Syntheses on Taxonomic and Functional Biodiversity Related to Ocean Acidification in a Well-Studied CO2 Vents System: The Castello Aragonese of Ischia (Italy)
Abstract
1. Introduction
2. Materials and Methods
2.1. Study Area
2.2. Methods
2.3. Data Analyses
3. Results
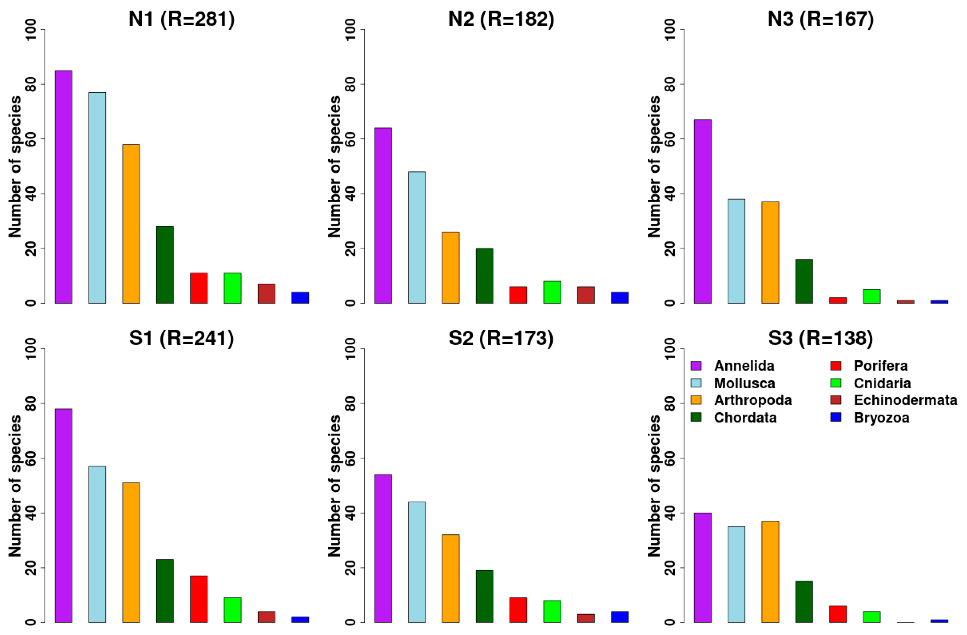
3.1. Taxonomic Analyses
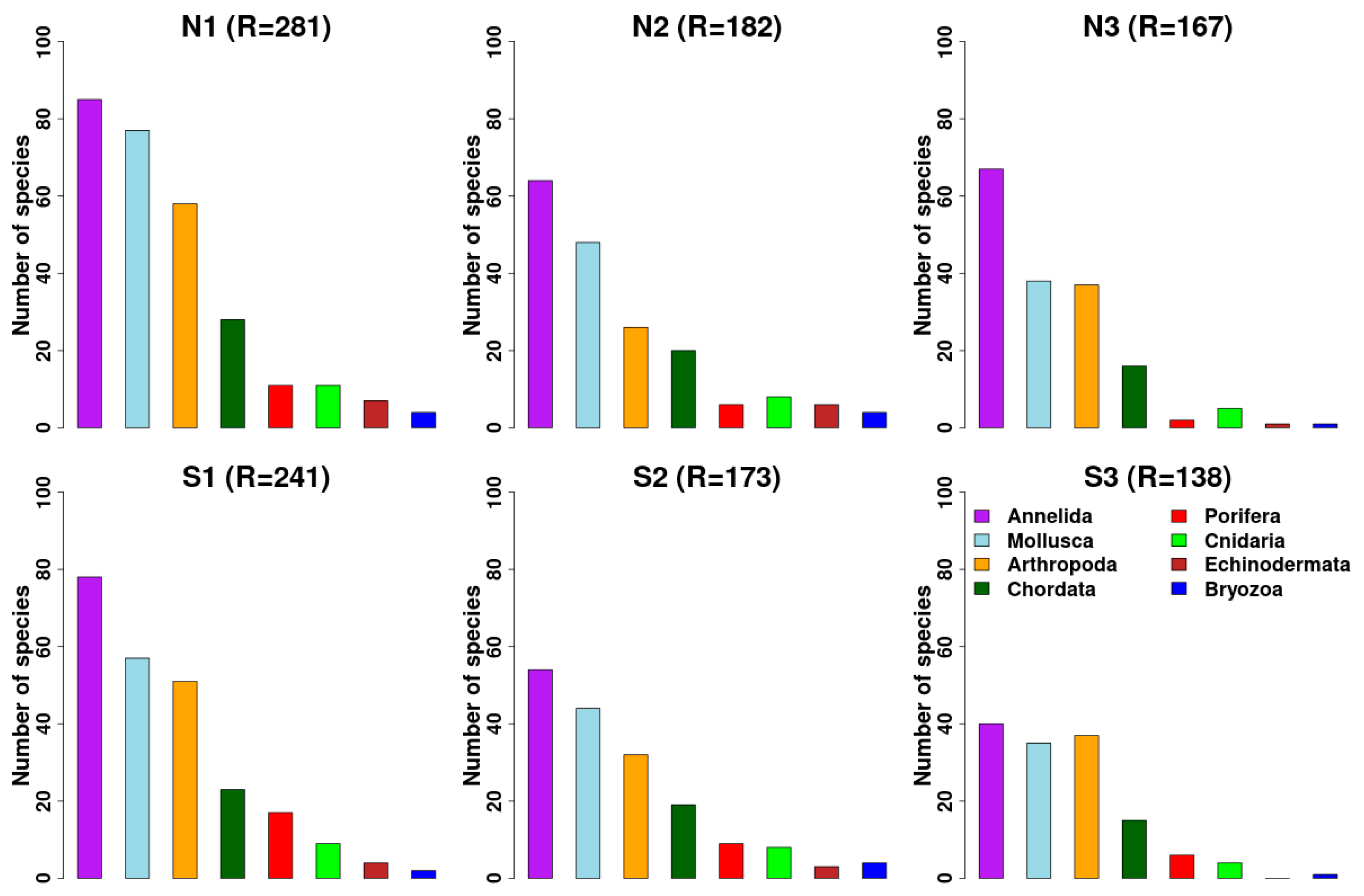
3.2. Zoobenthos and Fishes
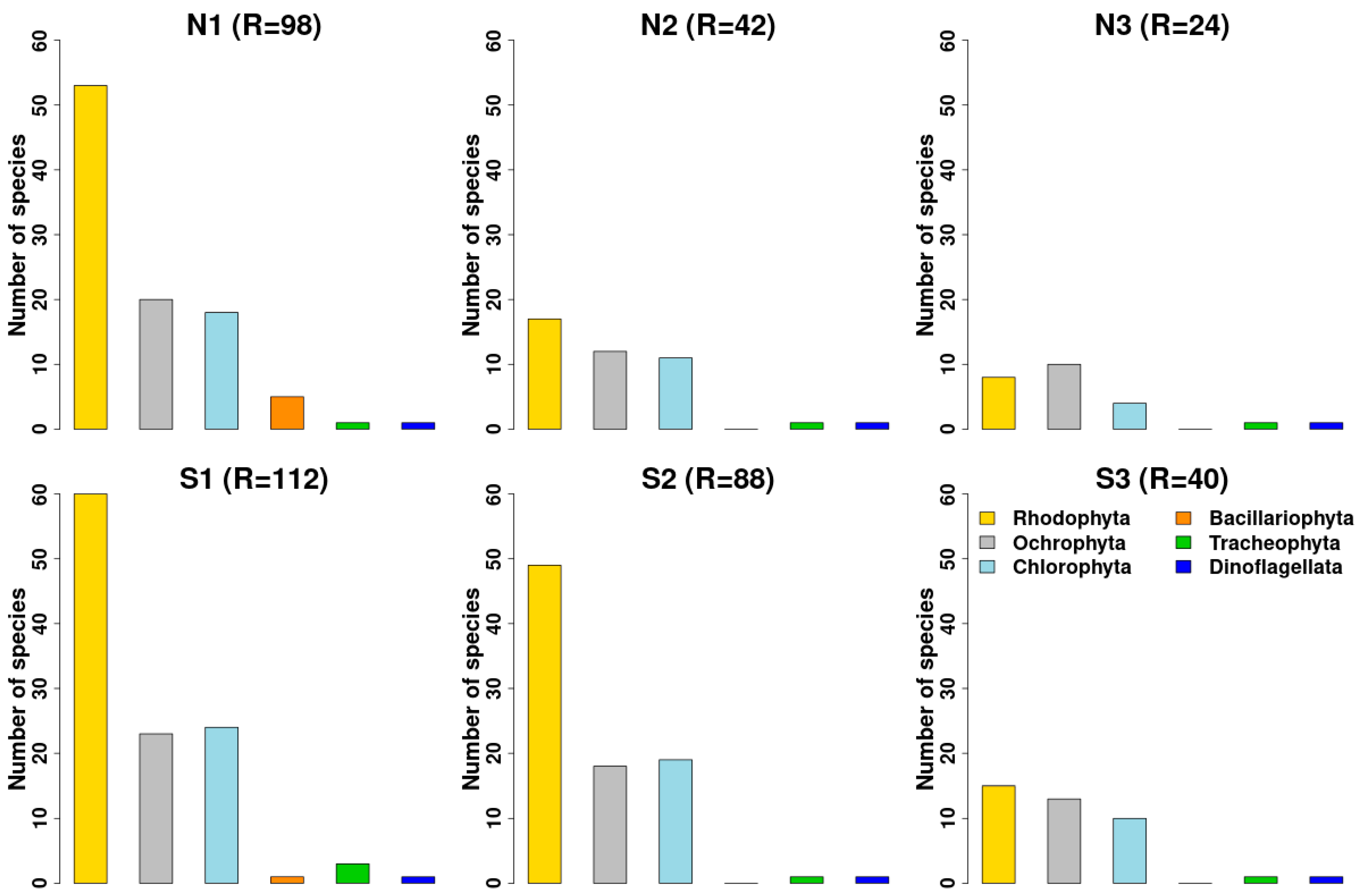
3.3. Phytobenthos
3.4. Zoobenthos Functional Analyses
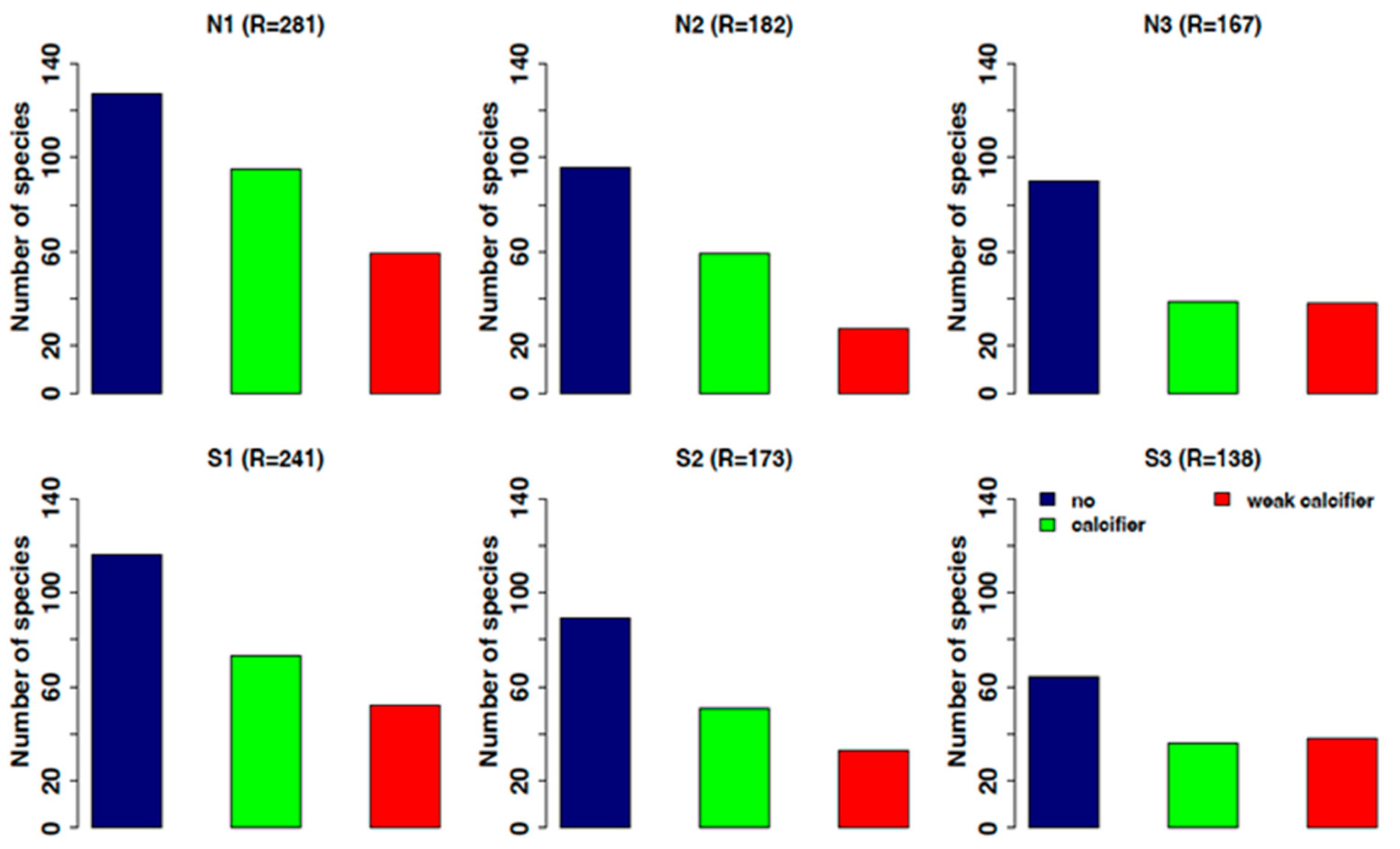
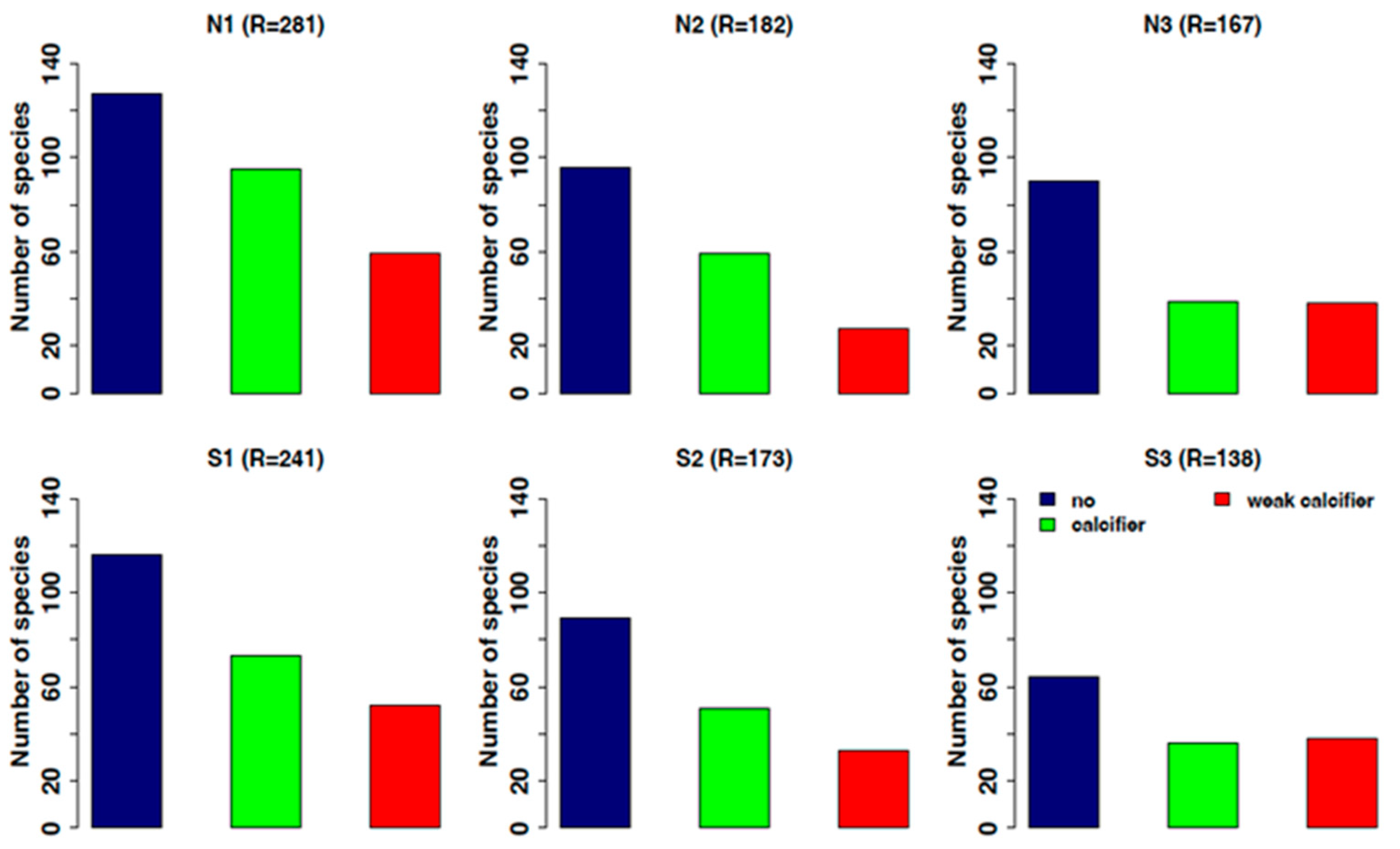
3.4.1. Calcification
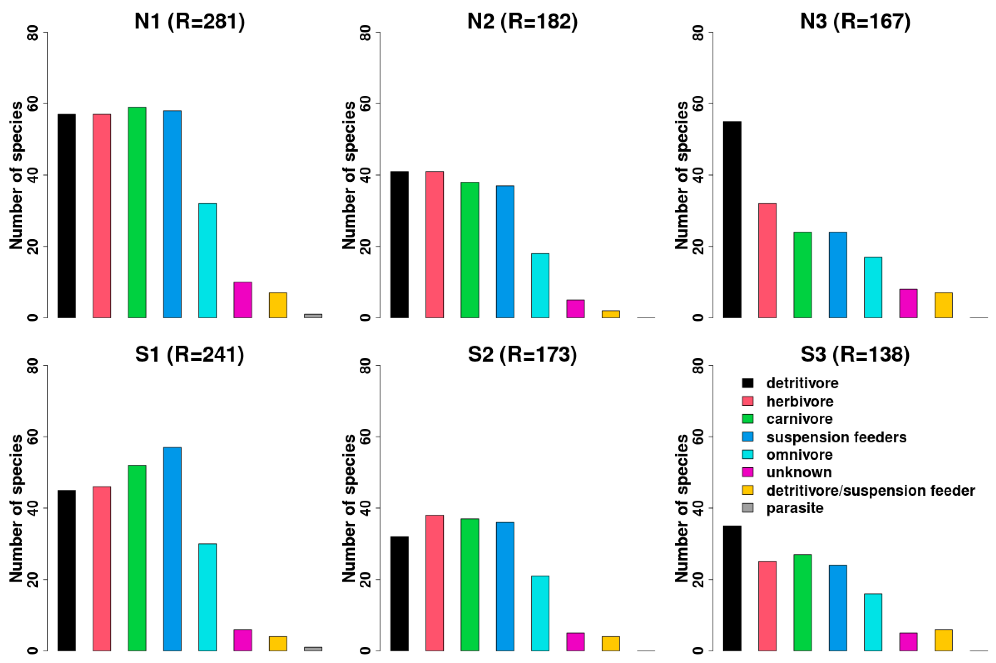
3.4.2. Feeding Guilds
3.4.3. Motility
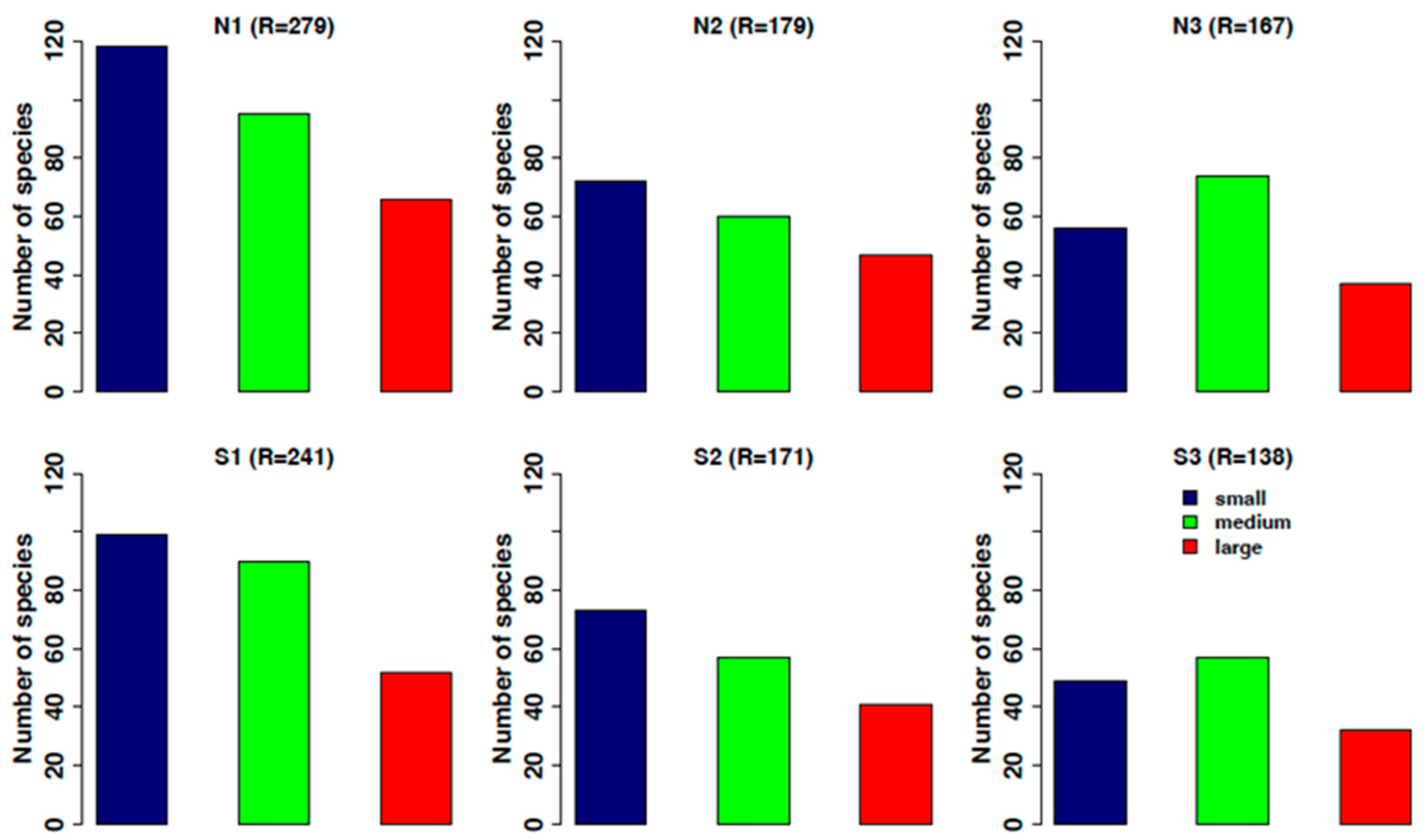
3.4.4. Size
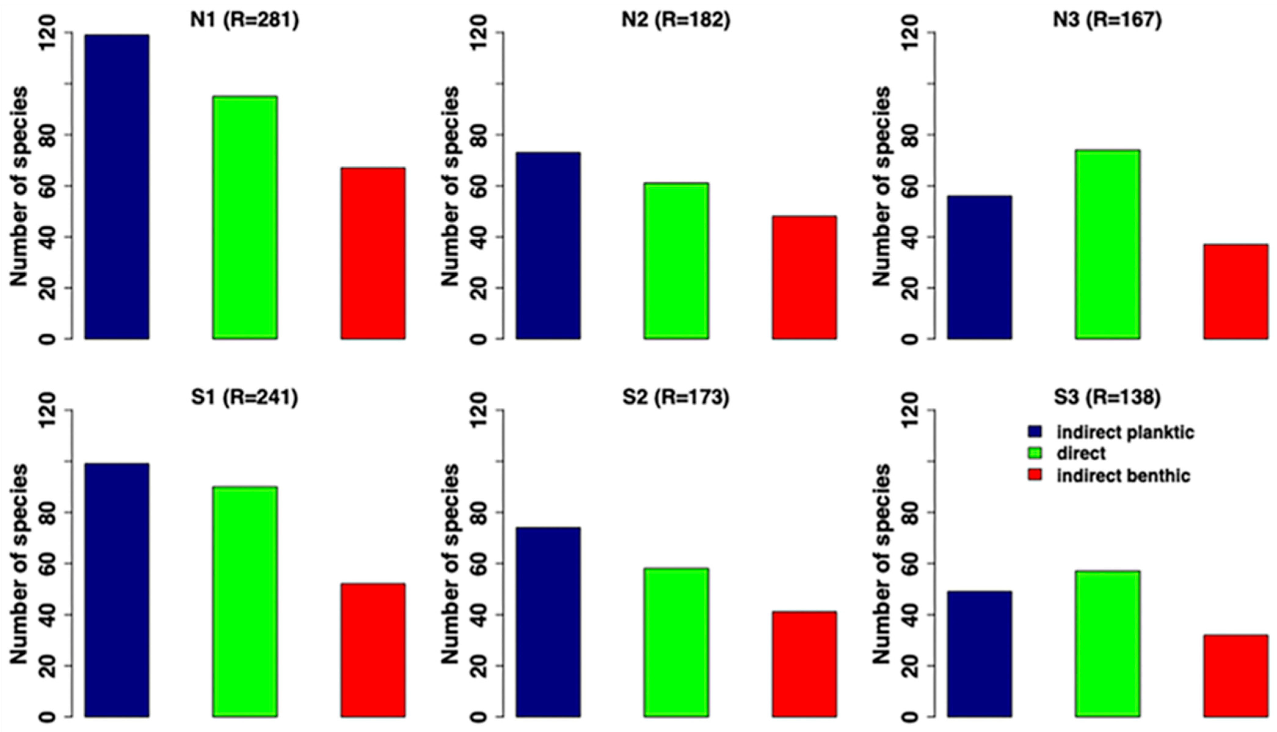
3.4.5. Reproductive/Development Mode
4. Discussion
Supplementary Materials
Author Contributions
Funding
Data Availability Statement
Acknowledgments
Conflicts of Interest
References
- Caldeira, K.; Wickett, M.E. Ocean model predictions of chemistry changes from carbon dioxide emissions to the atmosphere and ocean. J. Geophys. Res. 2005, 110, C09S04. [Google Scholar] [CrossRef]
- Guinotte, J.M.; Fabry, V.J. Ocean acidification and its potential effects on marine invertebrates. Ann. N. Y. Acad. Sci. 2008, 1134, 320–343. [Google Scholar] [CrossRef]
- Gattuso, J.-P.; Magnan, A.; Billé, R.; Cheung, W.W.L.; Howes, E.L.; Joos, F.; Allemand, D.; Bopp, L.; Cooley, S.R.; Eakin, C.M.; et al. Contrasting futures for ocean and society from different anthropogenic CO2 emissions scenarios. Science 2015, 349, aac4722. [Google Scholar] [CrossRef]
- Doney, S.C.; Busch, D.S.; Cooley, S.R.; Kroeker, K.J. The Impacts of Ocean Acidification on Marine Ecosystems and Reliant Human Communities. Ann. Rev. Environ. Res. 2020, 45, 83–112. [Google Scholar] [CrossRef]
- Fabry, V.J.; Seibel, B.A.; Feely, R.A.; Orr, J.C. Impacts of ocean acidification on marine fauna and ecosystem processes. ICES J. Mar. Sci. 2008, 65, 414–432. [Google Scholar] [CrossRef]
- Kroeker, K.J.; Kordas, R.L.; Crim, R.; Hendriks, I.E.; Ramajo, L.; Singh, G.S.; Duarte, C.M.; Gattuso, J.-P. Impacts of ocean acidification on marine organisms: Quantifying sensitivities and interaction with warming. Glob. Change Biol. 2013, 19, 1884–1896. [Google Scholar] [CrossRef] [PubMed]
