Experimental Study on the Scouring Rate of Cohesive Soil in the Lower Yellow River
Abstract
:1. Introduction
2. Incipient Motion Scouring Test of Cohesive Soil
2.1. Testing Device
2.1.1. Test Soil Samples
2.1.2. Flume
2.1.3. Top Soil Device
2.2. Test Scheme and Process
- (1)
- Soil sample remodeling
- (2)
- Test groups
- (3)
- Scouring test
3. Analysis of Test Results
3.1. Incipient Motion Phenomenon
3.2. Test Results of the Scouring Rate
3.2.1. Test Data Calculation
3.2.2. Effect of Flow Shear Stress on the Scouring Rate
3.2.3. Effect of Water Content on the Scouring Rate
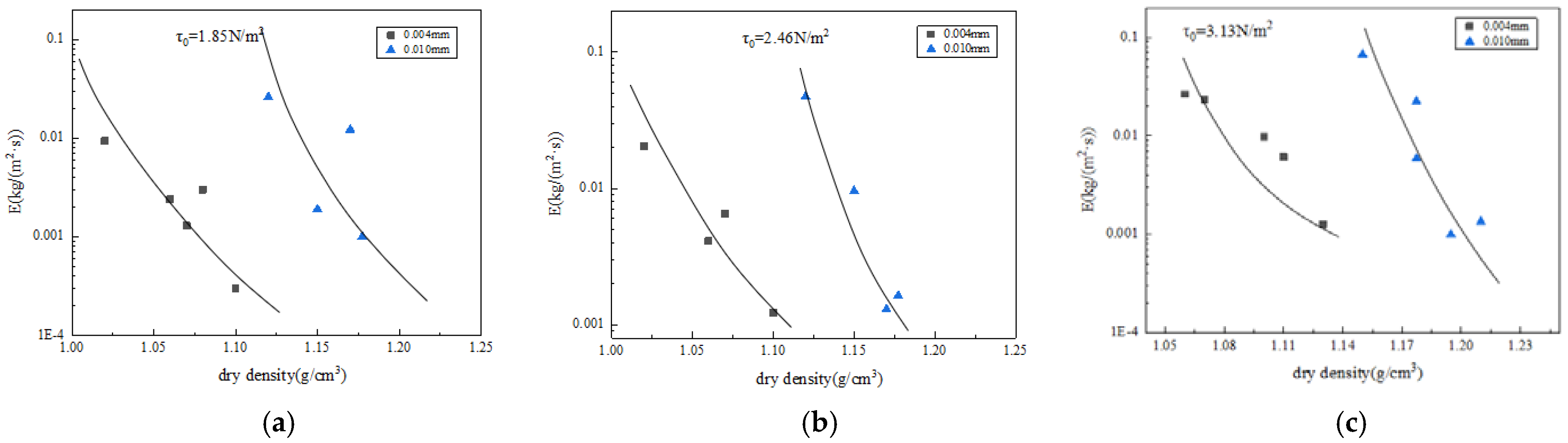
3.2.4. Effect of Dry Density on the Scouring Rate
4. Discussions
4.1. Effect of Relative Residual Shear Stress on the Scouring Rate
4.2. Study on Formula for the Scouring Rate of Cohesive Extremely Fine Sediment
5. Conclusions
Author Contributions
Funding
Institutional Review Board Statement
Informed Consent Statement
Data Availability Statement
Conflicts of Interest
References
- Jiang, E.H.; Han, Q.W.; Cao, Y.T.; Li, J.H. Sediment structure and deposition mechanism of material bedding in the riverbed of the Yellow River. Yellow River 2010, 32, 32–33. (In Chinese) [Google Scholar]
- Lu, Y.J.; Li, S.Q.; Zuo, L.Q.; Liu, H.; Roelvink, J.A. Advances in sediment transport under combined action of waves and currents. Int. J. Sediment Res. 2015, 30, 351–360. [Google Scholar] [CrossRef]
- Li, S.Q.; Lu, Y.J.; Dano, J.A. Adaptive criterion curves describing incipient motion of sediment under wave and current conditions. Int. J. Sediment Res. 2021, 36, 616–627. [Google Scholar] [CrossRef]
- Dou, G.R. Incipient motion of sediment under currents. China Ocean. Eng. 2000, 4, 391–406. [Google Scholar]
- Zhang, R.J.; Xie, J.H.; Chen, W.B. River Dynamics; China Industrial Press: Beijing, China, 1961. (In Chinese) [Google Scholar]
- Tang, C.B. Law of sediment incipience. J. Hydraul. Eng. 1963, 2, 1–12. [Google Scholar]
- Lu, J.Y. Discussion on the formula of sediment incipient velocity in the yangtze river. J. Chang. River Sci. Res. Inst. 1991, 4, 57–64. [Google Scholar]
- Hua, J.S.; Wan, Z.H. Study on the starting law of cohesive soil and cohesive soil with sand. Adv. Water Sci. 1992, 3, 271–278. [Google Scholar]
- Gao, X.J.; Wang, Q.S.; Li, Y.; Zou, F.L. Study on the erodibility of reconstituted cohesive and non-cohesive soil mixtures. Shui Li Xue Bao 2021, 52, 323–332. [Google Scholar]
- Xu, L.J.; Zhao, W.J.; Li, J.H.; Jiang, E.H.; Song, Y.J. Experimental study on influencing factors of incipient velocity of cohesive soil. Water Resour. Power 2020, 38, 121–124, 128. [Google Scholar]
- Liu, C.Y.; Lv, W.K.; Liu, Q.; Zhou, J.; Wang, Y.; Zhang, X.; Zhou, J. Analysis and calculation of sediment scouring rate at different locations of storm sewer. Water Sci. and Technol. A J. Int. Assoc. Water Pollut. Res. 2021, 84, 1340–1353. [Google Scholar] [CrossRef]
