New Products Generated from the Transformations of Ferulic Acid Dilactone
Abstract
1. Introduction
2. Experimental Section
2.1. Materials and Methods
2.2. Transformations of FA Dilactone under Various Conditions
2.2.1. Alkali Treatments
2.2.2. Acid Treatments
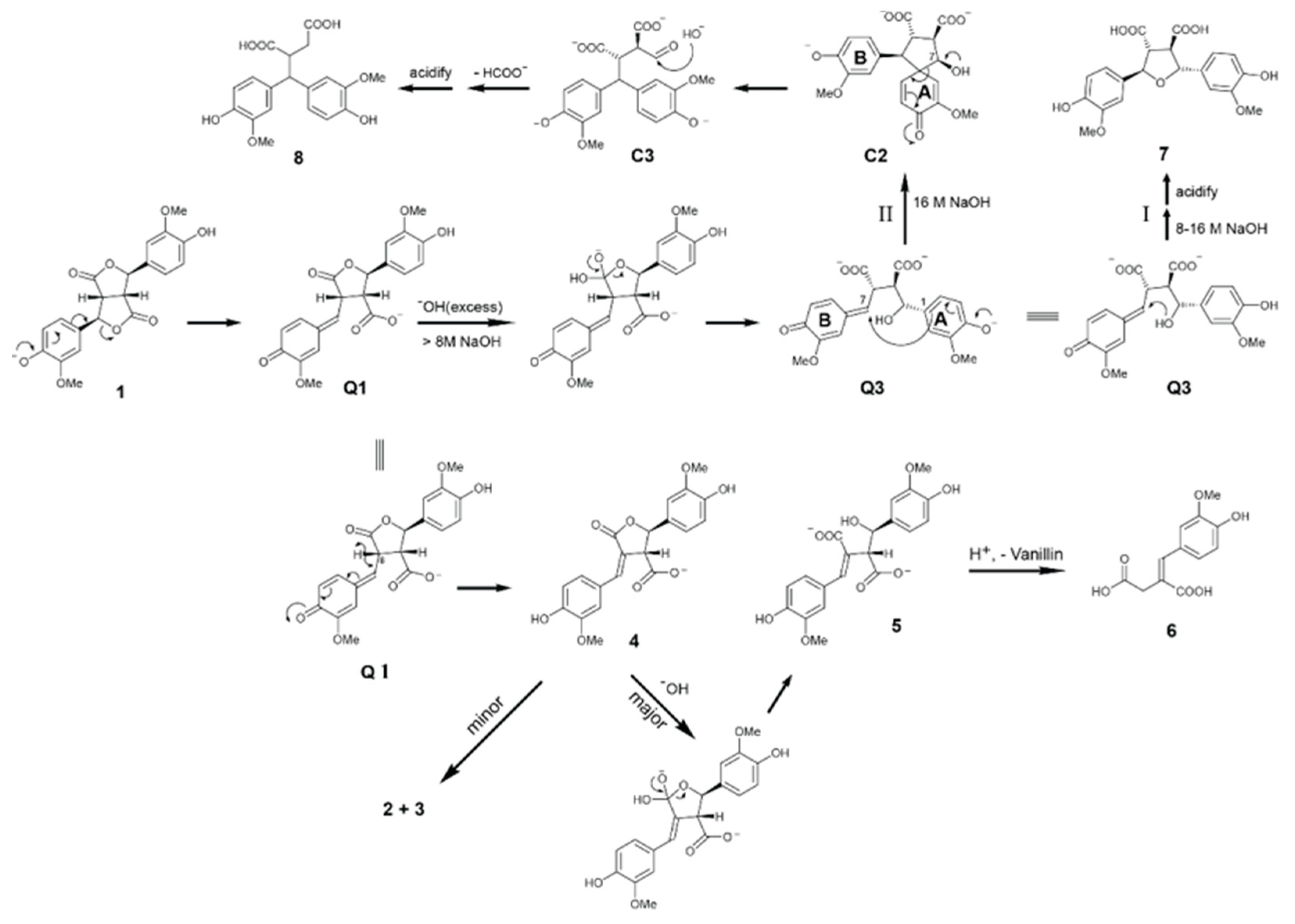
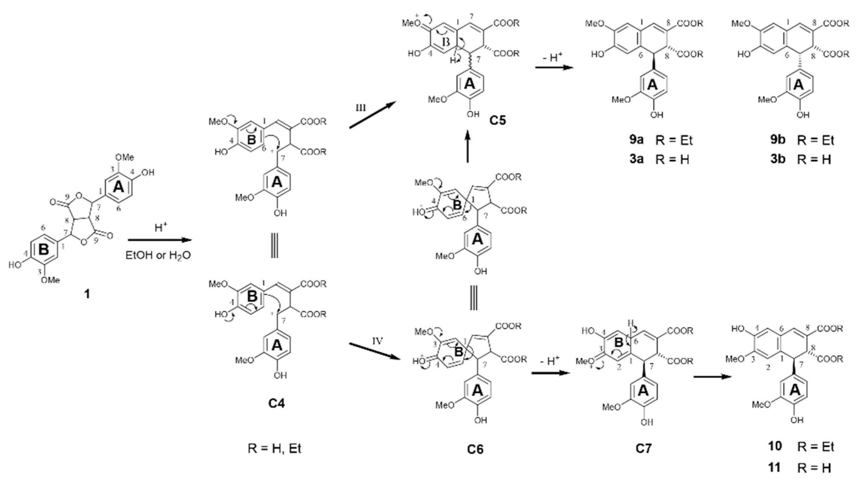
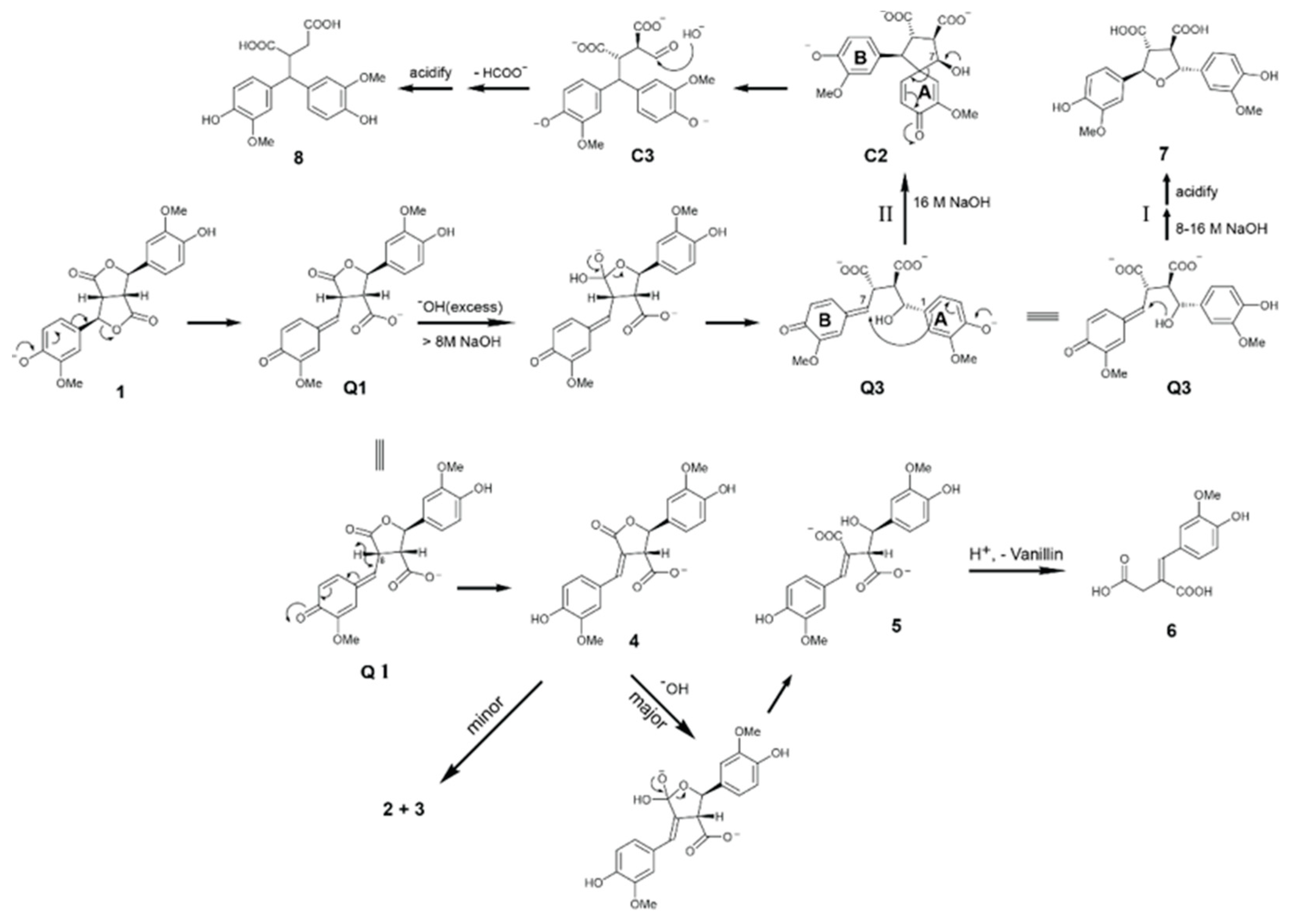
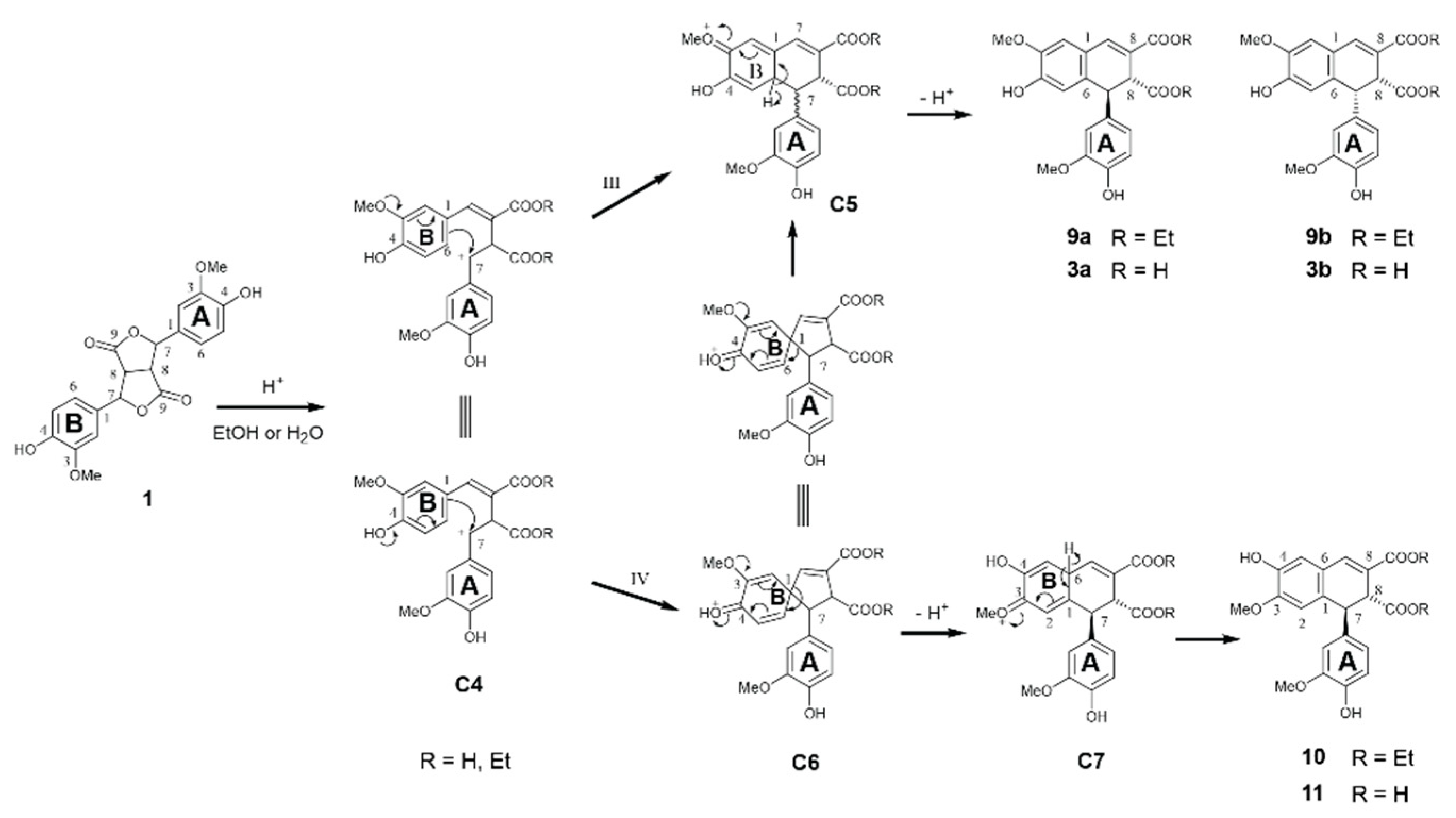
3. Results and Discussion
3.1. Transformation of Dilactone in Alkali Solutions
3.2. Transformation of Dilactone in Acidic Solutions
4. Conclusions
Supplementary Materials
Author Contributions
Funding
Conflicts of Interest
References
- He, Z.; Chen, A.Y.; Rojanaskul, Y.; Rankin, G.O.; Chen, Y.C. Gallic acid, a phenolic compound, exerts anti-angiogenic effects via the PTEN/AKT/HIF-1alpha/VEGF signaling pathway in ovarian cancer cells. Oncol. Rep. 2016, 35, 291–297. [Google Scholar] [CrossRef] [PubMed]
- Kassim, M.; Achoui, M.; Mustafa, M.R.; Moh, M.A.; Yusoff, K.M. Ellagic acid, phenolic acids, and flavonoids in Malaysian honey extracts demonstrate in vitro anti-inflammatory activity. Nutr. Res. 2010, 30, 650–659. [Google Scholar] [CrossRef]
