You are currently on the new version of our website. Access the old version .
PlantsPlants
  • Article
  • Open Access

2 April 2022

Comparative Proteomics Reveals the Difference in Root Cold Resistance between Vitis. riparia × V. labrusca and Cabernet Sauvignon in Response to Freezing Temperature

,
,
,
,
and
1
State Key Laboratory of Aridland Crop Science, Gansu Agricultural University, Lanzhou 730070, China
2
College of Horticulture, Gansu Agricultural University, Lanzhou 730070, China
*
Authors to whom correspondence should be addressed.
This article belongs to the Special Issue Molecular Responses to Temperature in Plants

Abstract

Grapevines, bearing fruit containing large amounts of bioactive metabolites that offer health benefits, are widely cultivated around the world. However, the cold damage incurred when grown outside in extremely low temperatures during the overwintering stage limits the expansion of production. Although the morphological, biochemical, and molecular levels in different Vitis species exposed to different temperatures have been investigated, differential expression of proteins in roots is still limited. Here, the roots of cold-resistant (Vitis. riparia × V. labrusca, T1) and cold-sensitive varieties (Cabernet Sauvignon, T3) at −4 °C, and also at −15 °C for the former (T2), were measured by iTRAQ-based proteomic analysis. Expression levels of genes encoding candidate proteins were validated by qRT-PCR, and the root activities during different treatments were determined using a triphenyl tetrazolium chloride method. The results show that the root activity of the cold-resistant variety was greater than that of the cold-sensitive variety, and it declined with the decrease in temperature. A total of 25 proteins were differentially co-expressed in T2 vs. T1 and T1 vs. T3, and these proteins were involved in stress response, bio-signaling, metabolism, energy, and translation. The relative expression levels of the 13 selected genes were consistent with their fold-change values of proteins. The signature translation patterns for the roots during spatio-temporal treatments of different varieties at different temperatures provide insight into the differential mechanisms of cold resistance of grapevine.

1. Introduction

The fruits of the grapevine (Vitis vinifera L.) are rich in phenolics, flavonoids, and resveratrol with many biological activities such as antioxidants, cardiovascular benefits, and cancer chemopreventive activity [1,2]. Nowadays, grapevines are cultivated in many countries around the world, principally distributed in Europe [3]. In China, the optimal regions for cultivation are mainly distributed in Gansu, Inner Mongolia, Ningxia, Shaanxi, Shandong, and Xinjiang [4]. Currently, the 13 varieties of Vitis that are cultivated on a large scale (>100,000 hm2) around the world mainly include Cabernet Sauvignon, Merlot, Chardonnay, Syrah, Sauvignon Blanc, and Pinot Noir [5].
In commercial large-scale cultivation, grapevines are frequently exposed to environmental stresses such as drought, salinity, and extreme temperatures [6]. Most cultivated grapevines are suited to grow in temperate and subtropical regions with mild winter conditions [7]. However, grapevines are often grown outside with severe winter conditions characterized by low temperatures, which limits the current and future expansion of production [8]. In order to diminish the freeze damage, several efforts including evaluating cold-resistant species or varieties, as well as revealing the mechanisms of cold resistance, have been undertaken. Evaluating the cold-resistant species or varieties, V. riparia is the most cold-resistant species and V. labrusca belongs to medium resistance among seven wild Vitis species native to North America [9]; the cold resistance of V. riparia × V. labrusca (Beta) and V. berlandieri × V. riparia (5BB) is greater than that of Cabernet Sauvignon and Merlot [10]. Regarding the mechanisms of cold resistance, physiological and biochemical metabolites (e.g., soluble sugars, proteins, and hormones) in buds, branches, and roots were determined [11,12,13]; key genes (e.g., CBF/DREB, ICE, and AP2/ERF) enhancing freezing tolerance were identified [14,15,16]; and differentially expressed genes among different species and temperatures were analyzed by transcriptomics [8,17,18].
Previous studies have reported that grape branches and buds can survive temperatures of −13 °C or lower, but roots have weaker cold resistance than the above-ground parts [19,20]. To date, although the levels of osmoregulatory metabolites, the activities of antioxidant enzymes, and the expression levels of cold resistance genes between different Vitis species in low temperatures have been investigated in extensive experiments [11,12,13,14,15,16,17,18], the differential expression of proteins in roots between cold-resistant and cold-sensitive species or varieties in different low temperatures has not been determined or identified. In this study, the roots of cold-resistant (V. riparia × V. labrusca, T1) and cold-sensitive varieties (Cabernet Sauvignon, T3) at −4 °C and also at −15 °C for the former (T2) after 30 d of T1 were spatio-temporally measured by quantitative iTRAQ-based proteomic analysis. We found that 25 proteins were differentially co-expressed during the three treatments and their biological functions were involved in stress response, bio-signaling, metabolism, energy, and translation; the expression levels of related genes were validated by qRT-PCR.

2. Results

2.1. Difference in Root Activity

After the roots measured by the triphenyl tetrazolium chloride (TTC) method, the root activity was evaluated based on the amount of reactant triphenylformazan. As shown in Figure 1, there was a 1.68-fold decrease in root activity for T2 compared to T1, and T1 root activity was 2.54-fold times greater than that of T3. Moreover, the root activities during the different treatments suggest that the roots can be used for proteomic analysis.
Figure 1. Differences in root activity in Vitis riparia × Vitis labrusca and Cabernet Sauvignon with different treatments. T1: V. riparia × V. labrusca at −4 °C; T2: V. riparia × V. labrusca at −15 °C; T3: Cabernet Sauvignon at −4 °C. Different lowercase letters represent a significant difference (p < 0.05) for the different treatments.

