Abstract
Global herbicide-resistant weed populations continue rising due to selection pressures exerted by herbicides. Despite this, herbicides continue to be farmers’ preferred weed-control method due to cost and efficiency relative to physical or biological methods. However, weeds developing resistance to herbicides not only challenges crop production but also threatens ecosystem services by disrupting biodiversity, reducing soil health, and impacting water quality. Our objective was to develop a simulation model that captures the feedback between weed population dynamics, agricultural management, profitability, and farmer decision-making processes that interact in unique ways to reinforce herbicide resistance in weeds. After calibration to observed data and evaluation by subject matter experts, we tested alternative agronomic, mechanical, or intensive management strategies to evaluate their impact on weed population dynamics. Results indicated that standalone practices enhanced farm profitability in the short term but lead to substantial adverse ecological outcomes in the long term, indicated by elevated herbicide resistance (e.g., harm to non-target species, disrupting natural ecosystem functions). The most management-intensive test yielded the greatest weed control and farm profit, albeit with elevated residual resistant seed bank levels. We discuss these findings in both developed and developing-nation contexts. Future work requires greater connectivity of farm management and genetic-resistance models that currently remain disconnected mechanistically.
1. Introduction
“The chemical weed killers are a bright new toy. They work in a spectacular way; they give a giddy sense of power over nature to those who wield them, and as for the long-range and less obvious effects—these are easily brushed aside as the baseless imaginings of pessimists… Seldom is the question asked, ‘What is the relation between the weed and the soil?’ In nature nothing exists alone.”(quoted from [1])
The extensive weed presence and subsequent accumulated resistance to herbicide treatment over time has been a chronic issue throughout the history of modern agriculture [2,3]. Herbicide resistance in weeds has increased rapidly worldwide from the first reported case in 1957 [4] to over 500 today (Figure 1a) [5,6]. The issue is particularly pronounced in developed regions such as the United States [6], Canada [7], Europe [8], Australia, and New Zealand [5], where herbicide use is more intensive due to the reliance on chemical weed-control strategies in large-scale agricultural systems. Moreover, its growing recognition in developing regions suggests that the challenge of herbicide resistance transcends geographic and socio-economic boundaries [5,9] and poses mounting threats to ecosystem services’ sustainability (e.g., provisioning food production, supporting biodiversity).
Herbicide resistance in weeds poses a threat to ecosystem services through a variety of mechanisms. The most economically important and detrimental effect is the financial stress on farmers through reductions in yield, volume, and crop quality (provisioning services). Despite the increase in resistance cases, herbicide treatments continue to be farmers’ preferred weed-control method due to their low cost, ease of use, and efficiency relative to other methods such as mechanical removal (Figure 1b,c) [10]. As the number of global herbicide-resistance cases grows (Figure 1a and Table 1), the less likely producers will be able to control pervasive weed problems with herbicides, further challenging crop production, economic feasibility, and agroecosystem services.
Table 1.
Number of resistant weed species cases ranked globally by the Herbicide Resistance Action Committee (HRAC) group [5].
The threat posed by herbicide resistance extends beyond immediate economic concerns, as it enables resistant weed species to proliferate unchecked, often outcompeting crops for vital resources such as nutrients, water, and light. Such disturbances can disrupt the ecological equilibrium of a landscape, altering non-provisioning ecosystem services (e.g., regulatory soil carbon dynamics via reduced biomass turnover and increased soil respiration, reduced water infiltration, and greater soil evaporation and runoff potential due to increased soil temperatures and less leaf canopy and root biomass) [11,12]. As these resistant weeds flourish, they can alter the habitat, affecting biodiversity and the presence of beneficial organisms (e.g., aboveground pollinators as well as belowground symbiotic bacterial–fungal relationships important for primary production and nutrient cycling) [13]. The resulting imbalance can lead to a cascade of ecological consequences, potentially transforming productive agroecosystems into less fertile areas dominated by a few robust weed species. Understanding and mitigating herbicide resistance is therefore crucial for maintaining both agricultural productivity and ecological integrity.
The purpose of this paper is to investigate the herbicide-resistance issue from a systems perspective. We begin by synthesizing historical and current data sources to examine major trends and patterns over time that have led to the known resistant species prevalence observed today (over 500). We then employ the system dynamics (SDs) modeling methodology to develop a simulation model of the problem at a producer or small shareholder-level, which integrates agricultural economics, management decision making, and soil and crop-production perspectives to explore weed mitigation strategies and trade-offs. We conclude by recognizing and discussing simulation-based insights of weed-herbicide-resistance management and its implications for the broad array of ecosystem services that are impacted by it.
Figure 1.
Evolution of weed resistance and herbicide use over time: (a) global cases of resistance (data from Heap 2021 [5]); (b) total pesticide use and the fraction of total applied as herbicide (dashed line); (c) the percentage of planted cropland acres in the United States treated with herbicide (data from Fernandez-Cornejo et al., 2014 [14]).
Figure 1.
Evolution of weed resistance and herbicide use over time: (a) global cases of resistance (data from Heap 2021 [5]); (b) total pesticide use and the fraction of total applied as herbicide (dashed line); (c) the percentage of planted cropland acres in the United States treated with herbicide (data from Fernandez-Cornejo et al., 2014 [14]).

1.1. From Breakthrough to Backlash: The Evolution of Herbicide Resistance
The developmental history of herbicide resistance may be summarized as follows: in the 1950s, herbicide commercialization was a breakthrough innovation for the agricultural sector. Combined with successful crop genetic modifications enabling resistance to such herbicides 40 years later, a perceived long-term solution to pervasive weed problems was established [15]. Unfortunately, the unintended consequence exerted by herbicides on weed populations has been “intense selection pressure”, which disproportionally rewards the few weed individuals that survive herbicide treatment to pass the resistance to offspring seed [6,16,17,18,19,20]. As a result, resistant weed seeds accumulate in the soil seed bank, and over time, this initially small percentage of resistant weed seeds compounds, becoming less responsive to herbicides (Figure 2). This reinforces future weed problems given the long-term viability of seeds in the seed bank relative to the short-lived potency of herbicides. In response, farmers have resorted to chemical rotations or switching (i.e., alternating herbicides using varying modes and/or sites of action) as well as tank mixing multiple herbicides in attempts to maintain the desired effectiveness of herbicide treatments. Unfortunately, the lack of newly approved chemical compounds for herbicide use constrains the diversity of possible treatment combinations. Repeated use of herbicides with similar sites and modes of action increases selection pressures that lead to resistance. As a result, the effectiveness of resistance management efforts declines.
Figure 2.
Conceptual model illustrating the development of weed resistance to herbicide: (time 1) At time 1, treatment is applied that kills the majority of weeds present, but due to environmental forces that thwart application effectiveness (e.g., weather that disrupts proper application timing, lack for coverage, “drift” application, inherent weed resistance), (time 2) surviving weeds pass on resistant traits to seeds in the seed bank, which accumulate. (time 3) When farmers experience severe enough reductions in crop yield or quality, they may be led to “switch” herbicides. (time 4) Unfortunately, added selection pressure may lead to new pathways to resistant weed offspring, compounding the problem.
Reflecting on this diminishing efficacy of resistance management, the historical data tell a similar story. For example, pesticide use in the United States increased three-fold between 1960 and 1981, from 89 to 286 million kg. Even more significant was the growth in the herbicide fraction of total pesticide applications, which increased from 18% to 76% (Figure 1b) [14]. Since 1981, total pesticide use has slightly declined (to approximately 234 million kg in 2008), whereas the herbicide fraction of pesticide use has remained at least 75% or greater of the total applications (Figure 1b). Almost 100% of the U.S.’s planted crop acres are treated with herbicide (compared to only 15% in 1952; [14]; Figure 1c). This persistent reliance on herbicides, despite their diminishing financial returns, sets the stage for a deeper exploration into the mechanisms of resistance.
1.2. Modeling Herbicide Resistance
Modeling offers a robust framework for understanding complex problems like herbicide resistance. It allows for the examination of intricate interactions within ecosystems that are not easily observable in the field. Through simulations, modeling can reveal the long-term consequences of current practices and help predict the effectiveness of potential solutions. Previous modeling efforts to gain understanding of herbicide-resistance processes and management have taken on various forms but have been primarily focused on weed interactions within an ecosystem [21,22]. For example, some models have focused on population genetics [23] or demographics (weed-to-weed; [24]), crop–weed competition [25,26,27], or chemical resistances of weed species to specific chemicals such as glyphosate (weed–chemical selection pressure; [28,29,30,31]).
