Numerical Study of Natural Convection Heat Transfer in a Porous Annulus Filled with a Cu-Nanofluid
Abstract
1. Introduction
2. Problem Formulation
2.1. Physical Description
2.2. Governing Equations and Boundary Conditions
3. Numerical Procedure
3.1. Grid Generation and Independence Test
3.2. Code Validation
4. Results and Discussion
4.1. Effects of Brownian Motion
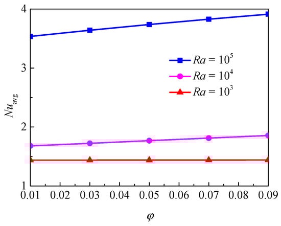
4.2. Effects of Nanoparticle Volume Fraction
4.3. Effects of Nanoparticle Diameter
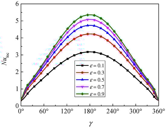
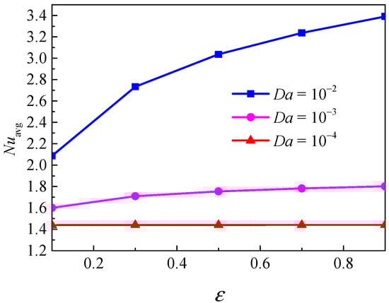
4.4. Effects of Porosity
4.5. Effects of Radius Ratio
5. Conclusions
Author Contributions
Funding
Data Availability Statement
Conflicts of Interest
Nomenclature
| RR | radius ratio |
| cp | thermal capacity, J/(kg × K) |
| d | nanoparticle diameter, m |
| Da | Darcy number |
| g | acceleration due to gravity, m/s2 |
| k | thermal conductivity, W/(m × K) |
| K | medium permeability, m2 |
| Nu | Nusselt number |
| p | pressure, Pa |
| P | dimensionless pressure |
| Pr | Prandtl number |
| r | radius, m |
| Ra | Rayleigh number |
| T | temperature, K |
| (u, v) | velocity, m/s |
| (U, V) | dimensionless velocity |
| (x, y) | cartesian coodinates |
| (X, Y) | dimensionless cartesian coodinates |
| Greek symbols | |
| α | thermal diffusivity, m2/s |
| β | thermal expansion coefficient, K−1 |
| γ | angle, deg |
| ε | porosity |
| θ | dimensionless temperature |
| ρ | density, Kg/m3 |
| μ | dynamic viscosity, kg/(m × s) |
| ν | kinematic viscosity, m2/s |
| ϕ | nanoparticle volume fraction |
| Subscripts | |
| avg | average |
| bf | base fluid |
| i, o | inner, outer |
| loc | local |
| mnf | porous medium filled with nanofluid |
| nf | nanofluid |
| s | porous medium |
| sp | nanoparticle |
References
- Esfe, M.H.; Bahiraei, M.; Hajbarati, H.; Valadkhani, M. A comprehensive review on convective heat transfer of nanofluids in porous medium: Energy-related and thermalhydraulic characteristics. Appl. Them. Eng. 2020, 178, 115487. [Google Scholar] [CrossRef]
- Das, D.; Roy, M.; Basak, T. Studies on natural convection within enclosures of various (non-square) shapes—A review. Int. J. Heat Mass Transf. 2017, 106, 356–406. [Google Scholar] [CrossRef]
- Dawood, H.K.; Mohammed, H.A.; Sidik, N.A.C.; Munisamy, K.M.; Wahid, M.A. Forced, Natural and Mixed-convection Heat Transfer and Fluid Flow in Annulus: A Review. Int. Commun. Int. Commun. Heat Mass Transf. 2015, 62, 45–57. [Google Scholar] [CrossRef]
- Caltagirone, J.P. Thermoconvective instabilities in a porous medium bounded by two concentric horizontal cylinders. J. Fluid Mech. 1976, 76, 337–362. [Google Scholar] [CrossRef]
- Rao, Y.F.; Fukuda, K.; Hasegawa, S. Steady and transient analyses of natural convection in a horizontal porous annulus with the Galerkin method. In Proceedings of the 4th AIAA/ASME Thermophysics Heat Transfer Conference, Boston, MA, USA, 2–4 June 1986. [Google Scholar]
- Rao, Y.F.; Fukuda, K.; Hasegawa, S. A numerical study of three-dimensional natural convection in a horizontal porous annulus with Galerkin method. Int. J. Heat Mass Transf. 1988, 31, 695–707. [Google Scholar] [CrossRef]
