Global Distribution Patterns and Climatic Drivers of Plant Diversity in Rubiaceae
Simple Summary
Abstract
1. Introduction
2. Materials and Methods
2.1. Species Distribution Data
2.2. Environmental Data
2.3. Data Analysis
3. Results
3.1. Global Geographic Patterns of Diversity in Rubiaceae
3.2. Geographic Patterns of Diversity in Rubiaceae Across Different Growth Forms
3.3. Correlation Analysis of Environmental Factors
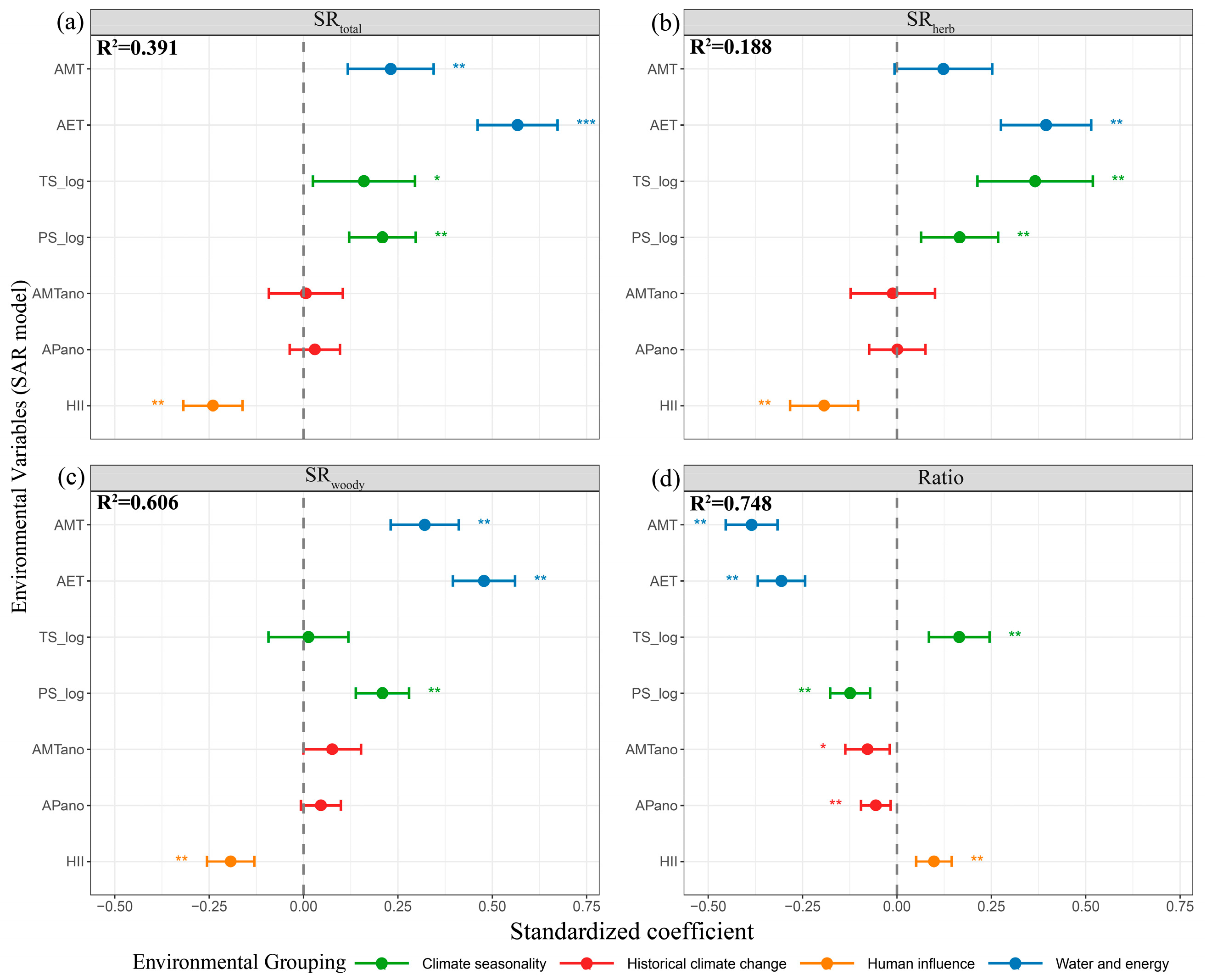
3.4. Different Environmental Variables Explain the Variation in Diversity in Rubiaceae
4. Discussion
4.1. Global Geographic Pattern of Rubiaceae Diversity
4.2. Differential Impacts of Environmental Factors in Rubiaceae
4.3. The Impact of Different Environmental Variables in Rubiaceae
5. Conclusions
Supplementary Materials
Author Contributions
Funding
Institutional Review Board Statement
Informed Consent Statement
Data Availability Statement
Acknowledgments
Conflicts of Interest
References
- Ricklefs, R.E. A comprehensive framework for global patterns in biodiversity. Ecol. Lett. 2004, 7, 1–15. [Google Scholar] [CrossRef]
- Rabosky, D.L.; Hurlbert, A.H. Species richness at continental scales is dominated by ecological limits. Am. Nat. 2015, 185, 572–583. [Google Scholar] [CrossRef]
- Humboldt, A.V.; Bonpland, A. Ideen zu Einer Geographie der Pflanzen: Nebst Einem Naturgemälde der Tropenländer: Auf Beobachtungen und Messungen Gegründet, Welche vom 10ten Grade Nördlicher bis zum 10ten Grade Südlicher Breite, in den Jahren 1799, 1800, 1801, 1802 und 1803 Angestellt Worden Sind; Cotta: Tübingen, German, 1807. [Google Scholar]
- Wallace, A.R. The Geographical Distribution of Animals, with a Study of the Relations of Living and Extinct Faunas as Elucidating the Past Changes of the Earth’s Surface; Macmillan and Co.: London, UK, 1876. [Google Scholar]
- Legendre, P.; Borcard, D.; Peres-Neto, P.R. Analyzing beta diversity: Partitioning the spatial variation of community composition data. Ecol. Monogr. 2005, 75, 435–450. [Google Scholar] [CrossRef]
- Swenson, N.G.; Erickson, D.L.; Mi, X.; Bourg, N.A.; Forero-Montaña, J.; Ge, X.; Howe, R.; Lake, J.K.; Liu, X.; Ma, K.; et al. Phylogenetic and functional alpha and beta diversity in temperate and tropical tree communities. Ecology 2012, 93, S112–S125. [Google Scholar] [CrossRef]
- Miller, K.R.; Mittermeier, R.A.; Werner, T.B.; McNeely, J.A.; Reid, W.V. Conserving the World’s Biological Diversity; International Union for Conservation of Nature and Natural Resources IUCN: Gland, Switzerland, 1991; Volume 3, pp. 131–133. [Google Scholar] [CrossRef]
- Grytnes, J.A.; Vetaas, O.R. Species richness and altitude: A comparison between null models and interpolated plant species richness along the Himalayan altitudinal gradient, Nepal. Am. Nat. 2002, 159, 294–304. [Google Scholar] [CrossRef]
