Lipid Metabolism Traits Mediate the Effect of Psoriasis on Myocardial Infarction Risk: A Two-Step Mendelian Randomization Study
Abstract
:1. Introduction
2. Materials and Methods
2.1. Study Design
2.2. Data Retrieval or MR
2.3. Selection of Genetic IVs and Data Harmonization
2.4. Instrument Strength
2.5. Mediation Analysis and the Proportion of the Mediation Effect
2.6. Mendelian Randomization Estimates
2.7. Heterogeneity and Pleiotropy Analysis
3. Results
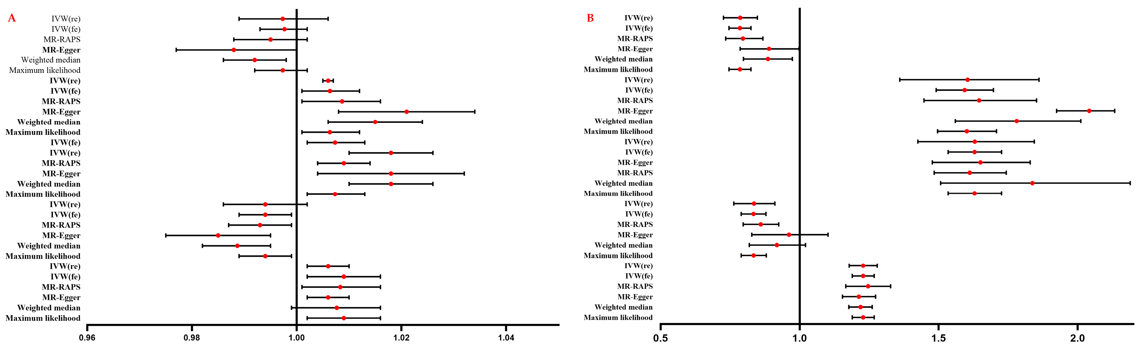
3.1. Effect of Psoriasis on Lipid Metabolism Traits
3.2. Effect of Lipid Metabolism Traits on MI
3.3. Effect of Psoriasis on MI
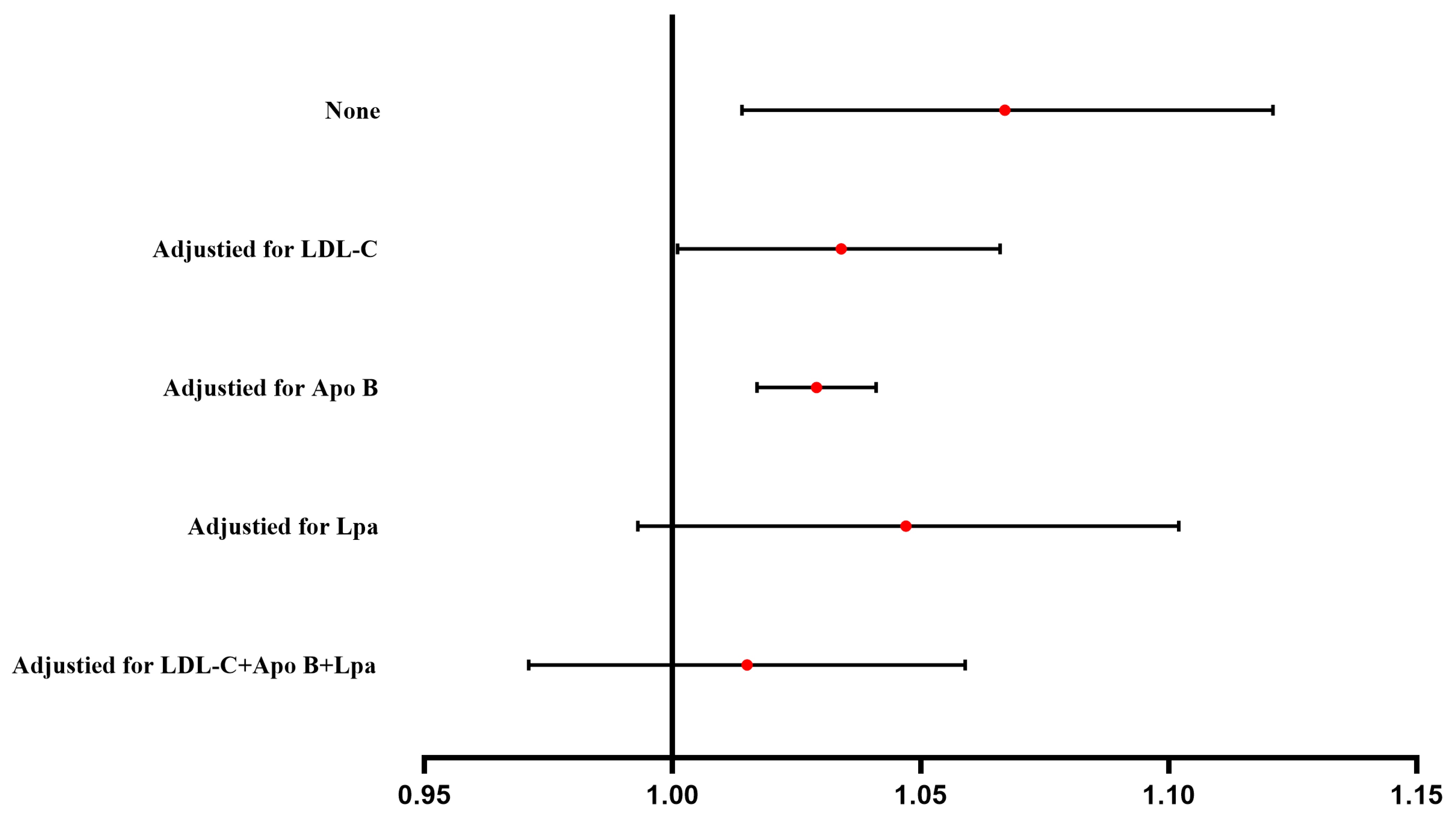
3.4. Proportion of the Mediatory Effect of LDL Cholesterol, Apolipoprotein B, and Lipoprotein A
4. Discussion
5. Conclusions
Supplementary Materials
Author Contributions
Funding
Institutional Review Board Statement
Informed Consent Statement
Data Availability Statement
Acknowledgments
Conflicts of Interest
References
- Griffiths, C.E.M.; Armstrong, A.W.; Gudjonsson, J.E.; Barker, J. Psoriasis. Lancet 2021, 397, 1301–1315. [Google Scholar] [CrossRef]
- Armstrong, A.W.; Read, C. Pathophysiology, Clinical Presentation, and Treatment of Psoriasis: A Review. JAMA 2020, 323, 1945–1960. [Google Scholar] [CrossRef] [PubMed]
- Parisi, R.; Iskandar, I.Y.K.; Kontopantelis, E.; Augustin, M.; Griffiths, C.E.M.; Ashcroft, D.M. National, regional, and worldwide epidemiology of psoriasis: Systematic analysis and modelling study. BMJ 2020, 369, m1590. [Google Scholar] [CrossRef]
- Nestle, F.O.; Kaplan, D.H.; Barker, J. Psoriasis. N. Engl. J. Med. 2009, 361, 496–509. [Google Scholar] [CrossRef] [PubMed]
- Savonitto, S.; Damiani, G.; Colombo, D. Psoriasis and risk of myocardial infarction: Uncertain link, costly implications. Eur. J. Intern. Med. 2022, 98, 12–14. [Google Scholar] [CrossRef]
- Gelfand, J.M.; Neimann, A.L.; Shin, D.B.; Wang, X.; Margolis, D.J.; Troxel, A.B. Risk of myocardial infarction in patients with psoriasis. JAMA 2006, 296, 1735–1741. [Google Scholar] [CrossRef]
- Karbach, S.; Hobohm, L.; Wild, J.; Münzel, T.; Gori, T.; Wegner, J.; Steinbrink, K.; Wenzel, P.; Keller, K. Impact of Psoriasis on Mortality Rate and Outcome in Myocardial Infarction. J. Am. Heart Assoc. 2020, 9, e016956. [Google Scholar]
- Shiba, M.; Kato, T.; Izumi, T.; Miyamoto, S.; Nakane, E.; Haruna, T.; Inoko, M. Risk of myocardial infarction in patients with psoriasis: A cross-sectional patient-population study in a Japanese hospital. J. Cardiol. 2019, 73, 276–279. [Google Scholar] [CrossRef] [PubMed]
- Levesque, A.; Lachaine, J.; Bissonnette, R. Risk of myocardial infarction in canadian patients with psoriasis: A retrospective cohort study. J. Cutan. Med. Surg. 2013, 17, 398–403. [Google Scholar] [CrossRef]