2.2. Analysis of Differentially Expressed Proteins (DEPs)

To reveal the cold resistance of root in grapevine, the DEPs in roots of V. riparia × V. labrusca and Cabernet Sauvignon for different treatments were analyzed by iTRAQ. A total of 36 and 57 DEPs were obtained in T2 vs. T1 and T1 vs. T3, respectively (Figure 2; Tables S1 and S2). The heatmaps and clustering of the DEPs in T1, T2, and T3 are shown in Figure 3, indicating that the quality of proteins was well controlled, and the data of differential expression could be further analyzed.
Figure 2. Volcano plot for roots of Vitis riparia × Vitis labrusca and Cabernet Sauvignon with different treatments. T1: V. riparia × V. labrusca at −4 °C; T2: V. riparia × V. labrusca at −15 °C; T3: Cabernet Sauvignon at −4 °C. UR, upregulated; DR, downregulated.
Figure 3. Cluster heat maps of the differentially expressed proteins (DEPs) in T1, T2, and T3 treatments. The values > 0 in the images indicate UR, while the values < 0 indicate DR. The order of the DEPS in the images was shown in Tables S1 and S2.
The functions of the DEPs were compared to the GO database (Figure 4). In T2 vs. T1, 32 proteins were sorted into biological processes, including cellular macromolecule metabolic process (14, GO: 0044260), cellular protein metabolic process (13, GO: 0044267), proteolysis involved in cellular protein catabolic process (3, GO: 0051603), iron ion transport (1, GO: 0006826), and cellular iron ion homeostasis (1, GO: 0006879). Moreover, 31 proteins were sorted into molecular functions, including catalytic activity (26, GO: 0003824), phosphotransferase activity, alcohol group as acceptor (4, GO: 0016773), and ATP:ADP antiporter activity (1, GO: 0005471) (Figure 4A). In T1 vs. T3, 56 proteins were sorted into biological processes, including response to stimulus (15, GO: 0050896), response to stress (14, GO: 0006950), response to oxidative stress (6, GO: 0006979), response to biotic stimulus (5, GO: 0009607), defense response (5, GO: 0006952), cation transport (5, GO: 0006812), proteasome-mediated ubiquitin-dependent protein catabolic process (2, GO: 0043161), ATP hydrolysis coupled proton transport (2, GO: 0015991), and metal ion transport (2, GO: 0030001). Furthermore, 13 proteins were sorted into cellular components, including nucleosome (7, GO: 0000786) and thylakoid (6, GO: 0009579), and 30 proteins were sorted into molecular functions, including peroxidase activity (6, GO: 0004601), calcium ion binding (6, GO: 0005509), heme binding (5, GO: 0020037), ion transmembrane transporter activity (4, GO: 0015075), hydrogen ion transmembrane transporter activity (3, GO: 0015078), NADH dehydrogenase (ubiquinone) activity (2, GO: 0008137), triose-phosphate isomerase activity (2, GO: 0004807), and O-methyltransferase activity (2, GO: 0008171) (Figure 4B).
Figure 4. Functional classification of DEPs based on GO database for different treatments. (A): T2 vs. T1, (B): T1 vs. T3. CC, cellular component; BP, biological process; MF, molecular function.
Among the 36 and 57 DEPs in T2 vs. T1 and T1 vs. T3, a total of 25 proteins were differentially co-expressed (Figure 5). Based on the biological functions annotated against the SwissProt, the 25 DEPs were classified into five categories: stress response (6), bio-signaling (4), metabolism (6), energy (6), and translation (3) (Figure 5; Table 1).
Figure 5. Distribution and classification of DEPs in roots of V. riparia × V. labrusca and Cabernet Sauvignon with different treatments.
Table 1. The 25 DEPs identified in V. riparia × V. labrusca and Cabernet Sauvignon with different treatments.

2.3. Expression Levels of DEPs in Response to Low Temperatures between the Two Varieties

As is shown in Table 1, the six DEPs involved in stress response (DHN1, SHSPCP, USPCP, FER, GluDP, and GPX) showed 1.28–2.83-fold UR in T2 vs. T1 and 1.73–2.69-fold UR in T1 vs. T3. The four DEPs involved in bio-signaling (PKCP, S/TPP, nsS/TPK, and RAD23) showed 1.22–1.98-fold UR in T2 vs. T1 and 1.27–2.92-fold UR in T1 vs. T3. The six DEPs involved in metabolism (GluP, GluBE, PE, ABHD3CP, ProIP, and MT) were differentially expressed in T2 vs. T1, with 2.65-, 2.28-, and 2.61-fold UR for GluP, ProIP, and MT and 0.58-, 0.63-, and 0.84-fold DR for GluBE, PE, and ABHD3CP, respectively. In T1 vs. T3, these six proteins showed 1.21–2.92-fold UR. The six DEPs involved in energy (AAC, AAACP, NADCP, NDUFB7, PCP, and SDHFS) showed 1.59–1.85-fold UR in T2 vs. T1 and 1.59–2.83-fold UR in T1 vs. T3. The three DEPs involved in translation (rpL14, rpS21, and PPI) showed 1.61–2.76-fold UR in T2 vs. T1 and 1.67–2.80-fold UR in T1 vs. T3.

2.4. Relative Expression Levels (RELs) of Genes in Response to Low Temperatures between the Two Varieties

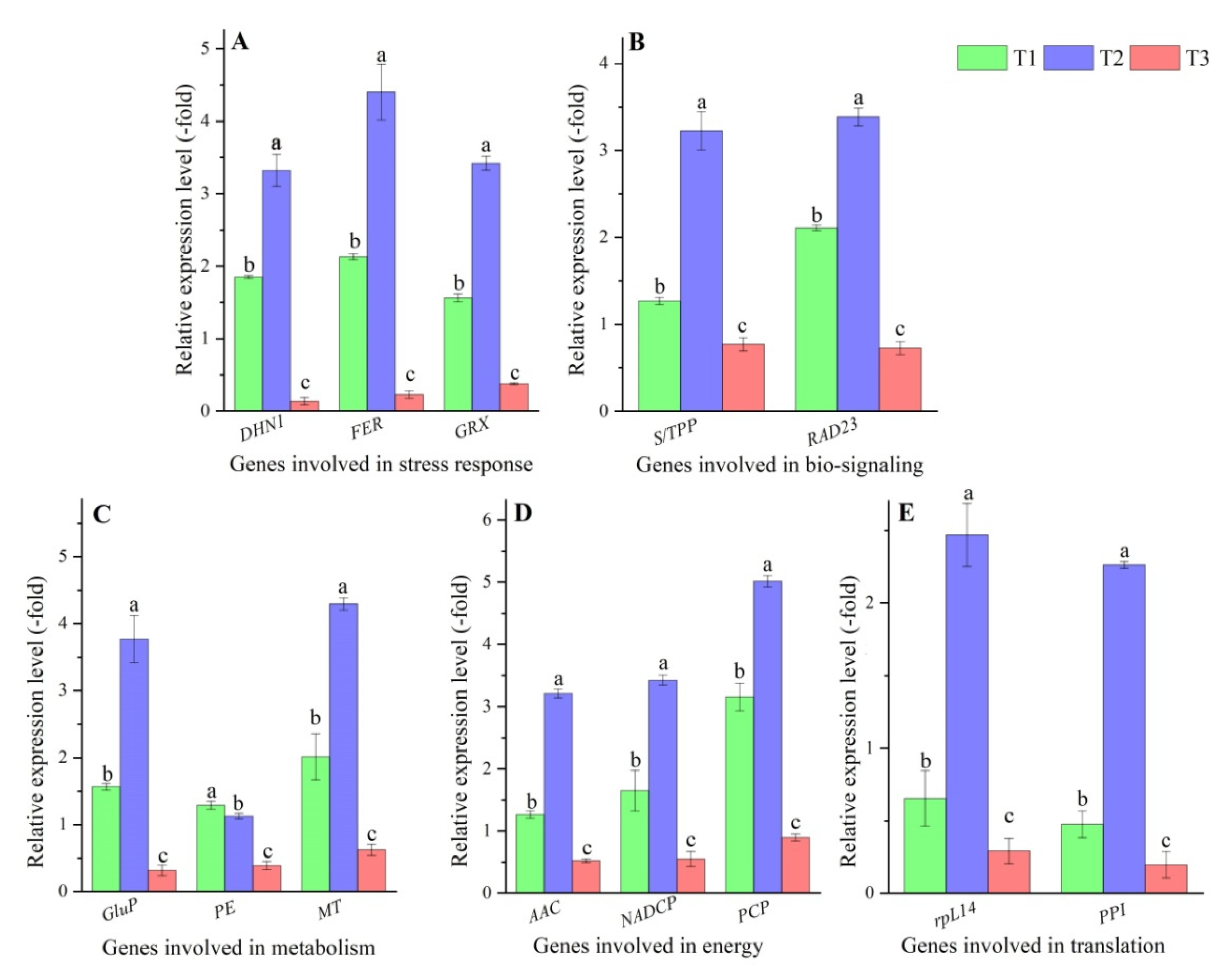
In order to validate the expression levels of DEPs, the RELs of genes that accordingly encode DEPs were determined by qRT-PCR. As is shown in Figure 6, the RELs of representative genes were almost consistent with the expression levels of their encoded DEPs. Specifically, the RELs of the stress response genes DHN1, FER, and GPX showed 2.77-, 4.83-, and 3.62-fold UR in T2 vs. T1 and 3.28-, 3.74-, and 2.27-fold UR in T1 vs. T3, respectively (Figure 6A). The RELs of the bio-signaling genes S/TPP and RAD23 showed 3.88- and 2.42-fold UR in T2 vs. T1 and 1.41- and 2.61-fold UR in T1 vs. T3, respectively (Figure 6B). The RELs of the metabolism genes GluP, PE, and MT showed differential regulation with 4.61-, 0.89-, and 4.85-fold in T2 vs. T1 and 2.38-, 1.86-, and 2.63-fold UR in T1 vs. T3, respectively (Figure 6C). The RELs of the energy genes AAC, NADCP, and PCP showed 3.85-, 3.43-, and 3.63-fold UR in T2 vs. T1 and 1.67-, 2.14-, and 4.78-fold UR in T1 vs. T3, respectively (Figure 6D). The RELs of the translation genes rpL14 and PPI showed 3.52- and 3.45-fold UR in T2 vs. T1 and 1.28- and 1.21-fold UR in T1 vs. T3, respectively (Figure 6E).
Figure 6. The relative expression level of genes involved in stress response (A), bio-signaling (B), metabolism (C), energy (D), and translation (E) at different treatments, determined by qRT-PCR. Different lowercase letters represent a significant difference (p < 0.05) in the different treatments for the same gene.