- Francis, A.P.; Currie, D.J. A globally consistent richness-climate relationship for angiosperms. Am. Nat. 2003, 161, 523–536. [Google Scholar] [CrossRef]
- Kreft, H.; Jetz, W. Global patterns and determinants of vascular plant diversity. Proc. Natl. Acad. Sci. USA 2007, 104, 5925–5930. [Google Scholar] [CrossRef]
- Svendsen, I.K. The effects that the current climate crisis have on the biogeography and environment, needed adaptations and conservation. Am. J. Biosci. 2020, 8, 20–27. [Google Scholar] [CrossRef]
- O’Brien, E. Water-energy dynamics, climate, and prediction of woody plant species richness: An interim general model. J. Biogeogr. 1998, 25, 379–398. [Google Scholar] [CrossRef]
- O’BRien, E.M.; Field, R.; Whittaker, R.J. Climatic gradients in woody plant (tree and shrub) diversity: Water-energy dynamics, residual variation, and topography. Oikos 2000, 89, 588–600. [Google Scholar] [CrossRef]
- Currie, D.J.; Francis, A.P. Regional versus climatic effect on taxon richness in angiosperms: Reply to Qian and Ricklefs. Am. Nat. 2004, 163, 780–785. [Google Scholar] [CrossRef]
- Pimm, S.L.; Jenkins, C.N.; Abell, R.; Brooks, T.M.; Gittleman, J.L.; Joppa, L.N.; Raven, P.H.; Roberts, C.M.; Sexton, J.O. The biodiversity of species and their rates of extinction, distribution, and protection. Science 2014, 344, 1246752. [Google Scholar] [CrossRef]
- Liu, Y.; Su, X.; Shrestha, N.; Xu, X.; Wang, S.; Li, Y.; Wang, Q.; Sandanov, D.; Wang, Z. Effects of contemporary environment and quaternary climate change on drylands plant diversity differ between growth forms. Ecography 2019, 42, 334–345. [Google Scholar] [CrossRef]
- Guo, W.-Y.; Serra-Diaz, J.M.; Eiserhardt, W.L.; Maitner, B.S.; Merow, C.; Violle, C.; Pound, M.J.; Sun, M.; Slik, F.; Blach-Overgaard, A.; et al. Climate change and land use threaten global hotspots of phylogenetic endemism for trees. Nat. Commun. 2023, 14, 6950. [Google Scholar] [CrossRef]
- Hawkins, B.A.; Field, R.; Cornell, H.V.; Currie, D.J.; Guégan, J.-F.; Kaufman, D.M.; Kerr, J.T.; Mittelbach, G.G.; Oberdorff, T.; O’Brien, E.M.; et al. Energy, water, and broad-scale geographic patterns of species richness. Ecology 2003, 84, 3105–3117. [Google Scholar] [CrossRef]
- Van Der Heijden, G.M.F.; Phillips, O.L. Environmental effects on neotropical liana species richness. J. Biogeogr. 2009, 36, 1561–1572. [Google Scholar] [CrossRef]
- Sandel, B.; Arge, L.; Dalsgaard, B.; Davies, R.G.; Gaston, K.J.; Sutherland, W.J.; Svenning, J.-C. The influence of Late Quaternary climate-change velocity on species endemism. Science 2011, 334, 660–664. [Google Scholar] [CrossRef]
