correlate with the seed and root N concentrations under either aCO2 or eCO2 (p = 0.12–0.58, Figure 6D,F), except for a positive correlation between the shoot N concentration and the shoot N accumulation under aCO2 (p = 0.01, Figure 6E). Nitrogen accumulations in faba bean tissues, including the seeds, shoots, and roots, did not show correlations with the soil NH4+-N (p = 0.16–0.97, Figure 6G–I), soil NO3−-N (p = 0.16–0.97, Figure 6J–L), or soil total N (p = 0.23–0.95, Figure 6M–O) under either aCO2 or eCO2, except for a positive correlation between the seed and root N accumulations and the soil NO3−-N concentrations under aCO2 (p < 0.05–0.01, Figure 6J,K).
Figure 6.
Relationships between tissue N accumulations in seed (A), shoot (B) or root (C) and plant total biomass production (A–C); between tissue N concentrations in seed (D), shoot (E) or root (F) and tissue N accumulations in seed (D), shoot (E) or root (F); between tissue N accumulations in seed (G), shoot (H) or root (I) and soil NH4+-N (G–I); between tissue N accumulations in seed (J), shoot (K) or root (L) and soil NO3−-N (J–L); between tissue N accumulations in seed (M), shoot (N) or root (O) and soil total nitrogen (M–O) in 5-month-old faba beans grown under atmospheric CO2 (aCO2) and elevated CO2 (eCO2). The open and closed circles represent data under aCO2 and eCO2, respectively. Regressions are shown for the aCO2 (dotted lines) and eCO2 (solid lines, there is no solid regression line because of no correlation in the eCO2) treatments; n = 6.
2.6. Variation in Soil Microbial Community and Structure
The impact of eCO2 and a N supply on soil microbial communities was assessed using high-throughput sequencing of the total 16S rRNA genes. A total of 9,925,182 valid sequences were obtained from the soil sample, with individual sample sequence counts ranging from 33,864 to 143,936 and an average of 63,622 sequences per sample. The sequences belonged to 50 microbial phyla, with 89.6% belonging to eight bacterial phyla (Actinobacteriota, Bacteroidota, Chloroflexi, Firmicutes, Myxococcota, Patescibactera, Planctomycota, and Proteobacteria).
Under aCO2, a N supply significantly decreased the Shannon index. Under eCO2, a N supply significantly lowered the Sobs index, but had little impact on Simpson’s index or the Ace index (Figure 7A). Under aCO2, a N supply notably increased the relative abundance of Nitrososphaeraceae and Nitrosomonadaceae at the family level; this trend was similar under eCO2. However, a N supply decreased Rhizobiaceae under eCO2 (Figure 7B).
Figure 7.
Transitions of soil microbes under different CO2 levels and N supply levels. (A) Simpson’s, Shannon’s, Sob’s, and Ace’s microbial diversity indices at the OTU level. The data are the means ± SE (n = 3). Lower-case letters above the bars indicate significant differences between different N supply treatments for the same CO2 treatment (a, b) and between different CO2 concentrations for the same N treatment (x, y) at p < 0.05. The results of the two-way ANOVA are also presented at different p levels to show the interactive effects of CO2 × N supply on the measured variables. (B) The relative abundance of the microbial community at the family level. (C) A principal component analysis (PCA) of the microbial community composition at the OTU level. (D) A redundancy analysis (RDA) plot showing the relationship between environmental factors and the microbial community structure at the OTU level. Abbreviations: aCO2, atmospheric CO2; eCO2, elevated CO2; N0, no N supply; N100, 100 mg N kg−1 DW soil.
A PCA showed that the CO2 treatment insignificantly influenced N-cycling microorganisms (p = 0.114, Figure 7C). In contrast, a N supply highly changed the community structure of N-cycling microorganisms. To determine whether environmental characteristics had an additional effect on the community structure, we performed a redundancy analysis (RDA), a constrained ordination technique that attempts to explain differences in the microbial composition between samples by differences in explanatory variables (e.g., disease status). In the RDA (RDA1 = 45.46%, RDA2 = 21.46%), the soil pH was the most influential factor (p < 0.01) on soil ammonia-oxidizing microbes (Figure 7D). These factors collectively determined the distribution pattern of soil N-cycling microbial communities. Co-occurrence networks were applied to reveal the complexity of connections among soil microbial communities (Figure 8 and Supplementary Table S1). Under aCO2 and eCO2, a N supply decreased the negative edges and increased the positive edges. Under N0 and N100, eCO2 decreased the negative edges and increased the positive edges. Under eCO2 conditions, a N supply increased the average degree, the diameter graph density, the average clustering coefficient, and the average path length. Under eCO2, the impact of a N supply on the dynamics of direct and indirect interactions among species within the microbial community was found to be diminished. These results suggested that a microbial community could maintain a highly connected and resilient interaction network, despite variations in N availability under a high CO2 level. These findings highlight how eCO2 concentrations can offset the effect of a N supply on the decreased abundance of soil microbial communities.
Figure 8.
Microbial co-occurrence networks were constructed for no N supply (N0) and a N supply (N100), and for soil exposed to atmospheric CO2 (aCO2) and elevated CO2 (eCO2). Each network was further divided into sub-networks, referred to as modules, which contained a set of microbes with numerous interactions. The layout and taxonomic profiles of eight domain modules (M1–M8) were analyzed. Nodes in the network represent microbes, while edges represent statistically significant associations between nodes. Abbreviations: aCO2, atmospheric CO2; eCO2, elevated CO2; N0, no N supply; N100, 100 mg N kg−1 DW soil.
3. Discussion
3.1. eCO2 and N Supply Enhanced the Biomass Production of Fababean
The faba bean biomass production was significantly increased by elevated CO2 (eCO2) and a N100 supply (Figure 1D,E), which is supported by other studies [28,29,30]. An adequate N supply is crucial for faba bean growth and development (Figure 5B) [31]. eCO2 could further enhance plant growth by increasing the availability of carbon skeletons for the synthesis of essential biomolecules [30]. This combined effect can lead to increased faba bean biomass production. In contrast, the faba bean nodule biomass was reduced by a N supply under both aCO2 and eCO2 (Figure 1G,H and Figure 5L), which is the same result as that found in a previous study indicating that high rates of N fertilization could inhibit the formation of root nodules or reduce their effectiveness [12,32]. This means that the readily available N from fertilizer remains an important N source for faba beans, which may rely on it to a considerable extent compared to the N derived from their symbiotic relationship with N-fixing bacteria.
3.2. eCO2 Offset the Inhibition of a N Supply on Photosynthetic Parameters
Nitrogen plays a crucial role in plant photosynthesis, and the supply status of N directly or indirectly affects the efficiency of photosynthesis and the plant growth performance [33]. A nitrogen application under aCO2 usually inhibits the net photosynthetic rate of legume crops [34]. We observed a similar inhibition by a N supply on the net photosynthesis and CO2 assimilation (Figure 2). The application of N may impact the content and stability of leaf chlorophyll, as well as the opening and closing of stomata, thereby affecting gas exchange and photosynthesis [35,36]. Meanwhile, excessive N application has previously been found to stimulate rapid plant growth, leading to an imbalance between vegetative and reproductive growth [37]. This imbalance ultimately affects the distribution and utilization of photosynthetic products, resulting in a decrease in the net photosynthetic rate [37].