- Himasekhar, K. Two-dimensional bifurcation phenomena in thermal convection in horizontal concentric annuli containing saturated porous media. J. Fluid Mech. 1988, 187, 267–300. [Google Scholar] [CrossRef]
- Leong, J.C.; Lai, F.C. Natural convection in a concentric annulus with a porous sleeve. Int. J. Heat Mass Transf. 2006, 49, 3016–3027. [Google Scholar] [CrossRef]
- Braga, E.J.; Lemos, M. Simulation of turbulent natural convection in a porous cylindrical annulus using a macroscopic two equation Model. Int. J. Heat Mass Transf. 2006, 49, 4340–4351. [Google Scholar] [CrossRef]
- Khanafer, K.; Al-Amiri, A.; Pop, I. Numerical analysis of natural convection heat transfer in a horizontal annulus partially filled with a fluid-saturated porous substrate. Int. J. Heat Mass Transf. 2008, 51, 1613–1627. [Google Scholar] [CrossRef]
- Alloui, Z.; Vasseur, P. Natural convection in a horizontal annular porous cavity saturated by a binary mixture. Comput. Therm. Sci. 2011, 3, 407–417. [Google Scholar] [CrossRef]
- Belabid, J.; Cheddadi, A. Multicellular flows induced by natural convection in a porous horizontal cylindrical annulus. Phys. Chem. News 2013, 70, 67–71. [Google Scholar]
- Belabid, J.; Allali, K. Influence of gravitational modulation on natural convection in a horizontal porous annulus. J. Heat Transf. 2017, 139, 022502.1–022502.6. [Google Scholar] [CrossRef]
- Belabid, J.; Allali, K. Effect of temperature modulation on natural convection in a horizontal porous annulus. Int. J. Therm. Sci. 2020, 151, 106273. [Google Scholar] [CrossRef]
- Rostami, S.; Aghakhani, S.; Pordanjani, A.H.; Afrand, M.; Shadloo, M.S. A review on the control parameters of natural convection in different shaped cavities with and without nanofluid. Processes 2020, 8, 1011. [Google Scholar] [CrossRef]
- Choi, S.U.S. Enhancing thermal conductivity of fluids with nanoparticles. In Proceedings of the 1995 ASME International Mechanical Engineering Congress and Exposition, San Francisco, CA, USA, 12–17 November 1995; Volume 66, pp. 99–105. [Google Scholar]
- Zhou, W.N.; Yan, Y.Y.; Xu, J.L. A lattice Boltzmann simulation of enhanced heat transfer of nanofluids. Int. Commun. Heat Mass Transf. 2014, 55, 113–120. [Google Scholar] [CrossRef]
- Abouali, O.; Ahmadi, G. Computer simulations of natural convection of single phase nanofluids in simple enclosures: A critical review. Appl. Therm. Eng. 2012, 36, 1–13. [Google Scholar] [CrossRef]
- Jou, R.Y.; Tzeng, S.C. Numerical research of nature convective heat transfer enhancement filled with nanofluids in a rectangular enclosure. Int. Commun. Heat Mass Transf. 2006, 33, 727–736. [Google Scholar] [CrossRef]
- Ghasemi, B.; Aminossadati, S.M. Natural convection heat transfer in an inclined enclosure filled with a water–CuO nanofluid. Numer. Heat Transf. Part A 2009, 55, 807–823. [Google Scholar] [CrossRef]
- Abu-Nada, E.; Oztop, H.F. Effects of inclination angle on natural convection in enclosures filled with Cu-Water nanofluid. Int. J. Heat Fluid Flow 2009, 30, 669–678. [Google Scholar] [CrossRef]
