Biosensor Based on Covalent Organic Framework Immobilized Acetylcholinesterase for Ratiometric Detection of Carbaryl
Abstract
:1. Introduction
2. Experimental Procedure
2.1. Materials and Reagents
2.2. Instruments
2.3. Preparation of COFThi-TFPB
2.4. Preparation of AChE/COFThi-TFPB/GCE
3. Results and Discussion
3.1. Characterization of COFThi-TFPB
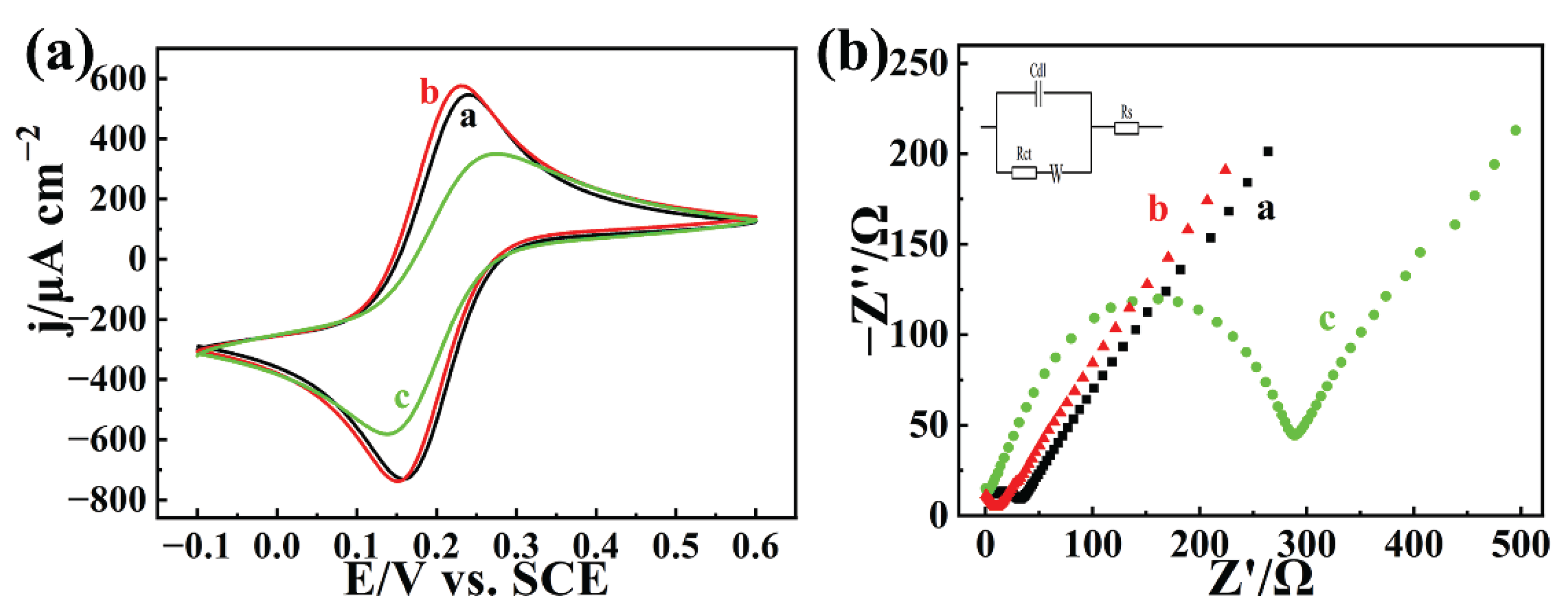
3.2. Electrochemical Behaviors of COFThi-TFPB/GCE and AChE/COFThi-TFPB/GCE
3.3. Optimization of the Experimental Conditions
3.4. Electrochemical Detection of Carbaryl Based on AChE/COFThi-TFPB/GCE
3.5. Detection of Carbaryl in Vegetable Samples
4. Conclusions
Author Contributions
Funding
Institutional Review Board Statement
Informed Consent Statement
Data Availability Statement
Conflicts of Interest
References
- Nunes, E.; Silva, M.; Rascon, J.; Leiva-Tafur, D.; Lapa, R.; Cesarino, I. Acetylcholinesterase biosensor based on functionalized renewable carbon platform for detection of carbaryl in food. Biosensors 2022, 12, 486. [Google Scholar] [CrossRef] [PubMed]
- Raymundo-Pereira, P.A.; Gomes, N.O.; Shimizu, F.M.; Machado, A.S.; Oliveira, O.N., Jr. Selective and sensitive multiplexed detection of pesticides in food samples using wearable, flexible glove-embedded non-Enzymatic Sensors. Chem. Eng. J. 2021, 408, 127279. [Google Scholar] [CrossRef]
- Paschoalin, R.T.; Gomes, N.O.; Almeida, G.F.; Bilatto, S.; Farinas, C.S.; Machado, S.A.S.; Mattoso, L.H.C.; Oliveira, O.N., Jr.; Raymundo-Pereira, P.A. Wearable sensors made with solution-blow spinning poly (lactic acid) for non-enzymatic pesticide detection in agriculture and food safety. Biosens. Bioelectron. 2022, 199, 11385. [Google Scholar] [CrossRef] [PubMed]
- Umapathi, R.; Sonwal, S.; Lee, M.; Rani, G.; Lee, E.; Jeon, T.; Kang, S.; Oh, M.; Huh, Y. Colorimetric based on-site sensing strategies for the rapid detection of pesticides in agricultural foods: New horizons, perspectives, and challenges. Coord. Chem. Rev. 2021, 446, 214061. [Google Scholar] [CrossRef]
- Jiang, W.; Liu, Y.; Ke, Z.; Zhang, L.; Zhang, M.; Zhou, Y.; Wang, H.; Wu, C.; Qiu, J.; Hong, Q. Substrate preference of carbamate hydrolase CehA reveals its environmental behavior. J. Hazard. Mater. 2021, 403, 123677. [Google Scholar] [CrossRef]
- Su, D.; Zhao, X.; Yan, X.; Han, X.; Zhu, Z.; Wang, C.; Jia, X.; Liu, F.; Sun, P.; Liu, X.; et al. Background-free sensing platform for on-site detection of carbamate pesticide through upconversion nanoparticles-based hydrogel suit. Biosens. Bioelectron. 2021, 194, 113598. [Google Scholar] [CrossRef]
