Optimisation of Thiourea Concentration in a Decorative Copper Plating Acid Bath Based on Methanesulfonic Electrolyte
Abstract
:1. Introduction
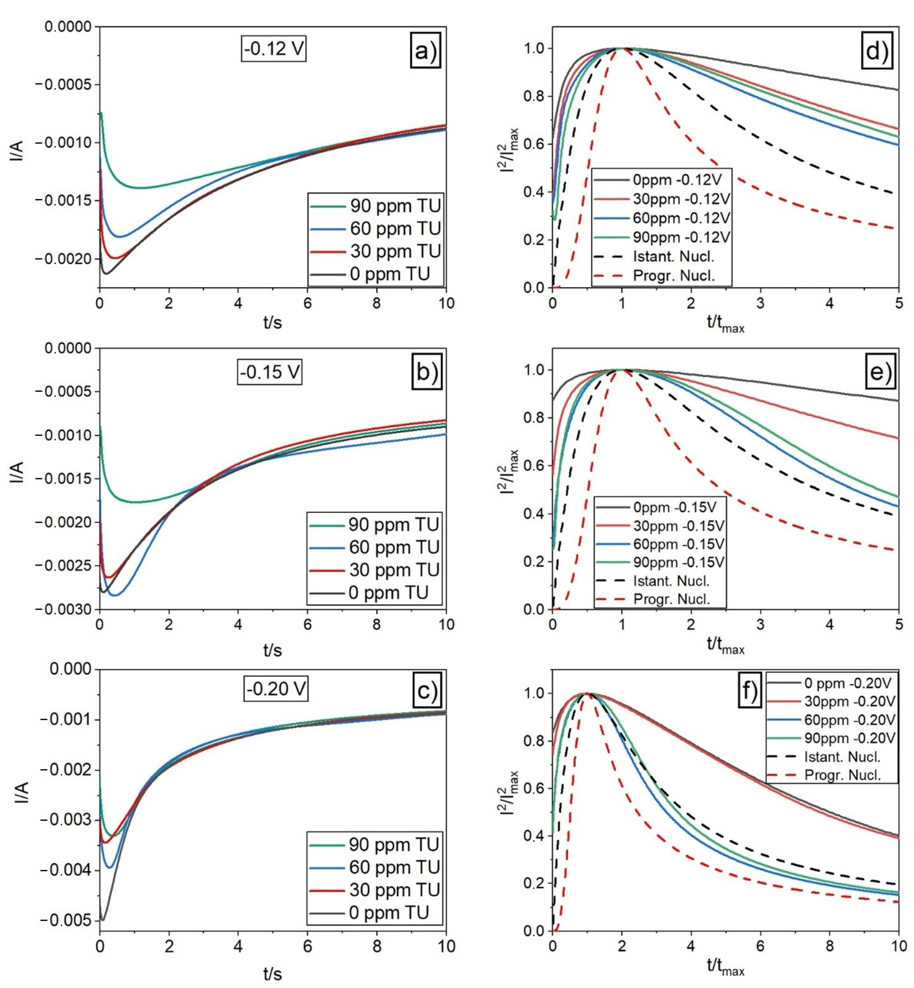
Scharifker–Hills Model
- Progressive nucleation:
- Instantaneous nucleation:
2. Materials and Methods
- OCP measurement;
- Application of a potential of +1.2 V vs. Ag/AgCl/KClsat for 120 s;
- Rotation at 2000 rpm;
- During electrode rotation, application of 3 voltametric cycles in the range –1/+1.4 V vs. Ag/AgCl/KClsat at 50 mV/s.