Building upon this foundation, our study takes a more comprehensive, systems-level approach where we aim to synthesize existing knowledge on the development of herbicide resistance in weeds and couple those processes to broader agricultural, economic, and farm-level decision-making factors. Such an approach facilitates experimentation for generating insight into the interrelationship among ecological and socio-economic structures driving weed-herbicide resistance. This is particularly important for understanding complex agroecological services. To achieve this, a dynamic model grounded in SDs methodology emphasizing closed-form endogenous feedback processes was constructed, linking various cropping systems, farm economics, and decision-making relationships capable of testing alternative management approaches aimed at curtailing weed pressures and improving agroecosystem functions and outcomes. The model thus developed is more generalized, since it is not specific to any crop or herbicide type, allowing for broader applicability across different cultural or ecological contexts.
The remainder of this paper proceeds with an overview of the modeling process employed and documenting the resulting mathematical model. The model description is followed by the design of our management simulation experiments, mimicking agronomic, mechanical, or integrated strategies, aimed at addressing the herbicide-resistance problem. After the results and discussion, we conclude with a summary of key insights about management trade-offs and their implications for ecosystem services’ sustainability.
2. Materials and Methods
The system dynamics (SDs) method is best described as a process, aided by computer simulation, to generate improved understanding of the relationships between a problem or system’s structure and its resulting dynamic behaviors over time [32,33,34]. This method is particularly well suited for problems characterized by feedback, where system accumulations or stocks are critical for system function, and where it is essential to account for both natural biophysical processes and decisions, policies, or strategies made by human actors [33,34,35].
Generally, two types of feedback exist: positive feedback (also called reinforcing feedback [donated “R” in causal loop or stock-flow diagrams]) and negative feedback (also called balancing feedback [denoted “B” in causal loop or stock-flow diagrams]). Accumulations or stocks are variables that store material, inventory, or information embedded in system processes. Importantly, stock variables can only change via inflows and outflows of the stock, which are decoupled due to the accumulation in the stock variable. Because of this decoupling of flows and the time required to change inflow and outflow rates due to decision delays, stocks often express nonlinear dynamics which can arise from even simple system functions. Because SDs place high importance on testing policies or strategies aimed at improving system performance, key stakeholders and their goals, values, and mental models (and the information sources that influence them) should be explicitly captured [35].
Agroecosystem processes, including those pertinent for herbicide-resistance dynamics, provide good examples of such system features: farmers respond to field conditions that lead to alternative chemical treatment methods, which lead to shifts in the expression of inherited resistance traits and thus contributes to resistant weed seeds in the soil seed bank (an accumulation). Upon germination when conditions are favorable, weed growth observations by the farmer lead to updated management decisions (illustrating delayed consequences and feedback). For these reasons, SDs methodology is particularly well suited to study the problem of herbicide resistance in weeds (Appendix A).
2.1. Problem Articulation
After examining the publicly available data, surveying the literature, and soliciting expert input from weed scientists, agronomists, and soil scientists, we synthesized the problem into the following dynamic hypothesis:
“Farmers depend on herbicides due to their low cost, ease of use, and efficiency in controlling problematic weeds. Weeds with resistant traits have survived and passed down the resistant traits to offspring in the soil seed bank. Resistant weeds challenge crop production and quality. Producers and chemical companies have answered this by ‘switching’ between existing herbicides with different modes of action and investing in crop genetics that allow for simultaneous multiple herbicides use without limiting crop growth. This is a short-term solution to resistance (i.e., seasonal weed treatment), but in the long-term the problem is reinforced due to weed seed bank accumulation and rising production costs (e.g., genetically enhanced seeds and fertilizer as well as costs of alternative treatment methods) that erode farm profit potential. The stress to farmers, from both production and economic perspectives, has escalated, incentivizing still greater efforts to curtail problematic weeds. This has resulted in greater on-farm chemical use over large geographic areas, further reinforcing the effects on production, profitability, farmer stress, and disruption of managed ecosystem services within agroecosystems.”(Figure 3)
Figure 3. Conceptual causal loop diagram of the dynamic hypothesis (DH). Variables are connected via causal links to form feedback loops. Links with an ‘S’ sign on the arrowhead indicate same or positive polarity (the variable at the tail pushes the variable at the head in the same direction), while an ‘O‘ sign indicates opposite or negative polarity (the variable at the tail pushes the variable at the head in the opposite direction). Feedback loops are labeled ‘R’ for positive or reinforcing feedback, while those labeled ‘B’ indicate negative or balancing feedback. For example, when crop harvest increases, so does crop revenues; when farm profit increases, pressure on the farmer decreases.
2.2. Model Development and Evaluation
2.2.1. Model Structure Overview
The model includes six primary stock variables: crop biomass, weed biomass, weed seed in the seed bank, retained farm earnings, herbicide in the agroecosystem, and effective kill rate of herbicide applied. These stocks are interconnected through various flows and information links for herbicide applications, runoff, and degradation; weed kill, crop growth, harvest, revenues, and expenses; and finally, decision thresholds needed to change herbicide treatments. Together, these form the five core feedback loops that constitute the dynamic hypothesis: herbicide use reduces immediate weed pressure (B), chemical switching resets effective kill rates (B), technology treadmill reinforces economic pressure (R), delayed resistance reinforces elevated weed pressure (R), and weed selection pressure stimulated by herbicide use (R) (Figure 3). The model was formulated in thebVensimTM modeling environment (Ventana Systems, Harvard, MA, USA) using a time unit of 1 month, time step of 0.25 month, and baseline simulation horizon of 720 months (or 50 years). The following subsections provide descriptions of each sector of the model (including model equation documentation in Table 2, Table 3, Table 4 and Table 5; Appendix A provides a conceptual stock-flow diagram of the model).
Table 2.
Summary of equations in the crop biomass and farm economics model component *.
Table 3.
Summary of equations in the agroecosystem model component *.
Table 4.
Summary of equations in the weed biomass and seed bank dynamics model component *.
Table 5.
Summary of equations in the herbicide decision-making model component *.
2.2.2. Crop Biomass and Farm Economics
The crop biomass stock is a function of crop growth, crop losses, and crop harvest. Crop growth begins at the onset of the growing season when seeds are planted (planting month). Crop growth continues as a function of precipitation (here we use normalized precipitation where long-term mean precipitation equals one) and the crop growth index factor (a nonlinear negative exponential function, i.e., the greater the biomass level, the slower the growth rate). Crop harvest and losses are captured at the harvest month. If no weed biomass is present, then the crop harvest is equal to the level of the crop biomass stock. However, if weed biomass is present, then this negates crop harvest via compromised volume and quality (captured in the crop harvest outflow, see equation in Table 2).
Crop harvest provides the basis for crop revenues (i.e., crop harvest × crop price; crop price being a constant), while crop expenses are captured via total herbicide costs and all other production expenses (assumed to be $243 per hectare per year, or $600 per acre). Total herbicide costs are a function of herbicide applications, described below, and herbicide application cost. Herbicide application cost was assumed to be begin at $3.1 per kg of active ingredient applied, growing at ≈5.0% per year (cost per active ingredient rather than cost per unit area was used in order to better calibrate the model against observed data [33]). The accumulated net difference between annual crop revenues and crop expenses is held in long-run farm earnings stock (Table 2).
2.2.3. Herbicide in the Agroecosystem
Herbicide application decisions are in part motivated by pressure on the farmer to maintain long-run farm earnings. To account for changes in herbicide decisions, application rates are altered using a nonlinear table function, such that if the annual percentage change in long-run farm earnings is negative (i.e., long-run farm earningst < long-run farm earningst−12), then pressure to respond is escalated and is manifested in the number of herbicide treatments per year, up to a maximum of four applications. However, if the annual percentage change in long-run farm earnings is greater than 10%, then it is assumed that sensitivity to crop-production challenges is minimal and therefore pressure on the farmer to manipulate herbicide treatment is reduced to a value of one (i.e., one herbicide application per year; Appendix B).
The field application rate of herbicide is the inflow to the level of herbicide in the agroecosystem and is a function of mean herbicide potency, mean application rate, application month, and pressure on the farmer (described above). Mean herbicide potency captures the increase in potency over time due to chemical and seed improvements (the base case assumes an increase of 50% since 1970; per [36,37]). Mean application rate begins at 0.4536 kg per unit area per application, matching historically observed rates [14]. Application month occurs one month after planting. Herbicide in the agroecosystem is lost due to runoff and leakage (assumed to be negligible at 5% per month) and chemical degradation assuming a half-life of 3 months (means reported in Anderson [37]; Table 3). Herbicide in the agroecosystem drives the weed death or kill rate through plant contact and uptake (described in next section).