- Madrigal, J.; Jones, R.; Gunier, R.; Whitehead, T.; Reynolds, P.; Metayer, C.; Ward, M. Residential exposure to carbamate, organophosphate, and pyrethroid insecticides in house dust and risk of childhood acute lymphoblastic leukemia. Environ. Res. 2021, 201, 111501. [Google Scholar] [CrossRef]
- Chen, Z.; Wu, H.; Xiao, Z.; Fu, H.; Shen, Y.; Luo, L.; Wang, H.; Lei, H.; Hongsibsong, S.; Xu, Z. Rational hapten design to produce high-quality antibodies against carbamate pesticides and development of immunochromatographic assays for simultaneous pesticide screening. J. Hazard. Mater. 2021, 412, 125241. [Google Scholar] [CrossRef]
- Wang, S.; Shi, X.; Liu, F.; Laborda, P. Chromatographic methods for detection and quantification of carbendazim in food. J. Agric. Food Chem. 2020, 68, 11880–11894. [Google Scholar] [CrossRef]
- Ruengprapavut, S.; Sophonnithiprasert, T.; Pongpoungphet, N. The effectiveness of chemical solutions on the removal of carbaryl residues from cucumber and chili presoaked in carbaryl using the HPLC technique. Food Chem. 2020, 309, 125659. [Google Scholar] [CrossRef]
- Chullasat, K.; Huang, Z.; Bunkoed, O.; Kanatharana, P.; Lee, H. Bubble-in-drop microextraction of carbamate pesticides followed by gas chromatography-mass spectrometric analysis. Microchem. J. 2020, 155, 104666. [Google Scholar] [CrossRef]
- Mao, X.; Xiao, W.; Wan, Y.; Li, Z.; Luo, D.; Yang, H. Dispersive solid-phase extraction using microporous metal-organic framework UiO-66: Improving the matrix compounds removal for assaying pesticide residues in organic and conventional vegetables. Food Chem. 2021, 345, 128807. [Google Scholar] [CrossRef] [PubMed]
- Zhang, D.; Liang, P.; Chen, W.; Tang, Z.; Li, C.; Xiao, K.; Jin, S.; Ni, D.; Yu, Z. Rapid field trace detection of pesticide residue in food based on surface-enhanced Raman spectroscopy. Microchim. Acta 2021, 188, 370. [Google Scholar] [CrossRef] [PubMed]
- Wang, S.; Shi, X.; Zhu, G.; Zhang, Y.; Jin, D.; Zhou, Y.; Liu, F.; Laborda, P. Application of surface-enhanced Raman spectroscopy using silver and gold nanoparticles for the detection of pesticides in fruit and fruit juice. Trends Food Sci. Technol. 2021, 116, 583–602. [Google Scholar] [CrossRef]
- Pu, H.; Huang, Z.; Xu, F.; Sun, D.-W. Two-dimensional self-assembled Au-Ag core-shell nanorods nanoarray for sensitive detection of thiram in apple using surface-enhanced Raman spectroscopy. Food Chem. 2020, 343, 128548. [Google Scholar] [CrossRef]
- Zha, Y.; Li, Y.; Hu, P.; Lu, S.; Ren, H.; Liu, Z.; Yang, H.; Zhou, Y. Duplex-specific nuclease-triggered fluorescence immunoassay based on dual-functionalized AuNP for acetochlor, metolachlor, and propisochlor. Anal. Chem. 2021, 93, 13886–13892. [Google Scholar] [CrossRef]