3. Discussion

Plants are frequently exposed to environmental stresses such as low temperature, which plays a major role in the distribution of plant species. Adaptation and acclimation to cold stress result from integrated events occurring at all levels of organization, from the anatomical and morphological level to the cellular (e.g., changes in cell cycle, division, and wall architecture), biochemical (e.g., producing osmoregulatory compounds such as proline and glycine betaine), and molecular levels (e.g., linking the perception of a stress signal with the genomic responses) [21]. In this study, we found that there was a greater root activity in V. riparia × V. labrusca than Cabernet Sauvignon, and the root activity declined with the decrease in temperature. A total of 25 proteins were differentially co-expressed in V. riparia × V. labrusca and Cabernet Sauvignon at −4 °C and/or −15 °C treatments, and these 25 DEPs were classified into five categories: stress response, bio-signaling, metabolism, energy, and translation. Meanwhile, the upregulation of the DEPs was observed in cold-resistant V. riparia × V. labrusca compared with cold-sensitive Cabernet Sauvignon.
The root system is an important organ absorbing water and minerals from the soil, storing foods (e.g., starch, polysaccharides, and secondary metabolites) and synthesizing the vital substances (e.g., amino acids, hormones, and vitamins) for plant growth and development [22,23]. Root activity is a physiological index that can directly reflect plant growth, nutritional status, and yield level. Here, a greater root activity at −4 °C was observed in V. riparia × V. labrusca than in Cabernet Sauvignon, affirming that the cold resistance of V. riparia × V. labrusca is higher than that of Cabernet Sauvignon in the field [10], which also shows that it is of great importance to confer biotic and abiotic stress resistance by grafting scions onto rootstocks.
DEPs related to stress response may have critical roles in enhancing the cold resistance. Previous studies have reported that dehydrin (DHN) are highly hydrophilic proteins that are involved in cold acclimation processes [24]. Small heat shock proteins (sHSPs) are ubiquitous stress proteins proposed to act as chaperones and have been ascribed an unusual diversity of functions in the cellular response to environmental stress [25]. Universal stress proteins (USPs) are stress-responsive proteins that may contain a single USP domain or two tandem repeats of USP domains [26,27]. Ferritins (FERs) are a broad superfamily of iron storage proteins; exert a fine tuning of the quantity of metal required for metabolic purposes and help plants to protect against oxidative stress [28]. The GluDP plays a role in cell protection against oxidative stress by detoxifying peroxides [29]. Glutathione peroxidases (GPXs) are key enzymes of the cell antioxidant defense system and are involved in scavenging oxyradicals [30]. Investigations have found that the genes DHN in tomato [31], shsp16.9 in rice [32], USPs in Arabidopsis [33], TaFER-5B in Triticum aestivum [34], and GluPX in Taxus chinensis [35] were upregulated in response to cold stress. In this study, the three selected genes DHN1, FER, and GPX were upregulated in T2 vs. T1 (−15 °C vs. −4 °C for V. riparia × V. labrusca) and in T1 vs. T3 (V. riparia × V. labrusca vs. Cabernet Sauvignon at −4 °C), consistent with the expression levels of their encoded DEPs. The upregulation of these proteins will provide multiple biological functions to coordinate their relationship with low temperature.
Up- or downregulated DEPs related to bio-signaling can perceive the cold stress and transfer it to the cellular response. Previous research has reported that protein kinases (PKs) and protein phosphatases (PPs) play important roles in determining the magnitude and duration of a signaling event, with PKs catalyzing the transfer of a phosphate moiety from ATP to proteins and PPs acting to remove this phosphate group by hydrolysis [36]. The protein serine/threonine phosphatases family from plants constitute PP1, PP2A, PP2B, and novel phosphatases, which have multiple biological functions by regulating a wide variety of cellular signal transduction pathways in response to stresses [37]. The RAD23 is involved in cell cycle regulation, protein quality control, DNA damage response, and cellular metabolism [38]. Investigations have found that the genes GsLRPK in Glycine soja [39], S/TPP in rice [40], and RAD23 in apple [41] were over-expressed in response to cold stress. In this study, the two selected genes S/TPP and RAD23 were upregulated in T2 vs. T1 and in T1 vs. T3, consistent with the expression levels of their encoded DEPs. The upregulation of these proteins may be constantly on the alert to ensure that plants are not injured by low temperatures.
DEPs related to metabolism can produce osmolytes to protect the cells from cold stress. Previous research has reported that GluP is an important allosteric enzyme in carbohydrate metabolism [42]. The GluBE is involved in the pathway starch biosynthesis, which is part of glycan biosynthesis [43]. The PE is involved in the pathway pectin degradation and in glycan metabolism [44]. The ABHD family of proteins in plants influences the lipid biosynthesis more towards leaf lipids, such as galactolipids, and less towards storage lipids [45]. The ProIP specifically catalyzes hydrolysis of N-terminal proline from peptides [46]. The MT is involved in the sterol and steroid biosynthesis [47]. Extensive experiments have demonstrated over-expression and activity of enzymes that participate in soluble sugar biosynthesis and starch degradation produce proper metabolites to adjust the metabolism and physiology of the plant to cold stress [48]. In this study, the three selected genes GluP, PE, and MT were upregulated in T2 vs. T1 and in T1 vs. T3, which were also consistent with the expression levels of their encoded DEPs. Here, the upregulation of the proteins (GluP, GluBE, PE, ABHD3CP, ProIP, and MT) was observed in T1 vs. T3, while the downregulation for the proteins (GluBE, PE, and ABHD3CP) in T2 vs. T1. The downregulation at −15 °C might be a part of the mechanism associated with the delay of senescence and death [49].
DEPs related to energy can accelerate the electron transport rate to defend against low temperatures. Previous studies have reported that AAC plays a key role in the energetic cell metabolism because it exchanges ATP and ADP, the product and substrate of the mitochondrial ATP synthase, respectively [50]. The AAA protein family is a group of ATPases that are associated with various cellular activities [51]. The NAD(P) plays a crucial role in pro-oxidant and antioxidant metabolism and the NAD contents are both flexible and potentially important in determining cell fate [52]. The NDUFB7 is an accessory subunit of the mitochondrial membrane respiratory chain NADH dehydrogenase (Complex I), which functions in the transfer of electrons from NADH to the respiratory chain [53]. The phytocyanins (PCs) are a class of plant-specific blue copper proteins and play critical roles in plant growth and development [54]. The SDHFS is involved in complex II of the mitochondrial electron transport chain and is responsible for transferring electrons from succinate to ubiquinone [55]. Extensive experiments have demonstrated that the membranes become less fluid and the protein components can no longer function normally in cold-sensitive plants, resulting in inhibition of H+-ATPase activity, energy transduction, and enzyme-dependent metabolism [21]. In this study, the three selected genes AAC, NADCP, and PCP were upregulated in T2 vs. T1 and in T1 vs. T3, consistent with the expression levels of their encoded DEPs. The upregulation of these proteins will provide energy for the root to maintain activity and growth in response to low temperatures.
DEPs related to translation may be required for maintaining the activation of translation in response to cold stress. Previous works have reported that the large and small subunits of ribosomal proteins are structural constituents of ribosomes, which perform the essential task of protein synthesis in the cell [56]. The PPI functions in the folding of membranal proteins [57]. Investigations have found that the genes SOL34 in Glycine max [58], RPS5 in Arabidopsis [59], and OsCYP19-4 with PPI activity in rice [60] were over-expressed in response to cold stress. In this study, the two selected genes rpL14 and PPI were upregulated in T2 vs. T1 and in T1 vs. T3, consistent with the expression levels of their encoded DEPs. The over-expression of these proteins could be required for growth acclimation to cold stress during the overwintering stage.

