Improvement of Stevia rebaudiana Bertoni In Vitro Propagation and Steviol Glycoside Content Using Aminoacid Silver Nanofibers
Abstract
1. Introduction
2. Results
2.1. Organic Compounds Synthesis and Analysis
2.2. Micro Propagation of S. rebaudiana
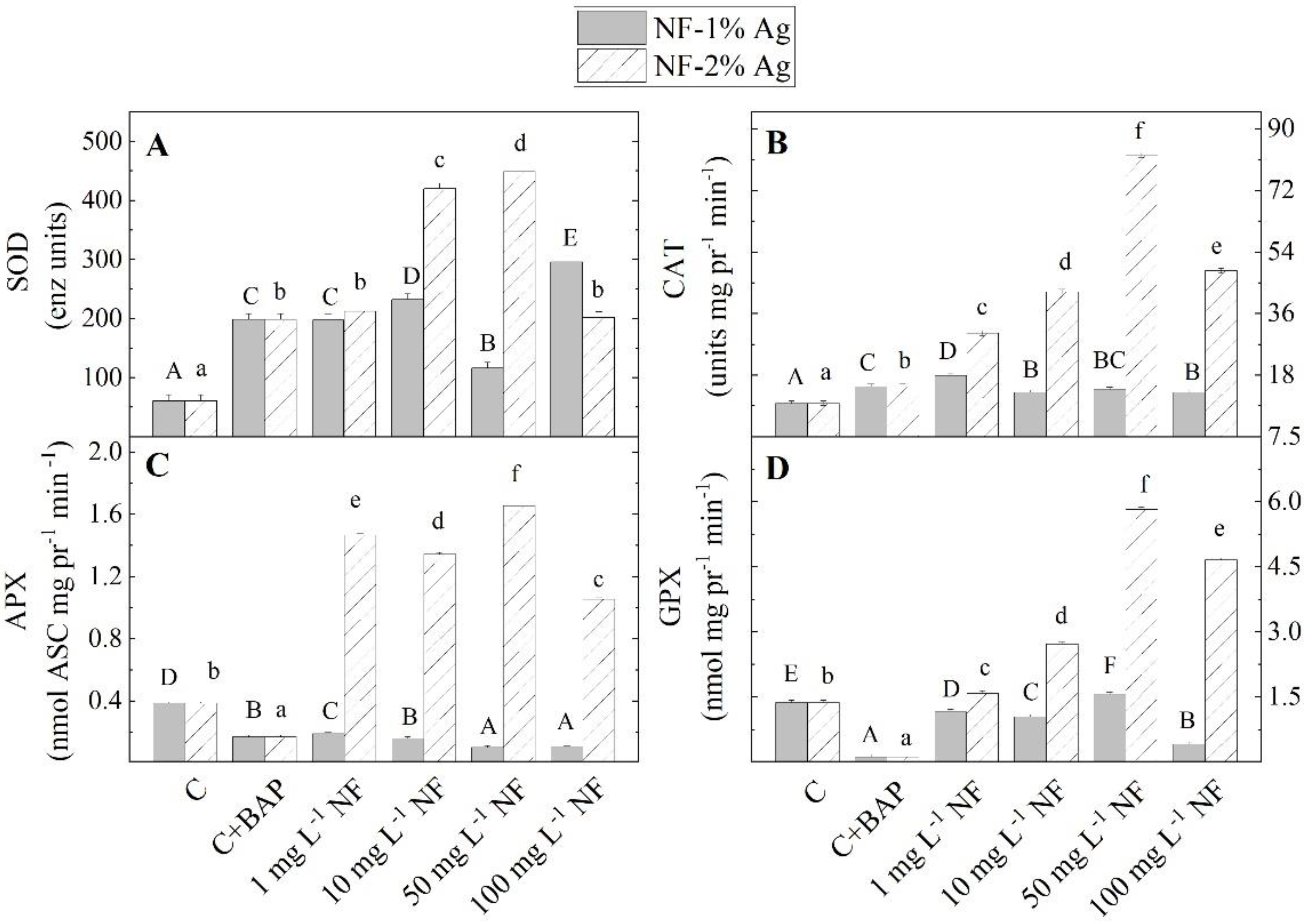
2.3. Antioxidant Power
2.4. Stevioside, Rebaudioside A, and Total Sugar Content
3. Discussion
4. Material and Methods
4.1. Chemical Synthesis


4.2. Analyses of the Newly Obtained Compound Were Done by NMR
4.3. Nanofibers Synthesis and Enrichment with Colloidal Silver
4.4. Plant Material
4.5. Antioxidant Capacity
4.6. Stress Markers Content Analyses
4.7. Stevioside, Rebaudioside A, and Soluble Sugar Analyses
4.8. Statistical Analysis
5. Conclusions
Supplementary Materials
Author Contributions
Funding
Data Availability Statement
Acknowledgments
Conflicts of Interest
References
- International Plant Names Index. The Royal Botanic Gardens, Kew, Harvard University Herbaria & Libraries and Australian National Botanic Gardens. Available online: https://powo.science.kew.org/ (accessed on 27 August 2022).