- Vaquero, M.J.R.; Serravalle, L.R.T.; Nadra, M.C.M.d.; Saad, A.M.S.d. Antioxidant capacity and antibacterial activity of phenolic compounds from argentinean herbs infusions. Food Control 2010, 21, 779–785. [Google Scholar] [CrossRef]
- Boz, H. p-Coumaric acid in cereals: Presence, antioxidant and antimicrobial effects. Int. J. Food Sci. Technol. 2015, 50, 2323–2328. [Google Scholar] [CrossRef]
- Yue, F.; Gao, R.; Piotrowski, J.S.; Kabbage, M.; Lu, F.; Ralph, J. Scaled-up production of poacic acid, a plant-derived antifungal agent. Ind. Crops Prod. 2017, 103, 240–243. [Google Scholar] [CrossRef]
- Zhang, A.; Lu, F.; Sun, R.; Ralph, J. Ferulate-coniferyl alcohol cross-coupled products formed by radical coupling reactions. Planta 2009, 229, 1099–1108. [Google Scholar] [CrossRef]
- Piotrowski, J.S.; Okada, H.; Lu, F.; Li, S.C.; Hinchman, L.; Ranjan, A.; Smith, D.L.; Higbee, A.J.; Ulbrich, A.; Coon, J.J.; et al. Plant-derived antifungal agent poacic acid targets beta-1,3-glucan. Proc. Natl. Acad. Sci. USA 2015, 112, E1490–E1497. [Google Scholar] [CrossRef]
- Jia, Y.; He, Y.; Lu, F. The structure-antioxidant activity relationship of dehydrodiferulates. Food Chem. 2018, 269, 480–485. [Google Scholar] [CrossRef]
