Evaluation of the Bond Quality of Metal-Clad Plates Using Laser Ultrasonic Local Resonance
Abstract
1. Introduction
2. Materials and Methods
2.1. Numerical Simulation
2.2. Specimen with Self-Forming Delamination Defect
2.3. Experimental Setup
3. Results and Discussion
3.1. Analysis of Waveform and Frequency
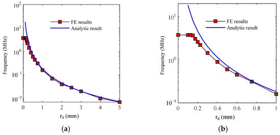
3.2. Quantitative Evaluation of Delamination Sizes
3.3. Experimental Signal Analysis
3.4. C-Scan Results
3.5. Quantitative Characterization of Delamination Defects
4. Conclusions
Author Contributions
Funding
Institutional Review Board Statement
Informed Consent Statement
Data Availability Statement
Conflicts of Interest
References
- Tang, M.; Li, J.; Yu, X.; Nie, S. Tensile behavior of stainless steel clad plates with different cladding ratios. J. Constr. Steel Res. 2021, 182, 106641. [Google Scholar] [CrossRef]
- Moon, C.; Won, J.Y.; Lee, K.; Lee, J.; Kim, S.-W.; Lee, M.-G. Mechanical behavior and interfacial damage of carbon steel-stainless steel corrosion resisted-alloy (CRA) cladded plate: Hybrid analysis based on experiment and finite element modeling. Mater. Sci. Eng. A 2022, 852, 143697. [Google Scholar] [CrossRef]
- Li, H.; Zhang, L.; Zhang, B.; Zhang, Q. Effect of Heat Treatment on the Microstructure and Corrosion Resistance of Stainless/Carbon Steel Bimetal Plate. Adv. Mater. Sci. Eng. 2020, 2020, 1280761. [Google Scholar] [CrossRef]
- Li, H.; Zhang, L.; Zhang, B.; Zhang, Q. Microstructure Characterization and Mechanical Properties of Stainless Steel Clad Plate. Materials 2019, 12, 509. [Google Scholar] [CrossRef] [PubMed]
- Ji, B.; Zhang, H.; Cao, J.; Zhang, Q. Evaluation of the Thickness of Each Layer of Cu/Al Laminate Using Laser Ultrasonic. Coatings 2023, 13, 645. [Google Scholar] [CrossRef]
- Zhang, Q.; Li, S.; Liu, J.; Wang, Y.; Zhang, B.; Zhang, L. Study of a Bimetallic Interfacial Bonding Process Based on Ultrasonic Quantitative Evaluation. Metals 2018, 8, 329. [Google Scholar] [CrossRef]
- Yu, C.; Deng, Z.; Liang, S.; Xiao, H.; Zhao, Y. Effect of pure iron interlayer on microstructure and properties of hot-rolled stainless steel clad plate. Mater. Today Commun. 2021, 28, 102497. [Google Scholar] [CrossRef]
- Li, C.a.; Qin, G.; Tang, Y.; Zhang, B.; Lin, S.; Geng, P. Microstructures and mechanical properties of stainless steel clad plate joint with diverse filler metals. J. Mater. Res. Technol. 2020, 9, 2522–2534. [Google Scholar] [CrossRef]
- Huang, Q.; Yang, X.; Ma, L.; Zhou, C.; Liu, G.; Li, H. Interface-correlated Characteristics of Stainless Steel/Carbon Steel Plate Fabricated by AAWIV and Hot Rolling. J. Iron. Steel Res. Int. 2014, 21, 931–937. [Google Scholar] [CrossRef]
- Ji, B.; Zhang, Q.; Cao, J.; Li, H.; Zhang, B. Non-contact detection of delamination in stainless steel/carbon steel composites with laser ultrasonic. Optik 2021, 226, 165893. [Google Scholar] [CrossRef]
- Zhang, H.; Li, C.; Dai, W.; Liu, Y.; Tian, S.; Huang, W.; Jia, D.; He, D.; Zhang, Y. Static compression testing CFRP single-lap composited joints using X-ray μCT. Compos. Struct. 2020, 234, 111667. [Google Scholar] [CrossRef]
- Dilonardo, E.; Nacucchi, M.; De Pascalis, F.; Zarrelli, M.; Giannini, C. High resolution X-ray computed tomography: A versatile non-destructive tool to characterize CFRP-based aircraft composite elements. Compos. Sci. Technol. 2020, 192, 108093. [Google Scholar] [CrossRef]
- Machado, M.A.; Antin, K.-N.; Rosado, L.S.; Vilaça, P.; Santos, T.G. High-speed inspection of delamination defects in unidirectional CFRP by non-contact eddy current testing. Compos. Part B 2021, 224, 109167. [Google Scholar] [CrossRef]
- Yi, Q.; Tian, G.Y.; Malekmohammadi, H.; Laureti, S.; Ricci, M.; Gao, S. Inverse reconstruction of fibre orientation in multilayer CFRP using forward FEM and eddy current pulsed thermography. NDT E Int. 2021, 122, 102474. [Google Scholar] [CrossRef]