- Wakkee, M.; Herings, R.M.; Nijsten, T. Psoriasis may not be an independent risk factor for acute ischemic heart disease hospitalizations: Results of a large population-based Dutch cohort. J. Investig. Dermatol. 2010, 130, 962–967. [Google Scholar]
- Liu, L.; Cui, S.; Liu, M.; Huo, X.; Zhang, G.; Wang, N. Psoriasis Increased the Risk of Adverse Cardiovascular Outcomes: A New Systematic Review and Meta-Analysis of Cohort Study. Front. Cardiovasc. Med. 2022, 9, 829709. [Google Scholar] [CrossRef]
- Gowda, S.G.B.; Gowda, D.; Hou, F.; Chiba, H.; Parcha, V.; Arora, P.; Halade, G.V.; Hui, S.P. Temporal lipid profiling in the progression from acute to chronic heart failure in mice and ischemic human hearts. Atherosclerosis 2022, 363, 30–41. [Google Scholar] [CrossRef]
- Burkhardt, R.; Toh, S.A.; Lagor, W.R.; Birkeland, A.; Levin, M.; Li, X.; Robblee, M.; Fedorov, V.D.; Yamamoto, M.; Satoh, T.; et al. Trib1 is a lipid- and myocardial infarction-associated gene that regulates hepatic lipogenesis and VLDL production in mice. J. Clin. Investig. 2010, 120, 4410–4414. [Google Scholar] [CrossRef] [PubMed]
- Libuda, L.; Laabs, B.H.; Ludwig, C.; Bühlmeier, J.; Antel, J.; Hinney, A.; Naaresh, R.; Föcker, M.; Hebebrand, J.; König, I.R.; et al. Vitamin D and the Risk of Depression: A Causal Relationship? Findings from a Mendelian Randomization Study. Nutrients 2019, 11, 1085. [Google Scholar] [CrossRef]
- Ma, C.; Harskamp, C.T.; Armstrong, E.J.; Armstrong, A.W. The association between psoriasis and dyslipidaemia: A systematic review. Br. J. Dermatol. 2013, 168, 486–495. [Google Scholar] [CrossRef] [PubMed]
- Schubert, J.; Lindahl, B.; Melhus, H.; Renlund, H.; Leosdottir, M.; Yari, A.; Ueda, P.; James, S.; Reading, S.R.; Dluzniewski, P.J.; et al. Low-density lipoprotein cholesterol reduction and statin intensity in myocardial infarction patients and major adverse outcomes: A Swedish nationwide cohort study. Eur. Heart J. 2021, 42, 243–252. [Google Scholar] [CrossRef] [PubMed]
- Emdin, C.A.; Khera, A.V.; Kathiresan, S. Mendelian Randomization. JAMA 2017, 318, 1925–1926. [Google Scholar] [CrossRef] [PubMed]
- Burgess, S.; Foley, C.N.; Allara, E.; Staley, J.R.; Howson, J.M.M. A robust and efficient method for Mendelian randomization with hundreds of genetic variants. Nat. Commun. 2020, 11, 376. [Google Scholar] [CrossRef]
- Carter, A.R.; Sanderson, E.; Hammerton, G.; Richmond, R.C.; Davey Smith, G.; Heron, J.; Taylor, A.E.; Davies, N.M.; Howe, L.D. Mendelian randomisation for mediation analysis: Current methods and challenges for implementation. Eur. J. Epidemiol. 2021, 36, 465–478. [Google Scholar] [CrossRef]