- Zhao, Y.; Ruan, X.; Song, Y.; Smith, J.; Vasylieva, N.; Hammock, B.; Lin, Y.; Du, D. Smartphone-based dual-channel immunochromatographic test strip with polymer quantum dot labels for simultaneous detection of cypermethrin and 3-phenoxybenzoic acid. Anal. Chem. 2021, 93, 13658–13666. [Google Scholar] [CrossRef]
- Li, Z.; Zhou, J.; Dong, T.; Xu, Y.; Shang, Y. Application of electrochemical methods for the detection of abiotic stress biomarkers in plants. Biosens. Bioelectron. 2021, 182, 113105. [Google Scholar] [CrossRef]
- Sinha, A.; Ma, K.; Zhao, H. 2D Ti3C2Tx flakes prepared by in-situ HF etchant for simultaneous screening of carbamate pesticides. J. Colloid Interface Sci. 2021, 590, 365–374. [Google Scholar] [CrossRef]
- Wu, J.; Yang, Q.; Li, Q.; Li, H.; Li, F. Two-Dimensional MnO2 nanozyme-mediated homogeneous electrochemical detection of organophosphate pesticides without the interference of H2O2 and color. Anal. Chem. 2021, 93, 4084–4091. [Google Scholar] [CrossRef]
- Qi, J.; Tan, D.; Wang, X.; Ma, H.; Wan, Y.; Hu, A.; Li, L.; Xiao, B.; Lu, B. A novel acetylcholinesterase biosensor with dual-recognized strategy based on molecularly imprinted polymer. Sens. Actuators B 2021, 337, 129760. [Google Scholar] [CrossRef]
- Fernandez-Ramos, M.; Ogunneye, A.; Babarinde, N.; Erenas, M.; Capitan-Vallvey, L. Bioactive microfluidic paper device for pesticide determination in waters. Talanta 2020, 218, 121108. [Google Scholar] [CrossRef] [PubMed]
- Zhu, Y.; Wang, M.; Zhang, X.; Cao, J.; She, Y.; Cao, Z.; Wang, J.; Abd El-Aty, A. Acetylcholinesterase immobilized on magnetic mesoporous silica nanoparticles coupled with fluorescence analysis for rapid detection of carbamate pesticides. ACS Appl. Nano Mater. 2022, 5, 1327–1338. [Google Scholar] [CrossRef]
- Loguercio, L.; Thesing, A.; Demingos, P.; de Albuquerque, C.; Rodrigues, R.; Brolo, A.; Santos, J. Efficient acetylcholinesterase immobilization for improved electrochemical performance in polypyrrole nanocomposite-based biosensors for carbaryl pesticide. Sens. Actuators B 2021, 339, 129875. [Google Scholar] [CrossRef]
- Zhang, Y.; Liu, X.; Qiu, S.; Zhang, Q.; Tang, W.; Liu, H.; Guo, Y.; Ma, Y.; Guo, X.; Liu, Y. A flexible acetylcholinesterase-modified graphene for chiral pesticide sensor. J. Am. Chem. Soc. 2019, 141, 14643–14649. [Google Scholar] [CrossRef]
- Li, X.; Gao, X.; Gai, P.; Liu, X.; Li, F. Degradable metal-organic framework/methylene blue composites-based homogeneous electrochemical strategy for pesticide assay. Sens. Actuators B 2020, 323, 128701. [Google Scholar] [CrossRef]
- Chen, J.; Chen, X.; Wang, P.; Liu, S.; Chi, Z. Aggregation-induced emission luminogen@manganese dioxide core-shell nanomaterial-based paper analytical device for equipment-free and visual detection of organophosphorus pesticide. J. Hazard. Mater. 2021, 413, 125306. [Google Scholar] [CrossRef]