2.2.4. Weed Biomass and Seed Bank Dynamics
The weed biomass stock is a function of weed growth and the associated death or kill rate driven by herbicide contact with and uptake by plants. Weed growth begins with the emergence of weed seed from the soil seed bank (assuming to occur in line with the growing season with a mean germination rate of 20% and mean residency time of 5 years) and uses a similar negative sloping growth curve as that used for crop biomass (i.e., the larger the weed biomass stock, the slower the growth rate). The death or kill rate is a function of weed biomass, herbicide contact rate (a nonlinear positively sloping exponential, i.e., the greater the herbicide level in the system the greater the contact rate, up to a maximum of 100%), and effective kill rate (initial value of 90%, which assumes a combination of variable application effectiveness and inherent weed resistance subject to the species, specific active chemical, and mode of action). When harvest occurs, we assume any volume in the weed biomass stock negates crop production and therefore revenues, otherwise the bio-economic feedback is disconnected and therefore does not express itself (described above in Section 2.2.2; Table 2).
It was assumed that any weeds remaining prior to harvest will produce seed. Using the mean weed seed production reported in Anderson [37], we assumed 7257 seeds per kg of weed biomass. Seeds initially enter the seed bank stock as weed seed without resistance. Over time, as surviving weeds pass on inherited resistance traits, seeds entering the seed bank are partitioned into a stock of weed seed with resistance. The fraction of weed seed with resistance in the seed bank (i.e., weed seed with resistance divided by the total weed seed in the seed bank) drives subsequent weed seed emergence, enabling subsequent weed biomass growth as well as eroding the effective kill rate of herbicide in the system (Table 4).
2.2.5. Herbicide Decision Making and Its Interaction with Biophysical Feedback
To properly capture the core decision-making element of our dynamic hypothesis, the model needed to account for “switching” chemical treatments in response to increased observations of weed-herbicide resistance. The model includes this via a common framework used in system dynamics to estimate a decision-maker’s forecasted or anticipated value of a parameter of interest [33]. Such a structure accounts for the time needed to observe changes in the present condition (in this case, herbicide resistance in weeds) to update their perceived present condition. Updates to one’s perceived present condition are then compared to a longer-term reference condition to estimate a projected trend in the variable’s behavior over time. This trend is often dampened given the time needed to mentally assess and update one’s mental model of the behavior over time as well as by the weight (or anchor, α) given to previous observations (i.e., the greater the weight α, the less responsive the perceived trend is to changes in current conditions).
For our purposes, the decision-maker must decide whether or not to “switch” chemical treatments as effective kill rates decline resulting from increased herbicide resistance. Here, the decision-making component estimates a projected trend in the fraction of weed seed bank with resistance to update the manager’s expected kill rate for subsequent herbicide applications. To determine whether a “switch” is needed, the effective kill rate (what is actually achieved) is compared to the projected trend in the fraction of weed seed with resistance. If the effective kill rate drops below this threshold, then a chemical “switch” is made, resetting the effective kill back to its initial value (assuming alternative chemical types and modes of action are available with lower inherent resistance having been developed in the soil seed bank).
By including the decision-making elements in this way, we have expanded the model boundary to include both biophysical feedback (i.e., crop, weed, and herbicide stocks and their associated flows and links) and decision-making feedback, which is less often captured in the herbicide-resistance-management literature, all in an endogenous way—weeds influence crops, crops drive economics, economics drive applications, applications influence weeds, resistance erodes chemical effectiveness and therefore crop system performance, managers “switch” chemicals to offset accumulated resistance (Table 5).
2.2.6. Model Evaluation and Assessment
Prior to any experimental simulations, we assessed the model’s structure and behavior patterns to observed patterns over time and the purposes of the model. Confidence was generated via a variety of tests: boundary adequacy, structure verification, parameter verification, dimensional consistency, and extreme conditions. In addition, assessment of the overall accuracy and precision of model performance relative to observed data (i.e., behavior reproduction test) was used to build confidence in the model (see Appendix C for technical details of model evaluation and assessment).
2.3. Design of Simulation Experiments
To explore the trade-offs between herbicide-management strategies and the possible emergent dynamics they create, we employed a series of simulation experiments designed to make the link between the problem structure and its behavior more transparent. The results, therefore, intended to capture the impacts of alternative management strategies and aid in developing insights regarding the counterintuitive and dynamic effects of well-intentioned weed-control efforts.
The baseline (control) simulation was the status quo management situation, characterized by herbicide “switching” after the effective kill rate falls below the forecasted weed-resistance threshold and a cropping system based on one crop per growing season (Table 6 provides an overview of the control simulation relative to simulation experiments described below).
Table 6.
Summary of simulation experiments **.
The management tests were segmented into three broad strategic categories: agronomic, mechanical, and integrated. Agronomic tests captured changes in the inputs or processes of the crop-production system and included tests for pre-emergent herbicide application, increasing weed interference via crop competition via conservation agriculture practices (e.g., reducing row spacing, use of cover or smother crops, and mulching or high-crop-residue management [38]), diversification, and rotation of mode of action treatments in herbicide applications. Mechanical tests captured changes to harvest or post-harvest activities that physically remove or destroy weed plants or seeds. Mechanical tests included use of a seed crusher during harvest to crack or destroy seeds, combine cleaning to reduce or eliminate weed seed immigration from neighboring fields, and mowing (reduction in biomass to stunt seed emergence) or burning (reduction in biomass as well as killing seeds at the soil surface). Other management tests captured changes in education and awareness (education test) as well as enhanced management creativity and skill capable of employing a simultaneous barrage of mitigation tactics described above (sometime called the “many little hammers” strategy [39,40]). The educational test captured the potential time savings in decision-making processes stemming from improved identification (i.e., reducing time to recognize the problem) and implementation delays (i.e., reduced time for changes to work). The integrated tests captured a combination of agronomic (pre-emergent herbicide and weed-crop interference), mechanical (seed crusher), and educational tests (reduced decision delays). In all tests, it was assumed that production costs would increase with the number of practices employed. This was incorporated by increasing the y-intercept of the non-herbicide production cost function $1 per practice per unit area per year, which was equivalent to ≈$50 per practice per unit area increase by the end of the treatment period (described below).
Each management experiment above was simulated via sensitivity analysis under varying environmental conditions for 25 years beginning after the 50-year calibration period. The sensitivity analysis varied critical input parameters to observe the range of possible values and behavior patterns expressed by response variables. Input parameters included (with the low and high endpoints of their distribution): weed seed per unit of biomass [45,359 to 1,360,777 per kg biomass], mean seed bank dormancy time [30 to 120 months], mean germination rate [0.10 to 0.99], chemical half-life [0.5 to 3 months], normalized precipitation forcing [0.9, 1.1], and maximum number of chemical switches by management [10 to 50]. These sensitivity input values were chosen to capture the inherent reproductive variability of different weed species in different climates and ecosystems and were applied to all simulation experiments captured above (Table 6). One thousand simulation runs for each test were performed. Significant differences in ending-state conditions of response variables were determined using two sample t-tests, while behavior-over-time plots were visually examined to identify any behavioral sensitivities (i.e., where the time-path evolution of the variable departed from the control treatment behavior). Treatments were then ranked based on their probability of successfully minimizing weed herbicide resistance, considering both ecological (weed pressure) and economic (costs and profitability) considerations.
3. Results
3.1. Agronomic Treatment Tests
Agronomic treatment tests included pre-emergent, crop competition, and mode of action rotation tests. Each test represented a hypothesized leverage point via structural changes at the field- or farm-scale level. The purpose of these tests was to evaluate the response of system characteristics, primarily the fraction of weed seed with resistance, mean farm earnings, and number of chemical switches (indicator variables), to alternative agronomic management. Altered behavior patterns resulting from the agronomic tests (Figure 4) did not strongly differ behaviorally from the control but did lead to several significant differences (Table 7), which are described below. [Note: For all simulations, months 0 through 600 were included as the model calibration and evaluation period and are illustrated in the resulting graphs for clarity and context. After month 600, model adjustments according to management tests were employed].
Figure 4.
Agronomic test results, illustrating fraction of weed seed bank with resistance (a,d,g), mean farm earnings (b,e,h), and total number of switches (c,f,i) (+/−1 standard deviation) in chemical herbicide treatment under pre-emergence (a–c), crop competition, (d–f), and chemical herbicide diversification (g–i) strategies.
Table 7.
Summary of critical agroecosystem metrics responses to simulated treatments (n = 500) with our suggested ranking of effectiveness. *** represent significant difference from the control (standard base case without model intervention) at 0.01 level.
Pre-emergent herbicide treatments effectively stalled weed population dynamics via reduced outflow from the seed bank (i.e., reduced germination), resulting in less variability in weed seed dynamics due to less seed bank turnover (Figure 4a). Consequently, crop yield reductions were minimized compared to the control, leading to significantly higher average farm earnings (Figure 4b). However, because pre-emergence treatment stalled weed population dynamics, the fraction of weed seed with resistance remained significantly higher relative to the control case, which, due to variation in the control treatment parameters, was allowed to regress to 40% of the total seed bank (Figure 4a). This elevated resistance fraction did not change the likelihood of resistant weed emergence but triggered additional chemical switching due to persistent weed pressures (Figure 4c).