- Locke, A.E.; Steinberg, K.M.; Chiang, C.W.K.; Service, S.K.; Havulinna, A.S.; Stell, L.; Pirinen, M.; Abel, H.J.; Chiang, C.C.; Fulton, R.S.; et al. Exome sequencing of Finnish isolates enhances rare-variant association power. Nature 2019, 572, 323–328. [Google Scholar] [CrossRef] [PubMed]
- Sinnott-Armstrong, N.; Tanigawa, Y.; Amar, D.; Mars, N.; Benner, C.; Aguirre, M.; Venkataraman, G.R.; Wainberg, M.; Ollila, H.M.; Kiiskinen, T.; et al. Genetics of 35 blood and urine biomarkers in the UK Biobank. Nat. Genet. 2021, 53, 185–194. [Google Scholar] [CrossRef] [PubMed]
- Collins, R. What makes UK Biobank special? Lancet 2012, 379, 1173–1174. [Google Scholar] [CrossRef]
- Nikpay, M.; Goel, A.; Won, H.H.; Hall, L.M.; Willenborg, C.; Kanoni, S.; Saleheen, D.; Kyriakou, T.; Nelson, C.P.; Hopewell, J.C.; et al. A comprehensive 1000 Genomes-based genome-wide association meta-analysis of coronary artery disease. Nat. Genet. 2015, 47, 1121–1130. [Google Scholar] [PubMed]
- Gao, N.; Kong, M.; Li, X.; Zhu, X.; Wei, D.; Ni, M.; Wang, Y.; Hong, Z.; Dong, A. The Association Between Psoriasis and Risk of Cardiovascular Disease: A Mendelian Randomization Analysis. Front. Immunol. 2022, 13, 918224. [Google Scholar] [CrossRef]
- Park, S.; Lee, S.; Kim, Y.; Lee, Y.; Kang, M.W.; Kim, K.; Kim, Y.C.; Han, S.S.; Lee, H.; Lee, J.P.; et al. Atrial fibrillation and kidney function: A bidirectional Mendelian randomization study. Eur. Heart J. 2021, 42, 2816–2823. [Google Scholar] [CrossRef]
- Staley, J.R.; Blackshaw, J.; Kamat, M.A.; Ellis, S.; Surendran, P.; Sun, B.B.; Paul, D.S.; Freitag, D.; Burgess, S.; Danesh, J.; et al. PhenoScanner: A database of human genotype-phenotype associations. Bioinformatics 2016, 32, 3207–3209. [Google Scholar] [CrossRef]
- Sanderson, E.; Davey Smith, G.; Windmeijer, F.; Bowden, J. An examination of multivariable Mendelian randomization in the single-sample and two-sample summary data settings. Int. J. Epidemiol. 2019, 48, 713–727. [Google Scholar] [CrossRef] [PubMed]
- Zhao, S.S.; Holmes, M.V.; Zheng, J.; Sanderson, E.; Carter, A.R. The impact of education inequality on rheumatoid arthritis risk is mediated by smoking and body mass index: Mendelian randomization study. Rheumatology 2022, 61, 2167–2175. [Google Scholar] [CrossRef]
- Xu, L.; Borges, M.C.; Hemani, G.; Lawlor, D.A. The role of glycaemic and lipid risk factors in mediating the effect of BMI on coronary heart disease: A two-step, two-sample Mendelian randomisation study. Diabetologia 2017, 60, 2210–2220. [Google Scholar] [CrossRef]
- Hartwig, F.P.; Davey Smith, G.; Bowden, J. Robust inference in summary data Mendelian randomization via the zero modal pleiotropy assumption. Int. J. Epidemiol. 2017, 46, 1985–1998. [Google Scholar] [CrossRef]