Our findings suggest that the presence of eCO2 could mitigate the adverse consequences of N limitation (Figure 2). This mitigation can be attributed to the high concentration of CO2, which facilitates improved carbon assimilation. This study indicates that the presence of eCO2 enhances the positive impact of a N supply on the harvest index of faba beans and the suppression of the photorespiration pathway [38]. Collectively, these observations suggest that eCO2 levels positively impact photosynthesis and CO2 assimilation under N100 (Figure 2). These suppositions were based on the photosynthetic parameters measured at a single sampling time during the flowering stage; these parameters can vary dynamically as the plant progresses through different growth stages. At certain stages, such as flowering, the photosynthetic rate might be higher, but the products are primarily used for the development of reproductive organs rather than increasing the overall biomass [39]. This allocation of resources may lead to a negative relationship between the total biomass production at harvest (Figure 1E) and the net photosynthetic rate observed during the flowering stage (Figure 2A). When the stomatal conductance was increased by eCO2, the intercellular carbon dioxide concentration did not rise, but the transpiration rate did (Figure 2). If the transpiration rate is excessively high (usually under conditions of high temperatures and low humidity), plants may close their stomata to reduce water loss [40]. After the stomata close, the entry of carbon dioxide is also limited, leading to a decrease in the intercellular carbon dioxide concentration [40]. In this situation, the stomatal conductance would be extremely high, while the net photosynthetic rate would not be able to respond to such stomatal conductance changes well.
3.3. eCO2 and N Supply Reduced Root N, but Increased Seed N
The concentrations of N in both the shoots and roots of faba beans were reduced under eCO2 (Figure 3A–C and Figure 6K). These findings align with previous studies that have reported similar decreases in the N concentrations in the shoots and roots of faba beans under eCO2 levels ranging from 550 to 800 ppm [41,42,43,44]. Nonetheless, it is important to note that, despite this reduction, the overall biomass of the plant and its interactions with rhizobia were enhanced, leading to an overall increase in the seed N (Figure 1E, Figure 3D and Figure 5B). The decline in the N concentration in faba bean plants under eCO2 can be attributed to several underlying mechanisms. Firstly, the dilution effect resulting from the increased biomass plays a significant role in this reduction [45,46]. Additionally, decreased transpiration rates, which limit nutrient uptake, contribute to the overall decrease in N rates [42,47,48]. Furthermore, the reduced levels of the Rubisco enzyme, a key player in photosynthesis, further exacerbate the situation by hindering N assimilation [49,50]. The diminished dark respiration under eCO2 may result in a decrease in energy-rich compounds in the cytoplasm [51]. This reduction in energy availability could lead to a scarcity of the reductants required for N reduction, thereby impacting the soil N absorption process [52,53].
The results also indicated that a N supply played a supplementary role against the decrease in the seed N concentrations caused by eCO2 (Figure 3), which is supported by other studies. The effect of elevated CO2 on the potential denitrification of soils and data on the soil available N are presented, which may be related to the complementary effect of a N supply on the seed N concentration [54]. The physiological responses of crops to an increased atmospheric CO2 concentration, including the effects of N fertilizers on the plant leaf N concentration, may be related to the effect of a N supply under eCO2 conditions [55]. This highlights the importance of nutrient management strategies to maintain proper N uptake and distribution in faba bean plants as the aCO2 levels continue to rise.
3.4. N Supply Increased Soil NO3−-N Concentration While Decreasing Soil pH
Nitrification is a central component of the soil N cycle and is responsible for the oxidation of NH4+ to NO3−, a key nutrient source for plant growth [56]. Changes in the soil pH directly influence the growth and activity of nitrifying bacteria and ammonia-oxidizing bacteria, thereby affecting the rate and efficiency of nitrification [57]. In alkaline soils, nitrifying bacteria are more active, while acidic soils favor the dominance of ammonia-oxidizing bacteria [58]. Soil acidification following the use of N fertilizers is attributed to the process of ammonium nitrification, wherein each mole of NH4+ undergoing nitrification releases two hydrogen atoms [59]. Under both eCO2 and aCO2, the soil pH became more acidic upon N application, and a N supply led to a significant increase in the NO3− levels (Figure 4). The level of soil N is also a significant factor affecting the structure and function of nitrifying communities [60]. Higher levels of soil available N, indicating a richer N source, can enhance the abundance and activity of nitrifying bacteria. The genera that are particularly sensitive to changes in the N supply include Nitrospira, which shows a notable response to variations in N levels. In contrast, Devosia, which is crucial for nodule formation and N2 fixation, may be affected by insufficient levels of available N; thus, the available N can restrict the growth and functionality of these bacteria [60,61,62].
3.5. N Supply Increased the Relative Abundance and Structural Complexity of Nitrososphaeraceae
Plants absorb N primarily as NH4+, NO3−, and some organic N compounds. Microbes such as rhizobia, nitrifying bacteria, denitrifying bacteria, and mycorrhizal fungi facilitate this process [63]. The plant biomass showed a significant correlation with the soil NO3−-N under both the N0 and N100 conditions (Figure 5B), but no significant correlation was found with the soil NH4+-N (Figure 5A). NO3−-N is more readily absorbed and utilized by faba beans compared to NH4+-N and it exhibits a greater stability in soil, making it less susceptible to changes in the soil pH [64]. Soil microorganisms convert NH4+-N to NO3−-N through nitrification, enabling its absorption by faba beans [65]. Additionally, NO3−-N shows a stronger correlation with the soil microbial community (Figure 7C,D). Under aCO2 and eCO2, N100 boosted the growth of Nitrososphaeraceae and Nitrosomonadaceae, bacteria that play a key role in nitrification (Figure 7B). At the same time, it reduced the abundance of Rhizobiaceae, which are responsible for nitrogen fixation (Figure 7B). Applying the right amount of N can improve faba beans’ overall health [32]. If faba beans obtain chemical nitrogen from fertilizers, they might not need as much help from the nodules to fix nitrogen, and this can slow down the nitrogen-fixing process [66].
A previous study elucidated that eCO2 significantly augments the abundance of genes related to N2 fixation, ammonification, denitrification, and assimilatory N reduction at both the 0–5 cm and 5–15 cm soil depths [67]. This observed enhancement can be ascribed to the profound impact of eCO2 on soil microbial communities. Such an influence could be mediated through the following mechanisms: an increase in the C input from plants, alterations in the quality of plant litter (including changes in the carbon and N percentages), and modifications in soil characteristics (encompassing different pH and moisture levels) [25,68,69,70]. In this study, the PCA showed that a N supply greatly changed the community structure of soil ammonia-oxidizing microbes, and the RDA indicated that the soil pH was the most influential factor on soil ammonia-oxidizing microbes (Figure 7). The effectiveness of rhizobia, which are known to facilitate a plant’s N acquisition, appears to be compromised under eCO2 conditions [71]. This diminished efficacy could be attributed to alterations in the plant’s nutrient requirements and a general decrease in both energy and nutrient demands [72,73].