Crop competition treatments had little to no effect on the fraction of weed seed with resistance (Figure 4d), given no chemical or physical disturbance was made to disrupt weed seed dynamics. Chemical herbicides controlled the weeds in season (similar to the control), thus reducing the crop–weed competition for resources, improving crop yields and significantly increasing mean farm earnings (Figure 4e). Without altering seed bank dynamics, switching herbicides to keep up with weed-resistance pressure continued at a significantly accelerated rate (Table 7; Figure 4f).
In chemical diversification tests, treatment simulations had no effect on the fraction of weed seed with resistance (Table 7; Figure 4g). However, as with previous tests, chemical controls that reduced weed seed germination and biomass resulted in less crop losses and therefore improved earnings (Figure 4h). Notably, the frequency of herbicide switches by management was practically halted compared to the control (mean of 6.12 versus 8 total switches; Table 7, Figure 4i). This was due to the altered application decision rule under the herbicide rotation test, where rotations were made proactively rather than in response to perceived weed resistance (which takes a substantial amount of time given delays in the decision-making structures of managers). This approach “short-circuited” the lagged switching induced by management response to weed pressure.
3.2. Mechanical Treatment Tests
Mechanical treatment tests included seed crushing, combine cleaning, and burning and chaff removal treatment, each of which was designed to mimic real-world physical removal and seed kill strategies (Table 6). Altered behavior patterns resulting from the mechanical tests did not differ strongly behaviorally from the control and no significant differences were observed (Table 7; Figure 5).
Figure 5.
Mechanical test results, illustrating the mean fraction of weed seed with resistance, (a,d,g), mean farm earnings (b,e,h), and total number of switches (c,f,i) (+/−1 standard deviation) due to weed management via seed crusher (a–c), combine cleaning (d–f), and mowing, burning, and chaff removal (g–i) strategies.
In seed-crusher test simulations, minor differences in the behavior patterns of system characteristics were observed (Figure 5c) but were not significant for the three indicator variables (“Fraction remaining with resistance”, “Mean farm earnings ($/unit area)”, “Number of chemical switches”) (Table 7). This was due to the dynamics of the weed seed bank cycle not being disrupted enough to alter the fraction of weed seed with resistance (Figure 5a). As a result, mean farm earnings were not altered (Figure 5b) as there was no change in the weed-biomass-driven crop losses. The variability in seed crusher success (Table 6) allowed some weeds to still “go to seed”, reinforcing the resistant weed seed bank and leading management to continued herbicide switching (Figure 5c).
In the combine-cleaning test simulations, no significant differences were observed between treatment and control for the three indicator variables (Figure 5d–f; Table 7). Although, some weed population control was achieved via reducing inflows to the weed seed bank (Figure 5d), it was not enough to significantly reduce the crop losses to create behaviorally better outcomes in mean farm earnings (Figure 5e). Assuming that the combine-cleaning process was not 100% efficient, some weed biomass still managed immigrate/emigrate via combine transportation, allowing the weed seed cycle to continue. The net result was that the perceived weed seed with resistance remained similar to the control case, necessitating the same rate of chemical switching (Figure 5f).
Mowing, burning, and chaff removal had no significant impact on the system characteristics under study (Table 7; Figure 5g–i). While these methods reduced some variability in the fraction of weed seed with resistance (Figure 5g), they did not significantly reduce crop losses or improve mean farm earnings (Figure 5h). Some weed biomass still managed to produce seeds, so the weed seed cycle was not significantly disrupted, and the perceived weed seed with resistance remained high enough to continue chemical switching (Figure 5i).
3.3. Intensive Management Tests
The purpose of the intensive management tests was to simulate the response in system characteristics given improvements in managerial perception and decision making (reduced delays via education) and when improved decision making is coupled to managers’ willingness to adopt diversified conservation agricultural practices (i.e., “many little hammers”).
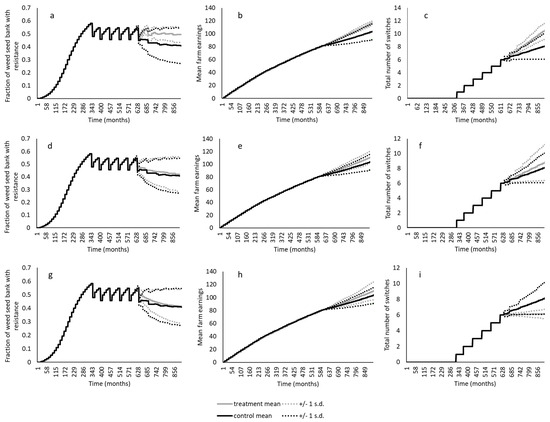
3.3.1. Educational Test
In the educational test, reducing perception and decision-making delays did not significantly improve outcomes in response indicator variables (Figure 6a–c, Table 7). The fraction of weed seed with resistance remained similar to control since no new physical interventions were made to disrupt the weed seed and growth cycle (Figure 6a). As a result, mean farm earnings were not altered (Figure 6b). Minimizing delays in the response function only resulted in speeding up (marginally) the chemical switching behavior (Figure 6c).
Figure 6.
Educational and integrated test results, illustrating the mean fraction of weed seed with resistance (a,d), mean farm earnings (b,e), and total number of switches (c,f) (+/−1 standard deviation) under conditions of reduced management perception and decision-making delays (a–c) and the integrated “many little hammers” test comprising five unique treatment combinations used simultaneously over time (d–f).
3.3.2. Combination “Many Little Hammers” Test
Under the “many little hammers” treatment, significant differences were observed in all system characteristics under study (Figure 6d–f, Table 7). When integrated, the “hammers” were the most effective in controlling weed seed with resistance (Figure 6d), reducing the variability of weed-resistance expression by approximately 50% (Table 7). Greater control translated into a significant reduction in crop losses and therefore greater mean farm earnings (both behaviorally and statistically) than the individual treatments alone (Figure 6e). However, because variability in weed dynamics was effectively stalled, opportunities to observe changes in seed bank conditions were reduced. In other words, when the interventions were working there were fewer opportunities to learn from possible shifts in seed bank dominance, leading to continued chemical switching (Figure 6f).
4. Discussion
Farmer: “In our garden we have a weed called purslane (Portulaca oleracea). We don’t let it go to seed, ever, and keep the weeds out always… how do you get rid of it? They keep coming, for years…”
Consultant: “I feel your pain out in the crops, too. I don’t feel like we’ve been letting any weeds go to seed, yet every year they keep coming back. I don’t know, weeds are just tough, that’s just kind of the way Mother Nature works. I wish there were some answer, but we don’t have anything for permanent control, other than just ‘keep at it’, I don’t know what else to tell you.”(quoted from [41])
Ecological succession, including in agroecosystems, is a powerful force not easily bent to the goals of producers and weeds, evidence of nature’s continued march to achieve succession [42]. Typical efforts to establish and maintain modern agricultural systems, often characterized by large farm sizes, specializing in only a few crop species throughout the growing season and accompanied by a high percentages of bare ground, rely on management practices such as conventional tillage, mowing, herbicide use [43], and fertilization, particularly nitrogen [44]. In doing so, many agroecosystems are ideal environments from which weeds attempt to gain a foothold on the first stage of succession.
Maintaining agroecosystems in a state of low diversity comes at very high explicit economic and ecological costs. Economically, these include annual costs of weed control as well as “sunk” and opportunity costs (i.e., paying for annual herbicide treatment comes at the opportunity cost of not pursuing alternative management strategies; money “sunk” into annual weed control is no longer available for investments in other parts of the system [42]). Ecologically, ecosystem services bundles have tended to prioritize provisioning services while minimizing regulating or supporting service considerations. For example, due to the adoption rate and use of herbicides by the agricultural sector coupled with the co-evolutionary developments in crop genetics, herbicides have facilitated near continuous year-to-year growth in crop yield productivity since the 1950s [45] despite the rapidly increasing number of weed-resistance cases [5]. Unfortunately, such prioritization can have cascading impacts on nutrient and hydrological cycles as well as biodiversity levels which are often associated with cultural ecosystem services (e.g., recreation) [5,45]. As the global number of herbicide-resistance cases continues to increase, it will be more difficult for the growers to manage weed problems with herbicide, posing a mounting economic and ecological threat.