- Soleimani, S.; Sheikholeslami, M.; Ganji, D.D.; Gorji-Bandpay, M. Natural convection heat transfer in a nanofluid filled semi-annulus enclosure. Int. Commun. Heat Mass Transf. 2012, 39, 565–574. [Google Scholar] [CrossRef]
- Seyyedi, S.M.; Dayyan, M.; Soleimani, S.; Ghasemi, E. Natural convection heat transfer under constant heat flux wall in a nanofluid filled annulus enclosure. Ain Shams Eng. J. 2015, 6, 267–280. [Google Scholar] [CrossRef]
- Boualit, A.; Zeraibi, N.; Chergui, T.; Lebbi, M.; Boutina, L.; Laouar, S. Natural convection investigation in square cavity filled with nanofluid using dispersion model. Int. J. Hydrogen Energy 2017, 42, 8611–8623. [Google Scholar] [CrossRef]
- Liao, C. Heat transfer transitions of natural convection flows in a differentially heated square enclosure filled with nanofluids. Int. J. Heat Mass Transf. 2017, 115, 625–634. [Google Scholar] [CrossRef]
- Wang, L.; Yang, X.G.; Huang, C.S.; Chai, Z.H.; Shi, B.C. Hybridlattice Boltzmann-TVD simulation of natural convection of nanofluids in a partially heated square cavity using Buongiorno’s model. Appl. Therm. Eng. 2019, 146, 318–327. [Google Scholar] [CrossRef]
- Mi, A.; Ts, B.; Ymcc, D.; Hma, E.; Gc, F.; Rk, G. Comprehensive study concerned graphene nano-sheets dispersed in ethylene glycol: Experimental study and theoretical prediction of thermal conductivity. Powder Technol. 2021, 386, 51–59. [Google Scholar]
- Sheremet, M.A.; Pop, I. Free convection in a porous horizontal cylindrical annulus with a nanofluid using Buongiorno’s model. Comput. Fluids 2015, 118, 182–190. [Google Scholar] [CrossRef]
- Sheremet, M.A.; Pop, I. Natural convection in a horizontal cylindrical annulus filled with a porous medium saturated by a nanofluid using tiwari and das’ nanofluid model. Eur. Phys. J. Plus 2015, 130, 107. [Google Scholar] [CrossRef]
- Belabid, J.; Belhouideg, S.; Allali, K.; Mahian, O.; Abu-Nada, E. Numerical simulation for impact of copper/water nanofluid on thermo-convective instabilities in a horizontal porous annulus. J. Therm. Anal. Calorim. 2019, 138, 1515–1525. [Google Scholar] [CrossRef]
- Abu-Nada, E. Effects of variable viscosity and thermal conductivity of Al2O3-water nanofluid on heat transfer enhancement in natural convection. Int. J. Heat Fluid Flow 2009, 30, 679–690. [Google Scholar] [CrossRef]
- Cianfrini, M.; Corcione, M.; Quintino, A. Natural convection heat transfer of nanofluids in annular spaces between horizontal concentric cylinders. Appl. Therm. Eng. 2011, 31, 4055–4063. [Google Scholar] [CrossRef]
- Goudari, S.; Shekaramiz, M.; Omidvar, A.; Golab, E.; Karimipour, A. Nanopaticles migration due to thermophoresis and Brownian motion and its impact on Ag-MgO/Water hybrid nanofluid natural convection. Powder Technol. 2020, 375, 493–503. [Google Scholar] [CrossRef]
- Bourantas, G.C.; Skouras, E.D.; Loukopoulos, V.C.; Burganos, V.N. Heat transfer and natural convection of nanofluids in porous media. Eur. J. Mech. B Fluid 2014, 43, 45–56. [Google Scholar] [CrossRef]
- Hu, Y.P.; Li, Y.R.; Lu, L.; Mao, Y.J.; Li, M.H. Natural convection of water-based nanofluids near the density maximum in an annulus. Int. J. Thermal. Sci. 2020, 152, 106309. [Google Scholar] [CrossRef]