3.6. eCO2 Decreased the Abundance of Microorganism and a N Supply Increased the Structural Complexity of Microbial Communities
By utilizing 16S rRNA gene sequencing, our findings indicated that a N supply markedly increased the structure and the abundance of certain bacterial families involved in nitrification and N2 fixation processes (Figure 7). Within microbial community networks, under conditions of eCO2, a N supply fostered more intricate interactions among microbial entities (Figure 8). Under aCO2 and eCO2, a N supply decreased the negative edges (competition) and increased the positive edges (cooperation). Under N0 and N100, eCO2 decreased the negative edges (competition) and increased the positive edges (cooperation). Such shifts could result in alterations in a community’s resilience and resistance to disturbances, thereby impacting its long-term stability and biodiversity [74]. Several reasons may contribute to the subtle difference in microbial responses to a N supply under eCO2. First, the composition and functional structure of microbial communities were significantly different between the two N supply levels, thus resulting in a differential functional potential/activity [75,76,77,78]. Second, the soil may contain more organic matter from plant residues under eCO2, resulting in differences in nutrient availability for microbial growth and activities [79,80,81,82,83]. Third, the soil physiochemical properties (e.g., soil aggregate size, pH, temperature, moisture, etc.) may change with the N supply and some of them (e.g., temperature, soil moisture) may experience wider fluctuations under eCO2 than under aCO2, thus differentially affecting the microbial responses to a N supply under eCO2 [84,85,86,87].
4. Materials and Methods
4.1. Description of Experimental Site
The experimental site was in the National Monitoring Base of Purple Soil Fertility and Fertilizer Effect (29°48′ N, 106°24′ E, 266.3 m above sea level) on the campus of Southwest University, Beibei District, Chongqing, China, located in the purple hilly region with a subtropical monsoon climate. The soil used in this study was purple soil (Eutric Regosol, the FAO Soil Classification System), which developed from the purple mud and shale of the Jurassic Shaximiao Formation [88]. Its basic chemical properties were as follows: a pH of 7.4 (1:2.5 w/v, soil/water) and organic matter, total N, NH4+-N, and NO3−-N of 9.00 g kg−1, 0.53 g kg−1, 7.81 mg kg−1, and 16.47 mg kg−1, respectively. Over the past 30 years, the mean annual temperature has been 18.4 °C, the mean annual precipitation has been 1145.5 mm, and the mean annual sunshine has been 1276.7 h. The atmospheric CO2 (aCO2) concentration in the field was ~415 ppm during the experimental period.
4.2. Design and Description of Custom-Built Chambers
The experiment was carried out in 6 identical enclosed gas chambers, which were made of a steel frame structure covered with transparent glass (a thickness of 10 mm and a light transmission rate of 90%) (Yutao Glass Company, Chongqing, China) (length × width × height = 1.5 m × 1.0 m × 2.5 m). The top of the gas chamber was laid with hard plastic tubes, which were evenly perforated. The gas flow solenoid valve (AirTAC (China) Co., Ltd., Yueqing, China) was connected to a metal cylinder containing pure CO2 as the gas source. Each chamber was connected to two air pumps (suction and intake), and the excess CO2 and water vapor in the chamber were balanced with a 1M NaOH solution and anhydrous CaCl2, respectively. A hanging air conditioner (Gree, Zhuhai Gree Company, Zhuhai, China) was installed on the top of the air chamber to regulate the temperature of the room. An atmospheric light, temperature, and humidity sensor (Jingxun Electronic Technology, Weihai, Shandong, China) and a CO2 concentration detector (infrared CO2 sensor module B-530, ELT SENSOR Corp., Bucheon-si, Gyeonggi-do, Republic of Korea) were installed in the middle of the chamber. All of these devices were deployed using a fully automatic control device (DSS-QZD, Qingdao Shengsen Numerical Control Technology Institute, Qingdao, Shandong, China). The whole system could automatically control a similar temperature, humidity, and CO2 concentration inside and outside the glass chamber and ensure that the CO2 concentration in the chamber was maintained at the experimental design value [89].
4.3. Design of Experiment and Preparation of Materials
In a randomized block design, the experiment consisted of four treatments (two CO2 levels and two nitrogen fertilization rates) and each treatment was replicated three times in pots for a total of 12 pots (2 CO2 levels × 2 N fertilization rates × 3 replicates for each treatment) (Supplementary Figure S1). Based on the field-detected CO2 concentration, we set up two CO2 concentration (±30 ppm) treatments: (1) atmospheric CO2 (aCO2, 410 ppm during daytime/460 ppm at night), and (2) eCO2 (eCO2, 550 ppm during daytime/610 ppm at night). The time of day and night for the CO2 treatment varied with the local sunrise and sunset times and changed with the seasons. The other growth conditions, including a similar light level, temperature, humidity, etc., were automatically adjusted inside and outside the glass growth chamber. A detailed description of the automatically controlled environmental facility used in this study can be found in our previous publications [89,90].
The faba bean (Vicia faba L.), an important leguminous crop for supplying plant protein to people, particularly in the countryside, symbiotically fixes N2 with rhizobia and, thus, relieves a N deficiency to some degree under eCO2 [91]. Faba bean seeds (V. faba cv. 89–147) were sterilized with 6% (v/v) hydrogen peroxide and germinated on sterile filter paper [92]. The germinated seeds were sown in plastic pots (diameter = 22 cm, height = 20 cm, each containing 5 kg of soil) and cultivated until they reached the harvest stage (~5 months old).
Two N fertilization treatments were also applied as (1) no N supply (N0) and (2) 100 mg N kg−1 DW soil, in addition to the application of P (100 mg P kg−1 DW soil, Ca(H2PO4)2) and K (126 mg K kg−1 DW soil, K2SO4). All the fertilizers were applied and thoroughly mixed before planting the faba beans. The potting preparation, row spacing, N supply, and irrigation followed the common cultivation practices in the local area, and no pesticides or fungicides were used. Four uniform faba bean seedlings were arranged in each pot. To ensure a similar environment for all the plants, the potted plants in the room were rotated once per week. Adequate irrigation was provided to maintain the soil moisture at ~70 ± 5% of the field capacity.
4.4. Measurement of Photosynthetic Parameters
During the flowering stage of the faba beans, the photosynthetic parameters were measured. Four to six fully expanded compound leaves, free from visible fungal infections, but possibly with asymptomatic colonization, were carefully selected from the tips of the stems. The measurements were taken between 8:30 and 11:30 a.m. on a sunny morning on 9 April 2019, using a Li-6400XT portable photosynthesis system (Li-Cor Inc., Lincoln, NE, USA) with an internal red–blue light source. The light intensity was set at 1000 μmol m−2 s−1. The CO2 concentration in the reference chamber was maintained at 410 μmol mol−1 for the N0 and N100 treatments under aCO2, and 550 μmol mol−1 for the same treatments under eCO2. The recorded parameters included the net photosynthetic rate (Pn), the stomatal conductance (Gs), the intercellular CO2 concentration (Ci), and the transpiration rate (E).
4.5. Preparation of Plant and Soil Samples
Plant and soil samples were collected at the time of faba bean harvest (5 months old) by wearing disposable gloves to avoid contamination. Any plant material or debris was removed from the soil samples. A total of 10 soil cores from different locations within the same pot were collected to create a composite sample for minimizing spatial variability. The collected samples were packed in sterile ziplocked bags and transported to the laboratory in a portable refrigerator (−18 °C), where they were stored at −80 °C for soil DNA extraction. After removing the residual roots, a portion of the soil samples were ground through 2 mm and 0.25 mm sieves and air-dried for a soil physical and chemical property analysis. The plants were further divided into roots, stems, leaves, and seeds. The plant samples were dried in an oven at 70 °C for 72 h, and then the tissue biomass dry weight, grain yield, and harvest index (ratio of seed biomass/shoot biomass) of the faba beans were determined.