- Cao, S.Y.; Du, G.R. Experimental study on scouring and silting of cohesive soil. Sediment Study 1986, 4, 73–82. [Google Scholar]
- Li, H.G.; Yuan, M.Q.; Zhang, X.Q. Experimental study on critical incipient conditions and scour rate of sludge. J. Waterw. Harb. 1995, 3, 20–26. [Google Scholar]
- Wu, Y.Y.; Chen, G.P.; Yan, S.C.; Zhou, Y.; Zhong, X.H. Experimental study on scour rate of viscous undisturbed soil in jinjiang reclamation project. J. Waterw. Harb. 2016, 37, 635–640. [Google Scholar]
- Wu, Y.Y.; Fan, L.Y.; Chen, G.P.; Zhang, D.D.; Xu, Y.H. Experimental study on scouring characteristics of fine cohesive undisturbed soil. J. Waterw. Harb. 2017, 5, 453–457, 483. [Google Scholar]
- Wang, J. Preliminary Study on Incipient Scouring of Cohesive Sediment under Siltation Consolidation Condition; Wuhan University: Wuhan, China, 2007. (In Chinese) [Google Scholar]
- Lv, P. Experimental Study on Incipient Scouring of Cohesive Sediment; Wuhan University: Wuhan, China, 2008. (In Chinese) [Google Scholar]
- Krone, R.B. Effects of bed structure on erosion of cohesive sediments. J. Hydraul. Eng. 1999, 125, 1297–1301. [Google Scholar] [CrossRef]
- Roberts, J.; Jepsen, R.; Gotthard, D.; Lick, W. Effects of particle size and bulk density on erosion of quartz particles. J. Hydraul. Eng. 1998, 124, 1261–1267. [Google Scholar] [CrossRef]
- Sanford, L.P.; Maa, J.P.Y. A unified erosion formulation for fine sediments. Mar. Geol. 2021, 179, 9–23. [Google Scholar] [CrossRef]
- Yang, H.Y. Process and Mechanism of Bank Collapse of Meandering River under Different Bank Composites. Master’s Thesis, Changsha University of Science & Techology, Changsha, China, 2019. (In Chinese). [Google Scholar]
- Wang, J.; Zong, Q.L.; Yue, H.Y.; Liu, Z. Influence of dry-wet alternation condition on mechanical properties of riverbank soil for typical sections in Jingjiang Reach of Yangtze River. Trans. Chin. Soc. Agric. Eng. (Trans. CSAE) 2019, 35, 144–152. (In Chinese) [Google Scholar]
- Liu, Z.X.; Wang, J.; Zong, Q.L.; Zhou, Y.J. Influence of water content variation on mechanical properties of riverbank cohesive soil of jingjiang river reach. J. Yangtze River Sci. Res. Inst. 2019, 36, 32–38. (In Chinese) [Google Scholar] [CrossRef]
- Xia, J.Q.; Wang, Y.Z.; Li, T.; Li, J. Method to calculate channel migration and its application in the braided reach of the lower Yellow River. Yellow River 2019, 41, 87–95. (In Chinese) [Google Scholar] [CrossRef]
- Xia, J.Q.; Deng, S.S.; Zou, M.R.; Lin, F.F. One-dimensional coupled modeling of bed evolution and bank erosion processes in the Middle Yangtze River. Chin. Sci. Bull. 2019, 64, 725–740. (In Chinese) [Google Scholar] [CrossRef] [Green Version]