4. Materials and Methods

4.1. Plant Material

The one-year-old seedlings (own-rooted by cutting propagation) of V. riparia × V. labrusca (cold-resistant variety) and Cabernet Sauvignon (cold-sensitive variety) were planted and grown in a field in Yuzhong County, Gansu, China (1580 m a.s.l.; 35°46′17″ N,104°0′36″ E). Glasses (depth 50 cm, width 150 cm) were used to separate the roots from each other (Figure S1). Complex fertilizer (N + P2O5 + K2O ≧ 500 g/L, Cu + Fe + Mn + Zn + B: 3–30 g/L; 100 mL per plant) purchased from a company (Germany Mike Reze Agricultural Co., Ltd., Stuttgart, Germany) was applied each year in the sandy soil at the depth from 10 to 30 cm, and the soil water content was controlled from 45% to 55% by mulching film, monitored using a rapid soil moisture tester (SFY-100, Shenzhen Guanya, Shenzhen, China).
After three years, the lateral roots of V. riparia × V. labrusca were collected at the depth of 20 cm when the average temperatures of the soil surface were −4 °C (T1; 12 December) and −15 °C (T2; 12 January), respectively. The lateral roots of V. vinifera were collected at −4 °C (T3; 12 December). The data of 20 cm soil temperatures from December to January at the experiment site were shown in Figure S2. During the collection of roots, the freezing sandy soil containing the roots was first dug out with a rigid shovel, then immediately placed in liquid nitrogen to break down its granular structure. Finally, the flexible lignified roots were picked up and frozen in liquid nitrogen for the measurement of root activity and analysis of proteomics. Each treatment for T1–T3 had nine biological repeats (nine plants).

4.2. Measurement of Root Activity

Root activity was measured according to a triphenyl tetrazolium chloride (TTC) method [61] with slight modifications. Briefly, root-tip samples (100 mg) were cut into pieces and then placed into a glass tube (10 mL). The TTC solution (0.4% w/v, 3 mL) and Na2HPO4-KH2PO4 buffer (0.1 mol/L, 3 mL, pH 7.0) were sequentially added to the tube. After incubating at 37 °C for 1 h, H2SO4 (1 mol/L, 1.5 mL) was added to the mixture to stop the reaction. The colored samples were transferred to a sealed tube, methanol (15 mL) was added, and then the mixture was incubated at 37 °C for 4 h to decolor. Absorbance readings were taken at 485 nm, and root activity was evaluated based on micrograms of triphenylformazan.

4.3. Protein Extraction, Quantification, and Digestion

Total protein samples were extracted according to previous protocol [62], with some modifications. Briefly, root samples (0.5 g) were ground into powder in liquid nitrogen and dissolved in phosphate buffer (pH 7.4, 20 mL), then added in pre-chilled (−20 °C) trichloroacetic acid/acetone (10% w/v, 5 mL). After precipitating at −20 °C for 12 h, the homogenate was centrifuged at 14,000× g at 4 °C for 15 min. After the supernatant was removed and the precipitate was suspended in acetone at −20 °C for 2 h, the suspension was centrifuged at 14,000× g at 4 °C for 10 min. Following exhaustive suspension in acetone (×3), the precipitate was dissolved in triethylammonium bicarbonate (0.5 mol/L, 0.5 mL) at 4 °C for 1 h and then centrifuged at 14,000× g at 4 °C for 10 min. Finally, the supernatant was transferred to a new tube. The quality of the extracted protein was examined by SDS-PAGE (Figure S3). The extracted protein was quantified by a Bradford assay using bovine serum albumin as the standard [63]. After protein quantification, an equal amount of proteins (150 μg) were digested using a filter-aided sample preparation method [64].