- Pierce, B.L.; Burgess, S. Efficient design for Mendelian randomization studies: Subsample and 2-sample instrumental variable estimators. Am. J. Epidemiol. 2013, 178, 1177–1184. [Google Scholar] [CrossRef]
- Bowden, J.; Davey Smith, G.; Haycock, P.C.; Burgess, S. Consistent Estimation in Mendelian Randomization with Some Invalid Instruments Using a Weighted Median Estimator. Genet. Epidemiol. 2016, 40, 304–314. [Google Scholar] [CrossRef] [PubMed]
- Bowden, J.; Davey Smith, G.; Burgess, S. Mendelian randomization with invalid instruments: Effect estimation and bias detection through Egger regression. Int. J. Epidemiol. 2015, 44, 512–525. [Google Scholar] [CrossRef]
- Fu, Y.; Xu, F.; Jiang, L.; Miao, Z.; Liang, X.; Yang, J.; Larsson, S.C.; Zheng, J.S. Circulating vitamin C concentration and risk of cancers: A Mendelian randomization study. BMC Med. 2021, 19, 171. [Google Scholar] [CrossRef] [PubMed]
- Bowden, J.; Del Greco, M.F.; Minelli, C.; Davey Smith, G.; Sheehan, N.; Thompson, J. A framework for the investigation of pleiotropy in two-sample summary data Mendelian randomization. Stat. Med. 2017, 36, 1783–1802. [Google Scholar] [CrossRef]
- Wu, J.J.; Choi, Y.M.; Bebchuk, J.D. Risk of myocardial infarction in psoriasis patients: A retrospective cohort study. J. Dermatol. Treat. 2015, 26, 230–234. [Google Scholar] [CrossRef]
- Ogdie, A.; Yu, Y.; Haynes, K.; Love, T.J.; Maliha, S.; Jiang, Y.; Troxel, A.B.; Hennessy, S.; Kimmel, S.E.; Margolis, D.J.; et al. Risk of major cardiovascular events in patients with psoriatic arthritis, psoriasis and rheumatoid arthritis: A population-based cohort study. Ann. Rheum. Dis. 2015, 74, 326–332. [Google Scholar] [CrossRef]
- Ogdie, A.; Troxel, A.B.; Mehta, N.N.; Gelfand, J.M. Psoriasis and Cardiovascular Risk: Strength in Numbers Part 3. J. Investig. Dermatol. 2015, 135, 2148–2150. [Google Scholar] [CrossRef]
- Koch, M.; Baurecht, H.; Ried, J.S.; Rodriguez, E.; Schlesinger, S.; Volks, N.; Gieger, C.; Rückert, I.M.; Heinrich, L.; Willenborg, C.; et al. Psoriasis and cardiometabolic traits: Modest association but distinct genetic architectures. J. Investig. Dermatol. 2015, 135, 1283–1293. [Google Scholar] [CrossRef]
- Masson, W.; Lobo, M.; Molinero, G. Psoriasis and Cardiovascular Risk: A Comprehensive Review. Adv. Ther. 2020, 37, 2017–2033. [Google Scholar] [CrossRef] [PubMed]
- Boehncke, W.H. Systemic Inflammation and Cardiovascular Comorbidity in Psoriasis Patients: Causes and Consequences. Front. Immunol. 2018, 9, 579. [Google Scholar] [CrossRef] [PubMed]
- Shahwan, K.T.; Kimball, A.B. Psoriasis and Cardiovascular Disease. Med. Clin. N. Am. 2015, 99, 1227–1242. [Google Scholar] [CrossRef]
