Solvothermal Synthesis of Cu2ZnSnSe4 Nanoparticles and Their Visible-Light-Driven Photocatalytic Activity
Abstract
1. Introduction
2. Materials and Methods
2.1. Solvothermal Synthesis
2.2. Characterization of the CZTSe-NPs
2.3. Photodegradation of CR Azo Dye and Photocatalyst Regeneration Studies
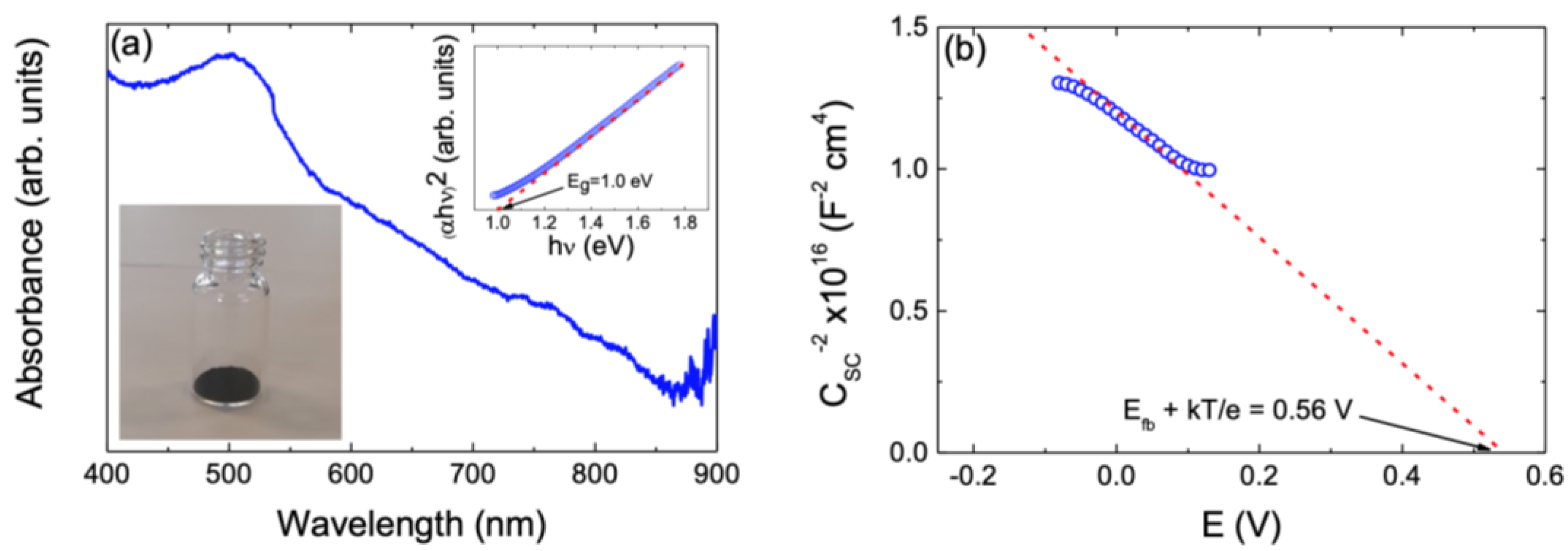
3. Results
3.1. Structural, Morphological, and Surface Chemical Study
3.2. Surface Area of the Nanoparticulate Cu2ZnSnSe4 Samples
3.3. Optoelectronic Characterization
3.4. Electrochemical Impedance Spectroscopy (EIS) Analysis
3.5. Photocatalytic Activity Evaluation
4. Conclusions
Supplementary Materials
Author Contributions
Funding
Data Availability Statement
Conflicts of Interest
References
- Pal, M.; Mathews, N.R.; Paraguay-Delgado, F.; Mathew, X. Phase Controlled Solvothermal Synthesis of Cu2ZnSnSe4, Cu2ZnSn(S,Se)4 and Cu2ZnSnSe4 Nanocrystals: The Effect of Se and S Sources on Phase Purity. Mater. Chem. Phys. 2015, 166, 201–206. [Google Scholar] [CrossRef]
- Di Bartolomeo, A.; Goubard, F.; Boerasu, I.; Stefan Vasile, B. Current Status of the Open-Circuit Voltage of Kesterite CZTS Absorber Layers for Photovoltaic Applications-Part I, a Review. Materials 2022, 15, 8427. [Google Scholar] [CrossRef] [PubMed]
- Gu, X.; Qiang, Y.; Zhao, Y.; Zhu, L. A Comparable Study on Structural and Optical Properties of Cu2ZnSnSe4 and Cu2ZnSnSe4 Nanocrystallines. In Proceedings of the International Photonics and Optoelectronics Meetings (POEM); OSA: Washington, DC, USA, 25 May 2013; p. ASa3A.18. [Google Scholar]
- Zaki, M.Y.; Sava, F.; Simandan, I.D.; Buruiana, A.T.; Bocirnea, A.E.; Stavarache, I.; Velea, A.; Galca, A.C.; Pintilie, L. From Non-Stoichiometric CTSe to Single Phase and Stoichiometric CZTSe Films by Annealing under Sn+Se Atmosphere. Ceram. Int. 2023, 49, 33692–33702. [Google Scholar] [CrossRef]
- Giraldo, S.; Jehl, Z.; Placidi, M.; Izquierdo-Roca, V.; Pérez-Rodríguez, A.; Saucedo, E. Progress and Perspectives of Thin Film Kesterite Photovoltaic Technology: A Critical Review. Adv. Mater. 2019, 31, 1806692. [Google Scholar] [CrossRef] [PubMed]
- Sankir, N.D.; Sankir, M. (Eds.) Photoelectrochemical Solar Cells; Wiley: Hoboken, NJ, USA, 2018; ISBN 9781119459934. [Google Scholar]
- Hajjiah, A. Thermal Degradation and Defect Growth in CZTSSe Photovoltaic Devices. Mater. Sci. Eng. B 2023, 298, 116913. [Google Scholar] [CrossRef]