4.6. Determination of Plant and Soil Chemical Characteristics
Using a LE438 composite electrode meter (Mettler Toledo Instrument Co., Ltd., Shanghai, China), the soil pH was determined with a soil–water ratio of 1:2.5 (w/v). The soil organic matter was determined by the K2Cr2O7 external heating method and the soil total N was determined by the Kjeldahl method. The soil soluble inorganic N (NH4+-N and NO3−-N) was extracted by the Bremner method. The plant total N was determined using the indophenol blue colorimetric method, which involves boiling the test solution with a mixture of sulfuric acid and hydrogen peroxide, followed by measuring at a wavelength of 690 nm. All these above-mentioned parameters were determined according to the relevant methodologies in [93].
4.7. Analysis of Soil Bacterial and Archaeal Community Based on Illumina Sequencing
The total DNA of soil microorganisms was extracted from 2 mL of sludge using a FastDNA® SPIN Kit for Soil (MP Biomedicals, LLC, Irvine, CA, USA). The specific operation was carried out strictly in accordance with the kit’s instructions. The extracted total microbial DNA was stored in a refrigerator at −20 °C for future use. The extracted genomic DNA was detected by 1% agarose gel electrophoresis (Bio-Rad Inc., Hercules, CA, USA) and a NanoDrop-2000 spectrophotometer (NanoDrop Technologies Inc., Wilmington, TX, USA). Three replicates were extracted from each composite soil sample, and the extracted DNA solutions were pooled together. Each treatment had three composite DNA samples. The bacterial community composition of the rhizosphere soil was analyzed by high-throughput amplification sequencing. The forward primer 515FmodF (GTGYCAGCMGCCGCGGTAA) and the reverse primer 806RmodR (GGACTACNVGGGTWTCTAAT) were used for bacterial and archaeal 16S rRNA gene PCR amplification of the V4 region, and sequencing was performed using Illumina MiSeq sequencing technology (Illumina, San Diego, CA, USA). The operational taxonomic units (OTUs) were classified by Usearch (v7.1) with a 97% sequence similarity threshold. The microbial community structure and relative abundance were obtained by OTUs with an online platform, namely the Majorbio Cloud (https://cloud.majorbio.com/, accessed on 10 July 2024).
4.8. Statistical Analysis
The data were analyzed using a two-way ANOVA with SPSS 19.0 (SPSS Inc., Chicago, USA) to assess differences under different CO2 and N supply levels. The data (means ± SE, n = 3) were compared by Duncan’s multiple range test at the p < 0.05 level. The statistical analyses were conducted using GraphPad Prism (GraphPad Software, version 8.0.2) to assess the characteristics of the relationships. Alpha diversity analyses were performed using the QIIME2 platform, with the results subsequently visualized through graphical representations generated with Mothur (version 1.30.2; https://mothur.org/wiki/calculators/, accessed on 24 April 2024). A principal component analysis (PCA) was conducted based on the OTU data of each sample using R (version 3.3.1). A redundancy analysis (RDA) was utilized to elucidate the relationships between the sample distributions and environmental factors, with the significance tested via a permutation test akin to an ANOVA, implemented through the vegan package in R (version 3.3.1). A co-occurrence network analysis to uncover interactions among aquatic microorganisms across different groups was conducted using Gephi (version 0.9.2).
5. Conclusions
We observed that a N supply and eCO2 could improve the plant biomass production of faba beans; however, a N supply still reduced the nodulation of faba beans. The restriction of the N supply impaired the leaf net photosynthesis and CO2 assimilation in faba beans. However, the adverse effects of N limitation were ameliorated under eCO2, which helped maintain photosynthetic activity. While eCO2 led to a decrease in the faba beans’ shoot N and root N, an increase in biomass contributed to a higher proportion of N in the seeds, with a concurrent decrease in the shoots. This redistribution of N could enhance the active N utilization efficiency. Our study also revealed that Nitrososphaeraceae exhibited a negative response to a N supply under eCO2. On the other hand, a N supply increased the structural complexity of the microbial communities under eCO2. These results indicate that an increased N supply is necessary to achieve a higher seed N accumulation and to support a higher complexity of soil microbial communities during faba bean cultivation. Advancements in this area are vital for the sustainable improvement of soil fertility and plant productivity under global environmental change scenarios.
Supplementary Materials
The following supporting information can be downloaded at: https://www.mdpi.com/article/10.3390/plants13172483/s1, Table S1: Topological features in co-occurrence networks of different treatments: a fertilized treatment with no N supply (N0) and a N supply (N100) with exposure to atmospheric CO2 (aCO2) and eCO2 (eCO2). Figure S1: The design and layout of the experimental treatments. The experiment consisted of four treatments, combining two CO2 levels (aCO2, daytime/nighttime = 410/460 ppm; eCO2, 550/610 ppm) and two N fertilization rates (without N supply—N0—and 100 mg N as urea per kg of soil—N100), and each treatment was replicated three times in pots for a total of 12 pots. Note: three randomly arranged chambers were for either the aCO2 or eCO2 treatment, while the N0- and N100-fertilized plants were grown together inside the chamber under different CO2 treatments. The row spacing between plants inside a pot was 12 cm, while the spacing between pots inside a chamber was 20 cm.
Author Contributions
X.D. and X.H. conceived and designed the experiments. X.D., S.S. (Sharifullah Sharifi) and S.S. (Songmei Shi) performed the experiments and analyzed the data. X.D. and H.L. drafted the manuscript. F.W., Z.W. and X.H. analyzed the data and edited the manuscript. X.H. and J.M. supervised this study, analyzed the data, and edited the manuscript. All authors approved the manuscript submission. All authors have read and agreed to the published version of the manuscript.
Funding
This research was funded by the Zhejiang Provincial Key Research and Development Program (2023C02020); the Natural Science Foundation of China (32302678); the Basic Public Welfare Research Plan of Zhejiang Province (LGN22C150022); the Zhejiang Province High-level Talent Project (2021R52045); the Sichuan Science and Technology Program (2024YFHZ0178); and the Key Laboratory of Eco-environments in the Three Gorges Reservoir Region (Ministry of Education) at Southwest University, China.
Data Availability Statement
The data are contained within the article. The data presented in this study are openly available in the [NCBI Sequence Read Archive (SRA) database] at [https://www.ncbi.nlm.nih.gov, accessed on 10 July 2024], reference number [PRJNA1133944].
Acknowledgments
We acknowledge Lionel Dupuy from the ikerbasque Basque Foundation for Science and Hong Shen from Southwest University for their valuable suggestions for this study.
Conflicts of Interest
The authors declare no conflicts of interest.