- Montali, L.; Calabretta, M.; Lopreside, A.; D’Elia, M.; Guardigli, M.; Michelini, E. Multienzyme chemiluminescent foldable biosensor for on-site detection of acetylcholinesterase inhibitors. Biosens. Bioelectron. 2020, 162, 112232. [Google Scholar] [CrossRef]
- Yu, L.; Chang, J.; Zhuang, X.; Li, H.; Hou, T.; Li, F. Two-dimensional cobalt-doped Ti3C2 MXene nanozyme-mediated homogeneous electrochemical strategy for pesticides assay based on in situ generation of electroactive substances. Anal. Chem. 2022, 94, 3669–3676. [Google Scholar] [CrossRef]
- Zhu, H.; Liu, P.; Xu, L.; Li, X.; Hu, P.; Liu, B.; Pan, J.; Yang, F.; Niu, X. Nanozyme-participated biosensing of pesticides and cholinesterases: A critical review. Biosensors 2021, 11, 382. [Google Scholar] [CrossRef]
- Rafat, N.; Satoh, P.; Worden, R. Electrochemical biosensor for markers of neurological esterase inhibition. Biosensors 2021, 11, 459. [Google Scholar] [CrossRef] [PubMed]
- Pinyou, P.; Blay, V.; Muresan, L.; Noguer, T. Enzyme-modified electrodes for biosensors and biofuel cells. Mater. Horiz. 2019, 6, 1336–1358. [Google Scholar] [CrossRef]
- He, Y.; Hu, F.; Zhao, J.; Yang, G.; Zhang, Y.; Chen, S.; Yuan, R. Bifunctional moderator-powered ratiometric electrochemiluminescence enzymatic biosensors for detecting organophosphorus pesticides based on dual-signal combined nanoprobes. Anal. Chem. 2021, 93, 8783–8790. [Google Scholar] [CrossRef] [PubMed]
- Itsoponpan, T.; Thanachayanont, C.; Hasin, P. Sponge-like CuInS2 microspheres on reduced graphene oxide as an electrocatalyst to construct an immobilized acetylcholinesterase electrochemical biosensor for chlorpyrifos detection in vegetables. Sens. Actuators B 2021, 337, 129775. [Google Scholar] [CrossRef]
- Kadambar, V.; Bellare, M.; Bollella, P.; Katz, E.; Melman, A. Electrochemical control of the catalytic activity of immobilized enzymes. Chem. Commun. 2020, 56, 13800–13803. [Google Scholar] [CrossRef]
- Welden, M.; Poghossian, A.; Vahidpour, F.; Wendlandt, T.; Keusgen, M.; Wege, C.; Schoning, M. Towards multi-analyte detection with field-effect capacitors modified with tobacco mosaic virus bioparticles as enzyme nanocarriers. Biosensors 2022, 12, 43. [Google Scholar] [CrossRef]
- Arnold, J.; Chapman, J.; Arnold, M.; Dinu, C. Hyaluronic acid allows enzyme immobilization for applications in biomedicine. Biosensor 2022, 12, 28. [Google Scholar] [CrossRef] [PubMed]
- Yang, S.; Liu, J.; Zheng, H.; Zhong, J.; Zhou, J. Simulated revelation of the adsorption behaviours of acetylcholinesterase on charged self-assembled monolayers. Nanoscale 2020, 12, 3701–3714. [Google Scholar] [CrossRef]