- Geuns, J.M.C. Stevioside. Phytochemistry 2003, 64, 913–921. [Google Scholar] [CrossRef]
- Singh, S.D.; Rao, G.P. Stevia: The herbal sugar of 21st century. Sugar Tech. 2005, 7, 17–24. [Google Scholar] [CrossRef]
- Felippe, G.M.; Lucas, N.M.C. Estudo da viabilidade dos frutos de Stevia rebaudiana Bert. Hoehnea. 1971, 1, 95–105. [Google Scholar]
- Carneiro, J.W.P.; Muniz, A.S.; Guedes, T.A. Greenhouse bedding plant production of Stevia rebaudiana (Bert) Bertoni. Can. J. Plant Sci. 1997, 77, 473–474. [Google Scholar] [CrossRef]
- Kaplan, B.; Duraklioglu, S.; Turgut, K. Sustainable micropropagation of selected Stevia rebaudiana Bertoni genotypes. Acta Sci. Polon.-Hort. Cult. 2019, 18, 47–56. [Google Scholar] [CrossRef]
- Yesmin, S. In vitro micropropagation of Stevia rebaudiana Bertoni. Plant Tiss. Cult Biotechnol. 2019, 29, 277–284. [Google Scholar] [CrossRef]
- Thiyagarajan, M.; Venkatachalam, P. Large scale in vitro propagation of Stevia rebaudiana (Bert) for commercial application: Pharmaceutically important and anti-diabetic medicinal herb. Ind. Crops Prod. 2012, 37, 111–117. [Google Scholar] [CrossRef]
- Uddin, M.S.; Chowdhury, M.S.H.; Khan, M.M.M.H.; Ahmed, R.; Baten, M.A. In vitro propagation of Stevia rebaudiana, Bert. in Bangladesh. Afr. J. Biotechnol. 2006, 13, 1178–1180. [Google Scholar]
- Rafiq, M.; Dahot, M.U.; Mangrio, S.M.; Naqri, H.A.; Qarshi, I.A. In vitro clonal propagation and biochemical analysis of field established Stevia rebaudiana Bertoni. Pak. J. Bot. 2007, 39, 2467–2474. [Google Scholar]
- Sairkar, P.; Chandravanshi, M.K.; Shukla, N.K.; Mehrotra, M.N. Mass propagation of an economically important medicinal plant Stevia rebaudiana using in vitro propagation technique. J. Med. Plants Res. 2009, 3, 266–270. [Google Scholar]
- Ozyigit, I.I. Phenolic changes during in vitro organogenesis of cotton (Gossypium hirsutum L.) shoot tips. Afr. J. Biotechnol. 2008, 7, 1145–1150. [Google Scholar]
- Reis, E.; Batista, M.T.; Canhoto, J.M. Effect and analysis of phenolic compounds during somatic embryogenesis induction in Feijoa sellowiana Berg. Protoplasma 2008, 232, 193–202. [Google Scholar] [CrossRef] [PubMed]
- Abdi, G.; Salehi, H.; Khosh-Khui, M. Nano_Silver: A novel nanomaterial for removal of bacterial contaminants in valerian (Valeriana officinalis L.) tissue culture. Acta Physiol. Plant. 2008, 30, 709–714. [Google Scholar] [CrossRef]
- Giridhar, P.; Reddy, B.; Ravishankar, G.A. Silver nitrate influences in vitro shoot multiplication and root formation in Vanilla planifolia Andr. Curr. Sci. 2001, 81, 1166–1170. [Google Scholar]
- Cristea, T.O.; Leonte, C.; Brezeneau, C.; Brezeanu, M.; Ambarus, S.; Calinand, M.; Prisecaru, M. Effect of AgNO3 on androgenesis of Brassica oleraceae L. anthers cultivated in vitro. Afr. J. Biotechnol. 2012, 11, 13788–13795. [Google Scholar]