References
- Intergovernmental Panel on Climate Change(IPCC) (Ed.) Changing state of the climate system. In Climate Change 2021—The Physical Science Basis: Working Group. I Contribution to the Sixth Assessment Report. of the Intergovernmental Panel on Climate Change; Cambridge University Press: Cambridge, UK, 2023; pp. 287–422. [Google Scholar]
- Ruan, Y.; Kuzyakov, Y.; Liu, X.; Zhang, X.; Xu, Q.; Guo, J.; Guo, S.; Shen, Q.; Yang, Y.; Ling, N. Elevated temperature and CO2 strongly affect the growth strategies of soil bacteria. Nat. Commun. 2023, 14, 391. [Google Scholar] [CrossRef]
- Mardani, A.; Streimikiene, D.; Cavallaro, F.; Loganathan, N.; Khoshnoudi, M. Carbon dioxide (CO2) emissions and economic growth: A systematic review of two decades of research from 1995 to 2017. Sci. Total Environ. 2019, 649, 31–49. [Google Scholar] [CrossRef] [PubMed]
- He, M.; Cui, J.; Zhang, Q.; Li, L.; Huang, L.; Hong, S. Unraveling the role of vegetation CO2 physiological forcing on climate zone shifts in China. Geophys. Res. Lett. 2024, 51, e2023GL107826. [Google Scholar] [CrossRef]
- Houshmandfar, A.; Fitzgerald, G.; O’Leary, G.; Tausz-Posch, S.; Fletcher, A.; Tausz, M. The relationship between transpiration and nutrient uptake in wheat changes under elevated atmospheric CO2. Physiol. Plant. 2017, 163, 516–529. [Google Scholar] [CrossRef]
- Xiao, L.; Liu, G.; Li, P.; Xue, S. Elevated CO2 and nitrogen addition have minimal influence on the rhizospheric effects of Bothriochloa ischaemum. Sci. Rep. 2017, 7, 6527. [Google Scholar] [CrossRef] [PubMed]
- Li, L.; Yang, T.; Liu, R.; Redden, B.; Maalouf, F.; Zong, X. Food legume production in China. Crop J. 2017, 5, 115–126. [Google Scholar] [CrossRef]
- Reich, P.B.; Knops, J.; Tilman, D.; Craine, J.; Ellsworth, D.; Tjoelker, M.; Lee, T.; Wedin, D.; Naeem, S.; Bahauddin, D.; et al. Plant diversity enhances ecosystem responses to elevated CO2 and nitrogen deposition. Nature 2001, 410, 809–812. [Google Scholar] [CrossRef]
- Luscher, A.; Hendrey, G.R.; Nosberger, J. Long-term responsiveness to free air CO2 enrichment of functional types, species and genotypes of plants from fertile permanent grassland. Oecologia 1997, 113, 37–45. [Google Scholar]
- Torres, A.; Avila, C.; Stoddard, F.; Cubero, J. Genetics, Genomics and Breeding of Cool Season Grain Legumes, 1st ed.; Taylor Francis Group: Boca Raton, FL, USA, 2012; pp. 50–97. [Google Scholar]
- Ainsworth, E.A.; Rogers, A.; Nelson, R.; Long, S.P. Testing the “source-sink” hypothesis of down-regulation of photosynthesis in elevated CO2 in the field with single gene substitutions in Glycine max. Agric. For. Meteorol. 2004, 122, 85–94. [Google Scholar] [CrossRef]
- Luo, C.; Zhu, J.; Ma, L.; Guo, Z.; Dong, K.; Dong, Y. Effects of nitrogen regulation and strip intercropping on faba bean biomass, nitrogen accumulation and distribution, and interspecific interactions. Crop Sci. 2021, 61, 4325–4343. [Google Scholar] [CrossRef]
- Ma, G.; Zheng, Y.; Zhang, J.; Guo, Z.; Dong, Y. Changes in canopy microclimate of faba bean under intercropping at controlled nitrogen levels and their correlation with crop yield. J. Sci. Food Agric. 2023, 103, 4489–4502. [Google Scholar] [CrossRef] [PubMed]
- Allito, B.B.; Ewusi-Mensah, N.; Logah, V.; Hunegnaw, D.K. Legume-rhizobium specificity effect on nodulation, biomass production and partitioning of faba bean (Vicia faba L.). Sci. Rep. 2021, 11, 3678. [Google Scholar] [CrossRef] [PubMed]
- Lukac, M.; Calfapietra, C.; Lagomarsino, A.; Loreto, F. Global climate change and tree nutrition: Effects of elevated CO2 and temperature. Tree Physiol. 2010, 30, 1209–1220. [Google Scholar] [CrossRef]
- Luo, Y.; Su, B.; Currie, W.S.; Dukes, J.S.; Finzi, A.C.; Hartwig, U.; Hungate, B.; McMurtrie, R.E.; Oren, R.; Parton, W.J.; et al. Progressive nitrogen limitation of ecosystem responses to rising atmospheric carbon dioxide. Bioscience 2004, 54, 731–739. [Google Scholar] [CrossRef]
- Nguyen, L.T.T.; Broughton, K.; Osanai, Y.; Anderson, I.C.; Bange, M.P.; Tissue, D.T.; Singh, B.K. Effects of elevated temperature and elevated CO2 on soil nitrification and ammonia-oxidizing microbial communities in field-grown crop. Sci. Total Environ. 2019, 675, 81–89. [Google Scholar] [CrossRef]
- Yu, Z.; Li, Y.; Wang, G.; Liu, J.; Liu, J.; Liu, X.; Herbert, S.J.; Jin, J. Effectiveness of elevated CO2 mediating bacterial communities in the soybean rhizosphere depends on genotypes. Agric. Ecosyst. Environ. 2016, 231, 229–232. [Google Scholar] [CrossRef]
- He, Z.L.; Deng, Y.; Van Nostrand, J.D.; Tu, Q.C.; Xu, M.Y.; Hemme, C.L.; Li, X.Y.; Wu, L.Y.; Gentry, T.J.; Yin, Y.F.; et al. GeoChip 3.0 as a high-throughput tool for analyzing microbial community composition, structure and functional activity. ISME J. 2010, 4, 1167–1179. [Google Scholar] [CrossRef] [PubMed]
- Lee, T.D.; Reich, P.B.; Tjoelker, M.G. Legume presence increases photosynthesis and N concentrations of co-occurring non-fixers but does not modulate their responsiveness to carbon dioxide enrichment. Oecologia 2003, 137, 22–31. [Google Scholar] [CrossRef]
- Diaz, S.; Grime, J.P.; Harris, J.; McPherson, E. Evidence of a feedback mechanism limiting plant response to elevated carbon dioxide. Nature 1993, 364, 616–617. [Google Scholar] [CrossRef]
- Zak, D.R.; Pregitzer, K.S.; Curtis, P.S.; Teeri, J.A.; Fogel, R.; Randlett, D.L. Elevated atmospheric CO2 and feedback between carbon and nitrogen cycles. Plant Soil 1993, 151, 105–117. [Google Scholar] [CrossRef]
- Shen, L.-d.; Yang, Y.-l.; Liu, J.-q.; Hu, Z.-h.; Liu, X.; Tian, M.-h.; Yang, W.-t.; Jin, J.-h.; Wang, H.-y.; Wang, Y.-y.; et al. Different responses of ammonia-oxidizing archaea and bacteria in paddy soils to elevated CO2 concentration. Environ. Pollut. 2021, 286, 117558. [Google Scholar] [CrossRef] [PubMed]
