Coexistent VO2 (M) and VO2 (B) Polymorphous Thin Films with Multiphase-Driven Insulator–Metal Transition
Abstract
1. Introduction
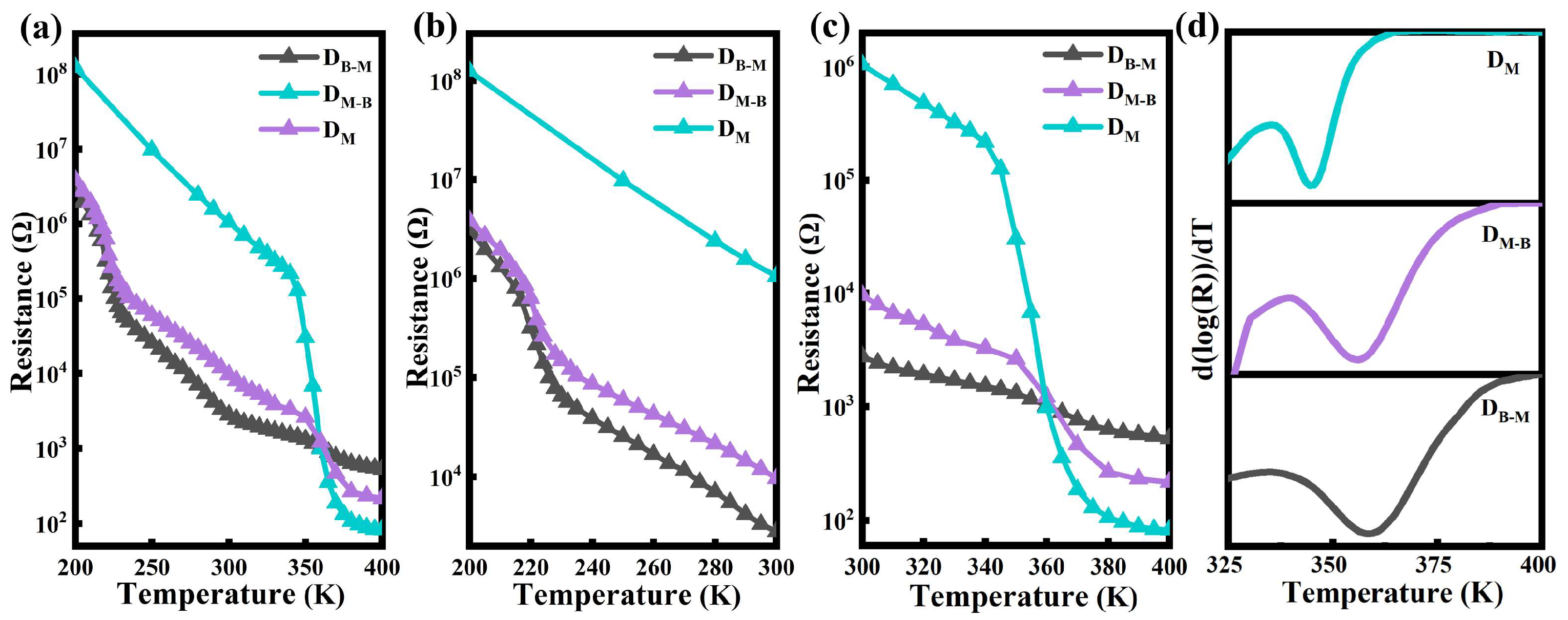
2. Results and Discussion
3. Conclusions
4. Experimental Section
Supplementary Materials
Author Contributions
Funding
Data Availability Statement
Conflicts of Interest
References
- Kalinin, S.V.; Spaldin, N.A. Functional ion defects in transition metal oxides. Science 2013, 341, 858–859. [Google Scholar] [CrossRef] [PubMed]
- Parida, P.; Kashikar, R.; Jena, A.; Nanda, B. Universality in the electronic structure of 3d transition metal oxides. J. Phys. Chem. Solids 2018, 123, 133–149. [Google Scholar] [CrossRef]
- Mizokawa, T.; Fujimori, A. Electronic structure and orbital ordering in perovskite-type 3d transition-metal oxides studied by Hartree-Fock band-structure calculations. Phys. Rev. B 1996, 54, 5368–5380. [Google Scholar] [CrossRef] [PubMed]
- Deka, S. Nanostructured Mixed Transition Metal Oxide Spinels for Supercapacitor Application. Dalton Trans. 2023, 52, 839–856. [Google Scholar] [CrossRef]
- Nandagudi, A.; Nagarajarao, S.H.; Santosh, M.S.; Basavaraja, B.M.; Malode, S.J.; Mascarenhas, R.J.; Shetti, N.P. Hydrothermal synthesis of transition metal oxides, transition metal oxide/carbonaceous material nanocomposites for supercapacitor applications. Mater. Today Sustain. 2022, 19, 100214. [Google Scholar] [CrossRef]
- Zhou, W.; Feng, Z.; Xiong, Y.; Du, G.; Lin, X.; Su, Q.; Lou, Y.; An, S.; You, Y. Visualization of Ferroelectric Domains in Thin Films of Molecular Materials Using Confocal Micro-Raman Spectroscopy. Chem. Res. Chin. Univ. 2022, 38, 1394–1399. [Google Scholar] [CrossRef]
- Li, L.; Zhou, B.; Gao, L.; Jiang, K.; Zhu, L.; Zhang, J.; Hu, Z.; Chu, J. Influence of oxygen partial pressure on the optical properties of β-Ga2O3-δ films deposited by pulsed laser deposition. J. Infrared Millim. W. 2022, 41, 279–284. [Google Scholar]
- Mohammadinejad, A.; Abouzari-Lotf, E.; Aleyaghoob, G.; Rezayi, M.; Oskuee, R.K. Application of a transition metal oxide/carbon-based nanocomposite for designing a molecularly imprinted poly (l-cysteine) electrochemical sensor for curcumin. Food Chem. 2022, 386, 132845. [Google Scholar] [CrossRef]
- Bhardwaj, A.; Kim, I.H.; Hong, J.W.; Kumar, A.; Song, S.J. Transition metal oxide (Ni, Co, Fe)-tin oxide nanocomposite sensing electrodes for a mixed-potential based NO2 sensor. Sens. Actuators B Chem. 2019, 284, 534–544. [Google Scholar] [CrossRef]