- Neudorffer, A.; Desvergne, J.-P.; Bonnefont-Rousselot, D.; Legrand, A.; Fleury, M.-B.; Largeron, M. Protective Effects of 4-Hydroxycinnamic Ethyl Ester Derivatives and Related Dehydrodimers against Oxidation of LDL: Radical Scavengers or Metal Chelators? J. Agric. Food Chem. 2006, 54, 1898–1905. [Google Scholar] [CrossRef]
- Neudorffer, A.; Bonnefont-Rousselot, D.; Legrand, A.; Fleury, M.-B.; Largeron, M. 4-Hydroxycinnamic Ethyl Ester Derivatives and Related Dehydrodimers: Relationship between Oxidation Potential and Protective Effects against Oxidation of Low-Density Lipoproteins. J. Agric. Food Chem. 2004, 52, 2084–2091. [Google Scholar] [CrossRef]
- Bunzel, M.; Funk, C.; Steinhart, H. Semipreparative isolation of dehydrodiferulic and dehydrotriferulic acids as standard substances from maize bran. J. Sep. Sci. 2004, 27, 1080–1086. [Google Scholar] [CrossRef] [PubMed]
- Cartwright, N.J.; Haworth, R.D. The constituents of natural phenolic resins. Part XIX. The oxidation of ferulic acid. J. Chem. Soc. 1944, 535–538. [Google Scholar] [CrossRef]
- Adelakun, O.E.; Kudanga, T.; Parker, A.; Green, I.R.; Roes-Hill, M.L.; Burton, S.G. Laccase-catalyzed dimerization of ferulic acid amplifies antioxidant activity. J. Mol. Catal. B Enzym. 2012, 74, 29–35. [Google Scholar] [CrossRef]