- Wan, R.; Chen, Y.; Zheng, X.; Su, Y.; Li, M. Effect of CO2 on microbial denitrification via inhibiting electron transport and consumption. Environ. Sci. Technol. 2016, 50, 9915–9922. [Google Scholar] [CrossRef]
- He, Z.; Piceno, Y.; Deng, Y.; Xu, M.; Lu, Z.; DeSantis, T.; Andersen, G.; Hobbie, S.E.; Reich, P.B.; Zhou, J. The phylogenetic composition and structure of soil microbial communities shifts in response to elevated carbon dioxide. ISME J. 2012, 6, 259–272. [Google Scholar] [CrossRef]
- Roux, X.; Bouskill, N.; Niboyet, A.; Barthes, L.; Dijkstra, P.; Field, C.; Hungate, B.; Lerondelle, C.; Pommier, T.; Tang, J.; et al. Predicting the responses of soil nitrite-oxidizers to multi-factorial global change: A trait-based approach. Front. Microbiol. 2016, 7, 628. [Google Scholar] [CrossRef]
- Simonin, M.; Le Roux, X.; Poly, F.; Lerondelle, C.; Hungate, B.A.; Nunan, N.; Niboyet, A. Coupling Between and Among Ammonia Oxidizers and Nitrite Oxidizers in Grassland Mesocosms Submitted to Elevated CO2 and Nitrogen Supply. Microb. Ecol. 2015, 70, 809–818. [Google Scholar] [CrossRef]
- Bezabeh, M.; Haile, M.; Trine, S.; Eich-Greatorex, S. Yield, nutrient uptake, and economic return of faba bean (Vicia faba L.) in calcareous soil as affected by compost types. J. Agric. Food Res. 2021, 6, 100237. [Google Scholar] [CrossRef]
- Liu, Y.; Yin, X.; Xiao, J.; Tang, L.; Zheng, Y. Interactive influences of intercropping by nitrogen on flavonoid exudation and nodulation in faba bean. Sci. Rep. 2019, 9, 4818. [Google Scholar] [CrossRef] [PubMed]
- Parvin, S.; Uddin, S.; Tausz-Posch, S.; Fitzgerald, G.; Armstrong, R.; Tausz, M. Elevated CO2 improves yield and N2 fixation but not grain N concentration of faba bean (Vicia faba L.) subjected to terminal drought. Environ. Exp. Bot. 2019, 165, 161–173. [Google Scholar] [CrossRef]
- Bangar, S.P.; Kajla, P. Introduction: Global status and production of faba-bean. In Faba Bean: Chemistry, Properties and Functionality; Punia Bangar, S., Bala Dhull, S., Eds.; Springer International Publishing: Cham, Switzerland, 2022; pp. 1–15. [Google Scholar]
- Lv, J.; Xiao, J.; Guo, Z.; Dong, K.; Dong, Y. Nitrogen supply and intercropping control of Fusarium wilt in faba bean depend on organic acids exuded from the roots. Sci. Rep. 2021, 11, 9589. [Google Scholar] [CrossRef]
- Fathi, A. Role of nitrogen (N) in plant growth, photosynthesis pigments, and N use efficiency: A review. Agrisost 2022, 28, 1–8. [Google Scholar] [CrossRef]
- Li, Y.-T.; Li, Y.; Li, Y.-N.; Liang, Y.; Sun, Q.; Li, G.; Liu, P.; Zhang, Z.-S.; Gao, H.-Y. Dynamic light caused less photosynthetic suppression, rather than more, under nitrogen deficit conditions than under sufficient nitrogen supply conditions in soybean. BMC Plant Biol. 2020, 20, 339. [Google Scholar] [CrossRef] [PubMed]
- Kumari, S. Effects of nitrogen levels on anatomy, growth, and chlorophyll content in sunflower (Helianthus annuus L.) leaves. J. Agric. Sci. 2017, 9, 208. [Google Scholar] [CrossRef][Green Version]
- Cui, E.; Xia, J.; Luo, Y. Nitrogen use strategy drives interspecific differences in plant photosynthetic CO2 acclimation. Glob. Chang. Biol. 2023, 29, 3667–3677. [Google Scholar] [CrossRef]
- Zhao, C.; Liu, G.; Chen, Y.; Jiang, Y.; Shi, Y.; Zhao, L.; Liao, P.; Wang, W.; Xu, K.; Dai, Q.; et al. Excessive nitrogen application leads to lower rice yield and grain quality by inhibiting the grain filling of inferior grains. Agriculture 2022, 12, 962. [Google Scholar] [CrossRef]
- Wang, Y.; Stessman, D.J.; Spalding, M.H. The CO2 concentrating mechanism and photosynthetic carbon assimilation in limiting CO2: How Chlamydomonas works against the gradient. Plant J. 2015, 82, 429–448. [Google Scholar] [CrossRef]
- Brazel, A.J.; Ó’Maoiléidigh, D.S. Photosynthetic activity of reproductive organs. J. Exp. Bot. 2019, 70, 1737–1754. [Google Scholar] [CrossRef]
- Moore, C.E.; Meacham-Hensold, K.; Lemonnier, P.; Slattery, R.A.; Benjamin, C.; Bernacchi, C.J.; Lawson, T.; Cavanagh, A.P. The effect of increasing temperature on crop photosynthesis: From enzymes to ecosystems. J. Exp. Bot. 2021, 72, 2822–2844. [Google Scholar] [CrossRef] [PubMed]
- Liao, J.; Li, M.; Liu, M.-Y.; Chang, T.; Le Gall, J.; Gui, L.-L.; Zhang, J.-P.; Liang, D.-C.; Chang, W.-R. Crystallization and preliminary crystallographic analysis of manganese superoxide dismutase from Bacillus halodenitrificans. Biochem. Biophys. Res. Commun. 2002, 294, 60–62. [Google Scholar] [CrossRef] [PubMed]
- Gonzaga, J.; Claudia, H.; Tamar, G.; Tomasz, K.; Maria, G.; Laurie, B.F.; Ludmila, O.; Burcak, K.; Ender, J.; Shalini, N.B.; et al. Exome sequence analysis suggests that genetic burden contributes to phenotypic variability and complex neuropathy. Cell Reports 2015, 12, 1169–1183. [Google Scholar] [CrossRef]
- Zhu, Z.; Piao, S.; Myneni, R.; Huang, M.; Zeng, Z.; Canadell, J.; Ciais, P.; Sitch, S.; Friedlingstein, P.; Arneth, A.; et al. Greening of the Earth and its drivers. Nat. Clim. Chang. 2016, 6, 791–795. [Google Scholar] [CrossRef]
- Thirkell, T.; Campbell, M.; Driver, J.; Pastok, D.; Merry, B.; Field, K. Cultivar-dependent increases in mycorrhizal nutrient acquisition by barley in response to elevated CO2. Plants People Planet 2020, 3, 553–566. [Google Scholar] [CrossRef]
- Taub, D.R.; Wang, X. Why are nitrogen concentrations in plant tissues lower under elevated CO2? A critical examination of the hypotheses. J. Integr. Plant Biol. 2008, 50, 1365–1374. [Google Scholar] [CrossRef] [PubMed]
- Jarrell, W.M.; Beverly, R.B. The Dilution Effect in Plant Nutrition Studies. Adv. Agron. 1981, 34, 197–224. [Google Scholar] [CrossRef]
- del Pozo, J.L.; Patel, R. The challenge of treating biofilm-associated bacterial infections. Clin. Pharmacol. Ther. 2007, 82, 204–209. [Google Scholar] [CrossRef] [PubMed]
- McGrath, J.M.; Lobell, D.B. Reduction of transpiration and altered nutrient allocation contribute to nutrient decline of crops grown in elevated CO2 concentrations. Plant Cell Environ. 2013, 36, 697–705. [Google Scholar] [CrossRef]