- Wang, S.; Shen, Z.; Liu, Y.; Zhang, Y. Growth Mechanism and Properties of Nanostructure Cu2ZnSnSe4 Thin Films and Solar Cells. ACS Appl. Nano Mater. 2023, 6, 16515–16523. [Google Scholar] [CrossRef]
- Zhao, Y.; Yu, Z.; Hu, J.; Zheng, Z.; Ma, H.; Sun, K.; Hao, X.; Liang, G.; Fan, P.; Zhang, X.; et al. Over 12% Efficient Kesterite Solar Cell via Back Interface Engineering. J. Energy Chem. 2022, 75, 321–329. [Google Scholar] [CrossRef]
- Wang, A.; He, M.; Green, M.A.; Sun, K.; Hao, X. A Critical Review on the Progress of Kesterite Solar Cells: Current Strategies and Insights. Adv. Energy Mater. 2023, 13, 2203046. [Google Scholar] [CrossRef]
- He, M.; Yan, C.; Li, J.; Suryawanshi, M.P.; Kim, J.; Green, M.A.; Hao, X. Kesterite Solar Cells: Insights into Current Strategies and Challenges. Adv. Sci. 2021, 8, 2004313. [Google Scholar] [CrossRef] [PubMed]
- Sai Prasanna, M.; Imla Mary, C.; Senthilkumar, M.; Manobalaji, G.; Moorthy Babu, S. Influence of Morphology-Controlled Cu2ZnSnSe4 Nanoparticles for Environmental Remediation Process under Visible Light. Phys. Status Solidi B 2021, 259, 2100309. [Google Scholar] [CrossRef]
- Hou, X.; Li, Y.; Yan, J.-J.; Wang, C.-W. Highly Efficient Photocatalysis of P-Type Cu2ZnSnS4 under Visible-Light Illumination. Mater. Res. Bull. 2014, 60, 628–633. [Google Scholar] [CrossRef]
- Liu, F.; Zeng, Q.; Li, J.; Hao, X.; Ho-Baillie, A.; Tang, J.; Green, M.A. Emerging Inorganic Compound Thin Film Photovoltaic Materials: Progress, Challenges and Strategies. Mater. Today 2020, 41, 120–142. [Google Scholar] [CrossRef]
- Nowak, D.; Atlan, F.; Pareek, D.; Guc, M.; Perez-Rodriguez, A.; Izquierdo-Roca, V.; Gütay, L. Influence of the Precursor Composition on the Resulting Absorber Properties and Defect Concentration in Cu2ZnSnSe4 Absorbers. Sol. Energy Mater. Sol. Cells 2023, 256, 112342. [Google Scholar] [CrossRef]
- Han, Z.; Li, N.; Shi, A.; Wang, H.; Ma, F.; Lv, Y.; Wu, R. One-Pot Synthesis of Cu2ZnSnSe4 Nanoplates and Their Visible-Light-Driven Photocatalytic Activity. Nanoscale Res. Lett. 2018, 13, 7. [Google Scholar] [CrossRef] [PubMed]
- Hou, Z.; Li, Y.; Liu, J.; Shen, H.; Huo, X. The Visible Light-Driven Highly Efficient Photocatalytic Properties of Cu2ZnSnSe4 Nanoparticles Synthesized by a Hydrothermal Method. New J. Chem. 2021, 45, 1743. [Google Scholar] [CrossRef]
