Maximizing Energy Efficiency of UAV-Assisted RF-Powered Networks with Quality-of-Service Constraints
Abstract
1. Introduction
2. Related Works
3. System Model
3.1. System Description

3.2. Mathematical Model
4. Problem Analysis
| Algorithm 1: Iterative Descent of Block Coordinate |
| Input: iterations , UAV transmitting power , error precision , minimum system network throughput requirement , ; Output: Optimal value |
| While , do: 1: ; |
| 2: Given , solve (4)–(20) through interior point method to derive the uplink and downlink time allocation strategy , ; |
| 3: From Lemma 1 and Lemma 2, derive UAV and SN transmitting power ; |
| 4: From , and , calculate ; |
| 5: From , and , calculate ; 6: If , do: 7: Optimal value is derived. Optimal resource allocation strategy is , , . 8: Else, do: |
| is updated calculate , |
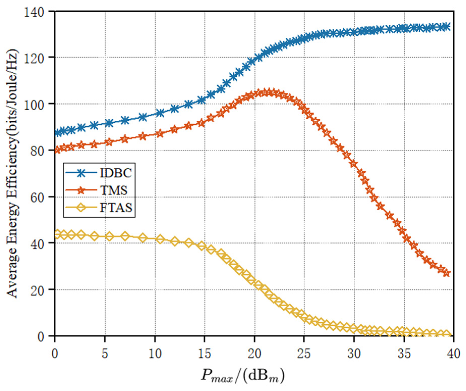
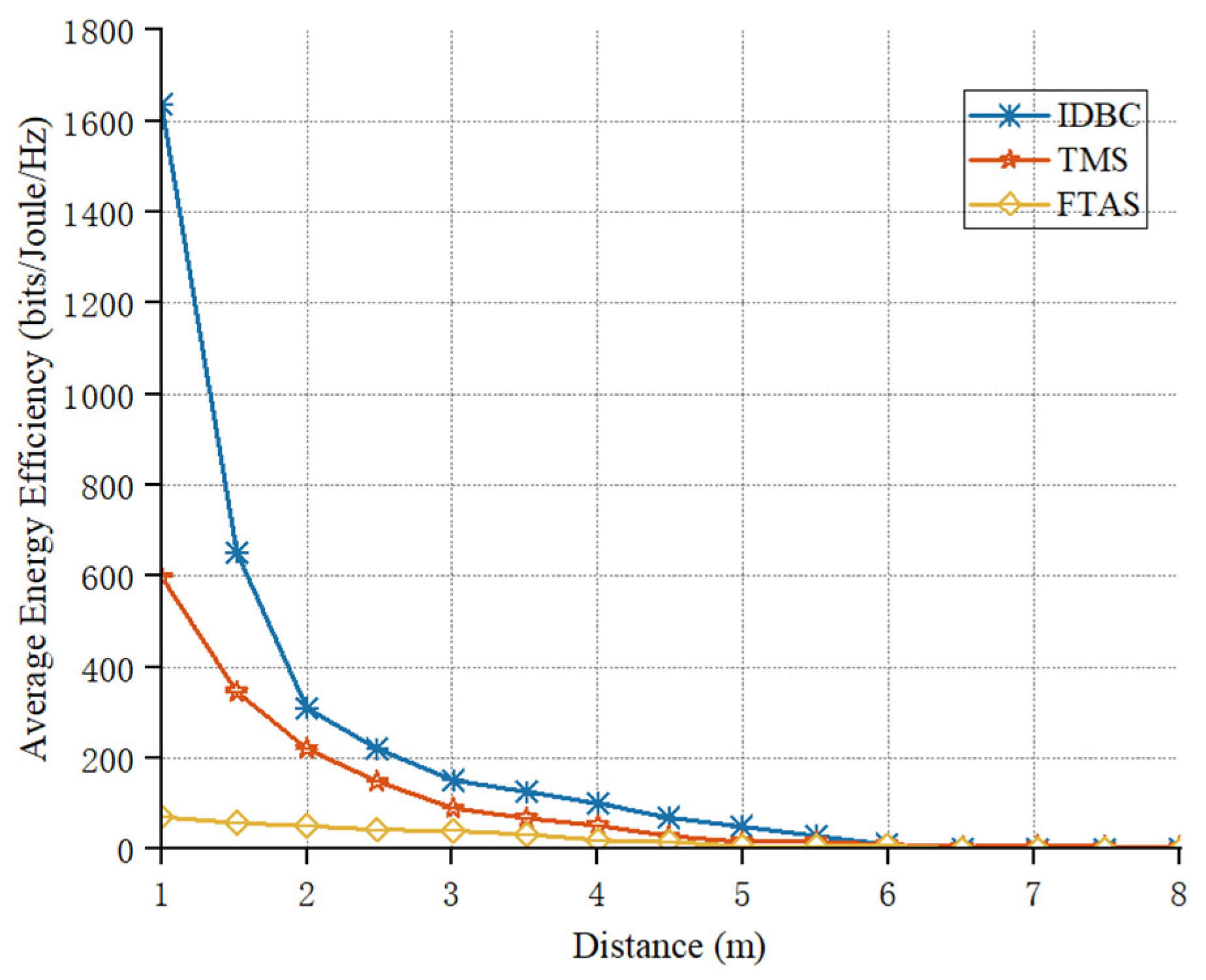
5. Simulation Results
6. Conclusions
Author Contributions
Funding
Data Availability Statement
Conflicts of Interest
References
- Xu, Y.; Gui, G.; Gacanin, H.; Adachi, F. A survey on resource allocation for 5G heterogeneous networks: Current research, future trends, and challenges. IEEE Commun. Surv. Tutor. 2021, 23, 668–695. [Google Scholar] [CrossRef]
- Xu, Y.; Gui, G. Optimal Resource Allocation for Wireless Powered Multi-carrier Backscatter Communication Network. IEEE Wirel. Commun. Lett. 2020, 9, 1191–1195. [Google Scholar] [CrossRef]
- Ju, H.; Zhang, R. Throughput Maximization in Wireless Powered Communication Networks. IEEE Trans. Wirel. Commun. 2014, 13, 418–428. [Google Scholar] [CrossRef]
- Bi, S.; Zhang, R. Placement Optimization of Energy and Information Access Points in Wireless Powered Communication Networks. IEEE Trans. Wirel. Commun. 2016, 15, 2351–2364. [Google Scholar] [CrossRef]
- Wang, F.; Xu, J.; Wang, X.; Cui, S. Joint Offloading and Computing Optimization in Wireless Powered Mobile-Edge Computing Systems. IEEE Trans. Wirel. Commun. 2018, 17, 1784–1797. [Google Scholar] [CrossRef]
- Wang, D.; Bazzi, A.; Chafii, M. RIS-enabled integrated sensing and communication for 6G systems. In Proceedings of the 2024 IEEE Wireless Communications and Networking Conference (WCNC), Dubai, United Arab Emirates, 21–24 April 2024. [Google Scholar]