- Ahmad, S.; Ayoub, M.H.; Khan, A.M.; Waseem, A.; Yasir, M.; Khan, M.S.; Bajwa, T.M.; Shaikh, A.J. Diverse comparative studies for preferential binding of graphene oxide and transition metal oxide nanoparticles. Colloids Surf. A Physicochem. Eng. Asp. 2022, 647, 129057. [Google Scholar] [CrossRef]
- Ganesamurthi, J.; Shanmugam, R.; Chen, S.M.; Alagumalai, K.; Balamurugan, M.; Yu, Y.Y. Binary transition metal oxide based electrochemical sensor for the evaluation of chlorogenic acid in rea-time samples. Mater. Chem. Phys. 2022, 292, 126757. [Google Scholar] [CrossRef]
- Wang, X.; Gong, X.; Chen, L.; Li, S.; Xie, J.; Liu, Y. Ti3C2 supported transition metal oxides and silver as catalysts toward efficient electricity generation in microbial fuel cells. Catal. Sci. Technol. 2021, 11, 4823–4830. [Google Scholar] [CrossRef]
- Poges, S.; Dutta, B.; Khanna, H.; Moharreri, E.; Aindow, M.; Suib, S.L. Cross Sectional Analysis of Cation Doped Transition Metal Oxide Mesoporous Catalyst Materials. Microsc. Microanal. 2017, 23, 292–293. [Google Scholar] [CrossRef]
- Gu, H.; Lan, J.; Liu, Y.; Ling, C.; Wei, K.; Zhan, G.; Guo, F.; Jia, F.; Ai, Z.; Zhang, L. Water enables lattice oxygen activation of transition metal oxides for volatile organic compound oxidation. ACS Catal. 2022, 12, 11272–11280. [Google Scholar] [CrossRef]
- Ciotonea, C.; Mazilu, I.; Dragoi, B.; Catrinescu, C.; Dumitriu, E.; Ungureanu, A.; Alamdari, H.; Petit, S.; Royer, S. Confining for stability: Heterogeneous catalysis with Transition Metal (Oxide) Nanoparticles confined in the secondary pore network of mesoporous scaffolds. ChemNanoMat 2017, 3, 233–237. [Google Scholar] [CrossRef]
- Mjejri, I.; Etteyeb, N.; Somrani, S.; Sediri, F. Tetragonal pencil-like VO2(R) as electrode materials for high-performance redox activities. Ceram. Int. 2016, 42, 6121–6128. [Google Scholar] [CrossRef]
- Zhang, Y.; Wang, X.; Zhou, Y.; Lai, H.; Liu, P.; Chen, H.; Wang, X.; Xie, W. Highly Sensitive and Ultra-Broadband VO2(B) Photodetector Dominated by Bolometric Effect. Nano Lett. 2021, 22, 485–493. [Google Scholar] [CrossRef]
- Chen, Y.; Ma, S.; Li, X.; Zhao, X.; Cheng, X.; Liu, J. Preparation and microwave absorption properties of microsheets VO2(M). J. Alloy. Compd. 2019, 791, 307–315. [Google Scholar] [CrossRef]
- Strelcov, E.; Lilach, Y.; Kolmakov, A. Gas sensor based on metal-insulator transition in VO2 nanowire thermistor. Nano Lett. 2009, 9, 2322–2326. [Google Scholar] [CrossRef]
- Kasırga, T.S.; Sun, D.; Park, J.H.; Coy, J.M.; Fei, Z.; Xu, X.; Cobden, D.H. Photoresponse of a strongly correlated material determined by scanning photocurrent microscopy. Nat. Nanotechnol. 2012, 7, 723–727. [Google Scholar] [CrossRef]