- Tamimi, S.M. Effects of ethylene inhibitors, silver nitrate (AgNO3), cobalt chloride (CoCl2) and aminooxyacetic acid (AOA), on in vitro shoot induction and rooting of banana (Musa acuminata L.). Afr. J. Biotechnol. 2015, 14, 2511–2516. [Google Scholar]
- Bais, H.P.; Ravishankar, G. Role of polyamines in the ontogeny of plants and their biotechnological applications. Plant Cell Tissue Organ Cult. 2002, 69, 1–34. [Google Scholar] [CrossRef]
- Jakubowicz, M.; Gałgańska, H.; Nowak, W.; Sadowski, J. Exogenously induced expression of ethylene biosynthesis, ethylene perception, phospholipase D, and Rboh-oxidase genes in broccoli seedlings. J. Exp. Bot. 2010, 61, 3475–3491. [Google Scholar] [CrossRef]
- Arraes, F.B.M.; Beneventi, M.A.; de Sa, M.E.L.; Paixao, J.F.R.; Albuquerque, E.V.S.; Marin, S.R.R.; Purgatto, E.; Nepomuceno, A.; Grossi-de-Sa, M. Implications of ethylene biosynthesis and signalling in soybean drought stress tolerance. BMC Plant Biol. 2015, 15, 213. [Google Scholar] [CrossRef]
- Nissen, P. Stimulation of somatic embryogenesis in carrot by ethylene: Effects of modulators of ethylene biosynthesis and action. Physiol. Plant. 1994, 92, 397–403. [Google Scholar] [CrossRef]
- Kumar, S.V.; Rajam, M.V. Polyamine ethylene nexus: A potential target for post harvest biotechnology. Ind. J. Biotechnol. 2004, 3, 299–304. [Google Scholar]
- Golkar, P.; Moradi, M.; Garousi, G.A. Elicitation of stevia glycosides using salicylic acid and silver nanoparticles under callus culture. Sugar Tech. 2019, 21, 569–577. [Google Scholar] [CrossRef]
- Tarrahi, R.; Mahjouri, S.; Khataee, A. A review on in vivo and in vitro nanotoxicological studies in plants: A headlight for future targets. Ecotoxicol. Environ. Saf. 2021, 208, 111697. [Google Scholar] [CrossRef] [PubMed]
- Castro-González, C.; Sánchez-Segura, L.; Gómez-Merino, F.; Bello-Bello, J. Exposure of stevia (Stevia rebaudiana B.) to silver nanoparticles in vitro: Transport and accumulation. Sci. Rep. 2019, 9, 10372. [Google Scholar] [CrossRef] [PubMed]
- Akhtar, G.; Jaskani, M.J.; Sajjad, Y.; Akram, A. Effect of antioxidants, amino acids and plant growth regulators on in vitro propagation of Rosa centifolia. Iran. J. Biotechnol. 2016, 14, 51–55. [Google Scholar] [CrossRef]
- Tsekova, D.S.; Escuder, B.; Miravet, J.F. Solid-state polymorphic transition and solvent-free self-assembly in the growth of organic crystalline microfibers. Cryst. Growth Des. 2008, 8, 11–13. [Google Scholar] [CrossRef]
- Miravet, J.F.; Escuder, B. Pyridine-functionalised ambidextrous gelators: Towards catalytic gels. Chem. Commun. 2005, 46, 5796–5798. [Google Scholar] [CrossRef]