- Sheng, Z.; Fu, H.; Huang, Z.; Nasir, A.A.; Wu, Q.; Zeng, D. Outage-Aware Online Prediction Control for Securing UAV-Aided Communication. In Proceedings of the IEEE Transactions on Vehicular Technology, Oslo, Norway, 17–22 June 2025. [Google Scholar]
- Xie, L.; Xu, J.; Zhang, R. Throughput Maximization for UAV-Enabled Wireless Powered Communication Networks. IEEE Internet Things J. 2019, 16, 1690–1703. [Google Scholar] [CrossRef]
- Xie, L.; Xu, J.; Zeng, Y. Common Throughput Maximization for UAV-Enabled Interference Channel with Wireless Powered Communications. IEEE Trans. Commun. 2020, 68, 3197–3212. [Google Scholar] [CrossRef]
- Cho, S.; Lee, K.; Kang, B.; Koo, K.; Joe, I. Weighted Harvest-Then-Transmit: UAV-Enabled Wireless Powered Communication Networks. IEEE Access 2018, 6, 72212–72224. [Google Scholar] [CrossRef]
- Wu, Q.; Liu, L.; Zhang, R. Fundamental Trade-offs in Communication and Trajectory Design for UAV-Enabled Wireless Network. IEEE Wirel. Commun. 2019, 26, 6–44. [Google Scholar] [CrossRef]
- Wu, Q.; Zeng, Y.; Zhang, R. Joint Trajectory and Communication Design for Multi-UAV Enabled Wireless Networks. IEEE Trans. Wirel. Commun. 2018, 17, 2109–2121. [Google Scholar] [CrossRef]
- Zeng, Y.; Wu, Q.; Zhang, R. Accessing from the sky: A tutorial on UAV communications for 5G and beyond. Proc. IEEE 2019, 107, 2327–2375. [Google Scholar] [CrossRef]
- Yu, L.; Liu, Z.; Wen, M.; Cai, D.; Dang, S.; Wang, Y.; Xiao, P. Sparse Code Multiple Access for 6G Wireless Communication Networks: Recent Advances and Future Directions. IEEE Commun. Stand. Mag. 2021, 5, 92–99. [Google Scholar] [CrossRef]
- Wang, Z.; Xu, W.; Yang, D.; Lin, J. Joint Trajectory Optimization and User Scheduling for Rotary-Wing UAV-Enabled Wireless Powered Communication Networks. IEEE Access 2019, 7, 181369–181380. [Google Scholar] [CrossRef]
- Wang, Z.; Wen, M.; Dang, S.; Yu, L.; Wang, Y. Trajectory Design and Resource Allocation for UAV Energy Minimization in A Rotary-Wing UAV-Enabled WPCN. Alex. Eng. J. 2021, 60, 1787–1796. [Google Scholar] [CrossRef]
- Chen, Z.; Chi, K.; Zheng, K.; Dai, G.; Shao, Q. Minimization of Transmission Completion Time in UAV-Enabled Wireless Powered Communication Networks. IEEE Internet Things J. 2020, 7, 1245–1259. [Google Scholar] [CrossRef]
- Xu, Y.; Liu, Z.; Huang, C.; Yuen, C. Robust Resource Allocation Algorithm for Energy Harvesting-Based D2D Communication Underlaying UAV-Assisted Networks. IEEE Internet Things J. 2021, 8, 17161–17171. [Google Scholar] [CrossRef]