- Zhang, C.; Liu, Z.; Zhang, L.; Zhu, A.; Liao, F.; Wan, J.; Zhou, J.; Tian, Y. A robust Au−C≡C functionalized surface: Toward real-time mapping and accurate quantification of Fe2+ in the brains of live AD mouse models. Angew. Chem. Int. Ed. 2020, 59, 20499–20507. [Google Scholar] [CrossRef]
- Zhong, W.; Gao, F.; Zou, J.; Liu, S.; Li, M.; Gao, Y.; Yu, Y.; Wang, X.; Lu, L. MXene@Ag-based ratiometric electrochemical sensing strategy for effective detection of carbendazim in vegetable samples. Food Chem. 2021, 360, 130006. [Google Scholar] [CrossRef]
- Yang, G.; He, Y.; Zhao, J.; Chen, S.; Yuan, R. Ratiometric electrochemiluminescence biosensor based on Ir nanorods and CdS quantum dots for the detection of organophosphorus pesticides. Sens. Actuators B 2021, 341, 130008. [Google Scholar] [CrossRef]
- Zhang, K.; Lv, S.; Tang, D. Novel 3D printed device for dual-signaling ratiometric photoelectrochemical readout of biomarker using λ-exonuclease-assisted recycling amplification. Anal. Chem. 2019, 91, 10049–10055. [Google Scholar] [CrossRef] [PubMed]
- Qiu, Z.; Shu, J.; Liu, J.; Tang, D. Dual-channel photoelectrochemical ratiometric aptasensor with up-converting nanocrystals using spatial-resolved technique on homemade 3D printed device. Anal. Chem. 2019, 91, 1260–1268. [Google Scholar] [CrossRef] [PubMed]
- Zhu, L.; Zhang, M.; Ye, J.; Yan, M.; Zhu, Q.; Huang, J.; Yang, X. Ratiometric electrochemiluminescent/electrochemical strategy for sensitive detection of microrna based on duplex-specific nuclease and multilayer circuit of catalytic hairpin assembly. Anal. Chem. 2020, 92, 8614–8622. [Google Scholar] [CrossRef] [PubMed]
- Liu, Y.; Yang, H.; Wan, R.; Khan, M.; Wang, N.; Busquets, R.; Deng, R.; He, Q.; Zhao, Z. Ratiometric G-quadruplex assay for robust lead detection in food samples. Biosensors 2021, 11, 274. [Google Scholar] [CrossRef]
- Zhang, G.; Chai, H.; Tian, M.; Zhu, S.; Qu, L.; Zhang, X. Zirconium-metalloporphyrin frameworks-luminol competitive electrochemiluminescence for ratiometric detection of polynucleotide kinase activity. Anal. Chem. 2020, 92, 7354–7362. [Google Scholar] [CrossRef]
- Wang, L.; Xie, Y.; Yang, Y.; Liang, H.; Wang, L.; Song, Y. Electroactive covalent organic frameworks/carbon nanotubes composites for electrochemical sensing. ACS Appl. Nano Mater. 2020, 3, 1412–1419. [Google Scholar] [CrossRef]
- Meng, Y.; Luo, Y.; Shi, J.; Ding, H.; Lang, X.; Chen, W.; Zheng, A.; Sun, J.; Wang, C. 2D and 3D porphyrinic covalent organic frameworks: The influence of dimensionality on functionality. Angew. Chem. Int. Ed. 2020, 59, 3624–3629. [Google Scholar] [CrossRef]