To gain insight into ecological and socio-economic structures driving weed herbicide resistance, we developed a dynamic model using a systems dynamics methodology. The model was constructed linking various cropping systems, farm financials, and decision- making relationships to test alternative management approaches and trade-offs. Model confidence was established when it could reproduce a variety of behavior patterns over time occurring in observed data from different system perspectives. After confidence was established, a variety of simulation experiments were used to examine the response in the fraction of weed seed with resistance to a variety of management strategies under a wide range of environmental conditions.
In all three agronomic tests, mean farm income improved significantly when the number of chemical switches increased, but for different reasons. Pre-emergent application stalled weed population dynamics via fatal germination, resulting in less crop harvest losses and therefore greater yield and earnings. With slower additions to the weed seed bank, the projected (perceived) fraction of weed seed with resistance was elevated (i.e., it was harder to update managerial expectations when opportunities for observations and learning were limited due to reduced germination), which contributed to significantly more chemical switching.
On the other hand, crop competition removed some of the natural variability in weed population dynamics, via reduced weed biomass growth during the growing season, given greater resource competition, but not nearly as much variability as the pre-emergence treatment. Likewise, mean farm earnings were improved but not as significantly as with the use of pre-emergent treatment, given less disruption to crop losses under crop competition. But because weed-resource acquisition was slowed via greater crop interference, the projected weed seed with resistance better matched actual resistance levels, thereby inducing fewer chemical switches. Furthermore, chemical diversification reduced the variability in weed population dynamics through increased kill rates on the weed biomass stock which improved crop yields and farm earnings. Because the chemical diversification strategy was pre-emptive rather than reactive, decision-making responses driving chemical “switches” responding to the fraction of weed seed with resistance were “short-circuited”, leading to fewer reactive switches.
Unfortunately, the level of control achieved by the mechanical strategies was not enough to significantly reduce crop harvest losses or create behaviorally better outcomes in mean farm earnings, chemical switching, or fraction of weed seed with resistance. Because seed crushing, combine cleaning, and burning still allowed weed biomass to “go to seed”, the emergent property of “switching” herbicides based on management observations and perceptions of resistance was basically unchanged, given that the weed seed cycle was not significantly disrupted enough to lead to reductions in weed growth and therefore perceived levels of weed herbicide resistance needed to alter chemical “switching” behavior.
Unlike the agronomic and mechanical treatments, the intensive management tests incorporated changes to manager mental models that would eliminate perception and decision-making delays. In the first treatment, solely reducing delays in the decision-making component did not disrupt weed biomass and seed bank dynamics enough to alter behavior patterns in weed seed bank or farm earnings. Because simply minimizing the delays in the weed-resistance response functions did not alter the volumes of flows (germination, kill rate, weed seed production) into or out of the accumulated stocks (weed biomass and seed bank), only the timing. With no physical intervention being made, the result was simply to speed up the original herbicide application decision.
The most dynamic experiment tested was the intensive management scenario representing “many little hammers” [39], which combined pre-emergent applications, crop competition, seed crushing, combine cleaning, and education to reduce perception and decision-making delays. In this case, most of the variability arising from environmental and agroecosystem characteristics was reduced, meaning that the interaction effects between each factor, when coupled together, had more impact than each of the independent treatments alone. Despite the added annual costs (≈20%), the increase in farm earnings was both statistically and behaviorally significant compared to the control case. This was due to crop losses being essentially removed due to the disruption of weed biomass and seed dynamics at both inflows (weed growth, seed production) and outflows (weed kill, germination), benefits which compounded over multiple years. Interestingly, because of how well the variability in weed population dynamics was controlled, opportunities to observe changes in weed seed resistance were masked, meaning managers were unable to take advantage of variability in natural conditions that might have led to favorable reductions in weed biomass. The net result was that the fraction of weed seed with resistance became “anchored” to the level of resistance at the time in which “many little hammers” strategies were implemented. Coupled together, producers continued to rely on herbicide “switches” when breakthrough weed problems occurred (once every 4.17 years on average; Figure 6f). Sensitivity input values were chosen to capture the inherent reproductive variability of different weed species in different climates and ecosystems and were applied to all simulation experiments captured above (Table 6).
The study’s results underscore the complexity of managing herbicide resistance in agroecosystems. Model evaluations confirmed the system’s validity, with various tests aligning with expected behaviors and expert verifications. Agronomic treatments like pre-emergent herbicides and crop competition strategies showed some benefits in controlling weeds and improving farm earnings but did not significantly reduce the fraction of resistant weed seeds. Chemical diversification was effective in reducing the need for herbicide switching. Mechanical treatments, however, had limited impact on resistance dynamics and farm earnings. Overall, the findings highlight the need for integrated management strategies that consider both immediate and long-term effects on weed resistance and farm profitability. The study emphasizes the importance of proactive and diversified approaches to sustainably manage herbicide resistance.
4.1. Synthesis: Shifting the Burden of Weed Management and Its Implications for Ecosystem Services Bundles
Weed proliferation remains one of the major ecological problems worldwide. Herbicides have been used to mitigate weed presence and the impact on agroecosystem performance as well as to facilitate successional change and habitat restoration. Due to their affordability and ease of use relative to physical-removal methods, herbicide applications became a primary tool in ecosystem managers’ standard operating procedures, especially in developed countries [5,40]. By doing so, managers reinforce a short-term “fix” (herbicide treatment) that removes weed pressure (top left balancing loop Figure 7). Unfortunately, continued herbicide use has contributed to natural selection pressures that reward resistant weed varieties [20]. Over time, the fraction of weed seed expressing resistant traits has increased, leading to larger populations of individuals resistant to herbicides, reinforcing the weed pressure in the long-term (a phenomenon called a “fix that backfires”; top right reinforcing loop in Figure 7).
Figure 7.
Synthesis of forces influencing weed pressure on farmers and the subsequent seed bank accumulation. Links with an “S” sign on the arrowhead indicate same or positive polarity (the variable at the tail pushes the variable at the head in the same direction) while an “O “sign indicates opposite or negative polarity (the variable at the tail pushes the variable at the head in the opposite direction). Feedback loops are labeled “R” for positive or reinforcing feedback, while those labeled “B” indicate negative or balancing feedback. For example, when weed pressure increases, so will herbicide treatments (the short-term “fix”), which in turn will reduce the subsequent weed pressure, but will increase selection pressure for resistant weed varieties, the fraction of weed seed expressing resistant traits, and the weed population resistant to herbicides (which is a case of a “fix that backfires”). A longer-term solution, interference in resource capture and reproducibility of weeds, becomes harder and harder to implement as the weed population resistant to herbicides drives up the percent soil cover and frequency of weed presence. This “shifts the burden” of management back to the short-term reliance on herbicide treatment in an attempt to curtail weed pressure, reinforcing the unintended side effects to weed resistance.
Our results are consistent with knowledge of commonly understood ecological processes but also point to still deeper longer-term ecologic and economic issues than simply reinforcing weed pressure. Our results indicated that there are multiple pathways to improved economic and ecologic outcomes. For example, the crop competition test was meant to mimic alternative crop-management practices capable of interfering with resource acquisition by weeds but that many conventional operators have not adopted into their production systems [46]. These practices, such as reducing row spacing to accommodate diverse crop rotations and cover crops, as well as mulching (i.e., leaving high levels of crop litter cover year-round), led to the greatest economic gains with the fewest number of chemical herbicide switches (Figure 4; Table 7). Crop competition that interferes with weed-resource capture and reproduction therefore represents a longer-term mechanism to offset problematic weed pressures (bottom left balancing loop in Figure 7).
Importantly, our results indicated that the adoption of crop competition strategies is not likely to be accelerated due to the unintended consequences of relying on herbicide treatment. As was shown in the pre-emergent, pre-emptive mode of action rotation, and the integrated “many little hammers” treatments, the fraction of weed seed expressing resistance remained at the level when each experiment began, despite the wide array of environmental conditions expressed in each treatment (described in Section 2.3) which allowed for natural regression in seed bank resistance (Table 7). Because herbicides effectively negated immediate weed pressure but at the cost of longer-term accumulated resistance, breakthrough years of excessive weed presence occurred more frequently. From an ecological perspective, this makes it more difficult for producers to adopt crop competition strategies (bottom right reinforcing loop in Figure 7). Due to the difficulty establishing effective crop competition practices in the face of more frequent and pervasive weeds, the longer-term behavioral response by management has been to prioritize short-term chemical treatment that over time erodes the effectiveness of crop competition via the unintended reinforcing of the feedback just described. This phenomenon, known as “shifting the burden”, pushes producers away from the difficult to achieve, but more sustainable, long-term intervention towards the easier, time saving, but less sustainable, short-term “fix” (Figure 7).
