A Deep-Learning-Based Method for Spectrum Sensing with Multiple Feature Combination
Abstract
1. Introduction
- (1)
- We decompose the co-directional and orthogonal vectors of the signal, process them to obtain the I/Q features, and combine them with the existing feature matrix to express the underlying information of the received signal more completely.
- (2)
- We introduce the LSTM structure and optimize the design of a new neural network concerning CLDNN to improve the model’s ability to extract relevant features.
- (3)
- By learning multiple features of the signal through the designed SenseNet, the detection ability of the model at low SNR is improved.
2. System Model
2.1. Sensing Model
2.2. Signal and Noise Model
3. Using the SenseNet Network to Learn the Combined Features of the Signal
3.1. Multiple Feature Combination
3.1.1. Energy Statistics
3.1.2. Power Spectrum
3.1.3. Cyclostationary Features
3.1.4. I/Q Component
3.2. SenseNet Network Infrastructure
4. Experimental Analysis and Result Discussion
4.1. Experimental Environment
4.2. Data Generation and Model Training
4.3. Performance with QPSK and 8PSK Signals
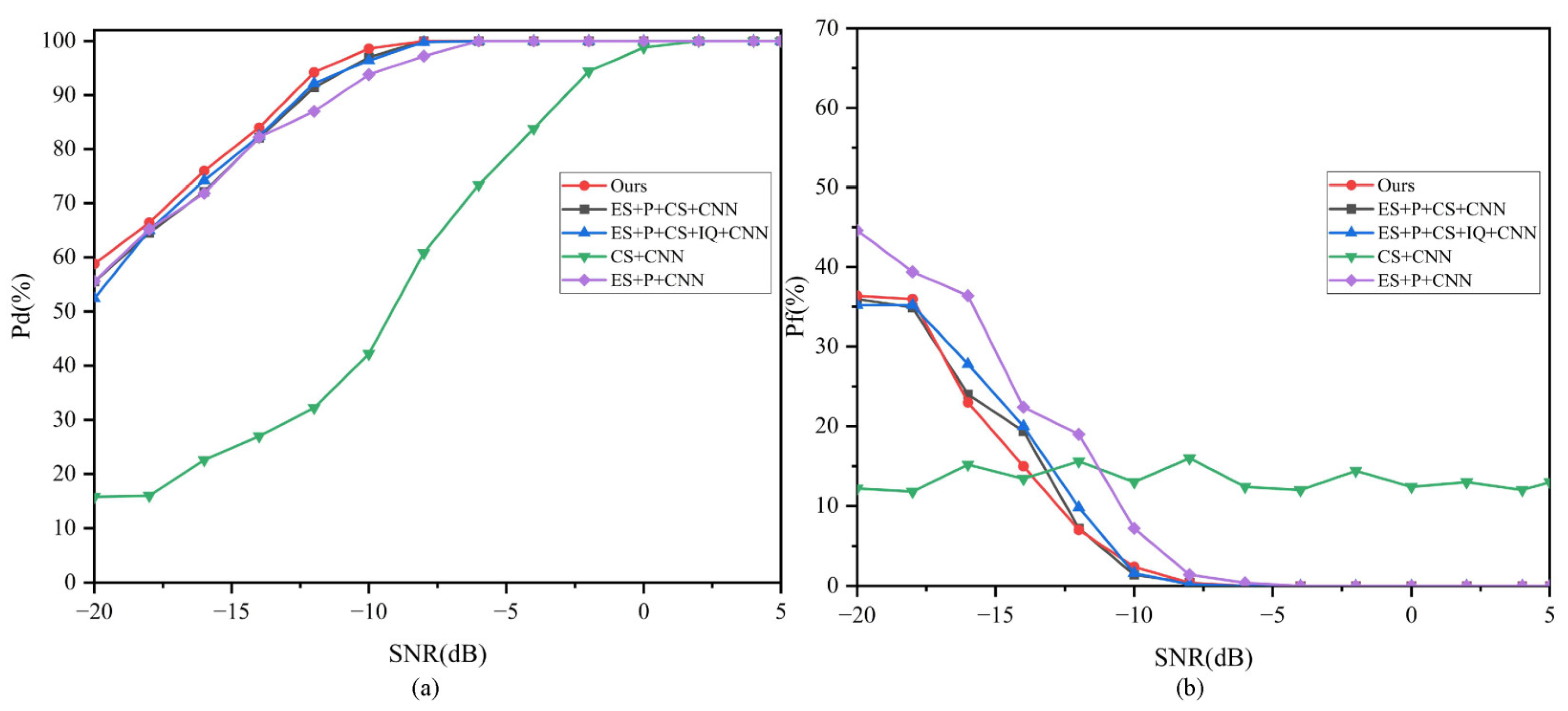
4.4. Comparison of Feature Types
5. Limitations and Future Work
6. Conclusions
Author Contributions
Funding
Data Availability Statement
Conflicts of Interest
References
- Chen, W.; Demirkol, I.; Mostafa, M.; Perotti, A. Mobile Communications And Networks. IEEE Commun. Mag. 2021, 59, 52–53. [Google Scholar] [CrossRef]
- Liu, B.; Bai, X.; Zhang, G.; Shen, J.; Xie, J.; Zhao, L.; Hong, T. A Review of Research on Deep Learning for Cognitive Radio Applications. J. East China Norm. Univ. (Nat. Sci. Ed.) 2021, 1, 36–52. [Google Scholar]
- Ali, M.; Yasir, M.N.; Bhatti, D.M.S.; Nam, H. Optimization of Spectrum Utilization Efficiency in Cognitive Radio Networks. IEEE Wirel. Commun. Lett. 2022, 12, 426–430. [Google Scholar] [CrossRef]
- Mitola, J. Cognitive Radio. An Integrated Agent Architecture for Software Defined Radio. Ph.D. Thesis, KTH Royal Institute of Technology, Stockholm, Sweden, 2002. [Google Scholar]
- Luo, J.; Zhang, G.; Yan, C. An Energy Detection-Based Spectrum-Sensing Method for Cognitive Radio. Wirel. Commun. Mob. Comput. 2022, 2022, 3933336. [Google Scholar] [CrossRef]
- Yang, M.; Li, Y.; Liu, X.; Tang, W. Cyclostationary Feature Detection Based Spectrum Sensing Algorithm under Complicated Electromagnetic Environment in Cognitive Radio Networks. China Commun. 2015, 12, 35–44. [Google Scholar] [CrossRef]
- Brito, A.; Sebastião, P.; Velez, F.J. Hybrid Matched Filter Detection Spectrum Sensing. IEEE Access 2021, 9, 165504–165516. [Google Scholar] [CrossRef]