- Wu, D.; Negi, R. Effective Capacity: A Wireless Link Model for Support of Quality of Service. IEEE Trans. Wirel. Commun. 2003, 24, 630–643. [Google Scholar] [CrossRef]
- Amjad, M.; Musavian, L.; Rehmani, M.H. Effective Capacity in Wireless Networks: A Comprehensive Survey. IEEE Commun. Surv. Tutor. 2019, 21, 3007–3038. [Google Scholar] [CrossRef]
- Zhang, X.; Wang, J.; Poor, H.V. Heterogeneous Statistical-QoS Driven Resource Allocation Over mmWave Massive-MIMO Based 5G Mobile Wireless Networks in the Non-Asymptotic Regime. IEEE J. Sel. Areas Commun. 2019, 37, 2727–2743. [Google Scholar] [CrossRef]
- Cheng, W.; Zhang, X.; Zhang, H. Statistical-QoS driven energy-efficiency optimization over green 5G mobile wireless networks. IEEE J. Sel. Areas Commun. 2016, 34, 3092–3107. [Google Scholar] [CrossRef]
- Li, P.; Xu, J. Placement optimization for UAV-enabled wireless networks with multi-hop backhauls. J. Commun. Inf. Netw. 2018, 3, 64–73. [Google Scholar] [CrossRef]
- Lyu, J.; Zeng, Y.; Zhang, R.; Lim, T.J. Placement optimization of UAV-mounted mobile base stations. IEEE Commun. Lett. 2016, 21, 604–607. [Google Scholar] [CrossRef]
- Alzenad, M.; El-Keyi, A.; Lagum, F.; Yanikomeroglu, H. 3-D placement of an unmanned aerial vehicle base station (UAV-BS) for energy-efficient maximal coverage. IEEE Wirel. Commun. Lett. 2017, 6, 434–437. [Google Scholar] [CrossRef]
- Wang, D.; Bai, B.; Zhang, G.; Han, Z. Optimal placement of low- altitude aerial base station for securing communications. IEEE Wirel. Commun. Lett. 2019, 8, 869–872. [Google Scholar] [CrossRef]
- Cherif, N.; Jaafar, W.; Yanikomeroglu, H.; Yongacoglu, A. On the optimal 3D placement of a UAV base station for maximal coverage of UAV users. In Proceedings of the GLOBECOM 2020–2020 IEEE Global Communications Conference, Taipei, Taiwan, 7–11 December 2020; pp. 1–6. [Google Scholar]
- Hua, M.; Yang, L.; Pan, C.; Nallanathan, A. Throughput maximization for full-duplex UAV aided small cell wireless systems. IEEE Wirel. Commun. Lett. 2019, 9, 475–479. [Google Scholar] [CrossRef]
- Wu, Q.; Zhang, R. Common throughput maximization in UAV-enabled OFDMA systems with delay consideration. IEEE Trans. Commun. 2018, 66, 6614–6627. [Google Scholar] [CrossRef]