- Griffin, R.J.; Cocker Iii, D.R.; Seinfeld, J.H.; Dabdub, D. Estimate of global atmospheric organic aerosol from oxidation of biogenic hydrocarbons. Geophys. Res. Lett. 1999, 26, 2721–2724. [Google Scholar] [CrossRef]
- Drake, B.G.; GonzalezMeler, M.A.; Long, S.P. More efficient plants: A consequence of rising atmospheric CO2? Annu. Rev. Plant Physiol. Plant Mol. Biol. 1997, 48, 609–639. [Google Scholar] [CrossRef]
- Zhang, C.; Zhang, C.; Azuma, T.; Maruyama, H.; Shinano, T.; Watanabe, T. Different nitrogen acquirement and utilization strategies might determine the ecological competition between ferns and angiosperms. Ann. Bot. 2023, 131, 1097–1106. [Google Scholar] [CrossRef]
- Bloom, A.J.; Burger, M.; Rubio-Asensio, J.S.; Cousins, A.B. Carbon dioxide enrichment inhibits nitrate assimilation in wheat and arabidopsis. Science 2010, 328, 899–903. [Google Scholar] [CrossRef]
- Asensio, J.S.; Rachmilevitch, S.; Bloom, A.J. Responses of Arabidopsis and wheat to rising CO2 depend on nitrogen source and nighttime CO2 levels. Plant Physiol. 2015, 168, 156–163. [Google Scholar] [CrossRef]
- Liu, C.; Bol, R.; Ju, X.; Tian, J.; Wu, D. Trade-offs on carbon and nitrogen availability lead to only a minor effect of elevated CO2 on potential denitrification in soil. Soil Biol. Biochem. 2023, 176, 108888. [Google Scholar] [CrossRef]
- Li, Y.S.; Jin, J.; Liu, X.B. Physiological response of crop to elevated atmospheric carbon dioxide concen tration: A review. Acta Agron. Sin. 2021, 46, 1819–1830. (In Chinese) [Google Scholar]
- Heil, J.; Vereecken, H.; Brüggemann, N. A review of chemical reactions of nitrification intermediates and their role in nitrogen cycling and nitrogen trace gas formation in soil. Eur. J. Soil Sci. 2016, 67, 23–39. [Google Scholar] [CrossRef]
- Nicol, G.W.; Leininger, S.; Schleper, C.; Prosser, J.I. The influence of soil pH on the diversity, abundance and transcriptional activity of ammonia oxidizing archaea and bacteria. Environ. Microbiol. 2008, 10, 2966–2978. [Google Scholar] [CrossRef]
- Banning, N.C.; Maccarone, L.D.; Fisk, L.M.; Murphy, D.V. Ammonia-oxidising bacteria not archaea dominate nitrification activity in semi-arid agricultural soil. Sci. Rep. 2015, 5, 11146. [Google Scholar] [CrossRef]
- Dal Molin, S.J.; Ernani, P.R.; Gerber, J.M. Soil acidification and nitrogen release following application of nitrogen fertilizers. Commun. Soil Sci. Plant Anal. 2020, 51, 2551–2558. [Google Scholar] [CrossRef]
- Nendel, C.; Melzer, D.; Thorburn, P.J. The nitrogen nutrition potential of arable soils. Sci. Rep. 2019, 9, 5851. [Google Scholar] [CrossRef] [PubMed]
- Han, S.; Luo, X.; Liao, H.; Nie, H.; Chen, W.; Huang, Q. Nitrospira are more sensitive than Nitrobacter to land management in acid, fertilized soils of a rapeseed-rice rotation field trial. Sci. Total Environ. 2017, 599–600, 135–144. [Google Scholar] [CrossRef]
- Wolińska, A.; Kuźniar, A.; Zielenkiewicz, U.; Banach, A.; Izak, D.; Stępniewska, Z.; Błaszczyk, M. Metagenomic analysis of some potential nitrogen-fixing bacteria in arable soils at different formation processes. Microb. Ecol. 2017, 73, 162–176. [Google Scholar] [CrossRef]
- Zayed, O.; Hewedy, O.A.; Abdelmoteleb, A.; Ali, M.; Youssef, M.S.; Roumia, A.F.; Seymour, D.; Yuan, Z.-C. Nitrogen journey in plants: From uptake to metabolism, stress response, and microbe interaction. Biomolecules 2023, 13, 1443. [Google Scholar] [CrossRef]
- Cui, J.; Yu, C.; Qiao, N.; Xu, X.; Tian, Y.; Ouyang, H. Plant preference for NH4+ versus NO3− at different growth stages in an alpine agroecosystem. Field Crops Res. 2017, 201, 192–199. [Google Scholar] [CrossRef]
- Beeckman, F.; Motte, H.; Beeckman, T. Nitrification in agricultural soils: Impact, actors and mitigation. Curr. Opin. Biotechnol. 2018, 50, 166–173. [Google Scholar] [CrossRef]
- Li, Y.-Y.; Yu, C.-B.; Cheng, X.; Li, C.-J.; Sun, J.-H.; Zhang, F.-S.; Lambers, H.; Li, L. Intercropping alleviates the inhibitory effect of N fertilization on nodulation and symbiotic N2 fixation of faba bean. Plant Soil 2009, 323, 295–308. [Google Scholar] [CrossRef]
- Xiong, J.; He, Z.; Shi, S.; Kent, A.; Deng, Y.; Wu, L.; Van Nostrand, J.D.; Zhou, J. Elevated CO2 shifts the functional structure and metabolic potentials of soil microbial communities in a C4 agroecosystem. Sci. Rep. 2015, 5, 9316. [Google Scholar] [CrossRef] [PubMed]
- He, Z.; Xu, M.; Deng, Y.; Kang, S.; Kellogg, L.; Wu, L.; Nostrand, J.D.V.; Hobbie, S.E.; Reich, P.B.; Zhou, J. Metagenomic analysis reveals a marked divergence in the structure of belowground microbial communities at elevated CO2. Ecol. Lett. 2010, 13, 564–575. [Google Scholar] [CrossRef]
- Drigo, B.; Kowalchuk, G.A.; Knapp, B.A.; Pijl, A.S.; Boschker, H.T.S.; van Veen, J.A. Impacts of 3 years of elevated atmospheric CO2 on rhizosphere carbon flow and microbial community dynamics. Glob. Chang. Biol. 2013, 19, 621–636. [Google Scholar] [CrossRef] [PubMed]
- Carol Adair, E.; Reich, P.B.; Hobbie, S.E.; Knops, J.M.H. Interactive effects of time, CO2, N, and diversity on total belowground carbon allocation and ecosystem carbon storage in a grassland community. Ecosystems 2009, 12, 1037–1052. [Google Scholar] [CrossRef]
- Moussa, T.; Li, X.; Wang, Y. The efficacy of rhizobia inoculation under climate change. In Sustainable Crop Productivity and Quality Under Climate Change; Liu, F., Li, X., Hogy, P., Jiang, D., Brestic, M., Liu, B., Eds.; Academic Press: Cambridge, MA, USA, 2022; pp. 171–205. [Google Scholar]
- Staddon, P.L.; Gregersen, R.; Jakobsen, I. The response of two Glomus mycorrhizal fungi and a fine endophyte to elevated atmospheric CO2, soil warming and drought. Glob. Chang. Biol. 2004, 10, 1909–1921. [Google Scholar] [CrossRef]