- Dai, L.; Jiao, R.; Adachi, F.; Poor, H.V.; Hanzo, L. Deep Learning for Wireless Communications: An Emerging Interdisciplinary Paradigm. IEEE Wirel. Commun. 2020, 27, 133–139. [Google Scholar] [CrossRef]
- Seo, D.; Nam, H. Deep Rp-Cnn for Burst Signal Detection in Cognitive Radios. IEEE Access 2020, 8, 167164–167171. [Google Scholar] [CrossRef]
- Alkhouri, I.; Joneidi, M.; Hejazi, F.; Rahnavard, N. Large-Scale Spectrum Occupancy Learning via Tensor Decomposition and LSTM Networks; IEEE: Washington, DC, USA, 2020; pp. 677–682. [Google Scholar]
- Nasser, A.; Chaitou, M.; Mansour, A.; Yao, K.C.; Charara, H. A deep neural network model for hybrid spectrum sensing in cognitive radio. Wirel. Pers. Commun. 2021, 118, 281–299. [Google Scholar] [CrossRef]
- Tekbıyık, K.; Akbunar, Ö.; Ekti, A.R.; Görçin, A.; Kurt, G.K.; Qaraqe, K.A. Spectrum Sensing and Signal Identification with Deep Learning Based on Spectral Correlation Function. IEEE Trans. Veh. Technol. 2021, 70, 10514–10527. [Google Scholar] [CrossRef]
- Tekbiyik, K.; Akbunar, Ö.; Ekti, A.R.; Görçin, A.; Kurt, G.K. Multi–Dimensional Wireless Signal Identification Based on Support Vector Machines. IEEE Access 2019, 7, 138890–138903. [Google Scholar] [CrossRef]
- Kulin, M.; Kazaz, T.; Moerman, I.; De Poorter, E. End-to-End Learning from Spectrum Data: A Deep Learning Approach for Wireless Signal Identification in Spectrum Monitoring Applications. IEEE Access 2018, 6, 18484–18501. [Google Scholar] [CrossRef]
- Vijay, E.V.; Aparna, K. Spectrum Sensing Using Deep Learning for Proficient Data Transmission in Wireless Sensor Networks for Wireless Communication. Ain Shams Eng. J. 2024, 15, 102784. [Google Scholar] [CrossRef]
- Benazzouza, S.; Ridouani, M.; Salahdine, F.; Hayar, A. A Novel Spectrogram Based Lightweight Deep Learning for IoT Spectrum Monitoring. Phys. Commun. 2024, 64, 102364. [Google Scholar] [CrossRef]
- Gao, J.; Yi, X.; Zhong, C.; Chen, X.; Zhang, Z. Deep Learning for Spectrum Sensing. IEEE Wirel. Commun. Lett. 2019, 8, 1727–1730. [Google Scholar] [CrossRef]
- Zhang, X.; Ma, Y.; Liu, Y.; Wu, S.; Jiao, J.; Gao, Y.; Zhang, Q. Robust DNN-Based Recovery of Wideband Spectrum Signals. IEEE Wirel. Commun. Lett. 2023, 12, 1712–1715. [Google Scholar] [CrossRef]
- Han, D.; Sobabe, G.C.; Zhang, C.; Bai, X.; Wang, Z.; Liu, S.; Guo, B. Spectrum Sensing for Cognitive Radio Based on Convolution Neural Network. In Proceedings of the 2017 10th International Congress on Image and Signal Processing, BioMedical Engineering and Informatics (CISP-BMEI), Shanghai, China, 14–16 October 2017; pp. 1–6. [Google Scholar]
- Patel, D.K.; López-Benítez, M.; Soni, B.; García-Fernández, Á.F. Artificial Neural Network Design for Improved Spectrum Sensing in Cognitive Radio. Wirel. Netw. 2020, 26, 6155–6174. [Google Scholar] [CrossRef]