- Huang, Y.; Cui, M.; Zhang, G.; Chen, W. Bandwidth, power and trajectory optimization for UAV base station networks with backhaul and user QoS constraints. IEEE Access 2020, 8, 67625–67634. [Google Scholar] [CrossRef]
- Zhang, S.; Cheng, W. Statistical QoS provisioning for UAV-enabled emergency communication networks. In Proceedings of the IEEE Globecom Workshops (GC Wkshps), Waikoloa, HI, USA, 9–13 December 2019; pp. 1–6. [Google Scholar]
- Jie, H.; Zhao, Z.; Zeng, Y.; Chang, Y.; Fan, F.; Wang, C.; See, K.Y. A review of intentional electromagnetic interference in power electronics: Conducted and radiated susceptibility. IET Power Electron. 2024, 17, 1487–1506. [Google Scholar] [CrossRef]
- Jie, H.; Zhao, Z.; Li, H.; Gan, T.H.; See, K.Y. A Systematic Three-Stage Safety Enhancement Approach for Motor Drive and Gimbal Systems in Unmanned Aerial Vehicles. IEEE Trans. Power Electron. 2025, 40 Pt 1, 7. [Google Scholar] [CrossRef]





Disclaimer/Publisher’s Note: The statements, opinions and data contained in all publications are solely those of the individual author(s) and contributor(s) and not of MDPI and/or the editor(s). MDPI and/or the editor(s) disclaim responsibility for any injury to people or property resulting from any ideas, methods, instructions or products referred to in the content. |
© 2025 by the authors. Licensee MDPI, Basel, Switzerland. This article is an open access article distributed under the terms and conditions of the Creative Commons Attribution (CC BY) license (https://creativecommons.org/licenses/by/4.0/).
Share and Cite
Li, S.; Ji, Y.; Peng, W.; Dai, H. Maximizing Energy Efficiency of UAV-Assisted RF-Powered Networks with Quality-of-Service Constraints. Electronics 2025, 14, 4696. https://doi.org/10.3390/electronics14234696
Li S, Ji Y, Peng W, Dai H. Maximizing Energy Efficiency of UAV-Assisted RF-Powered Networks with Quality-of-Service Constraints. Electronics. 2025; 14(23):4696. https://doi.org/10.3390/electronics14234696
Chicago/Turabian StyleLi, Songnong, Yongliang Ji, Wenxin Peng, and Haoreng Dai. 2025. "Maximizing Energy Efficiency of UAV-Assisted RF-Powered Networks with Quality-of-Service Constraints" Electronics 14, no. 23: 4696. https://doi.org/10.3390/electronics14234696
APA StyleLi, S., Ji, Y., Peng, W., & Dai, H. (2025). Maximizing Energy Efficiency of UAV-Assisted RF-Powered Networks with Quality-of-Service Constraints. Electronics, 14(23), 4696. https://doi.org/10.3390/electronics14234696