- Kissling, W.D.; Baker, W.J.; Balslev, H.; Barfod, A.S.; Borchsenius, F.; Dransfield, J.; Govaerts, R.; Svenning, J. Quaternary and pre-Quaternary historical legacies in the global distribution of a major tropical plant lineage. Glob. Ecol. Biogeogr. 2012, 21, 909–921. [Google Scholar] [CrossRef]
- Svenning, J.-C.; Eiserhardt, W.L.; Normand, S.; Ordonez, A.; Sandel, B. The influence of paleoclimate on present-day patterns in biodiversity and ecosystems. Annu. Rev. Ecol. Evol. Syst. 2015, 46, 551–572. [Google Scholar] [CrossRef]
- Zhang, Q.; Ree, R.H.; Salamin, N.; Xing, Y.; Silvestro, D. Fossil-informed models reveal a boreotropical origin and divergent evolutionary trajectories in the walnut family (Juglandaceae). Syst. Biol. 2021, 71, 242–258. [Google Scholar] [CrossRef]
- Dynesius, M.; Jansson, R. Evolutionary consequences of changes in species’ geographical distributions driven by Milankovitch climate oscillations. Proc. Natl. Acad. Sci. USA 2000, 97, 9115–9120. [Google Scholar] [CrossRef]
- Voskamp, A.; Baker, D.J.; Stephens, P.A.; Valdes, P.J.; Willis, S.G. Global patterns in the divergence between phylogenetic diversity and species richness in terrestrial birds. J. Biogeogr. 2017, 44, 709–721. [Google Scholar] [CrossRef]
- Xu, W.-B.; Svenning, J.-C.; Chen, G.-K.; Zhang, M.-G.; Huang, J.-H.; Chen, B.; Ordonez, A.; Ma, K.-P. Human activities have opposing effects on distributions of narrow-ranged and widespread plant species in China. Proc. Natl. Acad. Sci. USA 2019, 116, 26674–26681. [Google Scholar] [CrossRef]
- Li, X.; Hu, W.; Bleisch, W.V.; Li, Q.; Wang, H.; Lu, W.; Sun, J.; Zhang, F.; Ti, B.; Jiang, X. Functional diversity loss and change in nocturnal behavior of mammals under anthropogenic disturbance. Conserv. Biol. 2022, 36, e13839. [Google Scholar] [CrossRef]
- Yang, C.; Li, Q.; Wang, X.; Cui, A.; Chen, J.; Liu, H.; Ma, W.; Dong, X.; Shi, T.; Meng, F.; et al. Human expansion-induced biodiversity crisis over Asia from 2000 to 2020. Research 2024, 6, 0226. [Google Scholar] [CrossRef]
- Helmus, M.R.; Mahler, D.L.; Losos, J.B. Island biogeography of the Anthropocene. Nature 2014, 513, 543–546. [Google Scholar] [CrossRef]
- Poppenwimer, T.; Mayrose, I.; DeMalach, N. Revising the global biogeography of annual and perennial plants. Nature 2023, 624, 109–114. [Google Scholar] [CrossRef]
- Smith, S.A.; Beaulieu, J.M. Life history influences rates of climatic niche evolution in flowering plants. Proc. R. Soc. B Biol. Sci. 2009, 276, 4345–4352. [Google Scholar] [CrossRef]
- Zanne, A.E.; Tank, D.C.; Cornwell, W.K.; Eastman, J.M.; Smith, S.A.; FitzJohn, R.G.; McGlinn, D.J.; O’meara, B.C.; Moles, A.T.; Reich, P.B.; et al. Three keys to the radiation of angiosperms into freezing environments. Nature 2014, 506, 89–92. [Google Scholar] [CrossRef]