- Al-Tohamy, R.; Ali, S.S.; Li, F.; Okasha, K.M.; Mahmoud, Y.A.-G.; Elsamahy, T.; Jiao, H.; Fu, Y.; Sun, J. A Critical Review on the Treatment of Dye-Containing Wastewater: Ecotoxicological and Health Concerns of Textile Dyes and Possible Remediation Approaches for Environmental Safety. Ecotoxicol. Environ. Saf. 2022, 231, 113160. [Google Scholar] [CrossRef] [PubMed]
- Kerrice, B.; Aman, B.; Sapna, S. The Environmental Impacts of Fast Fashion on Water Quality: A Systematic Review. Water 2022, 14, 1073. [Google Scholar] [CrossRef]
- Kisch, H. Semiconductor Photocatalysis: Principles and Applications; Wiley-VCH: Hoboken, NJ, USA, 2015; ISBN 978-3-527-33553-4. [Google Scholar]
- Goodarzi, N.; Ashrafi-Peyman, Z.; Khani, E.; Moshfegh, A.Z. Recent Progress on Semiconductor Heterogeneous Photocatalysts in Clean Energy Production and Environmental Remediation. Catalysts 2023, 13, 1102. [Google Scholar] [CrossRef]
- Hong, J.; Cho, K.-H.; Presser, V.; Su, X. Recent Advances in Wastewater Treatment Using Semiconductor Photocatalysts. Curr. Opin. Green Sustain. Chem. 2022, 36, 100644. [Google Scholar] [CrossRef]
- Dursun, S.; Sarıipek, F.B.; Kılıç, S.; Yiğit Gezgin, S.; Gündoğdu, Y.; Kılıç, H.Ş. Investigation of Photocatalytic Activity (under Visible Light) of Ultrathin CZTS Films Produced in Different Thicknesses by PLD Method. Opt. Quantum Electron. 2023, 55, 166. [Google Scholar] [CrossRef]
- Semalti, P.; Sharma, V.; Devi, M.; Prathap, P.; Upadhyay, N.K.; Sharma, S.N. Surface Engineering of Colloidal Quaternary Chalcogenide Cu2ZnSnSe4 Nanocrystals: A Potential Low-Cost Photocatalyst for Water Remediation. Environ. Sci. Pollut. Res. 2023, 30, 79774–79788. [Google Scholar] [CrossRef] [PubMed]
- Imla Mary, C.; Senthilkumar, M.; Manobalaji, G.; Sai Prasanna, M.; Moorthy Babu, S. Effect of Different Nanostructures of Cu2ZnSnSe4 on Visible Light-Driven Photocatalytic Degradation of Organic Pollutants. J. Mater. Sci. Mater. Electron. 2022, 33, 894–906. [Google Scholar] [CrossRef]
- jain, S.; Singh, A.; Gupta, G.; Vijayan, N.; Sharma, S.N. Precursor Ratio Optimizations for the Synthesis of Colloidal CZTS Nanoparticles for Photocatalytic Degradation of Malachite Green. J. Phys. Chem. Solids 2018, 122, 8–18. [Google Scholar] [CrossRef]
- Mudike, R.; Sabbanahalli, C.; Sriramoju, J.B.; Bheemaraju, A.; Halligudra, G.; Muniyappa, M.; Narayanaswamy, M.P.; Kumar CS, A.; Shivaramu, P.D.; Rangappa, D. Copper Zinc Tin Sulfide and Multi-Walled Carbon Nanotubes Nanocomposite for Visible-Light-Driven Photocatalytic Applications. Mater. Res. Bull. 2022, 146, 111606. [Google Scholar] [CrossRef]