- Hu, X.; Zhao, Z.; Wang, L.; Li, J.; Wang, C.; Zhao, Y.; Jin, H. VO2(A)/graphene nanostructure: Stand up to Na ion intercalation/deintercalation for enhanced electrochemical performance as a Na-ion battery cathode. Electrochim. Acta 2019, 293, 97–104. [Google Scholar] [CrossRef]
- Polewczyk, V.; Chaluvadi, S.; Orgiani, P.; Panaccione, G.; Vinai, G.; Rossi, G.; Torelli, P. Tuning the magnetic properties of V2O3/CoFeB heterostructures across the V2O3 structural transition. Phys. Rev. Mater. 2021, 5, 034413. [Google Scholar] [CrossRef]
- Mazzola, F.; Chaluvadi, S.K.; Polewczyk, V.; Mondal, D.; Fujii, J.; Rajak, P.; Islam, M.; Ciancio, R.; Barba, L.; Fabrizio, M. Disentangling Structural and Electronic Properties in V2O3 Thin Films: A Genuine Nonsymmetry Breaking Mott Transition. Nano Lett. 2022, 22, 5990–5996. [Google Scholar] [CrossRef] [PubMed]
- Morin, F. Oxides which show a metal-to-insulator transition at the Neel temperature. Phys. Rev. Lett. 1959, 3, 34–36. [Google Scholar] [CrossRef]
- Rodríguez, L.; Sandiumenge, F.; Frontera, C.; Caicedo, J.M.; Padilla, J.; Catalán, G.; Santiso, J. Strong strain gradients and phase coexistence at the metal-insulator transition in VO2 epitaxial films. Acta Mater. 2021, 220, 117336. [Google Scholar] [CrossRef]
- Choi, S.; Son, J.; Oh, J.; Lee, J.-H.; Jang, J.H.; Lee, S. Sharp contrast in the electrical and optical properties of vanadium Wadsley (VmO2m+1, m>1) epitaxial films selectively stabilized on (111)-oriented Y-stabilized ZrO2. Phys. Rev. Mater. 2019, 3, 063401. [Google Scholar] [CrossRef]
- Kumar, M.; Kim, Y.; Lee, H.H. Temperature dependent structural, electrical and electronic investigation of VO2(B) thin film. Curr. Appl. Phys. 2021, 30, 85–90. [Google Scholar] [CrossRef]
- Choi, S.; Chang, S.J.; Oh, J.; Jang, J.H.; Lee, S. Electrical and Optical Properties of VO2 Polymorphic Films Grown Epitaxially on Y-Stabilized ZrO2. Adv. Electron. Mater. 2018, 4, 1700620. [Google Scholar] [CrossRef]
- Majid, S.S.; Ahad, A.; Rahman, F.; Sathe, V.; Shukla, D. Unveiling the Role of VO2(B) Polymorph in the Insulator-Metal Transition of VO2(M1) Thin Films. Phys. Status Solidi B 2022, 259, 2200108. [Google Scholar] [CrossRef]
- Wentzcovitch, R.M.; Schulz, W.W.; Allen, P.B. VO2: Peierls or Mott-Hubbard? A view from band theory. Phys. Rev. Lett. 1994, 72, 3389–3392. [Google Scholar] [CrossRef]