4.4. iTRAQ Labeling and Strong Cation Exchange (SCX) Chromatography Fractionation

The digested peptides were labeled using iTRAQ reagents (iTRAQ® Reagents-8plex kit, Sigma Chemical Co., St. Louis, MO, USA) [65,66,67]. The labeled samples were pooled and purified using SCX chromatography on an Agilent 1260 HPLC (Agilent Technologies Inc., Santa Clara, CA, USA) [68].

4.5. Liquid Chromatography (LC)-Electrospray Ionization (ESI) Tandem MS/MS Analysis

LC-MS/MS was performed with an Easy nLC (Thermo Fisher Scientific, Waltham, MA, USA) coupled to Q Exactive MS (Thermo Finnigan, San Jose, CA, USA) [69]. Briefly, the iTRAQ-labeled peptides (5 μg) were separated by a Thermo Scientific Easy C18 column (75 μm × 100 mm, 3 μm) with gradient elution from 2% B to 45% B in 120 min (A: 0.1% formic acid in H2O; B: 0.1% formic acid in acetonitrile) at a flow rate of 300 nL/min. All tandem MS were produced following the higher collision energy dissociation (HCD) method. Specifically, MS survey scans were acquired using a data-dependent top 10 method, in which the most abundant precursor ions between 350 and 1500 m/z were dynamically chosen for higher collision energy dissociation (HCD) fragmentation. The resolution was set to 60,000 at 400 m/z, the automatic gain control (AGC) target value was 1 × 106, and the maximum ion accumulation time was 200 ms.

4.6. Protein Identification and Function Annotation

Protein identification was performed using a decoy database search with the false discovery rate of <1.0% and more than one identified peptide. Protein quantitation was analyzed using an iTRAQ 8-plex combined with the Mann–Whitney test. A criterion of |log2(fold-change)| ≥ 1 with a p-value of ≤0.05 was used to determine the differentially expressed proteins (DEPs) in T2 vs. T1 and T1 vs. T3 [70]. Protein functions were annotated against the databases including SwissProt and Gene Ontology (GO) [71,72].

4.7. RNA Extraction and qRT-PCR

Generally, gene expression can be applied to indirectly validate the protein expression [67,73,74]. In this study, qRT-PCR was used to identify the expression level for genes encoding the candidate proteins. Briefly, RNA samples were extracted from roots using a plant RNA kit. Primer sequences (Table 2) were designed in primer BLAST NCBI. RNA samples were extracted from the roots using a plant RNA kit (R6827, Omega Bio-Tek, Inc., Norcross, GA, USA) according to the manufacturer’s protocol. First-strand cDNA was synthesized using a FastKing RT Kit. PCR amplification was carried out using a SuperReal PreMix. Actin was used as an internal reference and the relative expression level (REL) was calculated using a 2△△Ct method [75].
Table 2. Sequences of primers used in qRT-PCR analysis.

4.8. Statistical Analysis

All the measurements were performed using nine biological replicates and three technical replicates. Statistical analysis was performed using SPSS 22.0. One-way analysis of variance and Duncan multiple comparison tests were performed, with p < 0.05 as the basis for significant differences.

5. Conclusions

From the above observations, the root activity of cold-resistant Vitis species is greater than that of cold-sensitive species, and it declines with the decrease in temperature. The DEPs observed by proteomic analysis suggest that there was a significant difference in protein expression between the cold-resistant and cold-sensitive species in response to low temperature. The biological function of the 25 DEPs involved in stress response, bio-signaling, metabolism, energy, and translation should be further investigated using transgenic assays.

Supplementary Materials

The following supporting information can be downloaded at: https://www.mdpi.com/article/10.3390/plants11070971/s1, Figure S1: The model image of glass placed to separate the roots; Figure S2: Changes of average temperatures at the 20 cm depth soil in December and January at the experiment site; Figure S3: The representative images of SDS-PAGE at different treatments; Table S1: Thirty-six DEPs identified in T2 vs. T1; Table S2: Fifty-seven DEPs identified in T1 vs. T3.

Author Contributions

S.C.: data curation, investigation, and methodology; H.S.: data curation and formal analysis; H.X.: writing—original draft preparation; J.M.: resources; P.S.: project administration and supervision; M.L.: conceptualization and writing—review and editing. All authors have read and agreed to the published version of the manuscript.

Funding

This research was funded by the State Key Laboratory of Aridland Crop Science/Gansu Agricultural University (GSCS-2018-2), the Innovation Fund of Gansu Agricultural University (GSAU-STS-1738), and the National Natural Science Foundation of China (31360298).

Institutional Review Board Statement

Not applicable.

Data Availability Statement

The datasets are publicly available at ProteomeXchange with the dataset identifiers PXD009435 and PXD009837.

Conflicts of Interest

The authors declare no conflict of interest.