- Xi, Z.-H.; Zhao, Y. Fabrication of Ti3+/TNS-CZTS Heterostructures Nanosheet Arrays for Photocatalytic Enhancement. Vacuum 2022, 201, 111117. [Google Scholar] [CrossRef]
- Raza, A.; Shen, H.; Haidry, A.A.; Shahzad, M.K.; Liu, R.; Cui, S. In-Situ Synthesis of Mesoporous TiO2-Cu2ZnSnS4 Heterostructured Nanocomposite for Enhanced Photocatalytic Degradation. Appl. Surf. Sci. 2020, 505, 144540. [Google Scholar] [CrossRef]
- Semalti, P.; Sharma, V.; Sharma, S.N. A Novel Method of Water Remediation of Organic Pollutants and Industrial Wastes by Solution- Route Processed CZTS Nanocrystals. J. Mater. 2021, 7, 904–919. [Google Scholar] [CrossRef]
- Sun, K.; Zhao, X.; Zhang, Y.; Wu, D.; Zhou, X.; Xie, F.; Tang, Z.; Wang, X. Enhanced Photocarrier Separation in Novel Z-Scheme Cu2ZnSnSe4/Cu2O Heterojunction for Excellent Photocatalyst Hydrogen Generation. Mater. Chem. Phys. 2020, 251, 123172. [Google Scholar] [CrossRef]
- Hunge, Y.M.; Yadav, A.A.; Liu, S.; Mathe, V.L. Sonochemical Synthesis of CZTS Photocatalyst for Photocatalytic Degradation of Phthalic Acid. Ultrason. Sonochem. 2019, 56, 284–289. [Google Scholar] [CrossRef] [PubMed]
- Henríquez, R.; Nogales, P.S.; Moreno, P.G.; Cartagena, E.M.; Bongiorno, P.L.; Navarrete-Astorga, E.; Dalchiele, E.A. One-Step Hydrothermal Synthesis of Cu2ZnSnSe4 Nanoparticlesas an Efficient Visible Light Photocatalyst for the Degradationof Congo Red Azo Dye. Nanomaterials 2023, 13, 1731. [Google Scholar] [CrossRef] [PubMed]
- Wu, H.; Li, L.; Wang, S.; Zhu, N.; Li, Z.; Zhao, L.; Wang, Y. Recent Advances of Semiconductor Photocatalysis for Water Pollutant Treatment: Mechanisms, Materials and Applications. Phys. Chem. Chem. Phys. 2023, 25, 25899–25924. [Google Scholar] [CrossRef] [PubMed]
- Kush, P.; Deka, S. Anisotropic Kesterite Cu2ZnSnSe4 Colloidal Nanoparticles: Photoelectrical and Photocatalytic Properties. Mater. Chem. Phys. 2015, 162, 608–616. [Google Scholar] [CrossRef]
- Du, Y.-F.; Zhou, W.-H.; Zhou, Y.-L.; Li, P.-W.; Fan, J.-Q.; He, J.-J.; Wu, S.-X. Solvothermal Synthesis and Characterization of Quaternary Cu2ZnSnSe4 Particles. Mater. Sci. Semicond. Process 2012, 15, 214–217. [Google Scholar] [CrossRef]
- Shi, L.; Li, Q. Thickness Tunable Cu2ZnSnSe4 Nanosheets. CrystEngComm 2011, 13, 6507–6510. [Google Scholar] [CrossRef]
- Li, B.; Xie, Y.; Huang, J.; Qian, Y. Synthesis by a Solvothermal Route and Characterization of CuInSe2 Nanowhiskers and Nanoparticles. Adv. Mater. 1999, 11, 1456–1459. [Google Scholar] [CrossRef]