- Foo, S.A.; Byrne, M.; Ricevuto, E.; Gambi, M.C. The carbon dioxide vents of Ischia, Italy, a natural laboratory to assess impacts of ocean acidification on marine ecosystems: An overview of research and comparisons with other vent systems. Oceanogr. Mar. Biol. Ann. Rev. 2018, 56, 237–310. [Google Scholar]
- Rastrick, S.; Graham, H.; Azetsu-Scott, K.; Calosi, P.; Chierici, M.; Fransson, A.; Hop, H.; Hall-Spencer, J.M.; Milazzo, M.; Thor, P.; et al. Using natural analogues to investigate the effects of climate change and ocean acidification on Northern ecosystems. ICES J. Mar. Sci. 2018, 75, 2299–2311. [Google Scholar] [CrossRef]
- Gonzalez-Delgado, S.; Hernandez, J.C. The importance of natural acidified systems in the study of Ocean Acidification: What have we learned? Adv. Mar. Biol. 2018, 80, 57–99. [Google Scholar]
- Tarasov, V.G.; Gebruk, A.V.; Mironov, A.N.; Moskalev, L.I. Deep-sea and shallow-water hydrothermal vent communities: Two different phenomena? Chem. Geol. 2005, 224, 5–39. [Google Scholar] [CrossRef]
- Costa, V.; Sciutteri, V.; Consoli, P.; Manea, E.; Manini, E.; Andaloro, F.; Romeo, T.; Danovaro, R. Volcanic-associated ecosystems of the Mediterranean Sea: A systematic map and an interactive tool to support their conservation. PeerJ 2023, 11, e15162. [Google Scholar] [CrossRef]
- Aiuppa, A.; Hall-Spencer, J.M.; Milazzo, M.; Turco, G.; Caliro, S.; Di Napoli, R. Volcanic CO2 seep geochemistry and use in understanding ocean acidification. Biogeochemistry 2020, 152, 93–115. [Google Scholar] [CrossRef]
- Hofmann, G.E.; Smith, J.E.; Johnson, K.S.; Send, U.; Levin, L.A.; Micheli, F.; Paytan, A.; Price, N.N.; Peterson, B.; Takeshita, Y.; et al. High-frequency dynamics of ocean pH: A multi-ecosystem comparison. PLoS ONE 2011, 6, e28983. [Google Scholar] [CrossRef]
- Hall-Spencer, J.M.; Rodolfo-Metalpa, R.; Martin, S.; Ransome, E.; Fine, M.; Turner, S.M.; Rowley, S.J.; Tedesco, D.; Buia, M.C. Volcanic carbon dioxide vents show ecosystem effects of ocean acidification. Nature 2008, 454, 96–99. [Google Scholar] [CrossRef]
- Vizzini, S.; Di Leonardo, R.; Costa, V.; Tramati, C.D.; Luzzu, F.; Mazzola, A. Trace element bias in the use of CO2 vents as analogues for low pH environments: Implications for contamination levels in acidified oceans. Estuar. Coast. Shelf Sci. 2013, 134, 19–30. [Google Scholar] [CrossRef]