References

  1. Pezzuto, J.M. Grapes and human health: A perspective. J. Agric. Food Chem. 2008, 56, 6777–6784. [Google Scholar] [CrossRef] [PubMed]
  2. Yang, J.; Martinson, T.; Liu, R.H. Phytochemical profiles and antioxidant activities of wine grapes. Food Chem. 2009, 116, 332–339. [Google Scholar] [CrossRef]
  3. Blázovics, A.; Sárdi, É. Chapter 3.45-Wine Grapes (Vitis vinifera) and Wine-Based Food Supplements. In Nonvitamin and Nonmineral Nutritional Supplements; Seyed, M.N., Ana, S.S., Eds.; Academic Press: Cambridge, MA, USA, 2019; pp. 461–465. [Google Scholar]
  4. Wang, J.; Zhou, G.S. The climatic suitability and climatic impact factors affecting the wine grapes (Vitis vinifera L.) planting distribution in China. Acta Ecol. Sin. 2021, 41, 2418–2427. [Google Scholar]
  5. Guan, L.; Qi, G.M.; Fang, J.G. A summary of main varieties of grapevine and the adoption of rootstock in the world. Sino-Overseas Grapevine Wine 2019, 1, 64–69. [Google Scholar]
  6. Cramer, G.R. Abiotic stress and plant responses from the whole vine to the genes. Aust. J. Grape Wine R. 2010, 16, 86–93. [Google Scholar] [CrossRef]
  7. Londo, J.P.; Kovaleski, A.P. Deconstructing cold hardiness: Variation in supercooling ability and chilling requirements in the wild grapevine Vitis riparia. Aust. J. Grape Wine R. 2019, 25, 276–285. [Google Scholar] [CrossRef]
  8. Londo, J.P.; Kovaleski, A.P.; Lillis, J.A. Divergence in the transcriptional landscape between low temperature and freeze shock in cultivated grapevine (Vitis vinifera). Hortic. Res. 2018, 5, 10. [Google Scholar] [CrossRef] [PubMed] [Green Version]
  9. Zhang, J.; Wu, X.; Niu, R.; Liu, Y.; Liu, N.; Xu, W.; Wang, Y. Cold resistance evaluation in 25 wild grape species. Vitis 2012, 51, 153–160. [Google Scholar]
  10. Xu, H.; Wang, X.D.; Zhou, Y.N.; Du, Z.J.; Zhai, H. Study on the cold resistance of grape rootstocks and wine grape cultivars. Sino-Overseas Grapevine Wine 2003, 6, 20–23. [Google Scholar]
  11. Ma, Y.Y.; Zhang, Y.L.; Shao, H.; Lu, J. Differential physio-biochemical responses to cold stress of cold-tolerant and non-tolerant Grapes (Vitis L.) from China. J. Agron. Crop. Sci. 2010, 196, 212–219. [Google Scholar] [CrossRef]
  12. Jiang, H.Y.; Li, W.; He, B.J.; Gao, Y.H.; Lu, J.X. Sucrose metabolism in grape (Vitis vinifera L.) branches under low temperature during overwintering covered with soil. Plant Growth Regul. 2014, 72, 229–238. [Google Scholar] [CrossRef]
  13. Jiang, H.Y.; Wang, W.T.; Lei, T.X.; He, B.; Zhang, J.L. Effects of exogenous ABA and Ca2+ on sucrose metabolism in grape (Vitis vinifera L.) seedlings under low temperature treatment and recovery. Agric. Res. Arid Areas 2017, 35, 127–133. [Google Scholar]
  14. Carlow, C.E.; Faultless, J.T.; Lee, C.; Siddiqua, M.; Edge, A.; Nassuth, A. Nuclear localization and transactivation by Vitis CBF transcription factors are regulated by combinations of conserved amino acid domains. Plant Physiol. Biochem. 2017, 118, 306–319. [Google Scholar] [CrossRef] [PubMed]
  15. Dong, C.; Zhang, Z.; Ren, J.; Qin, Y.; Huang, J.; Wang, Y.; Cai, B.; Wang, B.; Tao, J. Stress-responsive gene ICE1 from Vitis amurensis increases cold tolerance in tobacco. Plant Physiol. Biochem. 2013, 71, 212–217. [Google Scholar] [CrossRef]
  16. Licausi, F.; Giorgi, F.M.; Zenoni, S.; Osti, F.; Pezzotti, M.; Perata, P. Genomic and transcriptomic analysis of the AP2/ERF superfamily in Vitis vinifera. BMC Genom. 2010, 11, 719. [Google Scholar] [CrossRef] [PubMed] [Green Version]
  17. Gu, B.; Zhang, B.; Ding, L.; Li, P.; Shen, L.; Zhang, J. Physiological change and transcriptome analysis of Chinese wild Vitis amurensis and Vitis vinifera in response to cold stress. Plant Mol. Biol. Rep. 2020, 38, 478–490. [Google Scholar] [CrossRef]
  18. Kim, S.A.; Ahn, S.Y.; Yun, H.K. Transcriptome analysis of grapevine shoots exposed to chilling temperature for four weeks. Hortic. Environ. Biotechnol. 2016, 57, 161–172. [Google Scholar] [CrossRef]
  19. Pelett, H. Comparison of cold hardiness levels of root and stem tissue. Can. J. Plant Sci. 1971, 51, 193–195. [Google Scholar] [CrossRef]
  20. Okamoto, G.; Wang, S.; Hirano, K. Cold resistance in root and cane of own-root ‘Kyoho’ grapevines. Sci. Rep. Fac. Agric. 2000, 89, 23–29. [Google Scholar]
  21. Taiz, L.; Zeiger, E. Plant physiology. In Chapter 25: Stress Physiology, 5th ed.; Sinauer Associates, Inc.: Sunderland, MA, USA, 2010; pp. 591–623. [Google Scholar]
  22. Arms, K.; Camp, P.S. Biology, 4th ed.; Saunders College Publishing: Philadelphia, PA, USA, 2010; pp. 912–916. [Google Scholar]
  23. Zhang, B. Plant root research methods and trends. Agr. Sci. Tech. 2017, 18, 2295–2298. [Google Scholar]
  24. Rorat, T. Plant dehydrins-tissue location, structure and function. Cell. Mol. Biol. Lett. 2006, 11, 536–556. [Google Scholar] [CrossRef] [PubMed]
  25. Siddique, M.; Gernhard, S.; von Koskull-Döring, P.; Vierling, E.; Scharf, K.D. The plant sHSP superfamily: Five new members in Arabidopsis thaliana with unexpected properties. Cell Stress Chaperon. 2008, 13, 183–197. [Google Scholar] [CrossRef] [PubMed] [Green Version]
  26. Nachin, L.; Nannmark, U.; Nystrom, T. Differential roles of the universal stress proteins of Escherichia coli in oxidative stress resistance, adhesion, and motility. J. Bacteriol. 2005, 187, 6265–6272. [Google Scholar] [CrossRef] [PubMed] [Green Version]
  27. Chi, Y.H.; Koo, S.S.; Oh, H.T.; Lee, E.S.; Park, J.H.; Phan, K.A.T.; Wi, S.D.; Su, B.B.; Paeng, S.K.; Chae, H.B. The physiological functions of universal stress proteins and their molecular mechanism to protect plants from environmental stresses. Front. Plant Sci. 2019, 10, 750. [Google Scholar] [CrossRef] [PubMed] [Green Version]
  28. Briat, J.F.; Ravet, K.; Arnaud, N.; Boucherez, J.; Touraine, B.; Cellier, F.; Gaymard, F. New insights into ferritin synthesis and function highlight a link between iron homeostasis and oxidative stress in plants. Ann. Bot. 2010, 105, 811–822. [Google Scholar] [CrossRef] [Green Version]