- Wei, H.; Guo, W.; Sun, Y.; Yang, Z.; Zhang, Y. Hot-Injection Synthesis and Characterization of Quaternary Cu2ZnSnSe4 Nanocrystals. Mater. Lett. 2010, 64, 1424–1426. [Google Scholar] [CrossRef]
- Zhou, Y.-L.; Zhou, W.-H.; Du, Y.-F.; Li, M.; Wu, S.-X. Sphere-like Kesterite Cu2ZnSnSe4 Nanoparticles Synthesized by a Facile Solvothermal Method. Mater. Lett. 2011, 65, 1535–1537. [Google Scholar] [CrossRef]
- Chiang, M.-H.; Fu, Y.-S.; Guo, T.-F.; Liu, H.-L.; Lin, W.-T. Effects of Zn Precursors on Solvothermal Synthesis of Cu2ZnSnSe4 Nanocrystals. Mater. Lett. 2012, 83, 192–194. [Google Scholar] [CrossRef]
- Vanalakar, S.A.; Agawane, G.L.; Kamble, A.S.; Patil, P.S.; Kim, J.H. The Green Hydrothermal Synthesis of Nanostructured Cu2ZnSnSe4 as Solar Cell Material and Study of Their Structural, Optical and Morphological Properties. Appl. Phys. A 2017, 123, 782. [Google Scholar] [CrossRef]
- Chalapathy, R.B.V.; Das, S.; Ma, J.-S.; Sung, J.-C.; Lu, C.-H. Characterization of Cu2ZnSnSe4 (CZTSe) Nanoparticles Synthesized via Solvothermal Method for Solar Cell Applications. J. Mater. Sci. Mater. Electron. 2015, 26, 7673–7682. [Google Scholar] [CrossRef]
- Liu, K.; Ji, N.; Shi, L.; Liu, H. The Phase and Morphology of Cu2ZnSnSe4 Nanopowders by Hydrothermal Method. J. Nanomater. 2014, 2014, 1–5. [Google Scholar] [CrossRef]
- Gu, X.; Zhang, S.; Zhao, Y.; Zhu, L.E.I.; Qiang, Y. A comparable study on structural and optical properties of Cu2ZnSnSe4 and Cu2ZnSnSe4 nanocrystallines. Int. J. Mod. Phys. B 2013, 28, 1450002. [Google Scholar] [CrossRef]
- Jian, L.Y.; Chyi, J.L.Y.; Talib, Z.A.; Wan Yunus, W.W.; Ashari, F.; Kee, L.H. Synthesis and Electrical Studies of Quaternary Chalcogenide Semiconductor Cu2ZnSnSe4. Mater. Sci. Forum 2016, 846, 383–387. [Google Scholar] [CrossRef]
- Yang, Y.; Ding, Y.; Zhang, J.; Liang, N.; Long, L.; Liu, J. Insight into the Growth Mechanism of Mixed Phase CZTS and the Photocatalytic Performance. Nanomaterials 2022, 12, 1439. [Google Scholar] [CrossRef] [PubMed]
- Joint Committee for Powder Diffraction Studies (JCPDS), Powder Diffraction File, File No. 00-052-0868 (Tetragonal Structure of Cu2ZnSnSe4) (1999). Available online: https://www.icdd.com/pdf-product-summary/?gad_source=1&gclid=CjwKCAjwydSzBhBOEiwAj0XN4FbYlpTR7DI1u857NqHZir-FumclEJtyMAnEPcdWnN2hsf8oCz1MLRoC-P0QAvD_BwE (accessed on 20 May 2024).