- Vizzini, S.; Martinez-Crego, B.; Andolina, C.; Massa-Gallucci, A.; Connell, S.D.; Gambi, M.C. Ocean acidification as a driver of community simplification via the collapse of higher-order and rise of lower-order consumers. Sci. Rep. 2017, 7, 4018. [Google Scholar] [CrossRef]
- Esposito, V.; Andaloro, F.; Canese, S.; Bortoluzzi, G.; Bo, M.; Di Bella, M.; Italiano, F.; Sabatino, G.; Battaglia, P.; Consoli, P.; et al. Exceptional discovery of a shallow-water hydrothermal site in the SW area of Basiluzzo islet (Aeolian Archipelago, South Tyrrhenian Sea): An environment to preserve. PLoS ONE 2018, 13, e0190710. [Google Scholar] [CrossRef] [PubMed]
- Esposito, V.; Auriemma, R.; De Vittor, C.; Relitti, F.; Urbini, L.; Kralj, M.; Gambi, M.C. Structural and functional analyses of motile fauna associated to Cystoseira brachycarpa along a gradient of ocean acidification in a CO2 vent system off Panarea island (Aerolian Islands, Italy). J. Mar. Sci. Eng. 2022, 10, 451. [Google Scholar] [CrossRef]
- Donnarumma, L.; Appolloni, L.; Chianese, E.; Bruno, R.; Baldrighi, E.; Guglielmo, R.; Russo, G.F.; Zeppilli, D.; Sandulli, R. Environmental and benthic community patterns of the shallow hydrothermal area of Secca delle Fumose (Baia, Naples, Italy). Front. Mar. Sci. 2019, 6, 685. [Google Scholar] [CrossRef]
- D’Alessandro, M.; Gambi, M.C.; Bazzarro, M.; Caruso, C.; Di Bella, M.; Esposito, V.; Gattuso, A.; Giacobbe, S.; Kralj, M.; Italiano, F.; et al. Characterization of an undocumented CO2 hydrothermal vent system in the Mediterranean Sea: Implications for ocean acidification forecasting. PLoS ONE 2024, 19, e0292593. [Google Scholar] [CrossRef] [PubMed]
- Fabricius, K.E.; Langdon, C.; Uthicke, S.; Humphrey, C.; Noonan, S.; De’ath, G.; Okazaki, R.; Muehllehner, N.; Glas, M.S.; Lough, J.M. Losers and winners in coral reefs acclimatized to elevated carbon dioxide concentrations. Nat. Clim. Change 2011, 1, 165–169. [Google Scholar] [CrossRef]
- Hall-Spencer, J.M.; Harvey, B.P. Ocean acidification impacts on coastal ecosystem services due to habitat degradation. Emerg. Topics. Life Sci. 2019, 3, 197–206. [Google Scholar]
- Kroeker, K.J.; Micheli, F.; Gambi, M.C.; Martz, T.R. Divergent ecosystem responses within a benthic marine community to ocean acidification. Proc. Natl. Acad. Sci. USA 2011, 108, 14515–14520. [Google Scholar] [CrossRef]
- Fabricius, K.E.; De’ath, G.; Noonan, S.; Uthicke, S. Ecological effects of ocean acidification and habitat complexity on reef-associated macroinvertebrate communities. Proc. R. Soc. B 2014, 281, 20132479. [Google Scholar] [CrossRef]