- Wang, S.; Wei, W.; Huang, T.; Zhang, T.; Chen, Z.; Chen, X.; Dai, N. Nonstoichiometric Oxygen-Dependent Microstructures and Phase Transitions in Post-Annealed Vanadium Dioxides. Adv. Eng. Mater. 2019, 21, 1801374. [Google Scholar] [CrossRef]
- Gu, D.; Li, Y.; Zhou, X.; Xu, Y. Facile fabrication of composite vanadium oxide thin films with enhanced thermochromic properties. ACS Appl. Mater. Interfaces 2019, 11, 37617–37625. [Google Scholar] [CrossRef] [PubMed]
- Wang, S.; Wei, W.; Huang, T.; Yuan, M.; Yang, Y.; Yang, W.; Zhang, R.; Zhang, T.; Chen, Z.; Chen, X. Al-Doping-Induced VO2(B) Phase in VO2(M) Toward Smart Optical Thin Films with Modulated ΔTvis and ΔTc. Adv. Eng. Mater. 2019, 21, 1900947. [Google Scholar] [CrossRef]
- Chen, A.; Bi, Z.; Zhang, W.; Jian, J.; Jia, Q.; Wang, H. Textured metastable VO2(B) thin films on SrTiO3 substrates with significantly enhanced conductivity. Appl. Phys. Lett. 2014, 104, 071909. [Google Scholar] [CrossRef]
- Humphreys, C. The significance of Bragg’s law in electron diffraction and microscopy, and Bragg’s second law. Acta Crystallogr. A Found. Adv. 2013, 69, 45–50. [Google Scholar] [CrossRef]
- Liu, H.; Wan, D.; Ishaq, A.; Chen, L.; Guo, B.; Shi, S.; Luo, H.; Gao, Y. Sputtering deposition of sandwich-structured V2O5/metal (V, W)/V2O5 multilayers for the preparation of high-performance thermally sensitive VO2 thin films with selectivity of VO2(B) and VO2(M) polymorph. ACS Appl. Mater. Interfaces 2016, 8, 7884–7890. [Google Scholar] [CrossRef]
- Leroux, C.; Nihoul, G.; Van Tendeloo, G. From VO2(B) to VO2(R): Theroretical structures of VO2 polymorphs and in situ electron microscopy. Phys. Rev. B 1999, 57, 5111–5121. [Google Scholar] [CrossRef]
- Biesinger, M.C.; Payne, B.P.; Grosvenor, A.P.; Lau, L.W.; Gerson, A.R.; Smart, R.S.C. Resolving surface chemical states in XPS analysis of first row transition metals, oxides and hydroxides: Cr, Mn, Fe, Co and Ni. Appl. Surf. Sci. 2011, 257, 2717–2730. [Google Scholar] [CrossRef]
- Miao, P.; Wu, J.; Du, Y.; Sun, Y.; Xu, P. Phase transition induced Raman enhancement on vanadium dioxide (VO2) nanosheets. J. Mater. Chem. C 2018, 6, 10855–10860. [Google Scholar] [CrossRef]
- Shvets, P.; Dikaya, O.; Maksimova, K.; Goikhman, A. A review of Raman spectroscopy of vanadium oxides. J. Raman Spectrosc. 2019, 50, 1226–1244. [Google Scholar] [CrossRef]
- Shi, R.; Chen, Y.; Cai, X.; Lian, Q.; Zhang, Z.; Shen, N.; Amini, A.; Wang, N.; Cheng, C. Phase management in single-crystalline vanadium dioxide beams. Nat. Commun. 2021, 12, 34244501. [Google Scholar] [CrossRef]