- Cullity, B.D. Elements of X-ray Diffraction, 2nd ed.; Addison-Wesley Publishing Co., Ltd.: Reading, MA, USA, 1978; Volume 100–105, pp. 277–279. [Google Scholar]
- Henríquez, R.; Vásquez, C.; Muñoz, E.; Grez, P.; Martín, F.; Ramos-Barrado, J.R.; Dalchiele, E.A. Phase-Pure Iron Pyrite (FeS2) Micro- and Nano-Sized Crystals Synthesized by Simple One-Step Microwave-Assisted Hydrothermal Method. Phys. E Low. Dimens. Syst. Nanostruct. 2020, 118, 113881. [Google Scholar] [CrossRef]
- Patil, R.M.; Nagapure, D.R.; Mary, G.S.; Chandra, G.H.; Sunil, M.A.; Subbaiah, Y.P.V.; Prathap, P.; Gupta, M.; Rao, R.P. Low Temperature Crystallization of Cu2ZnSnSe4 Thin Films Using Binary Selenide Precursors. J. Mater. Sci. Mater. Electron. 2017, 28, 18244–18253. [Google Scholar] [CrossRef]
- Muslih, E.Y.; Bin Rafiq, K.S.; Hossain, M.I.; Shahiduzzaman, M.; Rashid, M.J.; Rahman, T.; Munir, B.; Althubeiti, K.; Alkhammash, H.I.; Abdullah, H.; et al. Growth and Reaction Mechanism of Solution-Processed Cu2ZnSnSe4 Thin Films for Realising Efficient Photovoltaic Applications. J. Alloys Compd. 2022, 900, 163457. [Google Scholar] [CrossRef]
- Sahu, M.; Reddy, V.; Reddy, M.; Patro, B.; Park, C.; Kim, W.K.; Sharma, P. Synthesis and Characterization of Cu2ZnSnSe4 by Non-Vacuum Method for Photovoltaic Applications. Nanomaterials 2022, 12, 1503. [Google Scholar] [CrossRef] [PubMed]
- NIST XPS Database. Available online: https://srdata.nist.gov/xps/main_search_menu.aspx (accessed on 11 March 2024).
- Attard, G.; Barnes, C. Surfaces; Oxford University Press: Bath, UK, 1998. [Google Scholar]
- Sing, K.S.W.; Everett, D.H.; Haul, R.A.W.; Moscou, L.; Pierotti, R.A.; Rouquérol, J.; Siemieniewska, T. Reporting Physisorption Data for Gas/Solid Systems with Special Reference to the Determination of Surface Area and Porosity. Pure Appl. Chem. 1985, 57, 603–619. [Google Scholar] [CrossRef]
- Kush, P.; Deka, S. Photoelectrical Properties of Surfactant-Free Kesterite Cu2ZnSnSe4 Hydrophilic Nanocrystal Ink and the Stability in Polar Solvents. J. Nanoparticle Res. 2014, 16, 2600. [Google Scholar] [CrossRef]
- Pankove, J.I.; Kiewit, D.A. Optical Processes in Semiconductors. J. Electrochem. Soc. 1972, 119, 156Ca. [Google Scholar] [CrossRef]
- Kumarage, W.G.C.; Wijesundera, R.P.; Seneviratne, V.A.; Jayalath, C.P.; Dassanayake, B.S. Tunable Optoelectronic Properties of CBD-CdS Thin Films via Bath Temperature Alterations. J. Phys. D Appl. Phys. 2016, 49, 95109. [Google Scholar] [CrossRef]
- Liu, W.; Wu, M.; Yan, L.; Zhou, R.; Si, S.; Zhang, S.; Zhang, Q. Noninjection Synthesis and Characterization of Cu2ZnSnSe4 Nanocrystals in Triethanolamine Reaction Media. Mater. Lett. 2011, 65, 2554–2557. [Google Scholar] [CrossRef]
- Nakayasu, Y.; Tomai, T.; Oka, N.; Honma, I. Controllable Bandgap of Cu2ZnSn(S,Se)4 Thin Films via Simultaneous Supercritical Fluid Chalcogenization. Appl. Phys. Express 2015, 8, 021201. [Google Scholar] [CrossRef]
- Lee, S.F.; Jimenez-Relinque, E.; Martinez, I.; Castellote, M. Effects of Mott-Schottky Frequency Selection and Other Controlling Factors on Flat-Band Potential and Band-Edge Position Determination of TiO2. Catalysts 2023, 13, 1000. [Google Scholar] [CrossRef]