- Gambi, M.C.; Musco, L.; Giangrande, A.; Badalamenti, F.; Micheli, F.; Kroeker, K.J. Distribution and functional traits of polychaetes in a CO2 vent system: Winners and losers among closely related species. Mar. Ecol. Prog. Ser. 2016, 550, 121–134. [Google Scholar] [CrossRef]
- Lucey, N.M.; Lombardi, C.; DeMarchi, L.; Schulze, A.; Gambi, M.C.; Calosi, P. To brood or not to brood. Are marine organisms that protect their offspring more resilient to ocean acidification? Sci. Rep. 2015, 5, 12009. [Google Scholar] [CrossRef] [PubMed]
- Garilli, V.; Rodolfo-Metalpa, R.; Scuderi, D.; Brusca, L.; Parrinello, D.; Rastrick, S.P.S.; Foggo, A.; Twitchett, R.J.; Hall-Spencer, J.M.; Milazzo, M. Physiological advantages of dwarfing in surviving extinctions in high-CO2 oceans. Nat. Clim. Change 2015, 5, 678–682. [Google Scholar] [CrossRef]
- Teixido, N.; Gambi, M.C.; Parravicini, V.; Kroeker, K.; Micheli, F.; Villeger, S.; Ballesteros, E. Functional biodiversity loss along natural CO2 gradients. Nat. Commun. 2018, 9, 5149. [Google Scholar] [CrossRef] [PubMed]
- Mouillot, D.; Graham, N.A.J.; Villéger, S.; Mason, N.W.H.; Bellwood, D.R.A. functional approach reveals community responses to disturbances. Trends Ecol. Evol. 2013, 28, 167–177. [Google Scholar] [CrossRef]
- Teixidó, N.; Carlot, J.; Alliouane, S.; Ballesteros, E.; De Vittor, C.; Gambi, M.C.; Gattuso, J.-P.; Kroeker, K.; Micheli, F.; Mirasole, A.; et al. Functional changes across marine habitats due to ocean acidification. Glob. Change Biol. 2024, 30, e17105. [Google Scholar] [CrossRef]
- Ancora, S.; Bianchi, N.; Butini, A.; Buia, M.C.; Gambi, M.C.; Leonzio, C. Posidonia oceanica as a biomomitor of trace elements in the Gulf of Naples: Temporal trends by lepidochronology. Environ. Toxicol. Chem. 2004, 23, 1093–1099. [Google Scholar] [CrossRef]
- Mirasole, A.; Di Franco, A.; Andolina, C.; Gambi, M.C.; Gillanders, B.M.; Pecoraino, G.; Reis-Santos, P.; Scopelliti, G.; Somma, E.; Vizzini, S.; et al. Submitted. Ocean acidification influences site fidelity and seagrass habitat use by an herbivorous fish. Mar. Environ. Res. 2025, under review. [Google Scholar]
- Ricevuto, E.; Kroeker, K.J.; Ferrigno, F.; Micheli, F.; Gambi, M.C. Spatio-temporal variability of polychaete colonization at volcanic CO2 vents (Italy) indicates high tolerance to ocean acidification. Mar. Biol. 2014, 161, 2909–2919. [Google Scholar] [CrossRef]