- Ashizawa, T.; Mizutani, Y.; Toyama, N.; Todoroki, A.; Suzuki, Y. Similarity law for two-dimensional propagation behavior of ultrasonic wave in concentrically curved fiber CFRP. Compos. Struct. 2020, 233, 111714. [Google Scholar] [CrossRef]
- Cao, H.; Guo, S.; Zhang, S.; Xie, Y.; Feng, W. Ray tracing method for ultrasonic array imaging of CFRP corner part using homogenization method. NDT E Int. 2021, 122, 102493. [Google Scholar] [CrossRef]
- Dattoma, V.; Nobile, R.; Panella, F.W.; Saponaro, A. NDT thermographic techniques on CFRP structural components for aeronautical application. Procedia Struct. Integr. 2018, 8, 452–461. [Google Scholar] [CrossRef]
- Dattoma, V.; Willem Panella, F.; Pirinu, A.; Saponaro, A. Ultrasonic and thermographic studies for CFRP inspections with real and simulated defects. Mater. Today Proc. 2021, 34, 224–234. [Google Scholar] [CrossRef]
- Spytek, J.; Ziaja-Sujdak, A.; Dziedziech, K.; Pieczonka, L.; Pelivanov, I.; Ambrozinski, L. Evaluation of disbonds at various interfaces of adhesively bonded aluminum plates using all-optical excitation and detection of zero-group velocity Lamb waves. NDT E Int. 2020, 112, 102249. [Google Scholar] [CrossRef]
- Park, B.; An, Y.-K.; Sohn, H. Visualization of hidden delamination and debonding in composites through noncontact laser ultrasonic scanning. Compos. Sci. Technol. 2014, 100, 10–18. [Google Scholar] [CrossRef]
- Watzl, G.; Kerschbaummayr, C.; Schagerl, M.; Mitter, T.; Sonderegger, B.; Grünsteidl, C. In situ laser-ultrasonic monitoring of Poisson’s ratio and bulk sound velocities of steel plates during thermal processes. Acta Mater. 2022, 235, 118097. [Google Scholar] [CrossRef]
- Chia, C.C.; Lee, J.-R.; Park, C.-Y.; Jeong, H.-M. Laser ultrasonic anomalous wave propagation imaging method with adjacent wave subtraction: Application to actual damages in composite wing. Opt. Laser Technol. 2012, 44, 428–440. [Google Scholar] [CrossRef]
- Sattar, H.; Ran, H.; Hu, Z.; Guan, F.; Imran, M.; Guo, L.; Luo, W.; Ding, H. Simultaneous analysis of long-pulse laser irradiated plasma-facing materials (PFMs) microstructure and hardness by in-situ laser Opto-ultrasonic dual detection (LOUD). Opt. Laser Technol. 2023, 157, 108741. [Google Scholar] [CrossRef]
- Zhang, K.; Li, S.; Zhou, Z. Detection of disbonds in multi-layer bonded structures using the laser ultrasonic pulse-echo mode. Ultrasonics 2019, 94, 411–418. [Google Scholar] [CrossRef]
- Sun, G.; Zhao, L.; Dong, M.; Lou, X.; Zhu, L. Non-contact characterization of debonding in lead-alloy steel bonding structure with laser ultrasound. Optik 2018, 164, 734–744. [Google Scholar] [CrossRef]
- Shin, H.-J.; Choi, Y.; Lee, J.-R. Damage visualization of a cylindrical CFRP lattice-skin structure based on a pulse-echo ultrasonic propagation imager. Measurement 2019, 147, 106837. [Google Scholar] [CrossRef]
- Gao, T.; Liu, X.; Zhu, J.; Zhao, B.; Qing, X. Multi-frequency localized wave energy for delamination identification using laser ultrasonic guided wave. Ultrasonics 2021, 116, 106486. [Google Scholar] [CrossRef]
- Ji, B.; Cao, J.; Yu, M.; Chen, Z.; Zhang, Q. Application of laser ultrasonic for detecting delamination in Cu/Al composites. Optik 2021, 243, 167426. [Google Scholar] [CrossRef]
- Ji, B.; Zhang, Q.; Cao, J.; Zhang, B.; Zhang, L. Delamination detection in bimetallic composite using laser ultrasonic bulk waves. Appl. Sci. 2021, 11, 636. [Google Scholar] [CrossRef]
- Jiao, J.; Li, L.; Ma, B.; He, C.; Wu, B. Quantitative detection method of plate structure defects based on ultrasonic local resonance. Chin. J. Sci. Instrum. 2019, 40, 1204. [Google Scholar]
- Sarens, B.; Verstraeten, B.; Glorieux, C.; Kalogiannakis, G.; Van Hemelrijck, D. Investigation of contact acoustic nonlinearity in delaminations by shearographic imaging, laser doppler vibrometric scanning and finite difference modeling. IEEE Trans. Ultrason. Ferroelectr. Freq. Control 2010, 57, 1383–1395. [Google Scholar] [CrossRef]