3. Results
3.1. Voltametric Studies
3.2. Chronoamperometric Studies
3.3. Morphological Characterisation
3.4. Film Thickness Characterisation
3.5. Copper Deposition on Metal Substrate
4. Conclusions
Author Contributions
Funding
Institutional Review Board Statement
Informed Consent Statement
Data Availability Statement
Conflicts of Interest
References
- Vizza, M.; Pappaianni, G.; Giurlani, W.; Stefani, A.; Giovanardi, R.; Innocenti, M.; Fontanesi, C. Electrodeposition of Cu on PEDOT for a Hybrid Solid-State Electronic Device. Surfaces 2021, 4, 157–168. [Google Scholar] [CrossRef]
- Giurlani, W.; Zangari, G.; Gambinossi, F.; Passaponti, M.; Salvietti, E.; Di Benedetto, F.; Caporali, S.; Innocenti, M. Electroplating for Decorative Applications: Recent Trends in Research and Development. Coatings 2018, 8, 260. [Google Scholar] [CrossRef] [Green Version]
- Gernon, M.D.; Wu, M.; Buszta, T.; Janney, P. Environmental benefits of methanesulfonic acid. Comparative properties and advantages. Green Chem. 1999, 1, 127–140. [Google Scholar] [CrossRef]
- Berretti, E.; Calisi, N.; Capaccioli, A.; Capozzoli, L.; Hamouda, A.M.S.; Giaccherini, A.; Giurlani, W.; Ienco, A.; Martinuzzi, S.; Innocenti, M.; et al. Electrodeposited white bronzes on brass: Corrosion in 3.5% sodium chloride solution. Corros. Sci. 2020, 175, 108898. [Google Scholar] [CrossRef]
- Chiang, C.-H.; Lin, C.-C.; Hu, C.-C. Effects of Thiourea and Allyl Thioura on the Electrodeposition and Microstructures of Copper from Methanesulfonic Acid Baths. J. Electrochem. Soc. 2021, 168, 032505. [Google Scholar] [CrossRef]
- Suarez, D.F.; Olson, F.A. Nodulation of electrodeposited copper in the presence of thiourea. J. Appl. Electrochem. 1992, 22, 1002–1010. [Google Scholar] [CrossRef]
- Fabricius, G.; Kontturi, K.; Sundholm, G. Influence of thiourea on the nucleation of copper from acid sulphate solutions. Electrochim. Acta 1994, 39, 2353–2357. [Google Scholar] [CrossRef]
- San Martín, V.; Sanllorente, S.; Palmero, S. Optimization of influent factors on nucleation process of copper in solutions containing thiourea using an experimental design. Electrochim. Acta 1998, 44, 579–585. [Google Scholar] [CrossRef]
- Kang, M.S.; Kim, S.-K.; Kim, K.; Kim, J.J. The influence of thiourea on copper electrodeposition: Adsorbate identification and effect on electrochemical nucleation. Thin Solid Films 2008, 516, 3761–3766. [Google Scholar] [CrossRef]
- Tantavichet, N.; Pritzker, M.D. Aspects of copper electrodeposition from acidic sulphate solutions in presence of thiourea. Trans. IMF 2006, 84, 36–46. [Google Scholar] [CrossRef]
- Venables, J.A.; Spiller, G.D.T.; Hanbucken, M. Nucleation and growth of thin films. Rep. Prog. Phys. 1984, 47, 399. [Google Scholar] [CrossRef]
- Sluyters-Rehbach, M.; Wijenberg, J.H.O.J.; Bosco, E.; Sluyters, J.H. The theory of chronoamperometry for the investigation of electrocrystallization. J. Electroanal. Chem. Interfacial Electrochem. 1987, 236, 1–20. [Google Scholar] [CrossRef]
- Scharifker, B. Theoretical and experimental studies of multiple nucleation. Electrochim. Acta 1982, 28, 879–889. [Google Scholar] [CrossRef]
- Zoski, C.G. Handbook of Electrochemistry; Elsevier: Amsterdam, The Netherlands, 2007; ISBN 9780444519580. [Google Scholar]
- Hyde, M.E.; Compton, R.G. A review of the analysis of multiple nucleation with diffusion controlled growth. J. Electroanal. Chem. 2003, 549, 1–12. [Google Scholar] [CrossRef]