- Geng, Y.; Huang, J.; Yang, J.; Zhang, S. Spectrum Sensing for Cognitive Radio Based on Feature Extraction and Deep Learning; IOP Publishing: Bristol, UK, 2022; Volume 2261, p. 012016. [Google Scholar]
- Salahdine, F.; Han, T.; Zhang, N. 5G, 6G, and Beyond: Recent Advances and Future Challenges. Ann. Telecommun. 2023, 78, 525–549. [Google Scholar] [CrossRef]






| Hyperparameters | Value |
|---|---|
| Number of convolution kernels per convolutional layer | 4, 8 |
| Convolution kernel size | 2 × 2, 2 × 2 |
| Cell unit for each LSTM layer | 32, 16 |
| Output dimensions for each fully connected layer | 64, 32, 2 |
| Optimizer | Stochastic Gradient Descent |
| Learning rate | 0.01 |
| Batch size | 32 |
| Model | Architecture | Average Detection Accuracy |
|---|---|---|
| Model 1 | 2COV + Sigmoid + 3FC + Sigmoid | 88.49% |
| Model 2 | 2 COV + ReLU + 2FC + ReLU 2LSTM + 1FC + ReLU | 88.89% |
| Model 3 | 2 COV + ReLU + 1FC + ReLU + 2LSTM + 2FC + SoftMax | 88.87% |
| Model 4 | 2 COV + ReLU + 1FC + ReLU + 2LSTM + 1FC + ReLU | 91.03% |
| Type of modulation | QPSK, 8PSK |
| Signal sampling frequency | 2000 Hz |
| Length of generated random-bit sequence | 400 |
| SNR range | −20 dB~5 dB in 1 dB increments |
| Number of training samples | 15,600 |
| Model | Best Accuracy | Parameter Count | FLOPs |
|---|---|---|---|
| CNN | 89.69% | 80,834 | 287,408 |
| SenseNet | 90.65% | 65,726 | 256,720 |
Disclaimer/Publisher’s Note: The statements, opinions and data contained in all publications are solely those of the individual author(s) and contributor(s) and not of MDPI and/or the editor(s). MDPI and/or the editor(s) disclaim responsibility for any injury to people or property resulting from any ideas, methods, instructions or products referred to in the content. |
© 2024 by the authors. Licensee MDPI, Basel, Switzerland. This article is an open access article distributed under the terms and conditions of the Creative Commons Attribution (CC BY) license (https://creativecommons.org/licenses/by/4.0/).
Share and Cite
Zhang, Y.; Luo, Z. A Deep-Learning-Based Method for Spectrum Sensing with Multiple Feature Combination. Electronics 2024, 13, 2705. https://doi.org/10.3390/electronics13142705
Zhang Y, Luo Z. A Deep-Learning-Based Method for Spectrum Sensing with Multiple Feature Combination. Electronics. 2024; 13(14):2705. https://doi.org/10.3390/electronics13142705
Chicago/Turabian StyleZhang, Yixuan, and Zhongqiang Luo. 2024. "A Deep-Learning-Based Method for Spectrum Sensing with Multiple Feature Combination" Electronics 13, no. 14: 2705. https://doi.org/10.3390/electronics13142705
APA StyleZhang, Y., & Luo, Z. (2024). A Deep-Learning-Based Method for Spectrum Sensing with Multiple Feature Combination. Electronics, 13(14), 2705. https://doi.org/10.3390/electronics13142705