- Porzio, L.; Buia, M.C.; Hall-Spencer, J.M. Effects of ocean acidification on macroalgal communities. J. Exp. Mar. Biol. Ecol. 2011, 400, 278–287. [Google Scholar] [CrossRef]
- Garrard, S.L.; Gambi, M.C.; Scipione, M.B.; Patti, F.P.; Lorenti, M.; Zupo, V.; Paterson, D.M.; Buia, M.C. Indirect effects may buffer negative responses of seagrass invertebrate communities to ocean acidification. J. Exp. Mar. Biol. Ecol. 2014, 461, 31–38. [Google Scholar] [CrossRef]
- Ricevuto, E.; Lorenti, M.; Patti, F.P.; Scipione, M.B.; Gambi, M.C. Temporal trends of benthic invertebrate settlement along a gradient of ocean acidification at natural CO2 vents (Tyrrhenian Sea). Biol. Mar. Mediter. 2012, 19, 49–52. [Google Scholar]
- Donnarumma, L.; Lombardi, C.; Cocito, S.; Gambi, M.C. Settlement pattern of Posidonia oceanica epibionts along a gradient of ocean acidification: An approach with mimics. Mediter. Mar. Sci. 2014, 15, 498–509. [Google Scholar] [CrossRef]
- Barruffo, A.; Ciaralli, L.; Ardizzone, G.; Gambi, M.C.; Casoli, E. Ocean Acidification and Molluscs Settlement in Posidonia oceanica Meadows: Does the Seagrass Buffer Low pH Effects at CO2 Vents? Diversity 2021, 13, 311. [Google Scholar] [CrossRef]
- Nilsson, K.S.; Wallberg, A.; Jondelius, U. New species of Acoela from the Mediterranean, the Red Sea, and the South Pacific. Zootaxa 2011, 2867, 1–31. [Google Scholar] [CrossRef]
- Gaglioti, M.; Ricevuto, E.; Gambi, M.C. Pattern and map of biodiversity related to ocean acidification in CO2 vents of Ischia. Biol. Mar. Mediter. 2018, 25, 235–236. [Google Scholar]
- WoRMS: World Register of Marine Species 2000. Available online: https://www.marinespecies.org/ (accessed on 21 June 2025).
- Lanera, P.; Gambi, M.C. Polychaete distribution in some Cymodocea nodosa meadows around the island of Ischia (Gulf of Naples, Italy). Oebalia 1993, 19, 89–103. [Google Scholar]
- Anderson, M.J. A new method for non-parametric multivariate analysis of variance. Austr. Ecol. 2001, 26, 32–46. [Google Scholar]
- R Core Team. R: A Language and Environment for Statistical Computing, R version 4.5.2, released 2025-10-31; Foundation for Statistical Computing: Vienna, Austria, 2025; Available online: https://www.R-project.org/ (accessed on 25 November 2025).