- Compagnoni, A.; Levin, S.; Childs, D.Z.; Harpole, S.; Paniw, M.; Römer, G.; Burns, J.H.; Che-Castaldo, J.; Rüger, N.; Kunstler, G.; et al. Herbaceous perennial plants with short generation time have stronger responses to climate anomalies than those with longer generation time. Nat. Commun. 2021, 12, 1824. [Google Scholar] [CrossRef]
- Linder, H.P. Plant species radiations: Where, when, why? Philos. Trans. R. Soc. B Biol. Sci. 2008, 363, 3097–3105. [Google Scholar] [CrossRef]
- Smith, S.A.; Donoghue, M.J. Rates of molecular evolution are linked to life history in flowering plants. Science 2008, 322, 86–89. [Google Scholar] [CrossRef]
- Hughes, C.E.; Atchison, G.W. The ubiquity of alpine plant radiations: From the andes to the hengduan mountains. New Phytol. 2015, 207, 275–282. [Google Scholar] [CrossRef]
- Svenning, J.; Skov, F. Ice age legacies in the geographical distribution of tree species richness in Europe. Glob. Ecol. Biogeogr. 2007, 16, 234–245. [Google Scholar] [CrossRef]
- Wang, Z.; Rahbek, C.; Fang, J. Effects of geographical extent on the determinants of woody plant diversity. Ecography 2012, 35, 1160–1167. [Google Scholar] [CrossRef]
- Xu, X.; Wang, Z.; Rahbek, C.; Lessard, J.; Fang, J. Evolutionary history influences the effects of water–energy dynamics on oak diversity in Asia. J. Biogeogr. 2013, 40, 2146–2155. [Google Scholar] [CrossRef]
- Bremer, B. Phylogenetic studies within Rubiaceae and relationships to other families based on molecular data. In Second International Rubiaceae Conference Proceedings; National Botanic Garden of Belgium: Meise, Belgium, 1996. [Google Scholar]
- Wikström, N.; Kainulainen, K.; Razafimandimbison, S.G.; Smedmark, J.E.E.; Bremer, B. A revised time tree of the asterids: Establishing a temporal framework for evolutionary studies of the coffee family (Rubiaceae). PLoS ONE 2015, 10, e0126690. [Google Scholar] [CrossRef]
- Antonelli, A.; Clarkson, J.J.; Kainulainen, K.; Maurin, O.; Brewer, G.E.; Davis, A.P.; Epitawalage, N.; Goyder, D.J.; Livshultz, T.; Persson, C.; et al. Settling a family feud: A high-level phylogenomic framework for the gentianales based on 353 nuclear genes and partial plastomes. Am. J. Bot. 2021, 108, 1143–1165. [Google Scholar] [CrossRef] [PubMed]
- Razafimandimbison, S.G.; Rydin, C. Phylogeny and classification of the coffee family (Rubiaceae, Gentianales): Overview and outlook. Taxon 2024, 73, 673–717. [Google Scholar] [CrossRef]
- Davis, A.P.; Govaerts, R.; Bridson, D.M.; Ruhsam, M.; Moat, J.; Brummitt, N.A. A global assessment of distribution, diversity, endemism, and taxonomic effort in the Rubiaceae. Ann. Mo. Bot. Gard. 2009, 96, 68–78. [Google Scholar] [CrossRef]