- Roy, G.; Miravet, J.F.; Escuder, B.; Sanchez, C.; Llusar, M.J. Morphology templating of nanofibrous silica through pH-sensitive gels: “in situ” and “post-diffusion” strategies. J. Mater. Chem. 2006, 16, 1817–1824. [Google Scholar] [CrossRef]
- Tantcheva, V.V.; Petkov, G.; Karamukova, S.; Abarova, Y.; Chekalarova, D.; Tsekova, B.; Escuder, J.; Miravet, K.; Lyubomirova, N. Neuropharmacological activity of newly synthesized derivatives of valin L. Bulg. Chem. Commun. 2006, 38, 54–57. [Google Scholar]
- Vishwakarma, K.; Shweta; Upadhyay, N.; Singh, J.; Liu, S.; Singh, V.P.; Prasad, S.M.; Chauhan, D.K.; Tripathi, D.K.; Sharma, S. Differential phytotoxic impact of plant mediated silver nanoparticles (AgNPs) and silver nitrate (AgNO3) on Brassica sp. Front. Plant Sci. 2017, 8, 1501. [Google Scholar] [CrossRef]
- Chi, G.L.; Pua, E.C. Ethylene inhibitors enhanced de novo shoot regeneration from cotyledons of Brassica campastris spp. in vitro. Plant Sci. 1989, 64, 243–250. [Google Scholar] [CrossRef]
- Petrova, M.; Zayova, E.; Vitkova, A. Effect of silver nitrate on in vitro root formation of Gentiana lutea. Rom. Biotechnol. Lett. 2011, 16, 53–58. [Google Scholar]
- Lei, C.; Wang, H.; Liu, B.; Ye, H. Effects of silver nitrate on shoot regeneration of Artemisia annua L. Plant Biotechnol. 2014, 31, 71–75. [Google Scholar] [CrossRef][Green Version]
- Kumar, V.; Parvatam, G.; Ravishankar, G.A. AgNO3-a potential regulator of ethylene activity and plant growth modulator. Electron. J. Biotechnol. 2009, 12, 8–9. [Google Scholar] [CrossRef]
- Zhao, X.C.; Qu, X.; Mathews, D.E.; Schaller, G.E. Effect of ethylene-pathway mutations upon expression of the ethylene receptor ETR1 from Arabidopsis. Plant Physiol. 2002, 130, 1983–1991. [Google Scholar] [CrossRef]
- Almutairi, Z.M.; Alharbi, A. Effect of silver nanoparticles on seed germination of crop plants. J. Adv. Agric. 2015, 4, 283–288. [Google Scholar] [CrossRef]
- Pallavi; Mehta, C.M.; Srivastava, R.; Arora, S.; Sharma, A.K. Impact assessment of silver nanoparticles on plant growth and soil bacterial diversity. 3 Biotech 2016, 6, 254. [Google Scholar] [CrossRef]
- Agathokleous, E.; Kitao, M.; Calabrese, E.J. Hormesis: A compelling platform for sophisticated plant science. Trends Plant Sci. 2019, 24, 318–327. [Google Scholar] [CrossRef]
- Islam, S.; Rahman, I.A.; Islam, T.; Ghosh, A. Genome-wide identification and expression analysis of glutathione S-transferase gene family in tomato: Gaining an insight to their physiological and stress-specific roles. PLoS ONE 2017, 12, e0187504. [Google Scholar] [CrossRef]
- Peres, N.A.; Oliveira, M.S.; MacKenzie, S.J. Colletotrichum Crown rot (Anthracnose crown rot) of Strawberries. UF/IFAS Extension 2017, 238–240. Available online: http://edis.ifas.ufl.edu (accessed on 1 February 2022).