- Isaev, V.A.; Grishenkova, O.V.; Zaykov, Y.P. On the theory of 3D multiple nucleation with kinetic controlled growth. J. Electroanal. Chem. 2018, 818, 265–269. [Google Scholar] [CrossRef]
- Avrami, M. Granulation, Phase Change, and Microstructure Kinetics of Phase Change. III. J. Chem. Phys. 1941, 9, 177–184. [Google Scholar] [CrossRef]
- Fabbri, L.; Sun, Y.; Piciollo, E.; Salvietti, E.; Zangari, G.; Passaponti, M.; Innocenti, M. Electrodeposition of White Bronzes on the Way to CZTS Absorber Films. J. Electrochem. Soc. 2020, 167, 022513. [Google Scholar] [CrossRef]
- Dekanski, A.; Stevanović, J.; Stevanović, R.; Nikolić, B.Ž.; Jovanović, V.M. Glassy carbon electrodes. Carbon N. Y. 2001, 39, 1195–1205. [Google Scholar] [CrossRef]
- Giurlani, W.; Berretti, E.; Lavacchi, A.; Innocenti, M. Thickness determination of metal multilayers by ED-XRF multivariate analysis using Monte Carlo simulated standards. Anal. Chim. Acta 2020, 1130, 72–79. [Google Scholar] [CrossRef]
- Giurlani, W.; Berretti, E.; Innocenti, M.; Lavacchi, A. Measuring the Thickness of Metal Coatings: A Review of the Methods. Coatings 2020, 10, 1211. [Google Scholar] [CrossRef]
- Yi, Y.; Weinberg, G.; Prenzel, M.; Greiner, M.; Heumann, S.; Becker, S.; Schlögl, R. Electrochemical corrosion of a glassy carbon electrode. Catal. Today 2017, 295, 32–40. [Google Scholar] [CrossRef]
- Krishnan, R.M.; Muralidharan, V.S. Electrochemical behaviour of Cu-NTA complexes. In Proceedings of the Indian Academy of Sciences-Chemical Sciences; Springer: Berlin/Heidelberg, Germany, 1991; Volume 103, pp. 107–118. [Google Scholar]
- Oztekin, Y.; Yazicigil, Z. Recovery of metals from complexed solutions by electrodeposition. Desalination 2006, 190, 79–88. [Google Scholar] [CrossRef]
- Wu, J.; Du, X.; He, Z.; Zhang, C.; Fu, D. Statistical investigation on the role of supporting electrolytes during NTA degradation on BDD anodes. Environ. Sci. Pollut. Res. 2016, 23, 5609–5617. [Google Scholar] [CrossRef] [PubMed]
- Bolzán, A.E.; Wakenge, I.B.; Piatti, R.C.V.; Salvarezza, R.C.; Arvia, A.J. The behaviour of copper anodes in aqueous thiourea-containing sulphuric acid solutions. Open circuit potentials and electrochemical kinetics. J. Electroanal. Chem. 2001, 501, 241–252. [Google Scholar] [CrossRef] [Green Version]
- Cofré, P.; Bustos, A. Voltammetric behaviour of the copper(II)—Thiourea system in sulphuric acid medium at platinum and glassy carbon electrodes. J. Appl. Electrochem. 1994, 24, 564–568. [Google Scholar] [CrossRef]
- Stangl, M.; Acker, J.; Oswald, S.; Uhlemann, M.; Gemming, T.; Baunack, S.; Wetzig, K. Incorporation of sulfur, chlorine, and carbon into electroplated Cu thin films. Microelectron. Eng. 2007, 84, 54–59. [Google Scholar] [CrossRef]
- Bolzán, A.E.; Haseeb, A.S.M.A.; Schilardi, P.L.; Piatti, R.C.V.; Salvarezza, R.C.; Arvia, A.J. Anodisation of copper in thiourea- and formamidine disulphide-containing acid solution. Part I. Identification of products and reaction pathway. J. Electroanal. Chem. 2001, 500, 533–542. [Google Scholar] [CrossRef]
- Kirchnerová, J.; Purdy, W.C. The mechanism of the electrochemical oxidation of thiourea. Anal. Chim. Acta 1981, 123, 83–95. [Google Scholar] [CrossRef]