- Govaerts, R.; Ruhsam, M.; Andersson, L.; Robbrecht, E.; Bridson, D.; Davis, A.P.; Schanzer, I.; Sonké, B. World Checklist of Rubiaceae; Royal Botanic Gardens, Kew: Richmond, UK, 2007. [Google Scholar]
- Droissart, V.; Hardy, O.J.; Sonké, B.; Dahdouh-Guebas, F.; Stévart, T. Subsampling herbarium collections to assess geographic diversity gradients: A case study with endemic Orchidaceae and Rubiaceae in Cameroon. Biotropica 2012, 44, 44–52. [Google Scholar] [CrossRef]
- Mouly, A.; Razafimandimbison, S.G.; Khodabandeh, A.; Bremer, B. Phylogeny and classification of the species-rich pantropical showy genus Ixora (Rubiaceae-Ixoreae) with indications of geographical monophyletic units and hybrids. Am. J. Bot. 2009, 96, 686–706. [Google Scholar] [CrossRef] [PubMed]
- Wikström, N.; Avino, M.; Razafimandimbison, S.G.; Bremer, B. Historical biogeography of the coffee family (Rubiaceae, Gentianales) in Madagascar: Case studies from the tribes Knoxieae, Naucleeae, Paederieae and Vanguerieae. J. Biogeogr. 2010, 37, 1094–1113. [Google Scholar] [CrossRef]
- Brummitt, R.K. World Geographical Scheme for Recording Plant Distributions, 2nd ed.; Hunt Institute for Botanical Documentation: Pittsburgh, PA, USA, 2001. [Google Scholar]
- Zhang, J.; Qian, H.U. Taxonstand: An R package for standardizing scientific names of plants and animals. Plant Divers. 2023, 45, 1–5. [Google Scholar] [CrossRef] [PubMed]
- Ngemann, K.; Sandel, B.; Boyle, B.; Enquist, B.J.; Jørgensen, P.M.; Kattge, J.; McGill, B.J.; Morueta-Holme, N.; Peet, R.K.; Spencer, N.J.; et al. A plant growth form dataset for the new world. Ecology 2016, 97, 3243. [Google Scholar] [CrossRef]
- Beech, E.; Rivers, M.; Oldfield, S.; Smith, P.P. Globaltreesearch: The first complete global database of tree species and country distributions. J. Sustain. For. 2017, 36, 454–489. [Google Scholar] [CrossRef]
- Rice, A.; Šmarda, P.; Novosolov, M.; Drori, M.; Glick, L.; Sabath, N.; Meiri, S.; Belmaker, J.; Mayrose, I. The global biogeography of polyploid plants. Nat. Ecol. Evol. 2019, 3, 265–273. [Google Scholar] [CrossRef]
- Luo, A.; Xu, X.; Liu, Y.; Li, Y.; Su, X.; Li, Y.; Lyu, T.; Dimitrov, D.; Larjavaara, M.; Peng, S.; et al. Spatio-temporal patterns in the woodiness of flowering plants. Glob. Ecol. Biogeogr. 2023, 32, 384–396. [Google Scholar] [CrossRef]
- Luo, A.; Li, Y.; Shrestha, N.; Xu, X.; Su, X.; Li, Y.; Lyu, T.; Waris, K.; Tang, Z.; Liu, X.; et al. Global multifaceted biodiversity patterns, centers, and conservation needs in angiosperms. Sci. China Life Sci. 2024, 67, 817–828. [Google Scholar] [CrossRef]