- Röck-Okuyucu, B.; Bayraktar, M.; Akgun, I.H.; Gurel, A. Plant growth regulator effect ts on in vitro propagation and stevioside production in Stevia rebaudiana Bertoni. HortScience 2016, 51, 1573–1580. [Google Scholar] [CrossRef]
- Brandle, J.E.; Starratt, A.N.; Gijzen, M. Stevia rebaudiana: Its agricultural, biological, and chemical properties. Can. J. Plant Sci. 1998, 78, 527–536. [Google Scholar] [CrossRef]
- Brandle, J.E.; Telmer, P.G. Steviol glycoside biosynthesis. Photochemistry 2007, 68, 1855–1863. [Google Scholar] [CrossRef] [PubMed]
- Ramezani, M.; Asghari, S.; Gerami, M.; Ramezani, F.; Abdolmaleki, M.K. Effect of silver nanoparticle treatment on the expression of key genes involved in glycosides biosynthetic pathway in S. rebaudiana B. Plant. Sugar Tech. 2019, 22, 518–527. [Google Scholar] [CrossRef]
- Nokandeh, S.; Ramezani, M.; Gerami, M. The physiological and biochemical responses to engineered green graphene/metal nanocomposites in Stevia rebaudiana. J. Plant Biochem. Biotechnol. 2021, 30, 579–585. [Google Scholar] [CrossRef]
- Ahmad, P.; Latef, A.; Hashem, A.; Abd_Allah, E.F.; Gucel, S.; Tran, L. Nitric oxide mitigates salt stress by regulating levels of osmolytes and antioxidant enzymes in chickpea. Front. Plant Sci. 2016, 7, 347. [Google Scholar] [CrossRef]
- Rosa, M.; Prado, C.; Podazza, G.; Interdonato, R.; González, J.A.; Hilal, M.; Prado, F.E. Review Soluble sugars—Metabolism, sensing and abiotic stress A complex network in the life of plants. Plant Signal. Behav. 2009, 4, 388–393. [Google Scholar] [CrossRef]
- Agnez-Lima, L.F.; Melo, J.T.A.; Silva, A.E.; Oliveira, A.; Timoteo, A.; Lima-Bessa, K.; Martinez, G.R.; Medeiros, M.; Di Mascio, P.; Galhardo, R.; et al. DNA damage by singlet oxygen and cellular protective mechanisms. Mutat. Res. Rev. Mutat. Res. 2012, 751, 15–28. [Google Scholar] [CrossRef]
- Smulders, M.; De Klerk, G. Epigenetics in plant tissue culture. Plant Growth Regul. 2011, 63, 137–146. [Google Scholar] [CrossRef]
- Fazal, H.; Abbasi, B.H.; Ahmad, N.; Ali, S.; Akbar, F.; Kanwal, F. Correlation of different spectral lights with biomass accumulation and production of antioxidant secondary metabolites in callus cultures of medicinally important Prunella vulgaris L. J. Photochem. Photobiol. B Biol. 2016, 159, 1–7. [Google Scholar] [CrossRef]
- Varga, M.; Horvatić, J.; Barišić, L.; Lončarić, Z.; Sikirić, M.; Erceg, I.; Kočić, A.; Čamagajevac, I. Physiological and biochemical effect of silver on the aquatic plant Lemna gibba L.: Evaluation of commercially available product containing colloidal silver. Aquat. Toxicol. 2019, 207, 52–62. [Google Scholar] [CrossRef]
- Sharma, P.; Bhatt, D.; Zaidi, M.G.H.; Saradhi, P.P.; Khanna, P.K.; Arora, S. Silver nanoparticle-mediated enhancement in growth and antioxidant status of Brassica juncea. Appl. Biochem. Biotechnol. 2012, 167, 2225–2233. [Google Scholar] [CrossRef] [PubMed]
- El-Mahdy, M.T.K.; Radi, A.; Shaaban, M. Impacts of exposure of banana to silver nanoparticles and silver ions in vitro. Middle East J. Appl. Sci. 2019, 9, 727–740. [Google Scholar]