- Chen, Y.; Dong, J.L.; Cui, X.D.; Ye, R.Q. Improved experiment method for riverbank sand erosion and results analysis. Yangtze River 2021, 52, 195–201, 209. (In Chinese) [Google Scholar] [CrossRef]
- Zhang, R.J. River Sediment Dynamics; China WaterPower Press: Beijing, China, 2002. (In Chinese) [Google Scholar]
- SL 237-1999; Geotechnical Test Regulations. Water and Power Press: Beijing, China, 1999. (In Chinese)
- Hong, D.L. Study on Scouring Characteristics of Cohesive Undisturbed Soil. Ph.D. Thesis, Hehai University, Wuhan, China, 2005. (In Chinese). [Google Scholar]
- Zhao, W.J. Experimental Study on Incipient Scouring of Cohesive Sediment in the Lower Reaches of the Yellow River; North China University of Water Resources and Electric Power: Zhengzhou, China, 2020. (In Chinese) [Google Scholar]
- Wang, J.; Tan, G.M.; Shu, C.W. Summary of research on incipient scouring of cohesive fine sediment under siltation consolidation condition. J. Sediment Res. 2008, 3, 75–80. [Google Scholar]
- Yang, M.Q. The mud incipient motion formulas. J. Hydrodyn. Ser. A 1996, 11, 58–64. [Google Scholar]
- Wang, Y.W.; Yu, Q.; Gao, S. Relationship between bed shear stress and suspended sediment concentration: Annular flume experiments. Int. J. Sediment Res. 2011, 26, 513–523. [Google Scholar] [CrossRef]
- Xu, H.; Xia, Y.F.; Cai, Z.W.; Hao, S.Y.; Zhang, S.Z. Application of thermal shear stress gauge in study on wave-current dynamics. J. Exp. Fluid Mech. 2017, 31, 78–81, 93. [Google Scholar]
- Huang, W.; Liu, Y.K.; Wu, H.L.; Wan, Y.Y. Relationship between bed shear stress and suspended sediment concentration in sediment incipient motion processes. J. Sediment Res. 2016, 1, 63–67. [Google Scholar]
- Wang, Z.Y.; Huang, J.C.; Su, D.H. River scour and riverbed scour rate of clear water flow. J. Sediment Res. 1998, 1, 1–11. [Google Scholar]
- Oliver, W.; Bernhard, W. Quantification of erosion rates for undisturbed contaminated cohesive sediment cores by image analysis. Interact. Sediments Water 2003, 494, 271–276. [Google Scholar]
- Thorne, C.R.; Osman, A.M. Riverbank stability analysis II: Application. J. Hydraul. Eng. 1988, 114, 151–172. [Google Scholar] [CrossRef]
- An, X.; Pan, H.L.; Deng, Q.J.; Ou, G.Q.; Li, B.Z.; Kong, L. Experimental study on scouring rate of debris flow solid matter under runoff. Bull. Soil Water Conserv. 2020, 40, 94–100. [Google Scholar]
- Fan, J.J.; Wang, Q.S. Parameters of erosion models based on erosion test of remolded cohesive soil. J. Yangtze River Sci. Res. Inst. 2021, 38, 118–123, 131. [Google Scholar]
- Kamphuis, J.W.; Hall, K.R. Cohesive material erosion by unidirectional current. J. Hydraul. Eng. 1983, 109, 49–61. [Google Scholar] [CrossRef]
- Aberle, J.; Nikora, V.; Walters, R. Date interpretation for in stiu measurements of cohesive sediment erosion. J. Hydraul. Eng. 2006, 132, 581–588. [Google Scholar] [CrossRef]