Although the model shown here was developed using the best available data from the United Sates and captures processes at work in most developed industrial agricultural sectors, the implications it describes are transferrable to producers in developing countries. For example, in developing countries, both the use of labor for mechanical removal of weeds and herbicide applications are prominent solutions to existing weed problems. As countries develop and opportunity costs of labor rise, mechanical removal through labor becomes more expensive. Coupled with the lack of alternative chemistries that are safer for crops and the environment, current regulations on chemical use, and subsidies for fertilizers and seeds, smallholder farmers are incentivized to switch between chemicals to achieve immediate weed reductions rather than adopt biological approaches (e.g., conservation agricultural practices) that take more time and energy and may not provide immediate economical outputs.
Once smallholder farmers and input suppliers observe rising weed resistance, it will disproportionally impact the way people use herbicides and the subsequent rate of weed-herbicide-resistance development. This is because herbicide applications will tend to reflect smallholder diversity, reinforcing an array of selection pressures on extant weed species. Although the diversity of herbicide use will initially curtail the weed problems, in the long-term, multiple selection pressures will accelerate weed herbicide resistance in timescales much shorter than currently observed trends in developed countries.
Developed countries have the opportunity to shift the economic and policy preferences towards the practices that stand a greater chance of hedging against long-term resistance (e.g., incentivizing an array of practices). Meanwhile, agricultural sectors in developing countries, where taking advantage of economies of scale will be limited due to the size of smallholder holdings, may lack economic and political incentives to change practices whose perceived outcomes will reduce rather than increase total production. In these cases, policymakers encourage producers to concentrate on short-term productivity goals, which is likely to aggravate the problem in the long run. Extension educators and NGOs working in developing-nation contexts should therefore “double down” on scientific and management support for those smallholder groups most interested in long-term improvements to agroecosystems.
4.2. Model Strengths, Limitations, and Future Directions
The main contribution of the model is how well it captured the contributing processes and factors that interact dynamically to influence weed seed bank patterns over time and the resulting feedback pressures to the agroecosystem. This was achieved through the integration of crop production, returns, and costs; herbicide application rates and timing; weed biomass growth and reproduction through the weed seed bank; and farm-level managerial perception and decision-making delays that to date have not been coupled in a similar fashion. There are however several limitations. First, the model itself was conceptualized at a low resolution with respect to its individual agronomic, economic, weed ecology, or decision-making components. Because of this, we relied on a variety of highly aggregated public data sources. The model captured the overall dynamics of the problem well but may not replicate specific dynamic behavior patterns of individual resistant weed species cases. Where extremely high-resolution data exist, alternative modeling approaches that focus on chemical pathways, weed reproduction, and genetic inheritance at cellular- to individual-plant levels are likely more attractive models, depending on the question at hand. Additionally, our model boundaries remained quite simplified with respect to climate and soil properties (such as seasonal precipitation and temperatures; soil texture and CEC) that interact with, or drive, weed population dynamics. To compensate for this, we aimed to capture the effects of variability in such factors in our overall experimental design (Table 6). Future extensions of this model will require expansion of the model boundaries to include additional agronomic, ecologic, and soil features described above, such that the model may be replicated for specific resistant weed cases in specific agroecosystems.
5. Conclusions
Effective management of weed populations requires knowledge and understanding of the complex dynamics that arise between weed species and cultivated crops, chemistry of herbicides and their modes of action, and farm-level economics and decision making. The system dynamics model presented here, capturing the feedback relationships among these elements, demonstrated that the economic risks of weed herbicide resistance can be mitigated through a variety of practices such as pre-emergent herbicide, rotating herbicide applications to diversify modes of action, increasing interference via crop competition (e.g., conservation agriculture practices), or combinations of these coupled with physical-removal practices such as seed crushing and combine cleaning. Most importantly, results indicated that continued chemical herbicide use not only reinforces weed herbicide resistance, but it makes implementation of other strategies, primarily crop competition, much more difficult. This shifts the burden of weed management to total reliance on chemical applications in developed countries or increasing reliance in developing ones.
Extending mathematical agroecosystems models, such as this one, to examine emergent ecological and socio-economic problems can lead to deeper insights for improved policy and management before problems advance beyond the “point of no return”.
Although promising, the use of herbicides to control weed populations is a short-term solution that reinforces the problem of herbicide resistance with considerable side effects on the farm profitability and sustainability. Understanding the complex dynamics of herbicide resistance coupled with a combination of various complimenting management strategies would be a more reliable long-term solution to the weed problem.
Author Contributions
Conceptualization, S.K., C.F.-L., I.L., B.K., and B.L.T.; methodology, S.K., C.F.-L., I.L., B.K., J.C.R., L.M., and B.L.T.; data curation, I.L., B.K., J.C.R., L.M., and B.L.T.; writing—original draft preparation, S.K.; writing—review and editing, C.F.-L., I.L., B.K., J.C.R., L.M., and B.L.T.; visualization, S.K., C.F.-L., I.L., B.K., J.C.R., L.M., and B.L.T.; project administration, B.L.T.; funding acquisition, B.L.T. All authors have read and agreed to the published version of the manuscript.
Funding
This work was partially supported by United States Department of Agriculture’s Higher Education Challenge Grant No. 2018-70003-27664 for “Curriculum Development for Wicked Problem Solving”, United States Department of Agriculture’s Research and Extension Experiences for Undergraduates Grant No. 2020-67037-30652, and the National Science Foundation’s Center for Research Excellence in Science and Technology (CREST) Award No. 1914745.
Data Availability Statement
Data are contained within the article.
Acknowledgments
We want to thank Guadalupe Rodriguez and Erik Garza (former Texas A&M University-Kingsville students, now both USDA-NRCS) for their effort and assistance during the conceptualization phase of the project. The first author wish-es to dedicate this effort to all people fighting COVID-19 and especially those family members who lost their lives to it during the pandemic.
Conflicts of Interest
The authors declare no conflicts of interest.
Appendix A
The SD process follows the scientific method. First, problems are articulated and then described in a dynamic hypothesis1. The dynamic hypothesis aims to capture the endog-enous feedback nature of the problem and forms the basis for model experimentation. Those unfamiliar with system dynamics methodology often misinterpret a dynamic hy-pothesis as an experimental hypothesis that is variable or is allowed to change during the course of the experiment. On the contrary, dynamic hypotheses are working theories about how the problem under investigation arose, described in terms of its dynamic feedback structure [33,35]. Simulation experiments derived from this hypothesis are conducted to test and potentially disprove the initial assumptions of the system’s behavior, akin to hypothesis testing in other scientific disciplines. Then the model is developed and evaluated to generate confidence in the model’s structure (Figure A1) and behavior. If the model passes the evaluation stage, then the model is used for experimentation and hypothesis testing to gain management insights not easily identifiable by other means.
Figure A1.
Conceptual stock-flow diagram of the weed-herbicide-resistance model. The notations “R” represent positive or reinforcing feedback processes while “B” represents negative or balancing feedback processes.
Figure A1.
Conceptual stock-flow diagram of the weed-herbicide-resistance model. The notations “R” represent positive or reinforcing feedback processes while “B” represents negative or balancing feedback processes.

Appendix B
Although only one application may not be very realistic, neither is a 10% increase in retained earnings per year. The choice of one herbicide application at an extremely high rate of profitability was made to ensure that herbicide applications in the model are not discontinued but occur each year at least once, similar to conventional farm standard operating procedures.
Appendix C
In this case, the model’s highly aggregated farm-level boundary was prioritized to balance resolution with fidelity. That is, we aimed to construct as simple a model as possible that retained the capability of qualitatively reproducing key behavior patterns in the variables of interests. The objective was to create a minimal model that expresses similar dynamics observed in the real-world evolution of the problem to be useful for examining broad socio-economic and agricultural drivers contributing to weed herbicide resistance in general and improving their management.
The following tests were used to assess and evaluate the model:
- model boundary adequacy was tested via a form of loop knockout analysis to shrink the model boundary such that it excluded erosion of effective kill rate and the decision-making links that lead to chemical switching. If the resultant model behavior cannot capture those observed in the full model, confidence is generated that the boundary is properly scaled.
- structure verification was assessed via solicitation of expert scientists to review model structure and baseline behaviors. We considered this test passed upon any review by the external subject matter experts.
- parameter verification was assessed by review of literature such that important model parameters matched ranges of values reported from the field. We considered this test passed when model values aligned with those in the literature while also maintaining the expected behaviors over time.
- dimensional consistency was tested via Vensim’s internal “units check” function. Units were corrected until Vensim’s units check function was satisfied.
- extreme conditions were tested by varying three important parameter values to extreme values not likely to ever be observed in the real world: weed seed per unit of biomass (1 seed, from an initial value of 1,000,000), mean weed seed bank time (1 month, from an initial value of 120 months), and mean chemical half-life (300 months, from an initial value of 3 month). This test was considered passed if the simulation runs were not aborted due to unknown model errors and the behavior patterns were realistic given the above changes to extreme values not typically expected in the real world (i.e., although such values are not observed in the real world or are physically impossible, does the model behave appropriately in the case they were?).