- Liu, Y.; Ma, Y.; Zhao, Y.; Sun, X.; Gandara, F.; Furukawa, H.; Liu, Z.; Zhu, H.; Zhu, C.; Suenaga, K.; et al. Weaving of organic threads into a crystalline covalent organic framework. Science 2016, 351, 365–369. [Google Scholar] [CrossRef] [Green Version]
- Liang, A.; Zhi, S.; Liu, Q.; Li, C.; Jiang, Z. A new covalent organic framework of dicyandiamide-benzaldehyde nanocatalytic amplification SERS/RRS aptamer assay for ultratrace oxytetracycline with the nanogold indicator reaction of polyethylene glycol 600 ACS. Biosensor 2021, 11, 458. [Google Scholar] [CrossRef]
- Liang, H.; Wang, L.; Yang, Y.; Song, Y.; Wang, L. A novel biosensor based on multienzyme microcapsules constructed from covalent-organic framework. Biosens. Bioelectron. 2021, 193, 113553. [Google Scholar] [CrossRef] [PubMed]
- Wu, N.; Wang, L.; Xie, Y.; Du, Y.; Song, Y.; Wang, L. Double signal ratiometric electrochemical riboflavin sensor based on macroporous carbon/electroactive thionine-contained covalent organic framework. J. Colloid Interface Sci. 2022, 608, 219–226. [Google Scholar] [CrossRef] [PubMed]
- Dong, S.; Zhang, J.; Huang, G.; Wei, W.; Huang, T. Conducting microporous organic polymer with -OH functional groups: Special structure and multi-functional integrated property for organophosphorus biosensor. Chem. Eng. J. 2021, 405, 126682. [Google Scholar] [CrossRef]
- Gutierrez-Sanchez, C.; Pita, M.; Vaz-Dominguez, C.; Shleev, S.; De Lacey, A. Gold nanoparticles as electronic bridges for laccase-based biocathodes. J. Am. Chem. Soc. 2012, 134, 17212–17220. [Google Scholar] [CrossRef]
- Cai, C.X.; Ju, H.X.; Chen, H.Y. Electrocatalysis of poly-thionine modified microband gold electrode for oxidation of reduced nicotinamide adenine dinucleotide. Chem. J. Chin. Univ. 1995, 16, 368–372. [Google Scholar]
- Liu, H.; Lu, X.; Xiao, D.; Zhou, M.; Xu, D.; Sun, L.; Song, Y. Hierarchical Cu–Co–Ni nanostructures electrodeposited on carbon nanofiber modified glassy carbon electrode: Application to glucose detection. Anal. Methods 2013, 5, 6360–6367. [Google Scholar] [CrossRef]
- Huang, J.; Zhang, Y.; Deng, X.; Li, J.; Huang, S.; Jin, X.; Zhu, X. Self-encapsulated enzyme through in-situ growth of polypyrrole for high-performance enzymatic biofuel cell. Chem. Eng. J. 2022, 429, 132148. [Google Scholar] [CrossRef]
- Wang, Y.; Zhang, X.; Zhan, Y.; Li, J.; Nie, H.; Yang, Z. Au@Fe3O4 nanocomposites as conductive bridges coupled with a bi-enzyme-aided system to mediate gap-electrical signal transduction for homogeneous aptasensor mycotoxins detection. Sens. Actuators B 2020, 321, 128553. [Google Scholar] [CrossRef]
- Zeng, R.; Huang, Z.; Wang, Y.; Tang, D. Enzyme-encapsulated DNA hydrogel for highly efficient electrochemical sensing glucose. ChemElectroChem 2020, 7, 1537–1541. [Google Scholar] [CrossRef]