- Bersani, D.; Lottici, P.; Montenero, A. Micro-Raman investigation of iron oxide films and powders produced by sol-gel syntheses. J. Raman Spectrosc. 1999, 30, 355–360. [Google Scholar] [CrossRef]
- Lee, S.; Sun, X.-G.; Lubimtsev, A.A.; Gao, X.; Ganesh, P.; Ward, T.Z.; Eres, G.; Chisholm, M.F.; Dai, S.; Lee, H.N. Persistent electrochemical performance in epitaxial VO2(B). Nano Lett. 2017, 17, 2229–2233. [Google Scholar] [CrossRef]
- Oka, Y.; Yao, T.; Yamamoto, N.; Ueda, Y.; Hayashi, A. Phase transition and V4+-V4+ pairing in VO2 (B). J. Solid State Chem. 1993, 105, 271–278. [Google Scholar] [CrossRef]
- Muraoka, Y.; Hiroi, Z. Metal-insulator transition of VO2 thin films grown on TiO2 (001) and (110) substrates. Appl. Phys. Lett. 2002, 80, 583–585. [Google Scholar] [CrossRef]
- Émond, N.; Torriss, B.; Chaker, M. Natural and induced growth of VO2 (M) on VO2 (B) ultrathin films. Sci. Rep. 2018, 8, 7153. [Google Scholar] [CrossRef]





Disclaimer/Publisher’s Note: The statements, opinions and data contained in all publications are solely those of the individual author(s) and contributor(s) and not of MDPI and/or the editor(s). MDPI and/or the editor(s) disclaim responsibility for any injury to people or property resulting from any ideas, methods, instructions or products referred to in the content. |
© 2023 by the authors. Licensee MDPI, Basel, Switzerland. This article is an open access article distributed under the terms and conditions of the Creative Commons Attribution (CC BY) license (https://creativecommons.org/licenses/by/4.0/).
Share and Cite
Qiu, M.; Yang, W.; Xu, P.; Huang, T.; Chen, X.; Dai, N. Coexistent VO2 (M) and VO2 (B) Polymorphous Thin Films with Multiphase-Driven Insulator–Metal Transition. Nanomaterials 2023, 13, 1514. https://doi.org/10.3390/nano13091514
Qiu M, Yang W, Xu P, Huang T, Chen X, Dai N. Coexistent VO2 (M) and VO2 (B) Polymorphous Thin Films with Multiphase-Driven Insulator–Metal Transition. Nanomaterials. 2023; 13(9):1514. https://doi.org/10.3390/nano13091514
Chicago/Turabian StyleQiu, Mengxia, Wanli Yang, Peiran Xu, Tiantian Huang, Xin Chen, and Ning Dai. 2023. "Coexistent VO2 (M) and VO2 (B) Polymorphous Thin Films with Multiphase-Driven Insulator–Metal Transition" Nanomaterials 13, no. 9: 1514. https://doi.org/10.3390/nano13091514
APA StyleQiu, M., Yang, W., Xu, P., Huang, T., Chen, X., & Dai, N. (2023). Coexistent VO2 (M) and VO2 (B) Polymorphous Thin Films with Multiphase-Driven Insulator–Metal Transition. Nanomaterials, 13(9), 1514. https://doi.org/10.3390/nano13091514