- Quideau, S.; Ralph, J. Synthesis of 4,8-bis(4-hydroxy-3-methoxyphenyl)-3,7-dioxabicyclo[3.3.0]-octan- 2-ones and determination of their relative configuration via long-range proton couplings. J. Chem. Soc. Perkin Trans. 1 1993, 653–659. [Google Scholar] [CrossRef]
- Ralph, J.; Quideau, S.; Grabber, J.H.; Hatfield, R.D. Identification and synthesis of new ferulic acid dehydrodimers present in grass cell walls. J. Chem. Soc. Perkin Trans. 1 1994, 3485–3495. [Google Scholar] [CrossRef]
- Li, W.; Liu, H.; Xu, J.; Zang, P.; Liu, Q.; Li, W. Regioselective biomimetic oxidative cyclization strategy for the synthesis of aryldihydronaphthalene lignans. Eur. J. Org. Chem. 2014, 16, 3475–3482. [Google Scholar] [CrossRef]
- Datta, P.K.; Yau, C.; Hooper, T.S.; Brigitte, L.Y.; Charlton, J.L. Acid-catalyzed cyclization of 2,3-dibenzylidenesuccinates: Synthesis of lignans (±)-cagayanin and (±)-galbulin. J. Org. Chem. 2001, 66, 8606–8611. [Google Scholar] [CrossRef]
- Takei, Y.; Mori, K.; Matsui, M. Synthesis of dl-matairesinol dimethyl Ether, dehydrodimethyl-conidendrin and dehydrodimethylretrodendrin from ferulic acid. Agric. Biol. Chem. 1973, 37, 637–641. [Google Scholar]
- Stevenson, R.; Williams, J.R. Synthesis of tetrahydrofuran lignans, (±)-galbelgin and (±)-grandisin. Tetrahedron 1977, 33, 285–288. [Google Scholar] [CrossRef]