- Ramezani, M.; Zavattaro, E.; Sadeghi, M. Evaluation of serum lipid, lipoprotein, and apolipoprotein levels in psoriatic patients: A systematic review and meta-analysis of case-control studies. Postep. Dermatol. Alergol. 2019, 36, 692–702. [Google Scholar] [CrossRef]
- Balling, M.; Afzal, S.; Varbo, A.; Langsted, A.; Davey Smith, G.; Nordestgaard, B.G. VLDL Cholesterol Accounts for One-Half of the Risk of Myocardial Infarction Associated With apoB-Containing Lipoproteins. J. Am. Coll. Cardiol. 2020, 76, 2725–2735. [Google Scholar] [CrossRef] [PubMed]
- Miksenas, H.; Januzzi, J.L., Jr.; Natarajan, P. Lipoprotein(a) and Cardiovascular Diseases. JAMA 2021, 326, 352–353. [Google Scholar] [CrossRef]
- Kamstrup, P.R. Lipoprotein(a) and Cardiovascular Disease. Clin. Chem. 2021, 67, 154–166. [Google Scholar] [CrossRef]
- MacKinnon, D.P.; Krull, J.L.; Lockwood, C.M. Equivalence of the mediation, confounding and suppression effect. Prev. Sci. 2000, 1, 173–181. [Google Scholar] [CrossRef] [PubMed]



| Trait | Consortium | Ethnicity | Sample Size (Case and Control) |
|---|---|---|---|
| Psoriasis (n, %) | FinnGen Biobank | European | 216,752 (4510 and 212,242) |
| HDL cholesterol (mmol/L) | UK Biobank | European | 403,943 |
| LDL cholesterol (mmol/L) | UK Biobank | European | 440,546 |
| apolipoprotein B (mmol/L) | UK Biobank | European | 439,214 |
| apolipoprotein A-1 (mmol/L) | UK Biobank | European | 393,193 |
| Lipoprotein A (mmol/L) | UK Biobank | European | 5732 |
| Myocardial infarction (n, %) | CARDIoGRAMplusC4D | European | 171,875 (43,676 and 128,199) |
| Exposure | Outcome | No. of SNPs | R2 (%) | Heterogeneity | Pleiotropy | ||||
|---|---|---|---|---|---|---|---|---|---|
| Method | Cochran’s Q | I2 (%) | p-Value | Egger-Intercept (95% CI) | p-Value | ||||
| Psoriasis | HDL cholesterol | 12 | 0.0886 | IVW | 35.183 | 57.34 | <0.001 | −0.004 (−0.006, 0.002) | 0.492 |
| Psoriasis | LDL cholesterol | 12 | 0.0886 | IVW | 46.187 | 61.24 | 0.004 | 0.002 (−0.004, 0.008) | 0.396 |
| Psoriasis | apolipoprotein B | 12 | 0.0886 | IVW | 11.000 | 65.49 | <0.001 | −0.004 (−0.008, 0.000) | 0.077 |
| Psoriasis | apolipoprotein A1 | 12 | 0.089 | IVW | 28.134 | 43.48 | 0.003 | −0.003 (−0.007, 0.001) | 0.355 |
| Psoriasis | Lipoprotein A | 11 | 0.084 | IVW | 14.253 | 35.36 | 0.162 | 0.001 (−0.003, 0.005) | 0.655 |
| HDL cholesterol | MI | 317 | 3.903 | IVW | 753.222 | 37.62 | <0.001 | −0.004 (−0.008, 0.000) | 0.066 |
| LDL cholesterol | MI | 146 | 1.752 | IVW | 847.515 | 82.12 | <0.001 | −0.001 (−0.009, 0.007) | 0.677 |
| apolipoprotein B | MI | 178 | 1.871 | IVW | 825.557 | 79.57 | <0.001 | −0.005 (−0.010, 0.001) | 0.103 |