- Shaikhaldein, H.; Al-Qurainy, F.; Nadeem, M.; Khan, S.; Tarroum, M.; Salih, A.M. Biosynthesis and characterization of silver nanoparticles using Ochradenus arabicus and their physiological effect on Maerua oblongifolia raised in vitro. Sci. Rep. 2020, 10, 17569. [Google Scholar] [CrossRef]
- Ederli, L.; Reale, L.; Ferranti, F.; Pasqualini, S. Responses induced by high concentration of cadmium in Phragmites australis roots. Physiol. Plant. 2004, 121, 66–74. [Google Scholar] [CrossRef] [PubMed]
- Aly, A.A.; Mohamed, A.A. The impact of copper ion on growth, thiol compounds and lipid peroxidation in two maize cultivars (Zea mays L.) grown in vitro. Aust. J. Crop Sci. 2012, 6, 541–549. [Google Scholar]
- Hendawey, M.H.; Abo El Fadl, R.E. Biochemical studies on the production of active constituents in Stevia rebaudiana L. callus. Glob. J. Biotechnol. Biochem. 2014, 9, 76–93. [Google Scholar]
- Esmaeili, H.; Karami, A.; Maggi, F. Essential oil composition, total phenolic and flavonoids contents, and antioxidant activity of Oliveria decumbens Vent. (Apiaceae) at different phenological stages. J. Clean. Prod. 2018, 198, 91–95. [Google Scholar] [CrossRef]
- Bayraktar, M.; Okuyucu, B.; Akgun, I.; Fedekar, S.; Kanik, H.; Gurel, A. Determination of clone lines having a high content of stevioside and rebaudioside a for in vitro commercial production of Stevia rebaudiana. J. AARI 2015, 25, 17–30. [Google Scholar]
- Zayova, E.; Geneva, M.; Dimitrova, L.; Miladinova-Georgieva, K.; Hristozkova, M.; Stancheva, I. Impact of plant growth regulators on Greek oregano micropropagation and antioxidant activity. Biosci. Biotechnol. Res. Asia 2019, 16, 297–305. [Google Scholar] [CrossRef]
- Zayova, E.; Petrova, M.; Vasilevska-İvanova, R.; Stoeva, D.; Krapchev, B. A tissue culture technique for propagation of Paulownia elongata tree. Biyolojik Çeşitlilik ve Koruma 2013, 6, 1–5. [Google Scholar]
- Hristozkova, M.; Geneva, M.; Stancheva, I.; Iliev, I.; Azcón-Aguilar, C. Symbiotic association between golden berry (Physalis peruviana) and arbuscular mycorrhizal fungi in heavy metal-contaminated soil. J. Plant Prot. Res. 2017, 57, 173–184. [Google Scholar] [CrossRef]
- Giannopolitis, C.N.; Reis, S.K. Superoxide dismutase: I. Occurrence in higher plants. Plant Physiol. 1997, 59, 309–314. [Google Scholar] [CrossRef] [PubMed]
- Upadhyaya, A.; Sankhla, D.; Davis, T.; Sankhla, N.; Smith, B. Effect of paclobutrazol on the activities of some enzymes of activated oxygen metabolism and lipid peroxidation in senescing soybean leaves. J. Plant Physiol. 1985, 121, 453–461. [Google Scholar] [CrossRef]
- Nakano, Y.; Asada, K. Purification of ascorbate peroxidase in spinach chloroplasts: Its inactivation in ascorbate-depleted medium and reactivation by monodehydroascorbate radical. Plant Cell Physiol. 1987, 28, 131–140. [Google Scholar]
- Lagrimini, M.; Gingas, V.; Finger, F.; Rothstein, S.; Liu, T.-T.Y. Characterization of antisense transformed plants deficient in the tobacco anionic peroxidase. Plant Physiol. 1997, 114, 1187–1196. [Google Scholar] [CrossRef] [PubMed]