- Luo, J.; Hu, Y.; Kong, W.; Wang, M. Evaluation and Structure-Activity Relationship Analysis of a New Series of Arylnaphthalene lignans as Potential Anti-Tumor Agents. PLoS ONE 2014, 9, 1–16. [Google Scholar] [CrossRef]
- Zhao, Y.; Hui, J.; Zhu, L. Synthesis and bioevaluation of novel arylnaphthalene lignans as anticancer agents. J. Med. Chem. 2013, 22, 2505–2510. [Google Scholar] [CrossRef]







| Base Concentrations | Eq. | Temp. (°C) | Time (h) | Products (%) | |||||
|---|---|---|---|---|---|---|---|---|---|
| 2 | 3 | 5 | 6 | 7 | 8 | ||||
| 0.1 M NaOH | 3 | 25 | 16 | 5.8 | 91.4 | ||||
| 0.1 M NaOH | 4 | 5.6 | 92.1 | ||||||
| 0.1 M NaOH | 15 | 6.0 | 89.3 | ||||||
| 0.5 M NaOH | 15 | 2.8 | 65.4 | 21.2 | 4.0 | ||||
| 1 M NaOH | 120 | 3.0 | 7.6 | 79.5 | 3.3 | ||||
| 2 M NaOH | 2.4 | 8.7 | 78.9 | 3.7 | |||||
| 4 M NaOH | 87.2 | 0.8 | |||||||
| 8 M NaOH | 62.5 | 23.4 | 3.7 | ||||||
| 16 M NaOH | 21.8 | 15.5 | 60.2 | ||||||
| 1 M Na2CO3 | 120 | 25 | 16 | 8.7 | 88.7 | ||||
| 2 M Na2CO3 | 9.2 | 89.5 | |||||||
| 5 M Na2CO3 | 8.7 | 89.2 | |||||||
| 0.5 M NH4·OH | 120 | 25 | 16 | 31.5 | 67.7 | ||||
| 5 M NH4·OH | 42.4 | 56.8 | |||||||
| 14 M NH4·OH | 50.9 | 46.5 | |||||||
| Acid Concentrations | Reaction Media | Ratios of Products (%) |