| apolipoprotein A1 | MI | 261 | 3.46 | IVW | 724.154 | 63.45 | <0.001 | −0.005 (−0.013, 0.003) | 0.182 |
| Lipoprotein A | MI | 14 | 0.196 | IVW | 21.276 | 39.74 | 0.068 | 0.010 (−0.018, 0.032) | 0.383 |
| Psoriasis | MI | 8 | 0.032 | IVW | 1.583 | 2.80 | 0.979 | 0.001 (−0.029, 0.031) | 0.989 |
| Exposure/Outcome | Adjustied Factors | Multivariate MR Analysis | ||||
|---|---|---|---|---|---|---|
| nSNP | OR (95% CI) | p-Value | Mediation Effect | Mediation Effect (%) | ||
| Psoriasis/Myocardial infarction | None | 8 | 1.066 (1.014, 1.121) | 0.012 | / | / |
| Psoriasis/Myocardial infarction | LDL cholesterol | 162 | 1.035 (1.001, 1.066) | 0.038 | 0.003 (0.002, 0.004) | 7.4 |
| Psoriasis/Myocardial infarction | apolipoprotein B | 180 | 1.029 (1.017, 1.041) | 0.046 | 0.004 (0.002, 0.003) | 10.2 |
| Psoriasis/Myocardial infarction | Lipoprotein A | 26 | 1.046 (0.993, 1.102) | 0.091 | 0.002 (0.001, 0.003) | 4.1 |
| Psoriasis/Myocardial infarction | LDL cholesterol apolipoprotein B Lipoprotein A | 323 | 1.015 (0.971, 1.059) | 0.399 | 0.009 (0.007, 0.010) | 11.6 |
Disclaimer/Publisher’s Note: The statements, opinions and data contained in all publications are solely those of the individual author(s) and contributor(s) and not of MDPI and/or the editor(s). MDPI and/or the editor(s) disclaim responsibility for any injury to people or property resulting from any ideas, methods, instructions or products referred to in the content. |
© 2023 by the authors. Licensee MDPI, Basel, Switzerland. This article is an open access article distributed under the terms and conditions of the Creative Commons Attribution (CC BY) license (https://creativecommons.org/licenses/by/4.0/).
Share and Cite
Ding, Y.; Yang, S.; He, M.; Fan, S.; Tao, X.; Lu, W. Lipid Metabolism Traits Mediate the Effect of Psoriasis on Myocardial Infarction Risk: A Two-Step Mendelian Randomization Study. Metabolites 2023, 13, 976. https://doi.org/10.3390/metabo13090976
Ding Y, Yang S, He M, Fan S, Tao X, Lu W. Lipid Metabolism Traits Mediate the Effect of Psoriasis on Myocardial Infarction Risk: A Two-Step Mendelian Randomization Study. Metabolites. 2023; 13(9):976. https://doi.org/10.3390/metabo13090976
Chicago/Turabian StyleDing, Yang, Shengyi Yang, Mengjiao He, Shasha Fan, Xiaohua Tao, and Wei Lu. 2023. "Lipid Metabolism Traits Mediate the Effect of Psoriasis on Myocardial Infarction Risk: A Two-Step Mendelian Randomization Study" Metabolites 13, no. 9: 976. https://doi.org/10.3390/metabo13090976
APA StyleDing, Y., Yang, S., He, M., Fan, S., Tao, X., & Lu, W. (2023). Lipid Metabolism Traits Mediate the Effect of Psoriasis on Myocardial Infarction Risk: A Two-Step Mendelian Randomization Study. Metabolites, 13(9), 976. https://doi.org/10.3390/metabo13090976