- Giangrande, A.; Gambi, M.C.; Micheli, F.; Kroeker, K.J. Fabriciidae (Annelida, Sabellida) from a naturally acidified coastal system (Italy) with description of two new species. J. Mar. Biol. Assoc. UK 2014, 94, 1417–1427. [Google Scholar] [CrossRef]
- Giangrande, A.; Putignano, M.; Licciano, M.; Gambi, M.C. The Pandora’s box: Morphological diversity within the genus Amphiglena Claparède, 1864 (Sabellidae, Annelida) in the Mediterranean Sea with the description of nine new species. Zootaxa 2021, 4949, 201–239. [Google Scholar] [CrossRef]
- Cookson, L.J.; Lorenti, M. A new species of Limnoriid seagrass borer (Isopoda) from the Mediterranean. Crustaceana 2001, 74, 339–346. [Google Scholar] [CrossRef]
- Di Cioccio, D.; Buia, M.C.; Zingone, A. Ocean acidification will not deliver us from Ostreopsis. In Harmful Algae 2012. Proceedings ISSHA Conference. Proceedings of the 15th International Conference on Harmful Algae, Changwon, Korea, 29 October–2 November 2012; Kim, H.G., Reguera, B., Hallegraeff, G., Lee, C.K., Han, M.S., Choi, J.K., Eds.; International Society for the Study of Harmful Algae: Changwon, Republic of Korea, 2015; pp. 85–88. [Google Scholar]
- Gambi, M.C.; Lorenti, M.; Patti, F.P.; Zupo, V. An annotated list of alien marine species of the Ischia Island. Not. della Soc. Ital. di Biol. Mar. 2016, 70, 64–68. [Google Scholar]
- Calosi, P.; Rastrick, S.P.S.; Lombardi, C.; de Guzman, H.J.; Davidson, L.; Jahnke, M.; Giangrande, A.; Hardege, J.D.; Schulze, A.; Spicer, J.I.; et al. Adaptation and acclimatization to ocean acidification in marine ectotherms: An in situ transplant experiment with polychaetes at a shallow CO2 vent system. Phil. Trans. R. Soc. 2013, B368, 20120444. [Google Scholar] [CrossRef]
- Giangrande, A. Polychaete reproduction patterns, life cycles and life histories: An overview. Ocean Mar. Biol. Ann Rev. 1997, 35, 323–386. [Google Scholar]
- Garrard, S.L. The Effect of Ocean Acidification on Plant-Animal Interactions in a Posidonia oceanica Meadow. Ph.D. Thesis, Open University, Milton Keynes, UK, 2013; p. 143. [Google Scholar]
- Rodolfo-Metalpa, R.; Houlbrèque, F.; Tambutté, É.; Boisson, F.; Baggini, C.; Patti, F.P.; Jeffree, R.; Fine, M.; Foggo, A.; Gattuso, J.P.; et al. Coral and mollusc resistance to ocean acidification adversely affected by warming. Nat. Clim. Change 2011, 1, 308–312. [Google Scholar] [CrossRef]