- Luo, Z.; Zhang, L.; Zeng, R.; Su, L.; Tang, D. Near-infrared light-excited core–core–shell UCNP@Au@CdS upconversion nanospheres for ultrasensitive photoelectrochemical enzyme immunoassay. Anal. Chem. 2018, 90, 9568–9575. [Google Scholar] [CrossRef]
- Wang, X.; Yang, S.; Shan, J.; Bai, X. Novel electrochemical acetylcholinesterase biosensor based on core-shell covalent organic framework@multi-walled carbon nanotubes (COF@MWCNTs) composite for detection of malathion. Int. J. Electrochem. Sci. 2022, 17, 220543. [Google Scholar] [CrossRef]
- Da Silva, M.; Vanzela, H.; Defavari, L.; Cesarino, I. Determination of carbamate pesticide in food using a biosensor based on reduced graphene oxide and acetylcholinesterase enzyme. Sens. Actuators B 2018, 277, 555–561. [Google Scholar] [CrossRef] [Green Version]
- Santos, C.S.; Mossanha, R.; Pessoa, C.A. Biosensor for carbaryl based on gold modified with PAMAM-G4 dendrimer. J. Appl. Electrochem. 2015, 45, 325–334. [Google Scholar] [CrossRef]
- Gong, Z.; Guo, Y.; Sun, X.; Cao, Y.; Wang, X. Acetylcholinesterase biosensor for carbaryl detection based on interdigitated array microelectrodes. Bioprocess Biosyst. Eng. 2014, 37, 1929–1934. [Google Scholar] [CrossRef] [PubMed]
- Liu, Q.; Fei, A.; Huan, J.; Mao, H.; Wang, K. Effective amperometric biosensor for carbaryl detection based on covalent immobilization acetylcholinesterase on multiwall carbon nanotubes/graphene oxide nanoribbons nanostructure. J. Electroanal. Chem. 2015, 740, 8–13. [Google Scholar] [CrossRef]
- Sun, X.; Gong, Z.; Cao, Y.; Wang, X. Acetylcholinesterase biosensor based on poly (diallyldimethylammonium chloride)-multi-walled carbon nanotubes-graphene hybrid film. Nano-Micro Lett. 2013, 5, 47–56. [Google Scholar] [CrossRef] [Green Version]
- Cesarino, I.; Moraes, F.; Lanza, M.; Machado, S. Electrochemical detection of carbamate pesticides in fruit and vegetables with a biosensor based on acetylcholinesterase immobilised on a composite of polyaniline–carbon nanotubes. Food Chem. 2012, 135, 873–879. [Google Scholar] [CrossRef]
- Liu, B.; Xiao, B.; Cui, L. Electrochemical analysis of carbaryl in fruit samples on graphene oxide-ionic liquid composite modified electrode. J. Food Compos. Anal. 2015, 40, 14–18. [Google Scholar] [CrossRef]
- Salih, F.; Achiou, B.; Ouammou, M.; Bennazha, J.; Ouarzane, A.; Alami Younssi, S.; Rhazi, M.E. Electrochemical sensor based on low silica X zeolite modified carbon paste for carbaryl determination. J. Adv. Res. 2017, 8, 669–676. [Google Scholar] [CrossRef]