- Henry, J.; Nagarajan, S.; Sivakumar, G.; Mohanraj, K. Fabrication of Vacuum Evaporated (Cu1-XAgx)2ZnSnSe4 Thin-Film Photovoltaic Devices and Its Photoconversion Efficiency. Arab. J. Sci. Eng. 2023, 48, 291–309. [Google Scholar] [CrossRef]
- Zhang, X.; Yao, B.; Li, Y.; Ding, Z.; Zhao, H.; Zhang, L.; Zhang, Z. Influence of WSe2 Buffer Layer at Back Electrode on Performance of Cu2ZnSn(S,Se)4 Solar Cells. Sol. Energy 2020, 199, 128–135. [Google Scholar] [CrossRef]
- Heidariramsheh, M.; Haghighi, M.; Dabbagh, M.M.; Mahdavi, S.M. Pure Sulfide Cu2ZnSnSe4 Layers through a One-Step Low-Temperature PLD Technique: Insight into Simulation on Modified Back Contact to Overcome the Barrier of MoS2. Mater. Sci. Eng. B 2020, 262, 114701. [Google Scholar] [CrossRef]
- Jeong, W.-L.; Lee, D.-S. Morphological Control of Cu2ZnSn(S,Se)4 Absorber Films via Inverted Annealing for High-Performance Solar Cells. Appl. Surf. Sci. 2020, 534, 147610. [Google Scholar] [CrossRef]
- Chen, H.; Yu, S.-M.; Shin, D.-W.; Yoo, J.-B. Solvothermal Synthesis and Characterization of Chalcopyrite CuInSe2 Nanoparticles. Nanoscale Res. Lett. 2009, 5, 217. [Google Scholar] [CrossRef] [PubMed]
- Henry, J.; Mohanraj, K.; Sivakumar, G. Photoelectrochemical Cell Performances of Cu2ZnSnSe4 Thin Films Deposited on Various Conductive Substrates. Vacuum 2018, 156, 172–180. [Google Scholar] [CrossRef]
- Lee, P.-Y.; Chang, S.-P.; Chang, S.-J. Photoelectrochemical Characterization of N-Type and p-Type Thin-Film Nanocrystalline Cu2ZnSnSe4 Photocathodes. J. Environ. Chem. Eng. 2015, 3, 297–303. [Google Scholar] [CrossRef]
- Yuan, S.-J.; Zhou, Z.-J.; Hou, Z.-L.; Zhou, W.-H.; Yao, R.-Y.; Zhao, Y.; Wu, S.-X. Enhanced Performance of Dye-Sensitized Solar Cells Using Solution-Based In Situ Synthesis and Fabrication of Cu2ZnSnSe4 Nanocrystal Counter Electrode. Chem.—A Eur. J. 2013, 19, 10107–10110. [Google Scholar] [CrossRef] [PubMed]
- Liu, J.; Shen, Q.; Liu, Z.; Gao, X.; Zhang, Z.; Liu, X.; Cheng, K.; Du, Z. In Situ Electrochemical Treatment Evoked Superior Grain Growth for Green Electrodeposition-Processed Flexible CZTSe Solar Cells. ACS Appl. Mater. Interfaces 2021, 13, 31852–31860. [Google Scholar] [CrossRef] [PubMed]
- Zeng, X.; Zhang, W.; Xie, Y.; Xiong, D.; Chen, W.; Xu, X.; Wang, M.; Cheng, Y.-B. Low-Cost Porous Cu2ZnSnSe4 Film Remarkably Superior to Noble Pt as Counter Electrode in Quantum Dot-Sensitized Solar Cell System. J. Power Sources 2013, 226, 359–362. [Google Scholar] [CrossRef]
- Hitkari, G.; Chowdhary, P.; Kumar, V.; Singh, S.; Motghare, A. Potential of Copper-Zinc Oxide Nanocomposite for Photocatalytic Degradation of Congo Red Dye. Clean. Chem. Eng. 2022, 1, 100003. [Google Scholar] [CrossRef]
- Jo, W.-K.; Kumar, S.; Isaacs, M.A.; Lee, A.F.; Karthikeyan, S. Cobalt Promoted TiO2/GO for the Photocatalytic Degradation of Oxytetracycline and Congo Red. Appl. Catal. B 2017, 201, 159–168. [Google Scholar] [CrossRef]
- Guo, H.; Lin, K.; Zheng, Z.; Xiao, F.; Li, S. Sulfanilic Acid-Modified P25 TiO2 Nanoparticles with Improved Photocatalytic Degradation on Congo Red under Visible Light. Dye. Pigment. 2012, 92, 1278–1284. [Google Scholar] [CrossRef]