  29. Djuika, C.F.; Fiedler, S.; Schnölzer, M.; Sanchez, C.; Lanzer, M.; Deponte, M. Plasmodium falciparum antioxidant protein as a model enzyme for a special class of glutaredoxin/glutathione-dependent peroxiredoxins. Biochim. Et Biophys. Acta 2013, 1830, 4073–4090. [Google Scholar] [CrossRef]
  30. Arthur, J.R. The glutathione peroxidases. Cell. Mol. Life Sci. 2000, 57, 1825–1835. [Google Scholar] [CrossRef]
  31. Liu, H.; Yu, C.; Li, H.; Ouyang, B.; Wang, T.; Zhang, J.; Wang, X.; Ye, Z. Overexpression of ShDHN, a dehydrin gene from Solanum habrochaites enhances tolerance to multiple abiotic stresses in tomato. Plant Sci. 2015, 231, 198–211. [Google Scholar] [CrossRef]
  32. Yu, J.J.; Nou, I.S.; Kang, K.K. Overexpression of Oshsp16.9 gene encoding small heat shock protein enhances tolerance to abiotic stresses in rice. Plant Breed. Biotech. 2014, 2, 370–379. [Google Scholar]
  33. Melencion, S.M.B.; Chi, Y.H.; Pham, T.T.; Paeng, S.K.; Wi, S.D.; Lee, C.; Ryu, S.W.; Koo, S.S.; Lee, S.Y. RNA chaperone function of a universal stress protein in Arabidopsis confers enhanced cold stress tolerance in plants. Int. J. Mol. Sci. 2017, 18, 2546. [Google Scholar] [CrossRef] [Green Version]
  34. Zang, X.; Geng, X.; Wang, F.; Liu, Z.; Zhang, L.; Zhao, Y.; Tian, X.; Ni, Z.; Yao, Y.; Xin, M.; et al. Overexpression of wheat ferritin gene TaFER-5B enhances tolerance to heat stress and other abiotic stresses associated with the ROS scavenging. BMC Plant Biol. 2017, 17, 14. [Google Scholar] [CrossRef] [PubMed] [Green Version]
  35. Meng, D.; Yu, X.; Ma, L.; Hu, J.; Liang, Y.; Liu, X.; Yin, H.; Liu, H.; He, X.; Li, D. Transcriptomic response of Chinese Yew (Taxus chinensis) to cold stress. Front. Plant Sci. 2017, 8, 468. [Google Scholar] [CrossRef]
  36. Hunter, T. Protein kinases and phosphatases: The Yin and Yang of protein phosphorylation and signaling. Cell 1995, 80, 225–236. [Google Scholar] [CrossRef] [Green Version]
  37. Chawla, S.; Marothia, D.; Pati, P.K. Role of serine/threonine phosphatase PP2A class and its regulators in salinity stress tolerance in plants. In Protein Phosphatases and Stress Management in Plants; Pandey, G.K., Ed.; Springer: Cham, Switzerland, 2020; pp. 53–66. [Google Scholar]
  38. Wade, S.L.; Auble, D.T. The Rad23 ubiquitin receptor, the proteasome and functional specificity in transcriptional control. Transcription 2010, 1, 22–26. [Google Scholar] [CrossRef] [Green Version]
  39. Yang, L.; Wu, K.; Gao, P.; Liu, X.; Li, G.; Wu, Z. GsLRPK, a novel cold-activated leucine-rich repeat receptor-like protein kinase from Glycine soja, is a positive regulator to cold stress tolerance. Plant Sci. 2014, 215, 19–28. [Google Scholar] [CrossRef]
  40. Zhang, Z.; Xiao, W.; Qiu, J.; Xin, Y.; Yan, J.; Liu, Q.; Chen, H.; Fu, Y.; Ma, H.; Chen, W.; et al. Nystose regulates the response of rice roots to cold stress via multiple signaling pathways: A comparative proteomics analysis. PLoS ONE 2020, 15, e0238381. [Google Scholar] [CrossRef]
  41. Na, W.; Gong, X.; Ma, F. Genome-wide identification of the radiation sensitivity protein-23 (RAD23) family members in apple (Malus x domestica Borkh.) and expression analysis of their stress responsiveness. J. Integr. Agric. 2017, 16, 60345–60347. [Google Scholar]
  42. Weinhäusel, A.; Griessler, R.; Krebs, A.; Zipper, P.; Haltrich, D.; Kulbe, K.D.; Nidetzky, B. alpha-1,4-D-glucan phosphorylase of gram-positive Corynebacterium callunae: Isolation, biochemical properties and molecular shape of the enzyme from solution X-ray scattering. Biochem. J. 1997, 326, 773–783. [Google Scholar] [CrossRef]
  43. Lee, C.K.; Le, Q.T.; Kim, Y.H.; Shim, J.H.; Lee, S.J.; Park, J.H.; Lee, K.P.; Song, S.H.; Auh, J.H.; Lee, S.J.; et al. Enzymatic synthesis and properties of highly branched rice starch amylose and amylopectin cluster. J. Agric. Food Chem. 2008, 56, 126–131. [Google Scholar] [CrossRef]
  44. Tucker, G.; Zhang, J. Expression of polygalacturonase and pectinesterase in normal and transgenic tomatoes. Progr. Biotechnol. 1996, 14, 347–354. [Google Scholar]
  45. Vijayakumar, A.; Rajasekharan, R. Distinct roles of alpha/beta hydrolase domain containing proteins. Biochem. Mol. Biol. J. 2016, 2, 19. [Google Scholar] [CrossRef]
  46. Jing, Z.; Feng, H. Studies on the molecular docking and amino acid residues involving in recognition of substrate in proline iminopeptidase by site-directed mutagenesis. Protein J. 2015, 34, 173–180. [Google Scholar] [CrossRef] [PubMed]
  47. Bouvier-Navé, P.; Husselstein, T.; Desprez, T.; Benveniste, P. Identification of cDNAs encoding sterol methyl-transferases involved in the second methylation step of plant sterol biosynthesis. Eur. J. Biochem. 1997, 246, 518–529. [Google Scholar] [CrossRef]
  48. Sitnicka, D.; Orzechowski, S. Cold-induced starch degradation in potato leaves-intercultivar differences in the gene expression and activity of key enzymes. Biol. Plant 2014, 58, 659–666. [Google Scholar] [CrossRef]
  49. Zhao, H.; Liu, B.; Zhang, W.; Cao, J.; Jiang, W. Enhancement of quality and antioxidant metabolism of sweet cherry fruit by near-freezing temperature storage. Postharvest Biol. Tec. 2019, 147, 113–122. [Google Scholar] [CrossRef]
  50. Trézéguet, V.; Pélosi, L.; Lauquin, G.J.; Brandolin, G. The mitochondrial ADP/ATP carrier: Functional and structural studies in the route of elucidating pathophysiological aspects. J. Bioenerg. Biomembr. 2008, 40, 435–443. [Google Scholar] [CrossRef] [PubMed]
  51. Mueller-Cajar, O.; Stotz, M.; Wendler, P.; Hartl, F.U.; Bracher, A.; Hayer-Hartl, M. Structure and function of the AAA+ protein CbbX, a red-type Rubisco activase. Nature 2011, 479, 194–199. [Google Scholar] [CrossRef] [PubMed]
  52. Noctor, G.; Queval, G.; Gakière, B. NAD(P) synthesis and pyridine nucleotide cycling in plants and their potential importance in stress conditions. J. Exp. Bot. 2006, 57, 1603–1620. [Google Scholar] [CrossRef] [PubMed] [Green Version]