- Hendriks, I.E.; Olsen, Y.S.; Ramajo, L.; Basso, L.; Steckbauer, A.; Moore, T.S.; Howard, J.; Duarte, C.M. Photosynthetic activity buffers ocean acidification in seagrass meadows. Biogeosciences 2014, 11, 333–346. [Google Scholar] [CrossRef]
- Ricart, A.M.; Ward, M.; Hill, T.M.; Sanford, E.; Kroeker, K.J.; Takeshita, Y.; Merolla, S.; Shukla, P.; Ninokawa, A.T.; Elsmore, K.; et al. Coast-wide evidence of low pH amelioration by seagrass ecosystems. Glob. Change Biol. 2021, 27, 2580–2591. [Google Scholar] [CrossRef] [PubMed]
- Lucey, N.L.; Lombardi, C.; Florio, M.; DeMarchi, L.; Nannini, M.; Rundle, S.; Gambi, M.C.; Calosi, P. No evidence of local adaptation to low pH in a calcifying polychaete population from a shallow CO2 vent system. Evol. Appl. 2016, 9, 1054–1071. [Google Scholar] [CrossRef] [PubMed]
- Turner, L.M.; Ricevuto, E.; Massa-Gallucci, A.; Lorenti, M.; Gambi, M.C.; Calosi, P. Metabolic responses to high pCO2 conditions at a CO2 vent site in the juveniles of a marine isopod assemblage. Mar. Biol. 2016, 163, 211. [Google Scholar] [CrossRef]
- Gambi, M.C.; Barbieri, F.; Signorelli, S.; Saggiomo, V. Mortality events along the Campania coast (Tyrrhenian Sea) in summers 2008 and 2009 and relation to thermal conditions. Biol. Mar. Mediter. 2010, 17, 126–127. [Google Scholar]
- Rodolfo-Metalpa, R.; Lombardi, C.; Cocito, S.; Hall-Spencer, J.; Gambi, M.C. Effects of ocean acidification and high temperatures on the bryozoan Myriapora truncata at natural CO2 vents. Mar. Ecol. 2010, 31, 447–456. [Google Scholar] [CrossRef]
- Ravaglioli, C.; Lauritano, C.; Buia, M.C.; Balestri, E.; Capocchi, A.; Fontanini, D.; Pardi, G.; Tamburello, L.; Procaccini, G.; Bulleri, F. Nutrient Loading Fosters Seagrass Productivity Under Ocean Acidification. Sci. Rep. 2017, 7, 13732. [Google Scholar] [CrossRef]
- Gambi, M.C.; Esposito, V.; Marin Guirao, L. Posidonia bonsai: Dwarf Posidonia oceanica shoots associated to hydrothemal vent systems (Panarea island, Italy). Aquat. Bot. 2023, 185, 103611. [Google Scholar] [CrossRef]
- Gambi, M.C.; Iacono, C.; Miccio, A.; Esposito, V.; Procaccini, G.; Marin Guirao, L. Posidonia bonsai: Dwarf morphotypes of Posidonia oceanica in CO2 vents and no vents areas, suggest a novel growth strategy. Aquat. Bot. 2025. [Google Scholar] [CrossRef]