- behavior reproduction was tested by qualitative comparison of observed behaviors over time in herbicide application rates, herbicide costs, farm profits, and percentage of seed bank with resistance to the model generated behaviors of each endogenous variable of the same name. This test was passed when real-world and model behavior pattern modes coincided (statistical tests provided less confidence here given the farm-scale resolution of the model and the aggregation level above on-farm scales for most publicly available data). Aggregate data sources used for calibration included USDA ERS estimates for farm profitability and herbicide costs [34], USDA ERS for herbicide application rate [14], and probabilistic estimation of the fraction of weed seed with resistance from Gunsolus [47] based on Maxwell et al. [24].
A summary of the assessment test results is provided (Table A1). Boundary adequacy was passed given the discrepancies in model behaviors when decision-making feedback loops were excluded from the model the resulting behavior patterns were not consistent with expected behavior patterns (Figure A2a,b). Structure verification was passed upon successful evaluation of multiple subject experts from agronomy, weed science, rangelands, and agricultural extension. Parameter verification was passed for critical variables (weed seed production, weed seed germination rate, weed biomass potential, seed bank residency time, and herbicide application rates and costs) given reported values in the literature were used (e.g., Anderson [37]; Fernandez-Cornejo et al. [14]; Gunsolus [47]; Livingston et al. [48]). Dimensional consistency was passed using Vensim’s built-in units check function. Extreme conditions were passed given the resulting model behaviors were feasible and reasonable given the extreme parameter changes in weed seed production (Figure A2c), seed bank time or chemical half-life (Figure A2d) and no model errors were encountered during the simulation. Finally, behavior reproduction tests were passed by comparison of farm profitability (Figure A3a), weed seed bank with resistance (Figure A3b), and herbicide application rates (Figure A3c) and costs (Figure A3d), each of which matched historical or model generated data from available data sources or previous studies [14,47,49].
Table A1.
Results of model adequacy testing. Summary of model assessment criteria and results.
Table A1.
Results of model adequacy testing. Summary of model assessment criteria and results.
| Test | Criteria | Assessment Method | Assessment Result |
|---|---|---|---|
| Boundary adequacy | Are critical concepts and structures relevant to the issue endogenous to the model? | Loop knockout analysis: removal of decision-making links for chemical “switching” and erosion of effective kill rate; constant effective kill rate of 90% | Passed: behavior of weed seed bank and farm profitability did not coincide with observed behavior modes (illustrated in Figure 4) |
| Structure verification | Is the model structure consistent with descriptive knowledge of the system? | Solicitation of feedback from field experts | Passed |
| Parameter verification | Are the parameters in the model consistent with numerical knowledge of the system? | Verification of parameter values against reported values in the literature | Passed for: weed seed production, weed seed germination rate, weed biomass potential, seed bank residency time, and herbicide application rates and costs |
| Dimensional consistency | Do equations in the model correspond to the dimensionality of the real world? | Automated units check | Passed |
| Extreme conditions | Does the model exhibit logical behavior when certain parameters are given extreme values? | Extreme parameter tests using: weed seed per unit of biomass = 1, from 1,000,000 weed seed bank time = 1 month, from 120 months chemical half-life = 300 months, from 3 months | Passed (illustrated in Figure 4) |
| Behavior reproduction | Does the model produce the same behavior patterns observed in the real world? | Comparison of behaviors in key model behaviors to those observed in the real world | Passed (illustrated in Figure 5) |
Figure A2.
Model adequacy test results: exclusion of feedback responsible for erosion of effective chemical effectiveness (i.e., chemical switching and reduction in kill rate with subsequent weed resistance) such that effectiveness remained static at its initial condition (90% effective; a,b); (c) extreme conditions tests for the weed seed per unit of biomass and its effect on yield losses; (d) extreme conditions test for reduction in mean weed seed bank time or reduction in chemical half-life and their effects on fraction of weed seed resistance.
Figure A2.
Model adequacy test results: exclusion of feedback responsible for erosion of effective chemical effectiveness (i.e., chemical switching and reduction in kill rate with subsequent weed resistance) such that effectiveness remained static at its initial condition (90% effective; a,b); (c) extreme conditions tests for the weed seed per unit of biomass and its effect on yield losses; (d) extreme conditions test for reduction in mean weed seed bank time or reduction in chemical half-life and their effects on fraction of weed seed resistance.

Figure A3.
Model calibration results illustrating (a) similar model predicted behavior patterns to observed trends in farm net returns per acre [37]; (b) fraction of weeds with resistance [40]; (c) mean pounds pesticide applied per unit area [15]; (d) herbicide cost per volume applied [37].
Figure A3.
Model calibration results illustrating (a) similar model predicted behavior patterns to observed trends in farm net returns per acre [37]; (b) fraction of weeds with resistance [40]; (c) mean pounds pesticide applied per unit area [15]; (d) herbicide cost per volume applied [37].

References
- Carson, R. Silent Spring; Houghton Mifflin: Boston, MA, USA, 1962. [Google Scholar]
- Burgos, N.R.; Tranel, P.J.; Streibig, J.C.; Davis, V.M.; Shaner, D.; Norsworthy, J.K.; Ritz, C. Review: Confirmation of Resistance to Herbicides and Evaluation of Resistance Levels. Weed Sci. 2013, 61, 4–20. [Google Scholar] [CrossRef]
- Renton, M.; Busi, R.; Neve, P.; Thornby, D.; Vila-Aiub, M. Herbicide Resistance Modelling: Past, Present and Future. Pest Manag. Sci. 2014, 70, 1394–1404. [Google Scholar] [CrossRef] [PubMed]
- Switzer, M.C. The Existence of 2,4-D Resistant Strains of Wild Carrot. In Proceedings of the Northeast Weed Science Control Conference, New York, NY, USA, 10–12 December 1957; Volume 11, pp. 315–318. [Google Scholar]
- Heap, I. The International Herbicide-Resistant Weed Database. Available online: www.weedscience.org (accessed on 15 February 2021).
- Délye, C.; Jasieniuk, M.; Le Corre, V. Deciphering the Evolution of Herbicide Resistance in Weeds. In Trends in Genetics; Elsevier Current Trends; Elsevier: Amsterdam, The Netherlands, 2013. [Google Scholar] [CrossRef]
- Beckie, H.J.; Hall, L.M. Genetically Modified Herbicide Resistant (GMHR) Crops a Two-Edged Sword? An Americas Perspective on Development and Effect on Weed Management. Crop Prot. 2014, 66, 40–45. [Google Scholar] [CrossRef]
- Moss, S.; Ulber, L.; den Hoed, I.A. Herbicide Resistance Risk Matrix. Crop Prot. 2019, 115, 13–19. [Google Scholar] [CrossRef]
- Holt, J.S.; Lebaron, H.M. Significance and Distribution of Herbicide Resistance. Weed Technol. 1990, 4, 141–149. [Google Scholar] [CrossRef]
- Shaner, D.L.; Beckie, H.J. The Future for Weed Control and Technology. Pest Manag. Sci. 2014, 70, 1329–1339. [Google Scholar] [CrossRef] [PubMed]
- Vogwill, T.; Lagator, M.; Colegrave, N.; Neve, P. The Experimental Evolution of Herbicide Resistance in Chlamydomonas Reinhardtii Results in a Positive Correlation between Fitness in the Presence and Absence of Herbicides. J. Evol. Biol. 2012, 25, 1955–1964. [Google Scholar] [CrossRef] [PubMed]