  53. Han, L.; Qin, G.; Kang, D.; Chen, Z.; Gu, H.; Qu, L.J. A nuclear-encoded mitochondrial gene AtCIB22 is essential for plant development in Arabidopsis. J. Genet. Genom. 2010, 37, 667–683. [Google Scholar] [CrossRef]
  54. Sun, Y.; Wu, Z.; Wang, Y.; Yang, J.; Wei, G.; Minxia, C. Identification of phytocyanin gene family in legume plants and their involvement in nodulation of Medicago truncatula. Plant Cell Physiol. 2019, 4, 900–915. [Google Scholar] [CrossRef] [PubMed]
  55. Acevedo, R.M.; Maiale, S.J.; Pessino, S.C.; Bottini, R.; Ruiz, O.A.; Sansberro, P.A. A succinate dehydrogenase flavoprotein subunit-like transcript is upregulated in Ilex paraguariensis leaves in response to water deficit and abscisic acid. Plant Physiol. Biochem. 2013, 65, 48–54. [Google Scholar] [CrossRef] [PubMed]
  56. Decatur, W.A.; Fournier, M.J. rRNA modifications and ribosome function. Trends Biochem. Sci. 2002, 27, 344–351. [Google Scholar] [CrossRef]
  57. Breiman, A.; Fawcett, T.W.; Ghirardi, M.L.; Mattoo, A.K. Plant organelles contain distinct peptidylprolyl cis, trans-isomerases. J. Biol. Chem. 1992, 267, 21293–21296. [Google Scholar] [CrossRef]
  58. Cheng, L.B.; Li, S.Y.; Yang, G.X.; Jing, X.M.; He, G.Y.; Mones, N.G. Overexpression of soybean (Glycine max (L.) Meer.) L34 gene leads to reduced survival to cold stress in transgenic Arabidopsis. Plant Mol. Biol. Rep. 2010, 28, 41. [Google Scholar] [CrossRef]
  59. Zhang, J.; Yuan, H.; Yang, Y.; Fish, T.; Lyi, S.M.; Thannhauser, T.W.; Zhang, L.; Li, L. Plastid ribosomal protein S5 is involved in photosynthesis, plant development, and cold stress tolerance in Arabidopsis. J. Exp. Bot. 2016, 67, 2731–2744. [Google Scholar] [CrossRef] [PubMed] [Green Version]
  60. Yoon, D.H.; Lee, S.S.; Park, H.J.; Lyu, J.I.; Chong, W.S.; Liu, J.R.; Kim, B.G.; Ahn, J.C.; Cho, H.S. Overexpression of OsCYP19-4 increases tolerance to cold stress and enhances grain yield in rice (Oryza sativa). J. Exp. Bot. 2016, 67, 69–82. [Google Scholar] [CrossRef] [PubMed] [Green Version]
  61. Bai, B.Z.; Jin, J.Z.; Bai, S.; Huang, L.P. Improvement of TTC method determining root activity in corn. Maize Sci. 1994, 2, 44–47. [Google Scholar]
  62. Sheoran, I.S.; Ross, A.R.; Olson, D.J.; Sawhney, V.K. Compatibility of plant protein extraction methods with mass spectrometry for proteome analysis. Plant Sci. 2009, 176, 99–104. [Google Scholar] [CrossRef]
  63. Wisniewski, J.R.; Zougman, Q. Universal sample preparation method for proteome analysis. Nat. Methods 2009, 6, 359–362. [Google Scholar] [CrossRef]
  64. Gao, K.; Deng, X.Y.; Shang, M.K.; Qin, G.X.; Hou, C.X.; Guo, X.J. iTRAQ-based quantitative proteomic analysis of midgut in silkworm infected with Bombyx mori cytoplasmic polyhedrosis virus. J. Proteom. 2017, 152, 300–311. [Google Scholar] [CrossRef] [PubMed]
  65. Hou, L.B.; Xiu, Y.J.; Wang, J.; Liu, X.; Liu, Y.; Gu, W.; Wang, W.; Meng, Q. iTRAQ-based quantitative proteomic analysis of Macrobrachium rosenbergii hemocytes during Spiroplasma eriocheiris infection. J. Proteom. 2016, 136, 112–122. [Google Scholar] [CrossRef] [PubMed]
  66. Jeswin, J.; Xie, X.L.; Ji, Q.L.; Wang, K.J.; Liu, H.P. Proteomic analysis by iTRAQ in red claw crayfish, Cherax quadricarinatus, hematopoietic tissue cells post white spot syndrome virus infection. Fish Shellfish. Immunol. 2016, 50, 288–296. [Google Scholar] [CrossRef] [PubMed]
  67. Jin, S.B.; Fu, H.T.; Sun, S.M.; Jiang, S.F.; Xiong, Y.W.; Gong, Y.S.; Qiao, H.; Zhang, W.Y.; Wu, Y. iTRAQ-based quantitative proteomic analysis of the androgenic glands of the oriental river prawn, Macrobrachium nipponense, during nonreproductive and reproductive seasons. Comp. Biochem. Physiol. Part D Genom. Proteom. 2018, 26, 50–57. [Google Scholar] [CrossRef] [PubMed]
  68. Zhou, H.; Yu, Z.F.; Ye, Z.W.; Su, M.S. Multiplex analyses of the changes of aromatic compounds during the development of peach fruit using GC–MS and iTRAQ proteomic techniques. Sci. Hortic. 2018, 236, 96–105. [Google Scholar] [CrossRef]
  69. Cox, J.; Mann, M. MaxQuant enables high peptide identification rates, individualized p.p.b.-range mass accuracies and proteome-wide protein quantification. Nat. Biotechnol. 2008, 26, 1367–1372. [Google Scholar] [CrossRef] [PubMed]
  70. Schneider, M.; Tognolli, M.; Bairoch, A. The Swiss-Prot protein knowledgebase and ExPASy: Providing the plant community with high quality proteomic data and tools. Plant Physiol. Biochem. 2004, 42, 1013–1021. [Google Scholar] [CrossRef]
  71. Conesa, A.; Gotz, S.; Garcia-Gomez, J.M.; Terol, J.; Talon, M.; Robles, M. Blast2GO: A universal tool for annotation, visualization and analysis in functional genomics research. Bioinformatics 2005, 21, 3674–3676. [Google Scholar] [CrossRef] [PubMed] [Green Version]
  72. Li, M.F.; Li, J.; Wei, J.H.; Paré, P.W. Transcriptional controls for early bolting and flowering in Angelica sinensis. Plants 2021, 10, 1931. [Google Scholar] [CrossRef]
  73. Cui, Y.; Yang, M.M.; Dong, J.; Zhao, W.C.; Gao, X. iTRAQ-based quantitative proteome characterization of wheat grains during filling stages. J. Integr. Agric. 2017, 16, 2156–2167. [Google Scholar] [CrossRef]
  74. Liu, J.Y.; Men, J.L.; Chang, M.C.; Feng, C.P.; Yuan, L.G. iTRAQ-based quantitative proteome revealed metabolic changes of Flammulina velutipes mycelia in response to cold stress. J. Proteom. 2017, 156, 75–84. [Google Scholar] [CrossRef]
  75. Willems, E.; Leyns, L.; Vandesompele, J. Standardization of real-time PCR gene expression data from independent biological replicates. Anal. Biochem. 2008, 379, 127–129. [Google Scholar] [CrossRef] [PubMed]
Publisher’s Note: MDPI stays neutral with regard to jurisdictional claims in published maps and institutional affiliations.

Article Metrics

Citations

Article Access Statistics

Multiple requests from the same IP address are counted as one view.