- Song, W.; Li, Y.; Luo, A.; Su, X.; Wang, Q.; Liu, Y.; Lyu, T.; Chen, Y.; Peng, S.; Sandanov, D.; et al. Historical and contemporary climate jointly determine angiosperm plant diversity patterns across east Eurasia. Ecography 2024, 2024, e07062. [Google Scholar] [CrossRef]
- Fick, S.E.; Hijmans, R.J. Worldclim 2: New 1-km spatial resolution climate surfaces for global land areas. Int. J. Climatol. 2017, 37, 4302–4315. [Google Scholar] [CrossRef]
- Rosenzweig, M.L. Species Diversity in Space Time; Cambridge University Press: Cambridge, UK, 1995. [Google Scholar] [CrossRef]
- Myers, N.; Mittermeier, R.A.; Mittermeier, C.G.; da Fonseca, G.A.B.; Kent, J. Biodiversity hotspots for conservation priorities. Nature 2000, 403, 853–858. [Google Scholar] [CrossRef] [PubMed]
- Eisenhauer, N. The shape that matters: How important is biodiversity for ecosystem functioning? Sci. China Life Sci. 2022, 65, 651–653. [Google Scholar] [CrossRef] [PubMed]
- Sabatini, F.M.; Jiménez-Alfaro, B.; Jandt, U.; Chytrý, M.; Field, R.; Kessler, M.; Lenoir, J.; Schrodt, F.; Wiser, S.K.; Khan, M.A.S.A.; et al. Global patterns of vascular plant alpha diversity. Nat. Commun. 2022, 13, 4683. [Google Scholar] [CrossRef] [PubMed]
- Ban, N.T. Handbook for Searching and Identifying Families of Angiosperms in Vietnam; Science and Technology Publishing House: New York, NY, USA, 1997. [Google Scholar]
- Kieu, H.M.; Van Nguyen, Q.; Nguyen, H.T.; Do, T.N.; Van Nguyen, H. Plant biodiversity, value, and distribution of Rubiaceae at Hon Ba Nature Reserve, Khanh Hoa province, Vietnam. World J. Adv. Res. Rev. 2022, 14, 320–331. [Google Scholar] [CrossRef]
- Currie, D.J.; Mittelbach, G.G.; Cornell, H.V.; Field, R.; Guégan, J.; Hawkins, B.A.; Kaufman, D.M.; Kerr, J.T.; Oberdorff, T.; O’Brien, E.; et al. Predictions and tests of climate-based hypotheses of broad-scale variation in taxonomic richness. Ecol. Lett. 2004, 7, 1121–1134. [Google Scholar] [CrossRef]
- Currie, D.J.; Paquin, V. Large-scale biogeographical patterns of species richness of trees. Nature 1987, 329, 326–327. [Google Scholar] [CrossRef]
- Zanne, A.E.; Pearse, W.D.; Cornwell, W.K.; McGlinn, D.J.; Wright, I.J.; Uyeda, J.C. Functional biogeography of angiosperms: Life at the extremes. New Phytol. 2018, 218, 1697–1709. [Google Scholar] [CrossRef]
- Latham, R.E.; Ricklefs, R.E. Global patterns of tree species richness in moist forests: Energy-diversity theory does not account for variation in species richness. Oikos 1993, 67, 325–333. [Google Scholar] [CrossRef]
- Wang, Z.; Fang, J.; Tang, Z.; Lin, X. Patterns, determinants and models of woody plant diversity in China. Proc. R. Soc. B Biol. Sci. 2011, 278, 2122–2132. [Google Scholar] [CrossRef]