- González-Delgado, S.; Wangensteen, O.S.; Sangi, C.; Hernández, C.A.; Alfonso, B.; Soto, A.Z.; Pérez-Portela, R.; Mariani, S.; Hernández, J.C. High taxonomic diversity and miniaturization in benthic communities under persistent natural CO2 disturbances. Proc. R. Soc. B 2023, 290, 20222417. [Google Scholar] [CrossRef]
- Ross, P.M.; Parker, L.; O’Connor, W.A.; Bailey, E.A. The Impact of Ocean Acidification on Reproduction, Early Development and Settlement of Marine Organisms. Water 2011, 3, 1005–1030. [Google Scholar] [CrossRef]














Disclaimer/Publisher’s Note: The statements, opinions and data contained in all publications are solely those of the individual author(s) and contributor(s) and not of MDPI and/or the editor(s). MDPI and/or the editor(s) disclaim responsibility for any injury to people or property resulting from any ideas, methods, instructions or products referred to in the content. |
© 2025 by the authors. Licensee MDPI, Basel, Switzerland. This article is an open access article distributed under the terms and conditions of the Creative Commons Attribution (CC BY) license (https://creativecommons.org/licenses/by/4.0/).
Share and Cite
Gambi, M.C.; Gravili, C.; Cozzoli, F.; Giangrande, A. Syntheses on Taxonomic and Functional Biodiversity Related to Ocean Acidification in a Well-Studied CO2 Vents System: The Castello Aragonese of Ischia (Italy). J. Mar. Sci. Eng. 2025, 13, 2281. https://doi.org/10.3390/jmse13122281
Gambi MC, Gravili C, Cozzoli F, Giangrande A. Syntheses on Taxonomic and Functional Biodiversity Related to Ocean Acidification in a Well-Studied CO2 Vents System: The Castello Aragonese of Ischia (Italy). Journal of Marine Science and Engineering. 2025; 13(12):2281. https://doi.org/10.3390/jmse13122281
Chicago/Turabian StyleGambi, Maria Cristina, Cinzia Gravili, Francesco Cozzoli, and Adriana Giangrande. 2025. "Syntheses on Taxonomic and Functional Biodiversity Related to Ocean Acidification in a Well-Studied CO2 Vents System: The Castello Aragonese of Ischia (Italy)" Journal of Marine Science and Engineering 13, no. 12: 2281. https://doi.org/10.3390/jmse13122281
APA StyleGambi, M. C., Gravili, C., Cozzoli, F., & Giangrande, A. (2025). Syntheses on Taxonomic and Functional Biodiversity Related to Ocean Acidification in a Well-Studied CO2 Vents System: The Castello Aragonese of Ischia (Italy). Journal of Marine Science and Engineering, 13(12), 2281. https://doi.org/10.3390/jmse13122281