- Bradford, M.M. A rapid and sensitive method for the estimation of microgram quantities of protein utilizing the principle of protein-dye binding. Anal. Biochem. 1976, 72, 248–254. [Google Scholar] [CrossRef]
- Pfeffer, H.; Dannel, F.; Römheld, V. Are there connection between phenol metabolism, ascorbate metabolism and membrane integrity in leaves of boron-deficient sunflower plants? Physiol. Plant. 1998, 104, 479–485. [Google Scholar] [CrossRef]
- Zhishen, J.; Mengcheng, T.; Jianming, W. The determination of flavonoid contents in mulberry and their scavenging effects on superoxide radicals. Food Chem. 1999, 64, 555–559. [Google Scholar] [CrossRef]
- Tepe, B.; Sokmen, M.; Akpulat, H.A.; Sokmen, A. Screening of the antioxidant potentials of six Salvia species from Turkey. Food Chem. 2006, 95, 200–204. [Google Scholar] [CrossRef]
- Benzie, I.; Strain, J. The ferric reducing ability of plasma (FRAP) as a measure of “antioxidant power”: The FRAP assay. Anal. Biochem. 1996, 239, 70–76. [Google Scholar] [CrossRef]
- Prieto, P.; Pineda, M.; Aguilar, M. Spectrophotometric quantitation of antioxidant capacity through the formation of a phosphomolybdenum complex: Specific application to the determination of vitamin E. Anal. Biochem. 1999, 269, 337–341. [Google Scholar] [CrossRef] [PubMed]
- Bates, L.; Waldren, R.; Teare, I.D. Rapid determination of free proline for water-stress studies. Plant Soil 1973, 39, 205–207. [Google Scholar] [CrossRef]
- Kramer, G.F.; Norman, H.; Krizek, D.; Mirecki, R. Influence of UV-B radiation on polyamines, lipid peroxidation and membrane lipids in cucumber. Phytochemistry 1991, 30, 2101–2108. [Google Scholar] [CrossRef]
- Alexieva, V.; Sergiev, I.; Mapelli, S.; Karanov, E. The effect of drought and ultraviolet radiation on growth and stress markers in pea and wheat. Plant Cell Environ. 2001, 24, 13371344. [Google Scholar] [CrossRef]
- Ellman, G.l. Tissue sulphydryl groups. Arch. Biochem. Biophys. 1959, 82, 7077. [Google Scholar] [CrossRef]
- Bergs, D.; Burghoff, B.; Joehnck, M.; Martin, G.; Schembecker, G. Fast and isocratic HPLC-method for steviol glycosides analysis from Stevia rebaudiana leaves. J. Verbrauch. Lebensm. 2012, 7, 147–154. [Google Scholar] [CrossRef]
- Ashwell, G. New colorimetric methods of sugar analysis. In Methods in Enzymology; Neufeld, E.F., Ginsburg, V., Eds.; Academic Press: New York, NY, USA, 1966; Volume 8, p. 85. [Google Scholar]







| Treatments | Shoots FW | Shoot Length | Shoots Number | Rooting | Arcsine Transformation |
|---|---|---|---|---|---|
| g Plant−1 | cm | Explant−1 | % | for Rooting % | |
| Control | 0.115 ± 0.005a | 5.97 ± 0.29ab | 1.01 ± 0.05a | 0.04 | 0.031 |
| C + BAP | 0.353 ± 0.017de | 7.58 ± 0.37e | 1.70 ± 0.08d | 0.00 | 0.000 |
| 1 mg L−1 NF-1% Ag | 0.305 ± 0.015c | 6.83 ± 0.34cd | 1.39 ± 0.06bc | 15.81 | 0.652 |
| 10 mg L−1 NF-1% Ag | 0.334 ± 0.017d | 7.30 ± 0.36de | 1.34 ± 0.06bc | 18.30 | 0.712 |
| 50 mg L−1 NF-1% Ag | 0.371 ± 0.019e | 8.39 ± 0.42f | 1.45 ± 0.07bc | 42.92 | 1.571 |
| 100 mg L−1 NF-1% Ag | 0.285 ± 0.014c | 6.58 ± 0.32bc | 1.40 ± 0.07c | 37.12 | 1.194 |