- Kim, G.; Clarke, C.R.; Larose, H.; Tran, H.T.; Haak, D.C.; Zhang, L.; Askew, S.; Barney, J.; Westwood, J.H. Herbicide Injury Induces DNA Methylome Alterations in Arabidopsis. PeerJ 2017, 5, 3560. [Google Scholar] [CrossRef]
- Ofosu, R.; Agyemang, E.D.; Márton, A.; Pásztor, G.; Taller, J.; Kazinczi, G. Herbicide Resistance: Managing Weeds in a Changing World. Agronomy 2023, 13, 1595. [Google Scholar] [CrossRef]
- Fernandez-Cornejo, J.; Nehring, R.; Osteen, C.; Wechsler, S.; Martin, A.; Vialou, A. Pesticide Use in U.S. Agriculture: 21 Selected Crops, 1960–2008. In Agricultural Pesticides: Usage Trends and Analysis of Data Sources; Nova Publisher: Hauppage, NY, USA, 2014; pp. 1–102. [Google Scholar] [CrossRef]
- Duke, S.O.; Powles, S.B. Glyphosate: A Once-in-a-Century Herbicide. Pest Manag. Sci. 2008, 64, 319–325. [Google Scholar] [CrossRef] [PubMed]
- Gressel, J. Addressing Real Weed Science Needs with Innovations. Weed Technol. 1992, 6, 509–525. [Google Scholar] [CrossRef]
- Jasieniuk, M.; Brûlé-Babel, A.L.; Morrison, I.N. The Evolution and Genetics of Herbicide Resistance in Weeds. Weed Sci. 1996, 44, 176–193. [Google Scholar] [CrossRef]
- Neve, P.; Vila-Aiub, M.; Roux, F. Evolutionary-Thinking in Agricultural Weed Management. New Phytol. 2009, 184, 783–793. [Google Scholar] [CrossRef]
- Gressel, J. Evolving Understanding of the Evolution of Herbicide Resistance. Pest Manag. Sci. 2009, 65, 1164–1173. [Google Scholar] [CrossRef] [PubMed]
- Gage, K.L.; Schwartz-Lazaro, L.M. Shifting the Paradigm: An Ecological Systems Approach to Weed Management. Agriculture 2019, 9, 179. [Google Scholar] [CrossRef]
- Bagavathiannan, M.V.; Beckie, H.J.; Chantre, G.R.; Gonzalez-Andujar, J.L.; Leon, R.G.; Neve, P.; Poggio, S.L.; Schutte, B.J.; Somerville, G.J.; Werle, R.; et al. Simulation Models on the Ecology and Management of Arable Weeds: Structure, Quantitative Insights, and Applications. Agronomy 2020, 10, 1611. [Google Scholar] [CrossRef]
- Storkey, J.; Helps, J.; Hull, R.; Milne, A.E.; Metcalfe, H. Defining Integrated Weed Management: A Novel Conceptual Framework for Models. Agronomy 2021, 11, 747. [Google Scholar] [CrossRef]
- Roux, F.; Reboud, X. Herbicide Resistance Dynamics in a Spatially Heterogeneous Environment. Crop Prot. 2007, 26, 335–341. [Google Scholar] [CrossRef]
- Maxwell, B.D.; Roush, M.L.; Radosevich, S.R. Predicting the Evolution and Dynamics of Herbicide Resistance in Weed Populations. Weed Technol. 1990, 4, 2–13. [Google Scholar] [CrossRef]
- Parsons, D.J.; Benjamin, L.R.; Clarke, J.; Ginsburg, D.; Mayes, A.; Milne, A.E.; Wilkinson, D.J. Weed Manager—A Model-Based Decision Support System for Weed Management in Arable Crops. Comput. Electron. Agric. 2009, 65, 155–167. [Google Scholar] [CrossRef]
- Renton, M.; Chauhan, B.S. Modelling Crop-Weed Competition: Why, What, How and What Lies Ahead? Crop Prot. 2017, 95, 101–108. [Google Scholar] [CrossRef]
- Molinari, F.A.; Blanco, A.M.; Vigna, M.R.; Chantre, G.R. Towards an Integrated Weed Management Decision Support System: A Simulation Model for Weed-Crop Competition and Control. Comput. Electron. Agric. 2020, 175, 105597. [Google Scholar] [CrossRef]
- Neve, P. Simulation Modelling to Understand the Evolution and Management of Glyphosate Resistance in Weeds. Pest Manag. Sci. 2008, 64, 392–401. [Google Scholar] [CrossRef] [PubMed]
- Bagavathiannan, M.V.; Norsworthy, J.K.; Smith, K.L.; Neve, P. Modeling the Evolution of Glyphosate Resistance in Barnyardgrass (Echinochloa Crus-Galli) in Cotton-Based Production Systems of the Midsouthern United States. Weed Technol. 2013, 27, 475–487. [Google Scholar] [CrossRef]
- Torra, J.; Monjardino, M. Ryegrass Integrated Management (RIM)–Based Decision Support System. In Decision Support Systems for Weed Management; Springer: Cham, Switzerland, 2020; pp. 249–278. [Google Scholar] [CrossRef]
- Pannell, D.J.; Stewart, V.; Bennett, A.; Monjardino, M.; Schmidt, C.; Powles, S.B. RIM: A Bioeconomic Model for Integrated Weed Management of Lolium Rigidum in Western Australia. Agric. Syst. 2004, 79, 305–325. [Google Scholar] [CrossRef]
- Forrester, J.W. System Dynamics, Systems Thinking, and Soft OR. Syst. Dyn. Rev. 1994, 10, 245–256. [Google Scholar] [CrossRef]
- Sterman, J.D. Systems Simulation. Expectation Formation in Behavioral Simulation Models. Behav. Sci. 1987, 32, 190–211. [Google Scholar] [CrossRef]
- Turner, B.L.; Menendez, H.M.; Gates, R.; Tedeschi, L.O.; Atzori, A.S. System Dynamics Modeling for Agricultural and Natural Resource Management Issues: Review of Some Past Cases and Forecasting Future Roles. Resources 2016, 5, 40. [Google Scholar] [CrossRef]
- Turner, B.L. Model Laboratories: A Quick-Start Guide for Design of Simulation Experiments for Dynamic Systems Models. Ecol. Modell. 2020, 434, 109246. [Google Scholar] [CrossRef]
- Zimdahl Robert, L. Fundamentals of Weed Science, 3rd ed.; Elsevier: Amsterdam, The Netherlands, 2007. [Google Scholar]
- Anderson, W.P. Weed Science: Principles and Applications; Waveland Press Inc.: Long Grove, IL, USA, 2007; p. 388. [Google Scholar]
- Jha, P.; Kumar, V.; Godara, R.K.; Chauhan, B.S. Weed Management Using Crop Competition in the United States: A Review. Crop Prot. 2017, 95, 31–37. [Google Scholar] [CrossRef]
- Liebman, M.; Eric, R.; Gallandt, J.L.E. Many Little Hammers: Ecological Management of Crop-Weed Interactions. In Ecology in Agriculture; Academic Press: Chicago, MA, USA, 1997; Volume 1, pp. 291–343. [Google Scholar]
- Clay, S.A. Near-Term Challenges for Global Agriculture: Herbicide-Resistant Weeds. Agron. J. 2021, 113, 4463–4472. [Google Scholar] [CrossRef]
- Ag PhD. Field Day Podcast, 29 July 2021. Available online: https://soundcloud.com/agphd/07-29-21-ag-phd-field-day (accessed on 10 April 2024).
- Sullivan, P. Principles of Sustainable Weed Management for Croplands. National Center for Appropriate Technology. 2003. Available online: http://hdl.handle.net/10919/70265 (accessed on 10 April 2024).
- Benbrook, C.M. Trends in Glyphosate Herbicide Use in the United States and Globally. Environ. Sci. Eur. 2016, 28, 3. [Google Scholar] [CrossRef] [PubMed]
- International Fertilizer Association. IFA. Available online: https://www.fertilizer.org/ (accessed on 30 September 2023).
- USDA. National Agricultural Statistics Service. Available online: https://quickstats.nass.usda.gov/ (accessed on 16 August 2021).
- Harker, K.N.; Mallory-Smith, C.; Maxwell, B.D.; Mortensen, D.A.; Smith, R.G. Another View. Weed Sci. 2017, 65, 203–205. [Google Scholar] [CrossRef]
- Gunsolus, J.L. Herbicide-Resistant Weeds. Minnesota Extension Service, University of Minnesota, College of Agriculture. Available online: https://extension.umn.edu/herbicide-resistance-management/herbicide-resistant-weeds#herbicide-resistant-crops-928964 (accessed on 10 April 2024).
- Livingston, M.J.; Fernandez Cornejo, J.; Unger, J.; Osteen, C.; Schimmelpfennig, D.; Park, T.; Lambert, D.M. The Economics of Glyphosate Resistance Management in Corn and Soybean Production; United States Department of Agriculture: Washington, DC, USA, 2015. Available online: https://ssrn.com/abstract=2690579 (accessed on 10 April 2024).
- USDA ERS. USDA ERS-Data Files: U.S. and State-Level Farm Income and Wealth Statistics. Available online: https://www.ers.usda.gov/data-products/farm-income-and-wealth-statistics/data-files-u-s-and-state-level-farm-income-and-wealth-statistics/ (accessed on 2 September 2021).
Disclaimer/Publisher’s Note: The statements, opinions and data contained in all publications are solely those of the individual author(s) and contributor(s) and not of MDPI and/or the editor(s). MDPI and/or the editor(s) disclaim responsibility for any injury to people or property resulting from any ideas, methods, instructions or products referred to in the content. |
© 2024 by the authors. Licensee MDPI, Basel, Switzerland. This article is an open access article distributed under the terms and conditions of the Creative Commons Attribution (CC BY) license (https://creativecommons.org/licenses/by/4.0/).