- Wang, B.; Shih, T.M.; Chen, X.; Chang, R.G.; Wu, C.X. Cascade-like and cyclic heat transfer characteristics affected by enclosure aspect rations for low Prandtl numbers. Int. J. Heat Mass Transf. 2018, 124, 131–140. [Google Scholar] [CrossRef]
- Singh, A.K.; Basak, T.; Nag, A.; Roy, S. Heatlines and thermal management analysis for natural convection within inclined porous square cavities. Int. J. Heat Mass Transf. 2015, 87, 583–597. [Google Scholar] [CrossRef]




















| Physical Properties | Base Fluid (Water) | Nanoparticle (Cu) | Porous (Glass Balls) |
|---|---|---|---|
| ρ [kg/m3] | 997.1 | 8933 | 2700 |
| cp [J/(kg·K)] | 4179 | 385 | 840 |
| k [W/(m·K)] | 0.613 | 76.5 | 1.05 |
| μ [kg/(m·s)] | 0.001003 | - | - |
| β × 105 [1/K] | 21 | 1.67 | 0.9 |
| Physical Properties | Applied Model | |
|---|---|---|
| Without Brownian Motion | With Brownian Motion | |
| k [W/(m·K)] | ||
| μ [kg/(m·s)] | μnf = μbf/(1 − ϕ)2.5 | μnf = μbf/[1 − 34.87(dsp/dbf)−0.3ϕ1.03]; |
| ρ [kg/m3] | (ρcp)nf = (1 − ϕ)(ρcp)bf + ϕ((ρ cp)sp | |
| cp [J/(kg·K)] | ρnf(T) = (1 − ϕ)ρbf(T) + ϕρsp; | |
| Level | Number of Elements | Minimum Quality | Average Quality | Nuavg |
|---|---|---|---|---|
| normal | 894 | 0.4632 | 0.7779 | 2.2466 |
| fine | 1344 | 0.4938 | 0.8284 | 2.2632 |
| finer | 1882 | 0.5084 | 0.8305 | 2.2668 |
| extra fine | 6394 | 0.5276 | 0.8424 | 2.2766 |
| extremely fine | 17858 | 0.5053 | 0.8466 | 2.2769 |
| Darcy Number (Da) | Reyleigh Number (Ra) | Average Nusselt Number (Nuavg) | |||||
|---|---|---|---|---|---|---|---|
| ε = 0.4 | ε = 0.9 | ||||||
| Ref [37] | Present Work | Diff(%) | Ref [37] | Present Work | Diff(%) | ||
| 10−2 | 105 | 2.983 | 3.008 | 0.84 | 3.91 | 3.95 | 1.3 |
| 104 | 1.408 | 1.408 | 0 | 1.64 | 1.66 | 1.2 | |
| 103 | 1.01 | 1.01 | 0 | 1.023 | 1.028 | 0.5 | |
Publisher’s Note: MDPI stays neutral with regard to jurisdictional claims in published maps and institutional affiliations. |
© 2021 by the authors. Licensee MDPI, Basel, Switzerland. This article is an open access article distributed under the terms and conditions of the Creative Commons Attribution (CC BY) license (https://creativecommons.org/licenses/by/4.0/).
Share and Cite
Zhang, L.; Hu, Y.; Li, M. Numerical Study of Natural Convection Heat Transfer in a Porous Annulus Filled with a Cu-Nanofluid. Nanomaterials 2021, 11, 990. https://doi.org/10.3390/nano11040990
Zhang L, Hu Y, Li M. Numerical Study of Natural Convection Heat Transfer in a Porous Annulus Filled with a Cu-Nanofluid. Nanomaterials. 2021; 11(4):990. https://doi.org/10.3390/nano11040990
Chicago/Turabian StyleZhang, Lingyun, Yupeng Hu, and Minghai Li. 2021. "Numerical Study of Natural Convection Heat Transfer in a Porous Annulus Filled with a Cu-Nanofluid" Nanomaterials 11, no. 4: 990. https://doi.org/10.3390/nano11040990
APA StyleZhang, L., Hu, Y., & Li, M. (2021). Numerical Study of Natural Convection Heat Transfer in a Porous Annulus Filled with a Cu-Nanofluid. Nanomaterials, 11(4), 990. https://doi.org/10.3390/nano11040990