| 1 mg L−1 NF-2% Ag | 0.377 ± 0.019e | 8.28 ± 0.41f | 2.44 ± 0.12e | 13.68 | 0.600 |
| 10 mg L−1 NF-2% Ag | 0.412 ± 0.021f | 8.63 ± 0.17f | 3.35 ± 0.16f | 17.13 | 0.684 |
| 50 mg L−1 NF-2% Ag | 0.464 ± 0.023g | 10.79 ± 0.53g | 3.25 ± 0.16f | 28.43 | 0.951 |
| 100 mg L−1 NF-2% Ag | 0.193 ± 0.010b | 5.35 ± 0.26a | 1.25 ± 0.06a | 26.00 | 0.892 |
| LSD | 0.029 | 0.657 | 0.172 | ||
| Treatments | Stevioside | Rebaudioside A | Sugars |
|---|---|---|---|
| mg g DW−1 | mg g DW−1 | mg g FW−1 | |
| C | 18.611 ± 0.069 h | 10.474 ± 0.069 g | 15.25 ± 0.76 a |
| C + BAP | 12.401 ± 0.093 c | 4.018 ± 0.023 a | 16.02 ± 0.75 a |
| 1 mg L−1 NF-1% Ag | 18.297 ± 0.023 g | 6.802 ± 0.023 c | 21.89 ± 0.84 b |
| 10 mg L−1 NF-1% Ag | 16.515 ± 0.119 d | 11.600 ± 0.024 h | 18.28 ± 0.80 a |
| 50 mg L−1 NF-1% Ag | 18.021 ± 0.046 f | 7.015 ± 0.023 cd | 16.07 ± 0.71 a |
| 100 mg L−1 NF-1% Ag | 23.464 ± 0.023 i | 6.133 ± 0.023 b | 18.68 ± 0.76 ab |
| 1 mg L−1 NF-2% Ag | 9.048 ± 0.023 a | 3.580 ± 0.046 a | 28.54 ± 1.12 c |
| 10 mg L−1 NF-2% Ag | 12.316 ± 0.225 c | 7.537 ± 0.017 de | 49.00 ± 2.36 d |
| 50 mg L−1 NF-2% Ag | 11.197 ± 0.046 b | 7.858 ± 0.023 e | 53.27 ± 2.12 e |
| 100 mg L−1 NF-2% Ag | 17.337 ± 0.047 c | 9.235 ± 0.047 f | 94.92 ± 4.27 f |
| LSD | 0.158 | 0.060 | 3.508 |
Publisher’s Note: MDPI stays neutral with regard to jurisdictional claims in published maps and institutional affiliations. |
© 2022 by the authors. Licensee MDPI, Basel, Switzerland. This article is an open access article distributed under the terms and conditions of the Creative Commons Attribution (CC BY) license (https://creativecommons.org/licenses/by/4.0/).
Share and Cite
Sichanova, M.; Geneva, M.; Petrova, M.; Miladinova-Georgieva, K.; Kirova, E.; Nedev, T.; Tsekova, D.; Iwanov, I.; Dochev, K.; Ivanova, V.; et al. Improvement of Stevia rebaudiana Bertoni In Vitro Propagation and Steviol Glycoside Content Using Aminoacid Silver Nanofibers. Plants 2022, 11, 2468. https://doi.org/10.3390/plants11192468
Sichanova M, Geneva M, Petrova M, Miladinova-Georgieva K, Kirova E, Nedev T, Tsekova D, Iwanov I, Dochev K, Ivanova V, et al. Improvement of Stevia rebaudiana Bertoni In Vitro Propagation and Steviol Glycoside Content Using Aminoacid Silver Nanofibers. Plants. 2022; 11(19):2468. https://doi.org/10.3390/plants11192468
Chicago/Turabian StyleSichanova, Mariana, Maria Geneva, Maria Petrova, Kameliya Miladinova-Georgieva, Elisaveta Kirova, Trendafil Nedev, Daniela Tsekova, Iwan Iwanov, Konstantin Dochev, Viktoria Ivanova, and et al. 2022. "Improvement of Stevia rebaudiana Bertoni In Vitro Propagation and Steviol Glycoside Content Using Aminoacid Silver Nanofibers" Plants 11, no. 19: 2468. https://doi.org/10.3390/plants11192468
APA StyleSichanova, M., Geneva, M., Petrova, M., Miladinova-Georgieva, K., Kirova, E., Nedev, T., Tsekova, D., Iwanov, I., Dochev, K., Ivanova, V., & Trendafilova, A. (2022). Improvement of Stevia rebaudiana Bertoni In Vitro Propagation and Steviol Glycoside Content Using Aminoacid Silver Nanofibers. Plants, 11(19), 2468. https://doi.org/10.3390/plants11192468