- Scharifker, B.R.B.; Mostany, J. Three-dimensional nucleation with diffusion controlled growth. J. Electroanal. Chem. Interfacial Electrochem. 1984, 177, 13–23. [Google Scholar] [CrossRef]
- Heerman, L.; Tarallo, A. Theory of the chronoamperometric transient for electrochemical nucleation with diffusion-controlled growth. J. Electroanal. Chem. 1999, 470, 70–76. [Google Scholar] [CrossRef]
- Grujicic, D.; Pesic, B. Electrodeposition of copper: The nucleation mechanisms. Electrochim. Acta 2002, 47, 2901–2912. [Google Scholar] [CrossRef]
- Pise, M.; Muduli, M.; Chatterjee, A.; Kashyap, B.P.; Singh, R.N.; Tatiparti, S.S.V. Instantaneous-Progressive nucleation and growth of palladium during electrodeposition. Results Surf. Interfaces 2022, 6, 100044. [Google Scholar] [CrossRef]
- Luo, Z.; Su, Y.; Yue, S.; Yu, Q.; Zhang, H.; Zhang, J. Electrodeposition of copper nanopowder with controllable morphology: Influence of pH on the nucleation/growth mechanism. J. Solid State Electrochem. 2021, 25, 1611–1621. [Google Scholar] [CrossRef]




| E (V) | TU (ppm) | tm (s) | |Jm| (mA/cm2) | D 105 (cm2/s) | N 10−5 (cm−2) |
|---|---|---|---|---|---|
| −0.12 | 0 | 0.180 | 67.83 | 0.47 | 27.01 |
| 30 | 0.445 | 63.47 | 1.02 | 5.05 | |
| 60 | 0.575 | 57.61 | 1.09 | 3.67 | |
| 90 | 1.105 | 44.27 | 1.24 | 1.68 | |
| −0.15 | 0 | 0.095 | 89.17 | 0.43 | 56.12 |
| 30 | 0.255 | 83.85 | 1.02 | 8.81 | |
| 60 | 0.415 | 90.45 | 1.94 | 2.86 | |
| 90 | 1.021 | 56.24 | 1.84 | 1.22 | |
| −0.20 | 0 | 0.08 | 158.60 | 1.15 | 25.02 |
| 30 | 0.160 | 109.52 | 1.09 | 13.12 | |
| 60 | 0.280 | 125.38 | 2.51 | 3.27 | |
| 90 | 0.370 | 105.25 | 2.34 | 2.66 |
| TU (ppm) | Cu Thickness (µm) |
|---|---|
| 0 | 1.58 ± 0.03 |
| 30 | 1.38 ± 0.03 |
| 60 | 1.46 ± 0.06 |
| 90 | 0.98 ± 0.03 |
Publisher’s Note: MDPI stays neutral with regard to jurisdictional claims in published maps and institutional affiliations. |
© 2022 by the authors. Licensee MDPI, Basel, Switzerland. This article is an open access article distributed under the terms and conditions of the Creative Commons Attribution (CC BY) license (https://creativecommons.org/licenses/by/4.0/).
Share and Cite
Fabbri, L.; Giurlani, W.; Mencherini, G.; De Luca, A.; Passaponti, M.; Piciollo, E.; Fontanesi, C.; Caneschi, A.; Innocenti, M. Optimisation of Thiourea Concentration in a Decorative Copper Plating Acid Bath Based on Methanesulfonic Electrolyte. Coatings 2022, 12, 376. https://doi.org/10.3390/coatings12030376
Fabbri L, Giurlani W, Mencherini G, De Luca A, Passaponti M, Piciollo E, Fontanesi C, Caneschi A, Innocenti M. Optimisation of Thiourea Concentration in a Decorative Copper Plating Acid Bath Based on Methanesulfonic Electrolyte. Coatings. 2022; 12(3):376. https://doi.org/10.3390/coatings12030376
Chicago/Turabian StyleFabbri, Lorenzo, Walter Giurlani, Giulia Mencherini, Antonio De Luca, Maurizio Passaponti, Emanuele Piciollo, Claudio Fontanesi, Andrea Caneschi, and Massimo Innocenti. 2022. "Optimisation of Thiourea Concentration in a Decorative Copper Plating Acid Bath Based on Methanesulfonic Electrolyte" Coatings 12, no. 3: 376. https://doi.org/10.3390/coatings12030376
APA StyleFabbri, L., Giurlani, W., Mencherini, G., De Luca, A., Passaponti, M., Piciollo, E., Fontanesi, C., Caneschi, A., & Innocenti, M. (2022). Optimisation of Thiourea Concentration in a Decorative Copper Plating Acid Bath Based on Methanesulfonic Electrolyte. Coatings, 12(3), 376. https://doi.org/10.3390/coatings12030376