- Solodov, I.; Bai, J.; Bekgulyan, S.; Busse, G. A local defect resonance to enhance acoustic wave-defect interaction in ultrasonic nondestructive evaluation. Appl. Phys. Lett. 2011, 99, 211911. [Google Scholar] [CrossRef]
- Solodov, I.; Bai, J.; Busse, G. Resonant ultrasound spectroscopy of defects: Case study of flat-bottomed holes. J. Appl. Phys. 2013, 113, 223512. [Google Scholar] [CrossRef]
- Solodov, I.; Derusova, D.; Rahammer, M. Thermosonic Chladni figures for defect-selective imaging. Ultrasonics 2015, 60, 1–5. [Google Scholar] [CrossRef] [PubMed]
- Solodov, I.; Rahammer, M.; Gulnizkij, N.; Kreutzbruck, M. Noncontact Sonic NDE and Defect Imaging Via Local Defect Resonance. J. Nondestr. Eval. 2016, 35, 48. [Google Scholar] [CrossRef]
- Hettler, J.; Tabatabaeipour, M.; Delrue, S.; Van Den Abeele, K. Detection and Characterization of Local Defect Resonances Arising from Delaminations and Flat Bottom Holes. J. Nondestr. Eval. 2016, 36, 2. [Google Scholar] [CrossRef]
- Rus, J.; Grosse, C.U. Local Ultrasonic Resonance Spectroscopy: A Demonstration on Plate Inspection. J. Nondestr. Eval. 2020, 39, 31. [Google Scholar] [CrossRef]
- Rus, J.; Grosse, C.U. Thickness measurement via local ultrasonic resonance spectroscopy. Ultrasonics 2021, 109, 106261. [Google Scholar] [CrossRef]
- Segers, J.; Kersemans, M.; Hedayatrasa, S.; Calderon, J.; Van Paepegem, W. Towards in-plane local defect resonance for non-destructive testing of polymers and composites. NDT E Int. 2018, 98, 130–133. [Google Scholar] [CrossRef]
- Glushkov, E.V.; Glushkova, N.V. Multiple zero-group velocity resonances in elastic layered structures. J. Sound Vib. 2021, 500, 116023. [Google Scholar] [CrossRef]
- Grünsteidl, C.; Murray, T.W.; Berer, T.; Veres, I.A. Inverse characterization of plates using zero group velocity Lamb modes. Ultrasonics 2016, 65, 1–4. [Google Scholar] [CrossRef] [PubMed]










| Material Properties | Q235 | 304 |
|---|---|---|
| Thermal conductivity (W × m−1 × K−1) | 80.3 | 16.3 |
| Density (g × cm−³) | 7.86 | 7.93 |
| Poisson’s ratio | 0.3 | 0.3 |
| Thermal expansion coefficient (10−6 K−1) | 10.6 | 17.2 |
| Young’s modulus (GPa) | 210 | 200 |
| Heat capacity (J × kg−1 × K−1) | 465 | 500 |
| Parameter | #1 | #2 | #3 | #4 | #5 | #6 |
|---|---|---|---|---|---|---|
| Minimum resonance frequency (MHz) | 0.29 | 0.85 | 1.50 | 1.00 | 0.65 | 1.10 |
| Defect radius rd (mm) | 0.7639 | 0.4135 | 0.2890 | 0.3744 | 0.4850 | 0.3528 |
Disclaimer/Publisher’s Note: The statements, opinions and data contained in all publications are solely those of the individual author(s) and contributor(s) and not of MDPI and/or the editor(s). MDPI and/or the editor(s) disclaim responsibility for any injury to people or property resulting from any ideas, methods, instructions or products referred to in the content. |
© 2024 by the authors. Licensee MDPI, Basel, Switzerland. This article is an open access article distributed under the terms and conditions of the Creative Commons Attribution (CC BY) license (https://creativecommons.org/licenses/by/4.0/).
Share and Cite
Ji, B.; Cao, J.; Zhang, Q. Evaluation of the Bond Quality of Metal-Clad Plates Using Laser Ultrasonic Local Resonance. Coatings 2024, 14, 474. https://doi.org/10.3390/coatings14040474
Ji B, Cao J, Zhang Q. Evaluation of the Bond Quality of Metal-Clad Plates Using Laser Ultrasonic Local Resonance. Coatings. 2024; 14(4):474. https://doi.org/10.3390/coatings14040474
Chicago/Turabian StyleJi, Baoping, Jianshu Cao, and Qingdong Zhang. 2024. "Evaluation of the Bond Quality of Metal-Clad Plates Using Laser Ultrasonic Local Resonance" Coatings 14, no. 4: 474. https://doi.org/10.3390/coatings14040474
APA StyleJi, B., Cao, J., & Zhang, Q. (2024). Evaluation of the Bond Quality of Metal-Clad Plates Using Laser Ultrasonic Local Resonance. Coatings, 14(4), 474. https://doi.org/10.3390/coatings14040474