- Olson, M.E.; Soriano, D.; Rosell, J.A.; Anfodillo, T.; Donoghue, M.J.; Edwards, E.J.; León-Gómez, C.; Dawson, T.; Martínez, J.J.C.; Castorena, M.; et al. Plant height and hydraulic vulnerability to drought and cold. Proc. Natl. Acad. Sci. USA 2018, 115, 7551–7556. [Google Scholar] [CrossRef] [PubMed]
- Ullah, T.; Muhammad, Z.; Shah, I.A.; Bourhia, M.; Nafidi, H.-A.; Salamatullah, A.M.; Younous, Y.A. Multivariate analysis of the summer herbaceous vegetation and environmental factors of the sub-tropical region. Sci. Rep. 2024, 14, 15657. [Google Scholar] [CrossRef] [PubMed]
- Das, D.; Banerjee, S.; Lehmkuhl, J.; Krishnaswamy, J.; John, R. The influence of abiotic and spatial variables on woody and herbaceous species abundances in a woodland–grassland system in the Eastern Terai of India. J. Plant Ecol. 2022, 15, 155–167. [Google Scholar] [CrossRef]
- Xu, X.; Wang, Z.; Rahbek, C.; Sanders, N.J.; Fang, J. Geographical variation in the importance of water and energy for oak diversity. J. Biogeogr. 2016, 43, 279–288. [Google Scholar] [CrossRef]
- Field, R.; O’Brien, E.M.; Whittaker, R.J. Global models for predicting woody plant richness from climate: Development and evaluation. Ecology 2005, 86, 2263–2277. [Google Scholar] [CrossRef]




Disclaimer/Publisher’s Note: The statements, opinions and data contained in all publications are solely those of the individual author(s) and contributor(s) and not of MDPI and/or the editor(s). MDPI and/or the editor(s) disclaim responsibility for any injury to people or property resulting from any ideas, methods, instructions or products referred to in the content. |
© 2025 by the authors. Licensee MDPI, Basel, Switzerland. This article is an open access article distributed under the terms and conditions of the Creative Commons Attribution (CC BY) license (https://creativecommons.org/licenses/by/4.0/).
Share and Cite
Yang, S.; Liu, Y.; Mbuni, Y.M.; Huang, W.; Zhou, Y.; Zhang, H. Global Distribution Patterns and Climatic Drivers of Plant Diversity in Rubiaceae. Biology 2025, 14, 1719. https://doi.org/10.3390/biology14121719
Yang S, Liu Y, Mbuni YM, Huang W, Zhou Y, Zhang H. Global Distribution Patterns and Climatic Drivers of Plant Diversity in Rubiaceae. Biology. 2025; 14(12):1719. https://doi.org/10.3390/biology14121719
Chicago/Turabian StyleYang, Sihong, Yangyang Liu, Yuvenalis Morara Mbuni, Weirong Huang, Yadong Zhou, and Huan Zhang. 2025. "Global Distribution Patterns and Climatic Drivers of Plant Diversity in Rubiaceae" Biology 14, no. 12: 1719. https://doi.org/10.3390/biology14121719
APA StyleYang, S., Liu, Y., Mbuni, Y. M., Huang, W., Zhou, Y., & Zhang, H. (2025). Global Distribution Patterns and Climatic Drivers of Plant Diversity in Rubiaceae. Biology, 14(12), 1719. https://doi.org/10.3390/biology14121719