|---|---|---|
| 1.0 M HCl | Dry HCl in ethanol | 10 (18.3):9a (73.4):9b (8.2) |
| 0.5 M HCl | 50% dioxane | 11 (4.1):3a (89.2):3b (6.6) |
| 1.2 M HCl | 50% dioxane | 11 (22.7):3a (70.5):3b (6.8) |
| 1.2 M HCl | 99% dioxane | 11 (27.8):3a (63.8):3b (8.3) |
© 2020 by the authors. Licensee MDPI, Basel, Switzerland. This article is an open access article distributed under the terms and conditions of the Creative Commons Attribution (CC BY) license (http://creativecommons.org/licenses/by/4.0/).
Share and Cite
He, Y.; Jia, Y.; Lu, F. New Products Generated from the Transformations of Ferulic Acid Dilactone. Biomolecules 2020, 10, 175. https://doi.org/10.3390/biom10020175
He Y, Jia Y, Lu F. New Products Generated from the Transformations of Ferulic Acid Dilactone. Biomolecules. 2020; 10(2):175. https://doi.org/10.3390/biom10020175
Chicago/Turabian StyleHe, Ying, Yuan Jia, and Fachuang Lu. 2020. "New Products Generated from the Transformations of Ferulic Acid Dilactone" Biomolecules 10, no. 2: 175. https://doi.org/10.3390/biom10020175
APA StyleHe, Y., Jia, Y., & Lu, F. (2020). New Products Generated from the Transformations of Ferulic Acid Dilactone. Biomolecules, 10(2), 175. https://doi.org/10.3390/biom10020175