- Wang, Y.L.; Zhang, G.G.; Zhou, S.; Meng, L. Study on critical shear stress of cohesionless uniform single sediment particle. J. Sediment Res. 2020, 45, 1–6. [Google Scholar]














| S/N | Median Size (mm) | Cohesive Particle Content (%) | Silt Particle Content (%) | Liquid Limit | Plastic Limit |
|---|---|---|---|---|---|
| Sample 1 | 0.004 | 54.0 | 42.4 | 58.39 | 30.56 |
| Sample 2 | 0.010 | 30.7 | 68.0 | 46.19 | 24.79 |
| Moisture Content ω (%) | Group | Dry Density (g/cm³) | Shear Stress (N/m2) | Incipient Shear Stress (N/m2) | Scouring Rate kg/(m2·s) |
|---|---|---|---|---|---|
| 51.20 | 1 | 1.13 | 3.13 | 2.46 | 0.0013 |
| 2 | 3.89 | 0.0057 | |||
| 3 | 4.72 | 0.0100 | |||
| 53.48 | 4 | 1.11 | 2.46 | 2.21 | 0.0007 |
| 5 | 3.13 | 0.0062 | |||
| 6 | 3.89 | 0.0139 | |||
| 54.32 | 7 | 1.10 | 2.46 | 1.85 | 0.0030 |
| 8 | 3.13 | 0.0098 | |||
| 9 | 3.89 | 0.0220 | |||
| 56.45 | 10 | 1.08 | 2.46 | 1.72 | 0.0066 |
| 11 | 3.13 | 0.0206 | |||
| 12 | 3.89 | 0.0283 | |||
| 60.76 | 13 | 1.02 | 1.33 | 1.26 | 0.0007 |
| 14 | 1.85 | 0.0094 | |||
| 15 | 2.46 | 0.0304 |
| Moisture Content ω (%) | Group | Dry Density (g/cm³) | Shear Stress (N/m2) | Incipient Shear Stress (N/m2) | Scouring Rate kg/(m2·s) |
|---|---|---|---|---|---|
| 43.66 | 1 | 1.24 | 3.89 | 3.13 | 0.0010 |
| 2 | 4.72 | 0.0021 | |||
| 3 | 5.60 | 0.0103 | |||
| 45.60 | 4 | 1.19 | 3.13 | 2.21 | 0.0008 |
| 5 | 3.89 | 0.0043 | |||
| 6 | 4.72 | 0.0142 | |||
| 48.09 | 7 | 1.18 | 1.85 | 1.64 | 0.0010 |
| 8 | 2.46 | 0.0090 | |||
| 9 | 3.13 | 0.0225 | |||
| 50.29 | 10 | 1.15 | 1.85 | 1.26 | 0.0019 |
| 11 | 2.46 | 0.0096 | |||
| 12 | 3.13 | 0.0370 | |||
| 51.54 | 13 | 1.12 | 1.33 | 0.98 | 0.0014 |
| 14 | 1.85 | 0.015 | |||
| 15 | 2.46 | 0.0280 |
Publisher’s Note: MDPI stays neutral with regard to jurisdictional claims in published maps and institutional affiliations. |
© 2022 by the authors. Licensee MDPI, Basel, Switzerland. This article is an open access article distributed under the terms and conditions of the Creative Commons Attribution (CC BY) license (https://creativecommons.org/licenses/by/4.0/).
Share and Cite
He, N.; Yang, L.; Xu, L.; Zhao, W. Experimental Study on the Scouring Rate of Cohesive Soil in the Lower Yellow River. Coatings 2022, 12, 418. https://doi.org/10.3390/coatings12030418
He N, Yang L, Xu L, Zhao W. Experimental Study on the Scouring Rate of Cohesive Soil in the Lower Yellow River. Coatings. 2022; 12(3):418. https://doi.org/10.3390/coatings12030418
Chicago/Turabian StyleHe, Na, Liuqing Yang, Linjuan Xu, and Wanjie Zhao. 2022. "Experimental Study on the Scouring Rate of Cohesive Soil in the Lower Yellow River" Coatings 12, no. 3: 418. https://doi.org/10.3390/coatings12030418
APA StyleHe, N., Yang, L., Xu, L., & Zhao, W. (2022). Experimental Study on the Scouring Rate of Cohesive Soil in the Lower Yellow River. Coatings, 12(3), 418. https://doi.org/10.3390/coatings12030418