- Zhu, H.; Jiang, R.; Xiao, L.; Chang, Y.; Guan, Y.; Li, X.; Zeng, G. Photocatalytic Decolorization and Degradation of Congo Red on Innovative Crosslinked Chitosan/Nano-CdS Composite Catalyst under Visible Light Irradiation. J. Hazard. Mater. 2009, 169, 933–940. [Google Scholar] [CrossRef]
- Wei, S.; Hu, X.; Liu, H.; Wang, Q.; He, C. Rapid Degradation of Congo Red by Molecularly Imprinted Polypyrrole-Coated Magnetic TiO2 Nanoparticles in Dark at Ambient Conditions. J. Hazard. Mater. 2015, 294, 168–176. [Google Scholar] [CrossRef] [PubMed]
- Balakrishnan, A.; Gopalram, K.; Appunni, S. Photocatalytic Degradation of 2,4-Dicholorophenoxyacetic Acid by TiO2 Modified Catalyst: Kinetics and Operating Cost Analysis. Environ. Sci. Pollut. Res. 2021, 28, 33331–33343. [Google Scholar] [CrossRef] [PubMed]
- Aisien, F.A.; Amenaghawon, N.A.; Urhobotie, O.I. Potential Application of a Locally Sourced Photocalatyst for the Photocatalytic Decolourisation of Methyl Orange in Aqueous Solution. J. Eng. Sci. Technol. 2015, 10, 1641–1653. [Google Scholar]








| Rs (Ω) | CPE1 | Rdl (Ω) | CPE2 | Rct (Ω) | L1 (H) | ||
|---|---|---|---|---|---|---|---|
| Q1 b (sα1Ω−1) | α1 | Q2 b (sα2Ω−1) | α2 | ||||
| 50.08 | 5.94 × 10−5 | 0.9 | 3 × 103 | 9.654 × 10−5 | 1.0 | 5.634 × 103 | 38.07 |
Disclaimer/Publisher’s Note: The statements, opinions and data contained in all publications are solely those of the individual author(s) and contributor(s) and not of MDPI and/or the editor(s). MDPI and/or the editor(s) disclaim responsibility for any injury to people or property resulting from any ideas, methods, instructions or products referred to in the content. |
© 2024 by the authors. Licensee MDPI, Basel, Switzerland. This article is an open access article distributed under the terms and conditions of the Creative Commons Attribution (CC BY) license (https://creativecommons.org/licenses/by/4.0/).
Share and Cite
Henríquez, R.; Salazar Nogales, P.; Grez Moreno, P.; Muñoz Cartagena, E.; Leyton Bongiorno, P.; Zerega Garate, P.; Navarrete-Astorga, E.; Dalchiele, E.A. Solvothermal Synthesis of Cu2ZnSnSe4 Nanoparticles and Their Visible-Light-Driven Photocatalytic Activity. Nanomaterials 2024, 14, 1079. https://doi.org/10.3390/nano14131079
Henríquez R, Salazar Nogales P, Grez Moreno P, Muñoz Cartagena E, Leyton Bongiorno P, Zerega Garate P, Navarrete-Astorga E, Dalchiele EA. Solvothermal Synthesis of Cu2ZnSnSe4 Nanoparticles and Their Visible-Light-Driven Photocatalytic Activity. Nanomaterials. 2024; 14(13):1079. https://doi.org/10.3390/nano14131079
Chicago/Turabian StyleHenríquez, Rodrigo, Paula Salazar Nogales, Paula Grez Moreno, Eduardo Muñoz Cartagena, Patricio Leyton Bongiorno, Pablo Zerega Garate, Elena Navarrete-Astorga, and Enrique A. Dalchiele. 2024. "Solvothermal Synthesis of Cu2ZnSnSe4 Nanoparticles and Their Visible-Light-Driven Photocatalytic Activity" Nanomaterials 14, no. 13: 1079. https://doi.org/10.3390/nano14131079
APA StyleHenríquez, R., Salazar Nogales, P., Grez Moreno, P., Muñoz Cartagena, E., Leyton Bongiorno, P., Zerega Garate, P., Navarrete-Astorga, E., & Dalchiele, E. A. (2024). Solvothermal Synthesis of Cu2ZnSnSe4 Nanoparticles and Their Visible-Light-Driven Photocatalytic Activity. Nanomaterials, 14(13), 1079. https://doi.org/10.3390/nano14131079