- Reuveni, J.; Bugbee, B. Very high CO2 reduces photosynthesis, dark respiration and yield in wheat. Ann. Bot. 1997, 80, 539–546. [Google Scholar] [CrossRef]
- Hernandez, D.J.; David, A.S.; Menges, E.S.; Searcy, C.A.; Afkhami, M.E. Environmental stress destabilizes microbial networks. ISME J. 2021, 15, 1722–1734. [Google Scholar] [CrossRef]
- Li, S.; Peng, C.; Cheng, T.; Wang, C.; Guo, L.; Li, D. Nitrogen-cycling microbial community functional potential and enzyme activities in cultured biofilms with response to inorganic nitrogen availability. J. Environ. Sci. 2019, 76, 89–99. [Google Scholar] [CrossRef] [PubMed]
- Han, B.; He, Y.; Chen, J.; Wang, Y.; Shi, L.; Lin, Z.; Yu, L.; Wei, X.; Zhang, W.; Geng, Y.; et al. Different microbial functional traits drive bulk and rhizosphere soil phosphorus mobilization in an alpine meadow after nitrogen input. Sci. Total Environ. 2024, 931, 172904. [Google Scholar] [CrossRef] [PubMed]
- Guan, H.; Zhang, Y.; Mao, Q.; Zhong, B.; Chen, W.; Mo, J.; Wang, F.; Lu, X. Consistent effects of nitrogen addition on soil microbial communities across three successional stages in tropical forest ecosystems. CATENA 2023, 227, 107116. [Google Scholar] [CrossRef]
- Wang, Z.; Yang, S.; Wang, R.; Xu, Z.; Feng, K.; Feng, X.; Li, T.; Liu, H.; Ma, R.; Li, H.; et al. Compositional and functional responses of soil microbial communities to long-term nitrogen and phosphorus addition in a calcareous grassland. Pedobiologia 2020, 78, 150612. [Google Scholar] [CrossRef]
- Wang, C.; Wang, X.; Pei, G.; Xia, Z.; Peng, B.; Sun, L.; Wang, J.; Gao, D.; Chen, S.; Liu, D.; et al. Stabilization of microbial residues in soil organic matter after two years of decomposition. Soil Biol. Biochem. 2020, 141, 107687. [Google Scholar] [CrossRef]
- Vidal, A.; Klöffel, T.; Guigue, J.; Angst, G.; Steffens, M.; Hoeschen, C.; Mueller, C.W. Visualizing the transfer of organic matter from decaying plant residues to soil mineral surfaces controlled by microorganisms. Soil Biol. Biochem. 2021, 160, 108347. [Google Scholar] [CrossRef]
- Wang, B.; An, S.; Liang, C.; Liu, Y.; Kuzyakov, Y. Microbial necromass as the source of soil organic carbon in global ecosystems. Soil Biol. Biochem. 2021, 162, 108422. [Google Scholar] [CrossRef]
- Duan, X.; Gunina, A.; Rui, Y.; Xia, Y.; Hu, Y.; Ma, C.; Qiao, H.; Zhang, Y.; Wu, J.; Su, Y.; et al. Contrasting processes of microbial anabolism and necromass formation between upland and paddy soils across regional scales. CATENA 2024, 239, 107902. [Google Scholar] [CrossRef]
- Wang, B.; Huang, Y.; Li, N.; Yao, H.; Yang, E.; Soromotin, A.V.; Kuzyakov, Y.; Cheptsov, V.; Yang, Y.; An, S. Initial soil formation by biocrusts: Nitrogen demand and clay protection control microbial necromass accrual and recycling. Soil Biol. Biochem. 2022, 167, 108607. [Google Scholar] [CrossRef]
- Brito, L.F.; Azenha, M.V.; Janusckiewicz, E.R.; Cardoso, A.S.; Morgado, E.S.; Malheiros, E.B.; La Scala Jr, N.; Reis, R.A.; Ruggieri, A.C. Seasonal fluctuation of soil carbon dioxide emission in differently managed pastures. Agron. J. 2015, 107, 957–962. [Google Scholar] [CrossRef]
- Li, M.; Wu, P.; Ma, Z. A comprehensive evaluation of soil moisture and soil temperature from third-generation atmospheric and land reanalysis data sets. Int. J. Climatol. 2020, 40, 5744–5766. [Google Scholar] [CrossRef]
- Jiang, M.; Crous, K.Y.; Carrillo, Y.; Macdonald, C.A.; Anderson, I.C.; Boer, M.M.; Farrell, M.; Gherlenda, A.N.; Castañeda-Gómez, L.; Hasegawa, S.; et al. Microbial competition for phosphorus limits the CO2 response of a mature forest. Nature 2024, 630, 660–665. [Google Scholar] [CrossRef] [PubMed]
- Jin, J.; Krohn, C.; Franks, A.E.; Wang, X.; Wood, J.L.; Petrovski, S.; McCaskill, M.; Batinovic, S.; Xie, Z.; Tang, C. Elevated atmospheric CO2 alters the microbial community composition and metabolic potential to mineralize organic phosphorus in the rhizosphere of wheat. Microbiome 2022, 10, 12. [Google Scholar] [CrossRef] [PubMed]
- ISRIC; FAO. FAO-UNESCO Soil Map of the World: Revised Legend with Corrections and Updates; ISRIC: Wageningen, The Netherlands, 1997. [Google Scholar]
- Wang, F.; Gao, J.; Yong, J.W.H.; Wang, Q.; Ma, J.; He, X. Higher atmospheric CO2 levels favor C3 plants over C4 plants in utilizing ammonium as a nitrogen source. Front. Plant Sci. 2020, 11, 537443. [Google Scholar] [CrossRef]
- Shi, S.; Luo, X.; Wen, M.; Dong, X.; Sharifi, S.; Xie, D.; He, X. Funneliformis mosseae improves growth and nutrient accumulation in wheat by facilitating soil nutrient uptake under elevated CO2 at daytime, not nighttime. J. Fungi 2021, 7, 458. [Google Scholar] [CrossRef]
- Parvin, S.; Uddin, S.; Tausz-Posch, S.; Armstrong, R.; Tausz, M. Carbon sink strength of nodules but not other organs modulates photosynthesis of faba bean (Vicia faba) grown under elevated CO2 and different water supply. New Phytol. 2020, 227, 132–145. [Google Scholar] [CrossRef]
- Wei, X.; Wanasundara, J.P.D.; Shand, P. Short-term germination of faba bean (Vicia faba L.) and the effect on selected chemical constituents. Appl. Food Res. 2022, 2, 100030. [Google Scholar] [CrossRef]
- Jianhong, Y.; Chenglin, W.; Henglin, D. Soil Agrochemical Analysis and Environmental Monitoring Techniques; China Land Press: Beijing, China, 2008; pp. 18–64. (In Chinese) [Google Scholar]
Disclaimer/Publisher’s Note: The statements, opinions and data contained in all publications are solely those of the individual author(s) and contributor(s) and not of MDPI and/or the editor(s). MDPI and/or the editor(s) disclaim responsibility for any injury to people or property resulting from any ideas, methods, instructions or products referred to in the content. |
© 2024 by the authors. Licensee MDPI, Basel, Switzerland. This article is an open access article distributed under the terms and conditions of the Creative Commons Attribution (CC BY) license (https://creativecommons.org/licenses/by/4.0/).