- Flavio, D.; Michele, D.; Manuel, S.; Dario, C.; Alberto, E. Press-transferred carbon black nanoparticles on board of microfluidic chips for rapid and sensitive amperometric determination of phenyl carbamate pesticides in environmental samples. Microchim. Acta 2016, 183, 3143–3149. [Google Scholar]
- Zhang, M.; Zhang, Z.; Yang, Y.; Zhang, Y.; Wang, Y.; Chen, X. Ratiometric strategy for electrochemical sensing of carbaryl residue in water and vegetable samples. Sensors 2020, 20, 1524. [Google Scholar] [CrossRef] [PubMed] [Green Version]








| Electrode | LOD (μM) | Linear Range (μM) | Reference |
|---|---|---|---|
| GC/rGO/AChE | 0.0019 | 0.2–10 | [62] |
| Au/PAMAM/GLUT/AChE | 3.2 | 1–9 | [63] |
| Nafion/AChE/CHIT/IAM | 0.004 | 0.005–5.0 | [64] |
| AChE–MWCNTs/GONRs/GCE | 0.0017 | 0.005–5.0 | [65] |
| AChE/PDDA-MWCNTs-GR/GCE | 0.001 | 0.255–14.9 | [66] |
| MWCNT/PANI/AChE | 1.4 | 9.9–49.6 | [67] |
| GO-IL/GCE | 0.02 | 0.1–12.0 | [68] |
| ZXCPE | 0.3 | 1–100 | [69] |
| CB-NP electrode | 12 | 25–125 | [70] |
| IL/CC | 1.4 | 10–75 | [71] |
| AChE/COFThi-TFPB/GCE | 0.22 | 2.2–60 | This work |
| Sample | Added (μM) | Found (μM) | Average Value (μM) | Recovery (%) | RSD (%, n = 3) | HPLC (μM) | RSD (%, n = 3) |
|---|---|---|---|---|---|---|---|
| 1 | 0 | - | - | - | - | - | |
| 2 | 5 | 4.85, 5.03, 4.96 | 4.95 | 99 | 1.8 | 4.98 | 1.8 |
| 3 | 10 | 10.2, 10.8, 9.8 | 10.27 | 102.7 | 4.9 | 10.33 | 4.9 |
| 4 | 20 | 20.7, 20.1, 20.5 | 20.4 | 102 | 1.5 | 20.45 | 1.5 |
Publisher’s Note: MDPI stays neutral with regard to jurisdictional claims in published maps and institutional affiliations. |
© 2022 by the authors. Licensee MDPI, Basel, Switzerland. This article is an open access article distributed under the terms and conditions of the Creative Commons Attribution (CC BY) license (https://creativecommons.org/licenses/by/4.0/).
Share and Cite
Luo, Y.; Wu, N.; Wang, L.; Song, Y.; Du, Y.; Ma, G. Biosensor Based on Covalent Organic Framework Immobilized Acetylcholinesterase for Ratiometric Detection of Carbaryl. Biosensors 2022, 12, 625. https://doi.org/10.3390/bios12080625
Luo Y, Wu N, Wang L, Song Y, Du Y, Ma G. Biosensor Based on Covalent Organic Framework Immobilized Acetylcholinesterase for Ratiometric Detection of Carbaryl. Biosensors. 2022; 12(8):625. https://doi.org/10.3390/bios12080625
Chicago/Turabian StyleLuo, Ying, Na Wu, Linyu Wang, Yonghai Song, Yan Du, and Guangran Ma. 2022. "Biosensor Based on Covalent Organic Framework Immobilized Acetylcholinesterase for Ratiometric Detection of Carbaryl" Biosensors 12, no. 8: 625. https://doi.org/10.3390/bios12080625
APA StyleLuo, Y., Wu, N., Wang, L., Song, Y., Du, Y., & Ma, G. (2022). Biosensor Based on Covalent Organic Framework Immobilized Acetylcholinesterase for Ratiometric Detection of Carbaryl. Biosensors, 12(8), 625. https://doi.org/10.3390/bios12080625

